PMSM Adaptive Sliding Mode Controller Based on Improved Linear Dead Time Compensation
Abstract
:1. Introduction
2. Design of Adaptive Sliding Mode Observer
2.1. Design of Sliding Mode Observer
2.2. Design of Adaptive Sliding Mode Observer
3. Analysis and Compensation of the Influence of Dead Time Effect on Observation Error
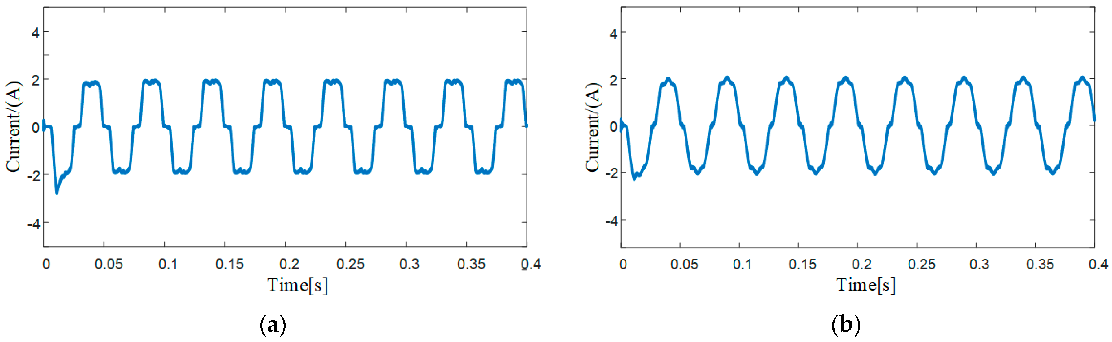
4. Analysis of Simulation Results
5. Conclusions
Author Contributions
Funding
Data Availability Statement
Conflicts of Interest
References
- Maiti, S.; Chakraborty, C. Model Reference Adaptive Controller-Based Rotor Resistance and Speed Estimation Techniques for Vector Controlled Induction Motor Drive Utilizing Reactive Power. IEEE Trans. Ind. Electron. 2008, 55, 594–601. [Google Scholar] [CrossRef]
- Cheng, X.; Liu, H.; Lu, W. Chattering-Suppressed Sliding Mode Control for Flexible-Joint Robot Manipulators. Actuators 2021, 10, 288. [Google Scholar] [CrossRef]
- Wibowo, W.K.; Jeong, S.K. Improved estimation of rotor position for sensorless control of a PMSM based on a sliding mode observer. J. Cent. South Univ. 2016, 23, 1643–1656. [Google Scholar] [CrossRef]
- Hosseyni, A.; Trabelsi, R.; Iqbal, A. An improved sensorless sliding mode control/adaptive observer of a five-phase permanent magnet synchronous motor drive. Int. J. Adv. Manu.f Technol. 2017, 93, 1029–1039. [Google Scholar] [CrossRef]
- Ilioudis, V.C.; Margaris, N.I. Sensorless Sliding Mode Observer based on rotor position error for salient-pole PMSM. In Proceedings of the Mediterranean Conference on Control and Automation, Thessaloniki, Greece, 24–26 June 2009. [Google Scholar]
- Han, Y.-S.; Choi, J.-S.; Kim, Y.-S. Sensorless PMSM drive with a sliding mode control based adaptive speed and stator resistance estimator. IEEE Trans. Ind. Magnetics. 2000, 36, 3588–3591. [Google Scholar] [CrossRef]
- Han, Y.S.; Kim, Y.S. Sensorless control of Permanent Magnet Synchronous Motor based on rotating coordinate system considering dead-time. In Proceedings of the IEEE International Conference on Power and Power and Renewable Energy (ICPRE), Shanghai, China, 21–23 October 2016. [Google Scholar]
- Liang, D.; Li, J.; Qu, R. Sensorless Control of Permanent Magnet Synchronous Machine Based on Second-Order Sliding-Mode Observer With Online Resistance Estimation. IEEE Trans. Ind. Appl. 2017, 53, 3672–3682. [Google Scholar] [CrossRef]
- Liang, D.; Li, J.; Qu, R. Super-twisting algorithm based sliding-mode observer with online parameter estimation for sensorless control of permanent magnet synchronous machine. In Proceedings of the IEEE Energy Conversion Congress and Exposition, Milwaukee, WI, USA, 18–22 September 2016. [Google Scholar]
- Habbi, H.M.D.; Surong, H. Sensorless Control Approach Based Adaptive Fuzzy Logic Controller for IPMSM Drive with an On-line Stator Resistance Estimation. In Proceedings of the Pacific-Asia Conference on Knowledge Engineering and Software Engineering, Shenzhen, China, 19–20 December 2009. [Google Scholar]
- Lu, W.; Zheng, D.; Lu, Y. New Sensorless Vector Control System with High Load Capacity Based on Improved SMO and Improved FOO. IEEE Access. 2021, 9, 40716–40727. [Google Scholar] [CrossRef]
- Lee, K.; Choy, I.; Back, J. Disturbance observer based sensorless speed controller for PMSM with improved robustness against load torque variation. In Proceedings of the 8th International Conference on Power Electronics, Jeju, Korea, 30 May–3 June 2011. [Google Scholar]
- Apte, A.; Joshi, V.A.; Mehta, H.; Walambe, R. Disturbance-Observer-Based Sensorless Control of PMSM Using Integral State Feedback Controller. IEEE Trans. Ind. Electron. 2019, 35, 6082–6090. [Google Scholar] [CrossRef]
- Zhao, Y.; Qiao, W.; Wu, L. Dead-Time Effect Analysis and Compensation for a Sliding-Mode Position Observer-Based Sensorless IPMSM Control System. IEEE Trans. Ind. Appl. 2014, 51, 2528–2535. [Google Scholar] [CrossRef]
- Wang, Y.; Xu, Y.; Zou, J. Sliding-Mode Sensorless Control of PMSM with Inverter Nonlinearity Compensation. IEEE Trans. Ind. Electron. 2019, 34, 10206–10220. [Google Scholar] [CrossRef]
- Wesub, E.; Imyong, K.; Jang, L. Enhancement of the speed response of PMSM sensorless control using an improved adaptive sliding mode observer. Ind. Electron. 2008, 188–192. [Google Scholar]
- Yuan, Q.; Yang, Y.; Wu, H. Low Speed Sensorless Control Based on an Improved Sliding Mode Observation and the Inverter Nonlinearity Compensation for SPMSM. IEEE Access. 2020, 8, 61299–61310. [Google Scholar] [CrossRef]
- Kim, H.; Son, J.; Lee, J. A High-Speed Sliding-Mode Observer for the Sensorless Speed Control of a PMSM. IEEE Trans. Ind. Electron. 2011, 58, 4069–4077. [Google Scholar]
- Zhou, C.; Zhou, Z.; Tang, W.; Yu, Z. Improved Sliding-Mode Observer for Position Sensorless Control of PMSM. In Proceedings of the 2018 Chinese Automation Congress (CAC), Xi’an, China, 30 November–2 December 2018. [Google Scholar]
- Ben-Brahim, L. On the compensation of dead time and zero-current crossing for a PWM-inverter-controlled AC servo drive. IEEE Trans. Ind. Electron. 2004, 51, 1113–1118. [Google Scholar] [CrossRef]
- Wang, T.; Hu, G.; Yu, Q. An Improved Sensorless Control Scheme for PMSM with Online Parameter Estimation. In Proceedings of the 2021 IEEE 16th Conference on Industrial Electronics and Applications (ICIEA), Chengdu, China, 1–4 August 2021. [Google Scholar]
















| Parameter | Value |
|---|---|
| Rated line voltage/V | 310 |
| Rated line current/A | 3 |
| Rated power/W | 750 |
| Rated speed/(r/min) | 2500 |
| Stator phase resistance/Ω | 1.68 |
| Inductance/mH | 3.2 |
| Permanent magnet fluxlinkage/Wb | 0.093 |
| Polar | 4 |
Publisher’s Note: MDPI stays neutral with regard to jurisdictional claims in published maps and institutional affiliations. |
© 2022 by the authors. Licensee MDPI, Basel, Switzerland. This article is an open access article distributed under the terms and conditions of the Creative Commons Attribution (CC BY) license (https://creativecommons.org/licenses/by/4.0/).
Share and Cite
Chen, H.; Yao, Z.; Liu, Y.; Lin, J.; Wang, P.; Gao, J.; Zhu, S.; Zhou, R. PMSM Adaptive Sliding Mode Controller Based on Improved Linear Dead Time Compensation. Actuators 2022, 11, 267. https://doi.org/10.3390/act11090267
Chen H, Yao Z, Liu Y, Lin J, Wang P, Gao J, Zhu S, Zhou R. PMSM Adaptive Sliding Mode Controller Based on Improved Linear Dead Time Compensation. Actuators. 2022; 11(9):267. https://doi.org/10.3390/act11090267
Chicago/Turabian StyleChen, Huipeng, Zhiqiang Yao, Yongqing Liu, Jian Lin, Peng Wang, Jian Gao, Shaopeng Zhu, and Rougang Zhou. 2022. "PMSM Adaptive Sliding Mode Controller Based on Improved Linear Dead Time Compensation" Actuators 11, no. 9: 267. https://doi.org/10.3390/act11090267
APA StyleChen, H., Yao, Z., Liu, Y., Lin, J., Wang, P., Gao, J., Zhu, S., & Zhou, R. (2022). PMSM Adaptive Sliding Mode Controller Based on Improved Linear Dead Time Compensation. Actuators, 11(9), 267. https://doi.org/10.3390/act11090267

