Abstract
In conventional piezoelectric ceramics, their brittle nature and containing lead are two crucial issues that significantly restrict their uses in many applications such as biomedical devices. In this work, we suggest the use of an eco-friendly piezoelectric nanocomposite material to piezoelectrically activate a cantilever meta-structure plate to be used as a novel actuator/sensor or even energy harvester; this cantilever plate is formed of several polymeric links to create an auxetic core plate that structurally shows a negative Poisson’s ratio. Moreover, the active nanocomposite materials are used as the face sheets on the auxetic plate; these active layers are made of nanowires of zinc oxide (ZnO) that are placed into an epoxy matrix in different forms of functionally graded (FG) patterns. For such active sandwich plates (ASPs) with potential electromechanical applications, a coupled electromechanical analysis has been performed to numerically investigate their natural frequencies as a crucial design parameter in such electromechanical devices. By developing a meshless method based on a higher plate theory, the effects of nanowire volume fraction, nanowire distribution, auxetic parameters, layer dimensions, and electrical terminal set-up have been studied; this in-depth study reveals that ASPs with an auxetic core have much lower natural frequencies than ASPs with honeycomb cores which would be very helpful in designing actuators or energy harvesters using the proposed cantilever sandwich plates.
1. Introduction
Recently, due to the high demand for self-powered electronic devices, researchers from both academia and industry are becoming more interested in active structures. Among the newly introduced active structures, those activated with piezoelectric materials have gained more attention due to their real-time conversion of electrical potential to mechanical deflections or vice versa []. Another reason for the popularity of this material is the fast development of electronic devices; this development makes those devices miniaturized with fewer electric power needs indeed, therefore generating that power using piezoelectric is becoming more feasible [,,]. The technology of the Internet of Things (IoT) is a promising example of such an electronic devices that needs a set of self-powered sensors and actuators to provide real-time sensing or actuating signals [,]. The required energy to power such electronics can be obtained using piezoelectric effects. However, the conventional, widely used piezoceramics have various disadvantages, such as their brittle nature and containing a toxic material (i.e., lead) [,]; these issues with lead-based piezoceramics have motivated scientists to propose alternatives such as piezoelectric nanocomposites which eliminate toxic materials [,,]; it was found that ZnO fibers as an eco-friendly piezoelectric material perform greater at nanoscales in comparison with their bulk sizes [,,]. Hence, the mixture of nanoscale ZnOs and a passive/active polymer are examined to be substituted for conventional brittle and lead-based piezoceramics. The resulting piezoelectric nanocomposite brings some other benefits to the final electronic device, including structural weight reduction and biocompatibility [,]. However, the broader application of such piezoelectric nanocomposites needs extensive knowledge of their electromechanical behaviours [,]. Given their applications as actuators, sensors, nanogenerators, or energy harvesters, the demands for modal analysis of piezoelectrically activated structures are brighter [,,].
With the successful application of nanocomposite materials in introducing multifunctional structures, it has been demonstrated that the use of such material leads to significant improvements in the mechanical behaviour of the resulting structures [,,,,,]. Carbon nanotube, graphene, and nanoclay reinforced nanocomposite materials are the three most highlighted nanofillers among the passive nanoscale reinforcements [,,,,,,]. The use of nanocomposites reinforced with one or a combination of these passive nanofillers in a nanocomposite structure would improve natural frequencies of that structure [,,]. However, recently, the use of biocompatible and eco-friendly piezoelectric nanofillers such as ZnO, gallium nitride, or barium titanate has also been considered. For example, bimorph polymeric plates with embedded ZnO or gallium nitride nanowires were suggested in [] where the static and vibration behaviour of such piezoelectrically activated plates were compared. Mossalaei et al. [] proposed piezoelectric PVDF cylindrical shells with embedded piezoelectric nanotubes of boron nitride; they presented torsional buckling resistance of such shells in a framework of a coupled thermo-electromechanical study. Moreover, to propose active lightweight panels, a polymeric foam plate has been considered in between two polymeric face sheets with embedded ZnO nanowires [,]. For such piezoelectric sandwich plates, the mechanical and thermal buckling stability behaviours were reported. Electromechanical characterization of piezoelectric nanocomposite materials with embedded nanoscale ZnO that can be used as a nanogenerator were presented in [,]. Arshid et al. [] proposed the use of piezoelectric PVDF nanoplates reinforced with carbon nanotubes in FG patterns; they also presented the buckling stability of such eco-friendly nanoplates. Moreover, various application-oriented devices made of advanced materials have been introduced, where the use of eco-friendly piezoelectric materials is highlighted. To mention some, pure PVDF and PVDF-TrFE as piezoelectric polymers were utilized to propose inexpensive and wearable energy harvesters with biomedical applications [,]. To introduce a biocompatible insulin micropump, Angelou et al. [] successfully proposed the use of a piezoelectrically activated diaphragm made of PVDF/barium titanate. Cantilever-type energy harvesters with a point mass made of a mixture of PVDF/aluminum nitride were also proposed to convert mechanical vibration energies to electrical one [,]. Moreover, a cantilever passive polymeric beam with embedded ZnO nanowires were proposed for harvesting energies from low-frequency vibrations of a human body and powering a temperature sensor [].
However, in this work, a novel lightweight active sandwich plate is suggested to eliminate the concerns with structures/devices that contain PZT-based piezoelectric materials. Due to the use of an auxetic polymeric core and piezoelectric ZnO nanowire-reinforced face sheets, the resulting ASP is also lightweight and eco-friendly; this ASP is considered as a cantilever plate to be used as an actuator, sensor, or energy harvester. To improve the performance of the ASP, FG patterns have been employed for the dispersion of nanowires in the face sheets. Therefore, the newly proposed ASP is not only an eco-friendly multifunctional structure, but is also lightweight structure. As an essential design parameter for the potential electromechanical applications of the proposed ASP, the vibrational behaviour of the ASP has been characterized by evaluating the effects of nanowire content and distribution, auxetic parameters, ASP dimensions, and electrical terminal set-ups. To do so, a meshless solution incorporated with Reddy’s higher plate theory with only five unknowns and MLS shape functions has been developed. To impose the effect of supports, the transformation matrix has been used to avoid penalty parameters employed in the element-free Galerkin method. Therefore, the combination of the developed meshless solution and the utilized plate theory is expected to offer a computationally cost-effective procedure while the accuracy level of results is still high.
2. Modeling of the Structure
As described before, a novel active sandwich structure which includes a cantilever auxetic plate sandwiched by two eco-friendly piezoelectric nanocomposite layers with potential applications as a sensor/actuator or energy harvester is proposed in this study as illustrated in Figure 1; it is assumed that the inner surfaces of the piezoelectric layers are grounded while the outer ones are electrically free or connected to a receiver (in sensor or energy harvester applications) or an electrical source (in actuator applications). Moreover, as shown in Figure 2, there are four geometrical design dimensions including , , and in auxetic structures; it should be mentioned that since the thickness of the ASP is well-smaller than length and width of the ASP, a plate model has been considered so normal stress along the thickness of the plate () is negligible. Moreover, it is assumed that the face sheets are perfectly attached (no slip) to auxetic core. Furthermore, a linear voltage variation through the thickness of face sheets has been assumed.

Figure 1.
Schematic design of the cantilever ASP with an auxetic core and two thinner face sheets.

Figure 2.
A unit cell of the auxetic core pattern with its geometrical parameters.
2.1. Material Properties
As stated before, the middle cellular layer is made of a polymeric material with an auxetic unit cell shape; this specific type of unit cell dedicates negative Poisson’s ratio to the structural behaviour of the middle layer. The geometrical shape of such structures can be described by utilizing the inclined angle , the ratio of cell wall length , and the slenderness ratio of the unit cell wall . Using these shape parameters and the material properties of the employed material, the density , Poisson’s ratio , and the shear and Young’s moduli of an auxetic unit cell and generally the middle layers are estimated as follows []:
where , , and show the material properties of the polymeric material used for the middle layer; it should be mentioned that for the negative values of inclined angle , the Poisson’s ratio of the middle layer would be negative.
Regarding the active layers of the sandwich plates, it is assumed that the nanowires of ZnO are dispersed into the polymeric matrix in FG patterns to improve the functionality of the overall structure. To estimate the overall electromechanical properties of such piezoelectric nanocomposite, a closed-form coupled model that uses a linear piezoelectric theory were utilized []; this model was verified by finite element simulations in []. In this work, the profiles of nanowire distribution in the z direction of outer layers can be determined using the following equations []:
where and are ZnO nanowire volume fractions along in z direction and at the outer surfaces. In addition, is a number called exponent value that can control the distribution of nanowires.
2.2. Governing Equations
For such APSs in electromechanical environments, the weak form of the equation of motion is described as follows []:
where is the displacement vector of the structure along a Cartesian coordinate system. Moreover, , , and are vectors of mechanical stress, electrical displacement, mechanical strain and electric filed, respectively. Furthermore, V is the volume of the APSs.
In this work, the displacement field of these APSs is defined using a five-unknown higher-order theory introduced by Reddy as follows []:
where the constant is defined as and the subscript 0 is used for showing the mid-plane deflections. Moreover, and are mid-plane rotations.
Accordingly, the linear in- and out-of-plane strain vectors (i.e., and ) of the such APSs can be as []:
where
The main difference between piezoelectric material and passive materials are in the definition of their constitutive law where for piezoelectric materials, the constitutive law is defined as a set of coupled electromechanical equations as below []:
where the piezoelectric constant matrix couples the definitions of mechanical stress and electrical displacement vectors. Moreover, in this equation, and are elastic stiffness and dielectric matrices in piezoelectric materials. Considering a plate theory (), the components of Equation (11) can be described as follows []:
here is the electric potential variation.
3. Meshless Solution
The first step in this numerical solution is the approximation of the displacement field. In this paper, MLS shape functions that have a smooth bell-shape variation over the effective domain have been used to approximate the five unknowns of the displacement field introduced in Equation (8) as follows [,]:
where and are the approximated and real values of unknowns over the node numbers n in the effective domain, respectively. The difference between and can be found in [,].
Given the meshless form of the approximated values of displacement field (Equation (17)), the strain and electric field vectors can be defined in meshless forms based on approximated displacement and electric potential vectors as follows:
where
By implementing all the meshless forms of vectors and matrices utilized in the weak form (Equation (7)), this equation can be rearranged to determine the governing eigen value equations for the proposed APSs as follows:
where and are the mass and equivalent stiffness matrices which are expressed as:
in which the pure mechanical , coupled electromechanical , and piezoelectric permittivity stiffness matrices are described as below:
where , , and are as follows:
4. Results and Discussions
It is assumed that the active layers of the proposed eco-friendly APSs are made of ZnO nanowires placed into a polymeric matrix made of Epoxy. Moreover, the auxetic core layer is made of another polymeric material called PMMA to introduce a lightweight and eco-friendly APS. The electromechanical properties of the utilized polymers and nanowires are as follow:
Epoxy [,]: , υ = 0.34, E = 3.8 GPa, k11= k22= k33 = 0.07965 × 10−9 F/m
PMMA []: , υ = 0.34, E = 2.5 GPa
ZnO NW [,]: Q11= Q22 = 209.7, Q13= Q23 = 105.1, Q12 = 121.1 GPa, Q44 = Q55 = 42.47,
, e24 = e15 = −0.48 C/m2, e31 = e32 = −0.573, e33 = 1.32,
k11 = k22 = 0.0757×10−9, k33 = 0.0903 × 10−9 F/m
4.1. Validation
Given the novelty of the proposed ASP, there is no reported results for such structures. Therefore, the verification of the developed meshless solution has been confirmed by considering another ASP consisting of a plate made of Aluminum Oxide and sandwich between two active layers of G-1195N piezoceramics. The natural frequencies of such ASP have been reported by Askari et al. [] and Rouzegar and Abad [] using an FDST-based Levy’s and an HSDT-based Navier’s solutions, respectively. Table 1 compares the first five frequencies of this ASP reported by those references with our meshless results. The dimension of this fully simply supported ASP is as a = b = 400 mm, tc = 5 mm, and tp = 0.1 mm; this comparison shows our meshless results are between the two other set of natural frequencies which verifies the accuracy our developed method.

Table 1.
Natural frequencies (Hz) of a simply supported ASP consisting of a passive layer sandwich between G-1195N piezoceramics.
In addition to the verification of our results with a simplified model, the convergence of the developed meshless solution has also been illustrated in Figure 3. for the eco-friendly ASPs proposed in this paper. In this regard, a cantilever ASP with open-circuit (OC) electrical terminals (as shown in Figure 1), and with a = b = 0.3 m, tc = 9 mm; tp = 0.5 mm, , , , and has been considered. The variation trend of the obtained frequencies confirms the convergence of the obtained natural frequencies as the curve has no considerable change after using 19 nodes in each direction.

Figure 3.
Natural frequency of the eco-friendly APS versus the variation of node numbers.
4.2. Frequencies of the Proposed ASP
This section presents the natural frequency characterization of the eco-friendly ASPs proposed in this paper. In the following simulations, the cantilever ASPs that have been considered for the convergence study have been considered, unless it is mentioned.
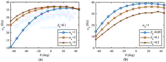
Figure 4 illustrates the effects of auxetic unit cell parameters on the natural frequencies of the proposed ASP; this figure shows both cell wall length and slenderness ratios have a significant effect on the natural frequency of ASPs, especially when the core has a negative Poisson’s ratio which means ; it also observed that with the increase in inclined angle which introduces cores with less negative Poisson’s ratio, the natural frequency of ASPs is increased. However, when the inclined angle is a positive value, its variation does not considerably affect the natural frequency of the APSs. Moreover, it can be seen that auxetic cores with higher values of cell wall length and/or lower slenderness ratios offer ASPs with higher natural frequencies. The reason is that the increase in these two parameters in the core leads to ASPs which have higher structural stiffness. Generally speaking, ASPs with an auxetic core have a lower natural frequency in comparison with those with a honeycomb (positive Poisson’s ratio) core. Therefore, in ASPs with energy harvester or sensor applications, the use of an auxetic core can be more useful if they are subjected to lower-frequency excitations.

Figure 4.
Natural frequency versus inclined angle in core for different (a) cell wall length ratios (b) slenderness ratios in core.
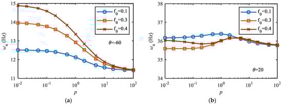
After investigating the auxetic core parameters, Figure 5 explores the effects face sheets’ parameters on the frequencies of such ASPs by changing the values nanowire volume fraction and nanowire distributions ; this figure reveals that in ASPs with negative values of inclined angle (negative Poisson’s ratio), both and have a considerable effect on the natural frequencies of the ASPs such that the face sheets with offers ASPs with higher natural frequencies and values in face sheets leads to ASPs with lower natural frequencies. However, in ASPs with honeycomb core (), these two parameters do not have a significant influence on the frequencies of the proposed ASPs as these types of cores are strong enough to play a considerable role in the structural stiffness of the sandwich plates. Although the existence of ZnO nanowire as the only active component in the proposed ASP is a must, the increase in its volume fraction results in improving the structural stiffness and consequently increasing the natural frequency of the ASP which could have a negative impact on the performance of ASPs when they use as energy harvesters.

Figure 5.
Natural frequency versus nanowire distribution parameter in face sheets for different values nanowire volume fraction at outer faces when the inclined angle is (a) , an auxetic core (b) , a honeycomb core.
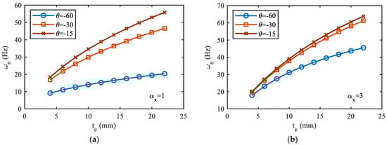
The thicknesses of face sheets and core are the other parameters which are investigated in Figure 6 and Figure 7, respectively. Figure 6 shows that increasing the face sheet thickness sharply increases the natural frequency of ASP. Moreover, it shows that lower values of offer ASPs with higher natural frequencies. Comparing Figure 6b proves that ASPs with higher have slightly higher natural frequencies. Figure 6 shows that the increase in core thickness also improves the natural frequency of the proposed ASPs at any inclined angles () although this increase is more notable at higher values of cell wall length ratio or lower negative values of inclined angles. In addition, the comparison between Figure 7a,b reveals that auxetic cores with higher values of cell wall length ratio offer APSs with higher natural frequencies.

Figure 6.
Natural frequency versus thickness of face sheet for different nanowire distribution patterns when (a)
(b) .

Figure 7.
Natural frequency versus thickness of auxetic core for different inclined angles when (a)
(b) .
Finally, the effect of electrical terminals is investigated on the natural frequencies of proposed ASPs as shown in Table 2; this table lists the natural frequencies of the proposed ASPs with open-circuit and closed-circuit (CC) electrical terminals. Technically the difference between these two electrical terminal set-ups is that in CC both surfaces of the piezoelectric layers are grounded then there would be no piezoelectric effect in APSs. In other word, CC terminals makes the sandwich plate as a passive structure. The comparison between the natural frequencies of APSs with OC and CC terminals discloses that the electrical terminal set-up slightly affects the natural frequency of APSs especially if the amount of the piezoelectric ZnO nanowires is low. Although small differences between the natural frequencies of the same active and passive structures are expected, these very slight differences observed for the proposed ASPs are due to the weak piezoelectric coefficients of the ZnO nanowire/Epoxy nanocomposite used in the face sheets. Moreover, the results listed in this table show that APSs with higher aspect ratios (a/b) have significantly lower natural frequencies which means that in the design of such structures as an energy harvester, considering a cantilever beam with the same layer arrangement would result in harvesting higher electrical energy out of mechanical displacements.

Table 2.
Natural frequencies (Hz) of the proposed APSs with different electrical terminal set-ups, plate aspect ratio, ZnO nanowire volume fraction and inclined angle when a= 0.3 m, tc= 9 mm; tp = 0.5 mm, , and .
5. Conclusions
In this work, a novel eco-friendly active sandwich plate was introduced to be used as an actuator/sensor or even an energy harvester. The proposed APS was made of an auxetic cantilever plate activated by two piezoelectric layers made of ZnO nanowires and Epoxy. As an important design parameter, the natural frequency of such eco-friendly ASPs was characterized using an in-depth numerical study; this numerical study was based on a developed meshless solution incorporating MLS shape functions and a higher-order plate theory. The following results were concluded:
- ASPs with an auxetic (negative Poisson’s ratio) core have much lower natural frequencies in comparison with ASPs with a honeycomb core ().
- The increase in cell wall length ratio or the decrease in the slenderness ratio in core layer increases the natural frequency of ASPs.
- The increase in nanowire volume or changing the nanowire distribution pattern considerably affects the natural frequencies of ASPs with an auxetic core.
- According to Table 2, it is expected that the proposed ASP would be weaker than structures that are activated with traditional piezoceramics in terms of electrical-mechanical energy conversion, although the proposed ASP is an eco-friendly and bio-compatible structure.
- Furthermore, the effect of the electrical terminal set-up on the natural frequencies was found insignificant. Nevertheless, the electrical terminal set-up plays a crucial role in the electrical functionality of the device.
- Another concern of the proposed ASP is some manufacturing limitations associated with auxetic core, which mainly needs to be 3D-printed.
Author Contributions
Formal analysis, R.M.-D. and K.B.; Investigation, R.M.-D.; Methodology, R.M.-D., Project administration, K.B.; Software, R.M.-D., Supervision, K.B.; Validation, R.M.-D.; Visualization, R.M.-D. and K.B.; Writing—original draft, R.M.-D.; Writing—review and editing, R.M.-D. and K.B. All authors have read and agreed to the published version of the manuscript.
Funding
This research was funded by the Connaught Grant Challenge Awards for Energy Harvesting in Biomedical Applications and NSERC of Canada (under grant number RGPIN-217525).
Institutional Review Board Statement
Not applicable.
Informed Consent Statement
Not applicable.
Data Availability Statement
Not applicable.
Acknowledgments
This research was supported by the Connaught Grant Challenge Awards for Energy Harvesting in Biomedical Applications and NSERC of Canada (under grant number RGPIN-217525). The authors are grateful for their support.
Conflicts of Interest
The authors declare no conflict of interest. The funders had no role in the design of the study; in the collection, analyses, or interpretation of data; in the writing of the manuscript; or in the decision to publish the results.
References
- Kundalwal, S.I.; Ray, M.C. Smart Damping of Fuzzy Fiber Reinforced Composite Plates Using 1-3 Piezoelectric Composites. J. Vib. Control 2016, 22, 1526–1546. [Google Scholar] [CrossRef]
- Liang, H.; Hao, G.; Olszewski, O.Z. A Review on Vibration-Based Piezoelectric Energy Harvesting from the Aspect of Compliant Mechanisms. Sens. Actuators A Phys. 2021, 331, 112743. [Google Scholar] [CrossRef]
- Yang, Z.; Zhou, S.; Zu, J.; Inman, D. High-Performance Piezoelectric Energy Harvesters and Their Applications. Joule 2018, 2, 642–697. [Google Scholar] [CrossRef]
- Grilli, L.; Casset, F.; Bressy, C.; Brisset, H.; Briand, J.-F.; Barry-Martinet, R.; Colin, M. Development, Optimization, Biological Assays, and In Situ Field Immersion of a Transparent Piezoelectric Vibrating System for Antifouling Applications. Actuators 2022, 11, 47. [Google Scholar] [CrossRef]
- Sezer, N.; Koç, M. A Comprehensive Review on the State-of-the-Art of Piezoelectric Energy Harvesting. Nano Energy 2021, 80, 105567. [Google Scholar] [CrossRef]
- Liu, L.; Guo, X.; Lee, C. Promoting Smart Cities into the 5G Era with Multi-Field Internet of Things (IoT) Applications Powered with Advanced Mechanical Energy Harvesters. Nano Energy 2021, 88, 106304. [Google Scholar] [CrossRef]
- Zhao, Z.; Dai, Y.; Dou, S.X.; Liang, J. Flexible Nanogenerators for Wearable Electronic Applications Based on Piezoelectric Materials. Mater. Today Energy 2021, 20. [Google Scholar] [CrossRef]
- Sharma, S.; Vig, R.; Kumar, N. Finite Element Modeling of Smart Piezo Structure: Considering Dependence of Piezoelectric Coefficients on Electric Field. Mech. Based Des. Struct. Mach. 2016, 44, 372–383. [Google Scholar] [CrossRef]
- Krishnaswamy, J.A.; Buroni, F.C.; Garcia-Sanchez, F.; Melnik, R.; Rodriguez-Tembleque, L.; Saez, A. Lead-Free Piezocomposites with CNT-Modified Matrices: Accounting for Agglomerations and Molecular Defects. Compos. Struct. 2019, 224, 111033. [Google Scholar] [CrossRef]
- Tan, P.; Tong, L. Micro-Electromechanics Models for Piezoelectric-Fiber-Reinforced Composite Materials. Compos. Sci. Technol. 2001, 61, 759–769. [Google Scholar] [CrossRef]
- Mosallaie Barzoki, A.A.; Ghorbanpour Arani, A.; Kolahchi, R.; Mozdianfard, M.R. Electro-Thermo-Mechanical Torsional Buckling of a Piezoelectric Polymeric Cylindrical Shell Reinforced by DWBNNTs with an Elastic Core. Appl. Math. Model. 2012, 36, 2983–2995. [Google Scholar] [CrossRef]
- Fan, Z.; Mo, X.; Lou, C.; Yao, Y.; Wang, D.; Chen, G.; Lu, J.G. Structures and Electrical Properties of Ag-Tetracyanoquinodimethane Organometallic Nanowires. Nanotechnol. IEEE Trans. 2005, 4, 238–241. [Google Scholar] [CrossRef]
- Qin, Y.; Wang, X.; Wang, Z.L. Microfibre-Nanowire Hybrid Structure for Energy Scavenging. Nature 2008, 451, 809–814. [Google Scholar] [CrossRef] [PubMed]
- Wang, Z.L.; Song, J. Piezoelectric Nanogenerators Based on Zinc Oxide Nanowire Arrays. Science 2006, 312, 242–246. [Google Scholar] [PubMed]
- Momeni, K. A Multiscale Approach to Nanocomposite Electrical Generators. Nano Energy 2014, 4, 132–139. [Google Scholar] [CrossRef]
- Saravanakumar, B.; Thiyagarajan, K.; Alluri, N.R.; SoYoon, S.; Taehyun, K.; Lin, Z.H.; Kim, S.J. Fabrication of an Eco-Friendly Composite Nanogenerator for Self-Powered Photosensor Applications. Carbon N. Y. 2015, 84, 56–65. [Google Scholar] [CrossRef]
- Moradi-Dastjerdi, R.; Behdinan, K. Dynamic Performance of Piezoelectric Energy Harvesters with a Multifunctional Nanocomposite Substrate. Appl. Energy 2021, 293, 116947. [Google Scholar] [CrossRef]
- Setoodeh, A.R.; Shojaee, M.; Malekzadeh, P. Application of Transformed Differential Quadrature to Free Vibration Analysis of FG-CNTRC Quadrilateral Spherical Panel with Piezoelectric Layers. Comput. Methods Appl. Mech. Engrg. 2018, 335, 510–537. [Google Scholar] [CrossRef]
- Zhang, J.; Zhang, J.; Shu, C.; Fang, Z. Enhanced Piezoelectric Wind Energy Harvesting Based on a Buckled Beam. Appl. Phys. Lett. 2017, 110, 183903. [Google Scholar] [CrossRef]
- Ansari, M.H.; Karami, M.A. Energy Harvesting from Controlled Buckling of Piezoelectric Beams. Smart Mater. Struct. 2015, 24, 115005. [Google Scholar] [CrossRef]
- Malekzadeh, P.; Setoodeh, A.R.; Shojaee, M. Vibration of FG-GPLs Eccentric Annular Plates Embedded in Piezoelectric Layers Using a Transformed Differential Quadrature Method. Comput. Methods Appl. Mech. Eng. 2018, 340, 451–479. [Google Scholar] [CrossRef]
- Sobhani, E.; Masoodi, A.R. Natural Frequency Responses of Hybrid Polymer/Carbon Fiber/FG-GNP Nanocomposites Paraboloidal and Hyperboloidal Shells Based on Multiscale Approaches. Aerosp. Sci. Technol. 2021, 119, 107111. [Google Scholar] [CrossRef]
- Liu, Y.; Hu, W.; Zhu, R.; Safaei, B.; Qin, Z.; Chu, F. Dynamic Responses of Corrugated Cylindrical Shells Subjected to Nonlinear Low-Velocity Impact. Aerosp. Sci. Technol. 2022, 121, 107321. [Google Scholar] [CrossRef]
- Sheikh, T.; Behdinan, K. Multiscale Analysis of Laminates Printed by 3D Printing Fused Deposition Modeling Method. Adv. Compos. Mater. Struct. 2022, 233–243. [Google Scholar] [CrossRef]
- Sobhani, E.; Masoodi, A.R.; Ahmadi-Pari, A.R. Vibration of FG-CNT and FG-GNP Sandwich Composite Coupled Conical-Cylindrical-Conical Shell. Compos. Struct. 2021, 273, 114281. [Google Scholar] [CrossRef]
- Sobhani, E.; Arbabian, A.; Civalek, Ö. The Free Vibration Analysis of Hybrid Porous Nanocomposite Joined Hemispherical-Cylindrical-Conical Shells. Eng. Comput. 2021. [Google Scholar] [CrossRef]
- Trivedi, N.; Das, S.; Craciun, E.-M. The Mathematical Study of an Edge Crack in Two Different Specified Models under Time-Harmonic Wave Disturbance. Mech. Compos. Mater. 2022. [Google Scholar] [CrossRef]
- Alian, A.R.; Meguid, S.A.; Kundalwal, S.I. Unraveling the Influence of Grain Boundaries on the Mechanical Properties of Polycrystalline Carbon Nanotubes. Carbon N. Y. 2017, 125, 180–188. [Google Scholar] [CrossRef]
- Moradi-Dastjerdi, R.; Behdinan, K. Stress Waves in Thick Porous Graphene-Reinforced Cylinders under Thermal Gradient Environments. Aerosp. Sci. Technol. 2021, 110, 106476. [Google Scholar] [CrossRef]
- Ghahramani, P.; Behdinan, K.; Moradi-Dastjerdi, R.; Naguib, H.E. Theoretical and Experimental Investigation of MWCNT Dispersion Effect on the Elastic Modulus of Flexible PDMS / MWCNT Nanocomposites. Nanotechnol. Rev. 2022, 11, 55–64. [Google Scholar] [CrossRef]
- Yasin Alibar, M.; Safaei, B.; Asmael, M.; Zeeshan, Q. Effect of Carbon Nanotubes and Porosity on Vibrational Behavior of Nanocomposite Structures: A Review. Arch. Comput. Methods Eng. 2022, 29, 2621–2657. [Google Scholar] [CrossRef]
- Pan, S.; Feng, J.; Safaei, B.; Qin, Z.; Chu, F.; Hui, D. A Comparative Experimental Study on Damping Properties of Epoxy Nanocomposite Beams Reinforced with Carbon Nanotubes and Graphene Nanoplatelets. Nanotechnol. Rev. 2022, 11, 1658–1669. [Google Scholar] [CrossRef]
- Chang, E.; Ameli, A.; Alian, A.R.; Mark, L.H.; Yu, K.; Wang, S.; Park, C.B. Percolation Mechanism and Effective Conductivity of Mechanically Deformed 3-Dimensional Composite Networks: Computational Modeling and Experimental Verification. Compos. Part B Eng. 2021, 207, 108552. [Google Scholar] [CrossRef]
- Nuhu, A.A.; Safaei, B. A Comprehensive Review on the Vibration Analyses of Small-Scaled Plate-Based Structures by Utilizing the Nonclassical Continuum Elasticity Theories. Thin-Walled Struct. 2022, 179, 109622. [Google Scholar] [CrossRef]
- Moradi-Dastjerdi, R.; Meguid, S.A.; Rashahmadi, S. Electro-Dynamic Analysis of Smart Nanoclay-Reinforced Plates with Integrated Piezoelectric Layers. Appl. Math. Model. 2019, 75, 267–278. [Google Scholar] [CrossRef]
- Moradi-Dastjerdi, R.; Malek-Mohammadi, H.; Momeni-Khabisi, H. Free Vibration Analysis of Nanocomposite Sandwich Plates Reinforced with CNT Aggregates. ZAMM-J. Appl. Math. Mech./Zeitschrift fur Angew. Math. Mech. 2017, 97, 1418–1435. [Google Scholar] [CrossRef]
- Sobhani, E.; Masoodi, A.R.; Civalek, O.; Ahmadi-Pari, A.R. Agglomerated Impact of CNT vs. GNP Nanofillers on Hybridization of Polymer Matrix for Vibration of Coupled Hemispherical-Conical-Conical Shells. Aerosp. Sci. Technol. 2022, 120, 107257. [Google Scholar] [CrossRef]
- Moradi-Dastjerdi, R.; Rashahmadi, S.; Meguid, S.A. Electro-Mechanical Performance of Smart Piezoelectric Nanocomposite Plates Reinforced by Zinc Oxide and Gallium Nitride Nanowires. Mech. Based Des. Struct. Mach. 2022, 50, 1954–1967. [Google Scholar] [CrossRef]
- Moradi-Dastjerdi, R.; Behdinan, K. Biaxial Buckling Analysis of an Innovative Active Sandwich Plate. Mech. Based Des. Struct. Mach. 2022, 1–14. [Google Scholar] [CrossRef]
- Behdinan, K.; Moradi-Dastjerdi, R. Thermal Buckling Resistance of a Lightweight Lead-Free Piezoelectric Nanocomposite Sandwich Plate. Adv. Nano Res. 2022, 12, 593–603. [Google Scholar]
- De Bellis, M.L.; Bacigalupo, A.; Zavarise, G. Characterization of Hybrid Piezoelectric Nanogenerators through Asymptotic Homogenization. Comput. Methods Appl. Mech. Eng. 2019, 355, 1148–1186. [Google Scholar] [CrossRef] [Green Version]
- Choi, M.; Murillo, G.; Hwang, S.; Kim, J.W.; Jung, J.H.; Chen, C.Y.; Lee, M. Mechanical and Electrical Characterization of PVDF-ZnO Hybrid Structure for Application to Nanogenerator. Nano Energy 2017, 33, 462–468. [Google Scholar] [CrossRef]
- Arshid, E.; Amir, S.; Loghman, A. Bending and Buckling Behaviors of Heterogeneous Temperature-Dependent Micro Annular/Circular Porous Sandwich Plates Integrated by FGPEM Nano-Composite Layers. J. Sandw. Struct. Mater. 2021, 23, 3836–3877. [Google Scholar] [CrossRef]
- Hu, C.; Behdinan, K.; Moradi-Dastjerdi, R. PVDF Energy Harvester for Prolonging the Battery Life of Cardiac Pacemakers. Actuators 2022, 11, 187. [Google Scholar] [CrossRef]
- Kim, J.; Byun, S.; Lee, S.; Ryu, J.; Cho, S.; Oh, C.; Kim, H.; No, K.; Ryu, S.; Lee, Y.M.; et al. Cost-Effective and Strongly Integrated Fabric-Based Wearable Piezoelectric Energy Harvester. Nano Energy 2020, 75, 104992. [Google Scholar] [CrossRef]
- Angelou, A.; Norman, C.; Miran, N.; Albers, S.; Moradi-Dastjerdi, R.; Behdinan, K. An Eco-Friendly, Biocompatible and Reliable Piezoelectric Nanocomposite Actuator for the New Generation of Microelectronic Devices. Eur. Phys. J. Plus 2021, 136, 678. [Google Scholar] [CrossRef]
- Zhao, X.; Shang, Z.; Luo, G.; Deng, L. A Vibration Energy Harvester Using AlN Piezoelectric Cantilever Array. Microelectron. Eng. 2015, 142, 47–51. [Google Scholar] [CrossRef]
- Elfrink, R.; Kamel, T.M.; Goedbloed, M.; Matova, S.; Hohlfeld, D.; van Andel, Y.; van Schaijk, R. Vibration Energy Harvesting with Aluminum Nitride-Based Piezoelectric Devices. J. Micromech. Microeng 2009, 19, 094005. [Google Scholar] [CrossRef]
- Meschino, M.; Wang, L.; Xu, H.; Moradi-Dastjerdi, R.; Behdinan, K. Low-Frequency Nanocomposite Piezoelectric Energy Harvester with Embedded Zinc Oxide Nanowires. Polym. Compos. 2021, 42, 4573–4585. [Google Scholar] [CrossRef]
- Duc, N.D.; Cong, P.H. Nonlinear Dynamic Response and Vibration of Sandwich Composite Plates with Negative Poisson’s Ratio in Auxetic Honeycombs. J. Sandw. Struct. Mater. 2018, 20, 692–717. [Google Scholar] [CrossRef]
- Moradi-Dastjerdi, R.; Behdinan, K. Thermo-Electro-Mechanical Behavior of an Advanced Smart Lightweight Sandwich Plate. Aerosp. Sci. Technol. 2020, 106, 106142. [Google Scholar] [CrossRef]
- Tran, L.V.; Thai, C.H.; Nguyen-xuan, H. An Isogeometric Finite Element Formulation for Thermal Buckling Analysis of Functionally Graded Plates. Finite Elem. Anal. Des. 2013, 73, 65–76. [Google Scholar] [CrossRef]
- Reddy, J.N. Mechanics of Laminated Composite Plates and Shells: Theory and Analysis; CRC Press: Boca Raton, FL, USA, 2004; ISBN 0849315921. [Google Scholar]
- Lancaster, P.; Salkauskas, K. Surface Generated by Moving Least Squares Methods. Math. Comput. 1981, 37, 141–158. [Google Scholar] [CrossRef]
- Yasmin, A.; Luo, J.J.; Abot, J.L.; Daniel, I.M. Mechanical and Thermal Behavior of Clay/Epoxy Nanocomposites. Compos. Sci. Technol. 2006, 66, 2415–2422. [Google Scholar] [CrossRef]
- Berger, H.; Kari, S.; Gabbert, U.; Rodriguez-Ramos, R.; Guinovart, R.; Otero, J.A.; Bravo-Castillero, J. An Analytical and Numerical Approach for Calculating Effective Material Coefficients of Piezoelectric Fiber Composites. Int. J. Solids Struct. 2005, 42, 5692–5714. [Google Scholar] [CrossRef]
- Shen, H.-S. Postbuckling of Nanotube-Reinforced Composite Cylindrical Shells in Thermal Environments, Part I: Axially-Loaded Shells. Compos. Struct. 2011, 93, 2096–2108. [Google Scholar] [CrossRef]
- Mishra, N.; Krishna, B.; Singh, R.; Das, K. Evaluation of Effective Elastic, Piezoelectric, and Dielectric Properties of SU8/ZnO Nanocomposite for Vertically Integrated Nanogenerators Using Finite Element Method. J. Nanomater. 2017, 2017, 1924651. [Google Scholar] [CrossRef]
- Özgür, Ü.; Alivov, Y.I.; Liu, C.; Teke, A.; Reshchikov, M.A.; Doǧan, S.; Avrutin, V.; Cho, S.J.; Morkoç, H. A Comprehensive Review of ZnO Materials and Devices. J. Appl. Phys. 2005, 98, 041301. [Google Scholar] [CrossRef]
- Askari Farsangi, M.A.; Saidi, A.R. Levy Type Solution for Free Vibration Analysis of Functionally Graded Rectangular Plates with Piezoelectric Layers. Smart Mater. Struct. 2012, 21, 094017. [Google Scholar] [CrossRef]
- Rouzegar, J.; Abad, F. Free Vibration Analysis of FG Plate with Piezoelectric Layers Using Four-Variable Refined Plate Theory. Thin-Walled Struct. 2015, 89, 76–83. [Google Scholar] [CrossRef]
Publisher’s Note: MDPI stays neutral with regard to jurisdictional claims in published maps and institutional affiliations. |
© 2022 by the authors. Licensee MDPI, Basel, Switzerland. This article is an open access article distributed under the terms and conditions of the Creative Commons Attribution (CC BY) license (https://creativecommons.org/licenses/by/4.0/).