Kinetics of RPR Decline in Pregnant Persons Treated for Syphilis in Pregnancy and Their Infants
Abstract
1. Introduction
2. Methods
2.1. Study Design
2.2. Statistical Analysis
2.3. Non-Linear Mixed-Effects Model
2.3.1. First-Order Kinetics
- is the concentration with longitudinal measurements over time for patient
- is the patient index
- is the index for the measurement on patient
- is the initial concentration for patient
- is the first-order rate constant for patient , assumed to be normally distributed,
- is the time elapsed since the first RPR measurement
- is the residual, assumed to be normally distributed,
2.3.2. Second-Order Kinetics
- is the concentration with longitudinal measurements over time for patient
- is the patient index
- is the index for the measurement on patient
- is the initial RPR titer for patient
- is the first-order rate constant for patient , assumed to be normally distributed,
- is the time elapsed since the first RPR measurement
- is the residual, assumed to be normally distributed,
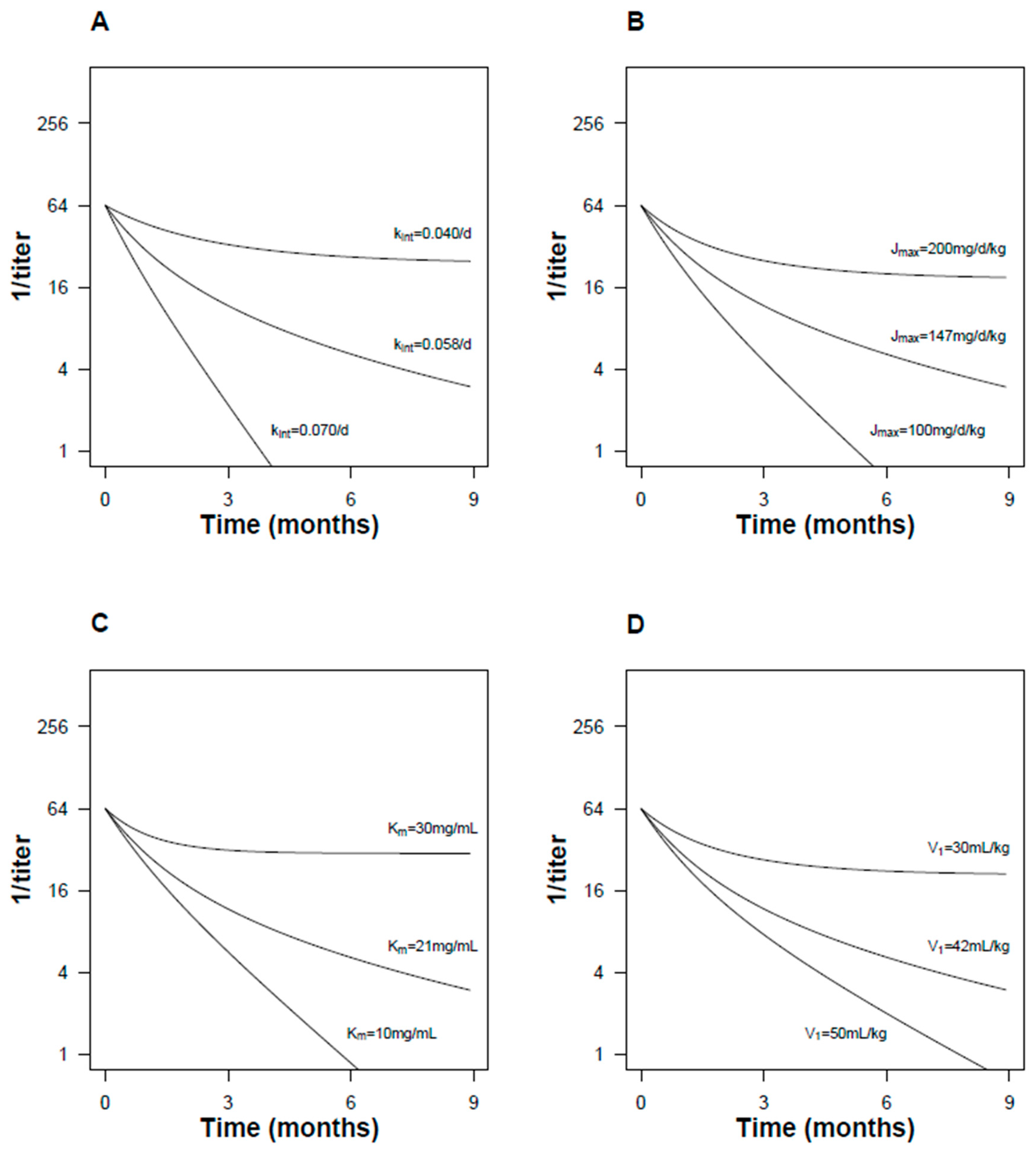
2.4. Antibody Recycling Model
2.4.1. Biological Rationale
2.4.2. Mathematical Model
- is the fractional intrinsic catabolic rate (d−1)
- is the fractional receptor-mediated recycling rate (d−1).
- is the maximal rate of FcRn-mediated recycling (mg/d/kg)
- is the Michaelis–Menten constant (mg/mL)
- is a conversion factor for antibody concentration to RPR titer (mg/mL/titer unit).
2.5. Ethics Approval
3. Results
3.1. Serum Half-Life of RPR Titers
3.2. Mathematical Models of RPR Titer Decay
3.3. Serum Half-Life as a Function of Initial (Birth) RPR Titer
4. Discussion
Author Contributions
Funding
Institutional Review Board Statement
Informed Consent Statement
Data Availability Statement
Conflicts of Interest
References
- Thean, L.; Moore, A.; Nourse, C. New trends in congenital syphilis: Epidemiology, testing in pregnancy, and management. Curr. Opin. Infect. Dis. 2022, 35, 452–460. [Google Scholar] [CrossRef]
- CDC. Centers for Disease Control and Prevention. Sexually Transmitted Disease Surveillance 2020. Available online: https://www.cdc.gov/std/statistics/2020/2020-SR-4-10-2023.pdf (accessed on 16 August 2024).
- Infectious Syphilis and Congenital Syphilis in Canada, 2022. Canadian Communicable Disease Report (CCDR) 2023; Volume 49–10, October 2023: Influenza and Other Respiratory Infections. Available online: https://www.canada.ca/en/public-health/services/reports-publications/canada-communicable-disease-report-ccdr/monthly-issue/2023-49/issue-10-october-2023/infectious-congenital-syphilis-canada-2022.html (accessed on 16 August 2024).
- Papp, J.R.; Park, I.U.; Fakile, Y.; Pereira, L.; Pillay, A.; Bolan, G.A. CDC Laboratory Recommendations for Syphilis Testing, United States, 2024. MMWR Recomm. Rep. 2024, 73, 1–32. [Google Scholar] [CrossRef]
- Shukla, M.R.; Pereira, L.; Gaynor, A.M.; Sun, Y.C.; Edwards, D.; Simmons, T.; Andrews, C.W.; Park, I.U.; Hong, J.; Cao, W.; et al. Evaluation of Three Automated Nontreponemal Rapid Plasma Reagin (RPR) Tests for the Laboratory Diagnosis of Syphilis. J. Clin. Microbiol. 2023, 61, e0016823. [Google Scholar] [CrossRef] [PubMed]
- Matthews, H.M.; Yang, T.K.; Jenkin, H.M. Unique lipid composition of Treponema pallidum (Nichols virulent strain). Infect. Immun. 1979, 24, 713–719. [Google Scholar] [CrossRef] [PubMed]
- CDC. Centers for Disease Control and Prevention. Sexually Transmitted Infections (STI) Treatment Guidelines. 2021. Available online: https://www.cdc.gov/std/treatment-guidelines/default.htm (accessed on 16 August 2024).
- Lobo, E.D.; Hansen, R.J.; Balthasar, J.P. Antibody pharmacokinetics and pharmacodynamics. J. Pharm. Sci. 2004, 93, 2645–2668. [Google Scholar] [CrossRef]
- Wang, W.; Wang, E.Q.; Balthasar, J.P. Monoclonal antibody pharmacokinetics and pharmacodynamics. Clin. Pharmacol. Ther. 2008, 84, 548–558. [Google Scholar] [CrossRef] [PubMed]
- Kim, J.; Hayton, W.L.; Robinson, J.M.; Anderson, C.L. Kinetics of FcRn-mediated recycling of IgG and albumin in human: Pathophysiology and therapeutic implications using a simplified mechanism-based model. Clin. Immunol. 2007, 122, 146–155. [Google Scholar] [CrossRef]
- Chen, Y.; Balthasar, J.P. Evaluation of a catenary PBPK model for predicting the in vivo disposition of mAbs engineered for high-affinity binding to FcRn. AAPS J. 2012, 14, 850–859. [Google Scholar] [CrossRef]
- Peletier, L.A.; Gabrielsson, J. Dynamics of target-mediated drug disposition. Eur. J. Pharm. Sci. 2009, 38, 445–464. [Google Scholar] [CrossRef]
- Peletier, L.A.; Gabrielsson, J. Dynamics of target-mediated drug disposition: Characteristic profiles and parameter identification. J. Pharmacokinet Pharmacodyn 2012, 39, 429–451. [Google Scholar] [CrossRef]
- Pinheiro, J.B.D. _nlme: Linear and Nonlinear Mixed Effects Models_. R Package Version 3.1-164. 2023. Available online: https://CRAN.R-project.org/package=nlme (accessed on 18 August 2024).
- Pinheiro, J.C.; Bates, D.M. Mixed-Effects Models in S and S-PLUS; Springer: New York, NY, USA, 2000. [Google Scholar]
- Soetaert, K.; Petzoldt, T.; Setzer, R.W. Solving Differential Equations in R: Package deSolve. J. Stat. Softw. 2010, 33, 1–25. [Google Scholar] [CrossRef]
- Waldmann, T.A. Methods for the study of the metabolism of immunoglobulins. Methods Enzymol. 1985, 116, 201–210. [Google Scholar] [CrossRef] [PubMed]
- Brambell, F.W.; Hemmings, W.A.; Morris, I.G. A Theoretical Model of Gamma-Globulin Catabolism. Nature 1964, 203, 1352–1354. [Google Scholar] [CrossRef] [PubMed]
- Domachowske, J.B.; Khan, A.A.; Esser, M.T.; Jensen, K.; Takas, T.; Villafana, T.; Dubovsky, F.; Dubovsky, F. Safety, Tolerability and Pharmacokinetics of MEDI8897, an Extended Half-life Single-dose Respiratory Syncytial Virus Prefusion F-targeting Monoclonal Antibody Administered as a Single Dose to Healthy Preterm Infants. Pediatr. Infect. Dis. J. 2018, 37, 886–892. [Google Scholar] [CrossRef]
- Kilic, A.; Altinkaynak, S.; Ertekin, V.; Inandi, Y. The duration of maternal measles antibodies in children. J. Trop. Pediatr. 2003, 49, 302–305. [Google Scholar] [CrossRef]
- Parekh, B.; Shaffer, N.; Schochetman, G.; Coughlin, R.T.; Hung, C.H.; George, J.R. HIV-1 specific IgG capture enzyme immunoassay to study the dynamics of HIV-1 antibody and to diagnose HIV-1 infection in infants. NYC Perinatal HIV Transmission Collaborative Study Group. Ann. N. Y. Acad. Sci. 1993, 693, 268–271. [Google Scholar] [CrossRef] [PubMed]
- Gulia, J.; Kumwenda, N.; Li, Q.; Taha, T.E. HIV seroreversion time in HIV-1-uninfected children born to HIV-1-infected mothers in Malawi. J. Acquir. Immune. Defic. Syndr. 2007, 46, 332–337. [Google Scholar] [CrossRef]
- Leuridan, E.; Hens, N.; Hutse, V.; Aerts, M.; Damme, P.V. Aerts. Kinetics of maternal antibodies against rubella and varicella in infants. Vaccine 2011, 29, 2222–2226. [Google Scholar] [CrossRef]
- Watanaveeradej, V.; Endy, T.P.; Samakoses, R.; Kerdpanich, A.; Simasathien, S.; Polprasert, N.; Aree, C.; Vaughn, D.W.; Ho, C.; Nisalak, A. Transplacentally transferred maternal-infant antibodies to dengue virus. Am. J. Trop. Med. Hyg. 2003, 69, 123–128. [Google Scholar] [CrossRef]
- Clegg, L.; Freshwater, E.; Leach, A.; Villafana, T.; Hamrén, U.W. Population Pharmacokinetics of Nirsevimab in Preterm and Term Infants. J. Clin. Pharmacol. 2024, 64, 555–567. [Google Scholar] [CrossRef]
- Ghanem, K.G.; Hook, E.W., 3rd. The Terms “ Serofast” and “Serological Nonresponse” in the Modern Syphilis Era. Sex. Transm. Dis. 2021, 48, 451–452. [Google Scholar] [CrossRef] [PubMed]






| Characteristic | |
|---|---|
| Pregnant parent | (N = 121) |
| Age [yr], median (IQR) | 27 (23–31) |
| Parental treatment (initial course) | |
| Benzathine penicillin (1 dose) | 18 (15) |
| Benzathine penicillin (2 doses) | 92 (76) |
| Benzathine penicillin (3 doses) | 11 (9.1) |
| Re-treatment | 43 (36) |
| Mode of Delivery | |
| Vaginal | 39 (32) |
| C-section (elective) | 19 (16) |
| C-section (emergency) | 7 (5.8) |
| Unknown | 56 (46) |
| Infant | (N = 35) |
| Sex | |
| Female | 14 (40) |
| Male | 21 (60) |
| Gestational age [wk], median (IQR) | |
| Term (≥37 weeks) | 27 (79) |
| Pre-term (<37 weeks) | 7 (21) |
| Unknown | 1 (2.9) |
| Congenital syphilis classification (%) | |
| Less likely | 9 (26) |
| Possible | 14 (40) |
| Confirmed proven or highly probable, | 12 (34) |
| Infant treatment | |
| Penicillin G | 28 (80) |
| Not treated | 6 (17) |
| Unknown | 1 (2.9) |
| Initial RPR (1/Titer) | Parental | Infant | ||||
|---|---|---|---|---|---|---|
| 512 | 35 (2.2–150) | 51 (3.4–180) | 470 (120–1900) | 11 (1.0–31) | 22 (7.4–54) | 200 (100–1500) |
| 256 | 42 (1.8–180) | 58 (4.2–180) | 460 (120–1900) | 13 (1.4–42) | 25 (7.0–69) | 190 (94–1600) |
| 128 | 52 (2.2–180) | 74 (4.4–190) | 430 (110–1800) | 14 (1.8–51) | 29 (8.8–96) | 180 (88–1600) |
| 64 | 63 (3.8–190) | 78 (6.0–190) | 390 (84–1900) | 17 (1.6–85) | 36 (12–140) | 160 (80–1600) |
| 32 | 73 (4.2–190) | 86 (5.2–190) | 370 (58–1900) | 22 (2.8–120) | 43 (12–160) | 150 (66–1500) |
| 16 | 77 (4.4–190) | 98 (8.6–190) | 380 (44–1900) | 23 (2.4–160) | 47 (14–160) | 140 (60–1600) |
| 8 | 82 (3.6–190) | 89 (6.6–190) | 290 (26–1800) | 25 (1.6–150) | 52 (14–180) | 110 (42–1500) |
| 4 | 83 (4.0–190) | 89 (5.0–190) | 240 (16–1800) | 27 (2.0–150) | 52 (13–190) | 86 (24–1300) |
Disclaimer/Publisher’s Note: The statements, opinions and data contained in all publications are solely those of the individual author(s) and contributor(s) and not of MDPI and/or the editor(s). MDPI and/or the editor(s) disclaim responsibility for any injury to people or property resulting from any ideas, methods, instructions or products referred to in the content. |
© 2024 by the authors. Licensee MDPI, Basel, Switzerland. This article is an open access article distributed under the terms and conditions of the Creative Commons Attribution (CC BY) license (https://creativecommons.org/licenses/by/4.0/).
Share and Cite
Schwartz, D.; Tse-Chang, A.; Robinson, J.; Gratrix, J.; Smyczek, P.; Hawkes, M.T. Kinetics of RPR Decline in Pregnant Persons Treated for Syphilis in Pregnancy and Their Infants. Pathogens 2024, 13, 1010. https://doi.org/10.3390/pathogens13111010
Schwartz D, Tse-Chang A, Robinson J, Gratrix J, Smyczek P, Hawkes MT. Kinetics of RPR Decline in Pregnant Persons Treated for Syphilis in Pregnancy and Their Infants. Pathogens. 2024; 13(11):1010. https://doi.org/10.3390/pathogens13111010
Chicago/Turabian StyleSchwartz, Danielle, Alena Tse-Chang, Joan Robinson, Jennifer Gratrix, Petra Smyczek, and Michael T. Hawkes. 2024. "Kinetics of RPR Decline in Pregnant Persons Treated for Syphilis in Pregnancy and Their Infants" Pathogens 13, no. 11: 1010. https://doi.org/10.3390/pathogens13111010
APA StyleSchwartz, D., Tse-Chang, A., Robinson, J., Gratrix, J., Smyczek, P., & Hawkes, M. T. (2024). Kinetics of RPR Decline in Pregnant Persons Treated for Syphilis in Pregnancy and Their Infants. Pathogens, 13(11), 1010. https://doi.org/10.3390/pathogens13111010

