Design and Testing of a Hollow Continuum Magnetic Millirobot with Multimodal Motion
Abstract
1. Introduction
2. Design and Modeling
2.1. Design Scheme
2.2. Physical Modeling
2.2.1. Magnetic Actuation
2.2.2. Robot Deformation
3. Prototype Fabrication and Experimental Results
3.1. Prototype Fabrication and Experimental Setup
3.1.1. Material and Fabrication
3.1.2. Experimental Setup
3.1.3. MHCMM Characterization
3.2. Experimental Results
3.2.1. Navigation Control Results
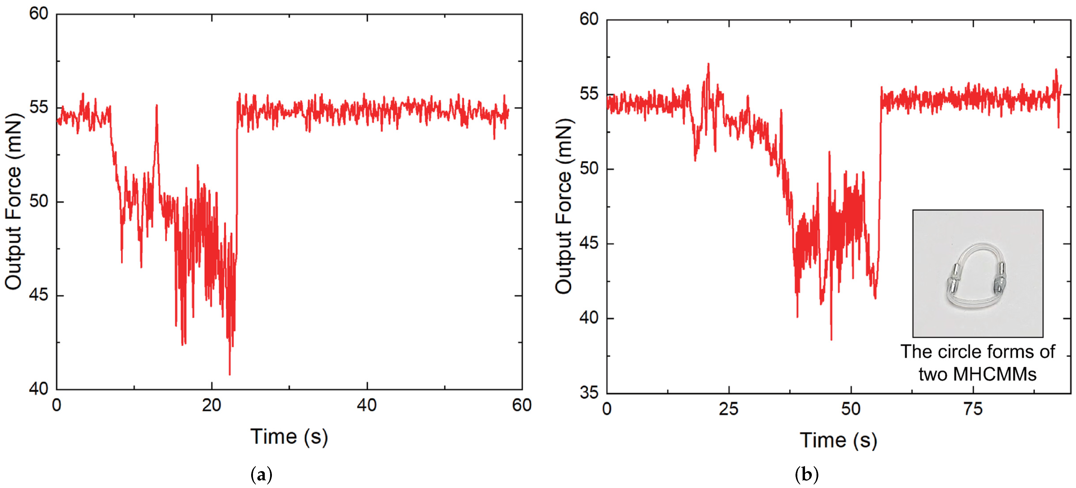
3.2.2. MHCMM Function Test Results
3.3. Discussion
4. Conclusions
Author Contributions
Funding
Data Availability Statement
Conflicts of Interest
References
- Li, M.; Pal, A.; Aghakhani, A.; Pena-Francesch, A.; Sitti, M. Soft actuators for real-world applications. Nat. Rev. Mater. 2022, 7, 235–249. [Google Scholar] [CrossRef]
- Son, D.; Gilbert, H.; Sitti, M. Magnetically actuated soft capsule endoscope for fine-needle biopsy. Soft Robot. 2020, 7, 10–21. [Google Scholar] [CrossRef]
- Nitta, T.; Wang, Y.; Du, Z.; Morishima, K.; Hiratsuka, Y. A printable active network actuator built from an engineered biomolecular motor. Nat. Mater. 2021, 20, 1149–1155. [Google Scholar] [CrossRef]
- Jin, D.; Yuan, K.; Du, X.; Wang, Q.; Wang, S.; Zhang, L. Domino reaction encoded heterogeneous colloidal microswarm with on-demand morphological adaptability. Adv. Mater. 2021, 33, 2100070. [Google Scholar] [CrossRef]
- Akolpoglu, M.B.; Alapan, Y.; Dogan, N.O.; Baltaci, S.F.; Yasa, O.; Aybar Tural, G.; Sitti, M. Magnetically steerable bacterial microrobots moving in 3D biological matrices for stimuli-responsive cargo delivery. Sci. Adv. 2022, 8, eabo6163. [Google Scholar] [CrossRef]
- Cheng, Y.; Li, S.; Liu, J. Abnormal deformation and negative pressure of a hard magnetic disc under the action of a magnet. Sens. Actuators Phys. 2021, 332, 113065. [Google Scholar] [CrossRef]
- Kim, Y.; Yuk, H.; Zhao, R.; Chester, S.A.; Zhao, X. Printing ferromagnetic domains for untethered fast-transforming soft materials. Nature 2018, 558, 274–279. [Google Scholar] [CrossRef]
- Zhang, J.; Ren, Z.; Hu, W.; Soon, R.H.; Yasa, I.C.; Liu, Z.; Sitti, M. Voxelated three-dimensional miniature magnetic soft machines via multimaterial heterogeneous assembly. Sci. Robot. 2021, 6, eabf0112. [Google Scholar] [CrossRef]
- Wu, Z.; Zhang, Y.; Ai, N.; Chen, H.; Ge, W.; Xu, Q. Magnetic Mobile Microrobots for Upstream and Downstream Navigation in Biofluids with Variable Flow Rate. Adv. Intell. Syst. 2022, 4, 2100266. [Google Scholar] [CrossRef]
- Wu, Z.; Zhang, Y.; Chi, Z.; Xu, Q. Design and Development of a New Rotating Electromagnetic Field Generation System for Driving Microrobots. IEEE Trans. Magn. 2021, 58, 1–8. [Google Scholar] [CrossRef]
- Kearney, K.; Hira, R.S.; Riley, R.F.; Kalyanasundaram, A.; Lombardi, W.L. Update on the management of chronic total occlusions in coronary artery disease. Curr. Atheroscler. Rep. 2017, 19, 1–10. [Google Scholar] [CrossRef]
- Song, P.; Rudan, D.; Zhu, Y.; Fowkes, F.J.; Rahimi, K.; Fowkes, F.G.R.; Rudan, I. Global, regional, and national prevalence and risk factors for peripheral artery disease in 2015: An updated systematic review and analysis. Lancet Glob. Health 2019, 7, e1020–e1030. [Google Scholar] [CrossRef]
- Scales, C.D., Jr.; Smith, A.C.; Hanley, J.M.; Saigal, C.S.; Urologic Diseases in America Project. Prevalence of kidney stones in the United States. Eur. Urol. 2012, 62, 160–165. [Google Scholar] [CrossRef]
- Azizi, A.; Tremblay, C.C.; Gagné, K.; Martel, S. Using the fringe field of a clinical MRI scanner enables robotic navigation of tethered instruments in deeper vascular regions. Sci. Robot. 2019, 4, eaax7342. [Google Scholar] [CrossRef]
- Kim, Y.; Parada, G.A.; Liu, S.; Zhao, X. Ferromagnetic soft continuum robots. Sci. Robot. 2019, 4, eaax7329. [Google Scholar] [CrossRef]
- Jeon, S.; Hoshiar, A.K.; Kim, K.; Lee, S.; Kim, E.; Lee, S.; Kim, J.Y.; Nelson, B.J.; Cha, H.J.; Yi, B.J.; et al. A magnetically controlled soft microrobot steering a guidewire in a three-dimensional phantom vascular network. Soft Robot. 2019, 6, 54–68. [Google Scholar] [CrossRef]
- Khalil, I.S.; Tabak, A.F.; Hosney, A.; Mohamed, A.; Klingner, A.; Ghoneima, M.; Sitti, M. Sperm-shaped magnetic microrobots: Fabrication using electrospinning, modeling, and characterization. In Proceedings of the 2016 IEEE International Conference on Robotics and Automation (ICRA), Stockholm, Sweden, 16–21 May 2016; pp. 1939–1944. [Google Scholar]
- Park, M.; Le, T.A.; Yoon, J. Offline Programming Guidance for Swarm Steering of Micro-/Nano Magnetic Particles in a Dynamic Multichannel Vascular Model. IEEE Robot. Autom. Lett. 2022, 7, 3977–3984. [Google Scholar] [CrossRef]
- Dai, Y.; Jia, L.; Wang, L.; Sun, H.; Ji, Y.; Wang, C.; Song, L.; Liang, S.; Chen, D.; Feng, Y.; et al. Magnetically Actuated Cell-Robot System: Precise Control, Manipulation, and Multimode Conversion. Small 2022, 18, 2105414. [Google Scholar] [CrossRef]
- Lin, D.; Wang, J.; Jiao, N.; Wang, Z.; Liu, L. A Flexible Magnetically Controlled Continuum Robot Steering in the Enlarged Effective Workspace with Constraints for Retrograde Intrarenal Surgery. Adv. Intell. Syst. 2021, 3, 2000211. [Google Scholar] [CrossRef]
- Kafash Hoshiar, A.; Jeon, S.; Kim, K.; Lee, S.; Kim, J.y.; Choi, H. Steering algorithm for a flexible microrobot to enhance guidewire control in a coronary angioplasty application. Micromachines 2018, 9, 617. [Google Scholar] [CrossRef]
- Kim, Y.; Genevriere, E.; Harker, P.; Choe, J.; Balicki, M.; Regenhardt, R.W.; Vranic, J.E.; Dmytriw, A.A.; Patel, A.B.; Zhao, X. Telerobotic neurovascular interventions with magnetic manipulation. Sci. Robot. 2022, 7, eabg9907. [Google Scholar] [CrossRef] [PubMed]
- Wang, L.; Kim, Y.; Guo, C.F.; Zhao, X. Hard-magnetic elastica. J. Mech. Phys. Solids 2020, 142, 104045. [Google Scholar] [CrossRef]
- Craik, D.J. Magnetism: Principles and Applications; John Wiley & Sons, Inc.: Hoboken, NJ, USA, 2003. [Google Scholar]
- Agashe, J.S.; Arnold, D.P. A study of scaling and geometry effects on the forces between cuboidal and cylindrical magnets using analytical force solutions. J. Phys. Appl. Phys. 2008, 41, 105001. [Google Scholar] [CrossRef]
- Di Natali, C.; Beccani, M.; Valdastri, P. Real-time pose detection for magnetic medical devices. IEEE Trans. Magn. 2013, 49, 3524–3527. [Google Scholar] [CrossRef]
- Geiger, M. Fundamentals of Vascular Biology; Springer: Cham, Switzerland, 2019. [Google Scholar]
- Xu, C.; Yang, Z.; Tan, S.W.K.; Li, J.; Lum, G.Z. Magnetic Miniature Actuators with Six-Degrees-of-Freedom Multimodal Soft-Bodied Locomotion. Adv. Intell. Syst. 2022, 4, 2100259. [Google Scholar] [CrossRef]
- Wu, Y.; Dong, X.; Kim, J.K.; Wang, C.; Sitti, M. Wireless soft millirobots for climbing three-dimensional surfaces in confined spaces. Sci. Adv. 2022, 8, eabn3431. [Google Scholar] [CrossRef]














| Material Name | Material Properties | Stretching Rate |
|---|---|---|
| Dragon Skin | Shore hardness: 10A, Specific gravity | 1.55 |
| 10 Medium | 1.07 g/mL, Tensile strength: 475 psi | |
| Dragon Skin 30 | Shore hardness: 30A, Specific gravity | 1.34 |
| 1.08 g/mL, Tensile strength: 500 psi | ||
| Finished Silicone Tube | Rockwell hardness: 70A | 1.42 |
Publisher’s Note: MDPI stays neutral with regard to jurisdictional claims in published maps and institutional affiliations. |
© 2022 by the authors. Licensee MDPI, Basel, Switzerland. This article is an open access article distributed under the terms and conditions of the Creative Commons Attribution (CC BY) license (https://creativecommons.org/licenses/by/4.0/).
Share and Cite
Chen, Y.; Xu, Z.; Xu, Q. Design and Testing of a Hollow Continuum Magnetic Millirobot with Multimodal Motion. Actuators 2022, 11, 269. https://doi.org/10.3390/act11100269
Chen Y, Xu Z, Xu Q. Design and Testing of a Hollow Continuum Magnetic Millirobot with Multimodal Motion. Actuators. 2022; 11(10):269. https://doi.org/10.3390/act11100269
Chicago/Turabian StyleChen, Yuanhe, Zichen Xu, and Qingsong Xu. 2022. "Design and Testing of a Hollow Continuum Magnetic Millirobot with Multimodal Motion" Actuators 11, no. 10: 269. https://doi.org/10.3390/act11100269
APA StyleChen, Y., Xu, Z., & Xu, Q. (2022). Design and Testing of a Hollow Continuum Magnetic Millirobot with Multimodal Motion. Actuators, 11(10), 269. https://doi.org/10.3390/act11100269

