Fault Detection of Multi-Wheeled Robot Consensus Based on EKF
Abstract
1. Introduction
2. Multi-Wheeled Robot Consensus
2.1. Graph Theory
2.1.1. Notation
2.1.2. Graph Theory
2.1.3. Closed-Loop System
2.2. Wheeled Mobile Robot Modeling
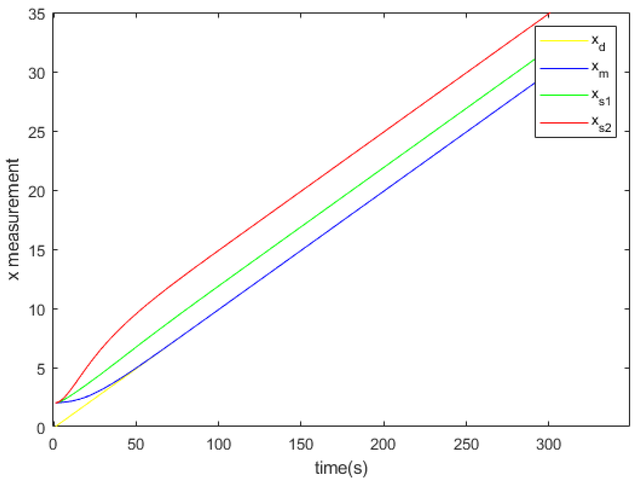
2.3. Simulations
- m: The master robot,
- : The first slave robot,
- : The second slave robot,
- : State vector of the desired trajectory,
- : State vector of the master robot,
- : State vector of the first slave robot,
- : State vector of the second slave robot,
- : The left and right controllers of the master robot,
- : The left and right controllers of the first slave robot,
- : The left and right controllers of the second slave robot.
3. Fault Detection Based on the Extended Kalman Filter
3.1. Extended Kalman Filter and Fault Diagnosis
3.1.1. The Extended Kalman Filter (EKF)
- Hypothesis:
- The pair of matrices is detectable, which means that there is no unstable mode or no observability in the system.
- The signals and are central Gaussian white noises. The Density Power Spectral (DSP) covariances and mean
- Correction:
- Updated state estimate:
- Updated covariance estimate:
- Measurement residual:
- Innovation covariance:
- Near-optimal Kalman gain:
- Prediction:
- Predicted state estimate:
- Predicted covariance:
3.1.2. Fault Diagnosis Steps
- Master Robot: Sends control commands to the Slave Robot.
- Slave Robot: Execute actions based on the received commands.
- Sensors: Collect data from the environment and the robots’ states, providing inputs for the EKF.
- Actuators: Perform the necessary actions in response to control signals.
- Extended Kalman Filter (EKF): Estimates the system’s states based on sensor data and predicted models.
- Residual Generator: Calculates residuals by comparing the EKF’s state estimates with actual measurements.
- Fault Decision Module: Analyzes the residuals to detect any discrepancies indicating potential faults, triggering appropriate responses if faults are detected.
- Step 1: Residual generation
- Step 2: Residue evaluation
- Step 3: Decision
3.2. Closed-Loop System
3.3. Simulation Results
4. Fault Detection in Multi-Robot System
Fault Diagnosis
5. Conclusions
Author Contributions
Funding
Data Availability Statement
Conflicts of Interest
References
- Ribeiro, A.F.A.; Lopes, A.C.C.; Ribeiro, T.A.; Pereira, N.S.S.M.; Lopes, G.T.; Ribeiro, A.F.M. Probability-Based Strategy for a Football Multi-Agent Autonomous Robot System. Robotics 2024, 13, 5. [Google Scholar] [CrossRef]
- Guo, X.G.; Xu, W.D.; Wang, J.L.; Park, J.H. Distributed neuroadaptive fault-tolerant sliding-mode control for 2-D plane vehicular platoon systems with spacing constraints and unknown direction faults. Automatica 2021, 129, 109675. [Google Scholar] [CrossRef]
- Ruch, C.; Gachter, J.; Hakenberg, J.; Frazzoli, E. The +1 Method: Model-Free Adaptive Repositioning Policies for Robotic Multi-Agent Systems. IEEE Trans. Netw. Sci. Eng. 2020, 7, 3171–3184. [Google Scholar] [CrossRef]
- Engelmann, D.C.; Ferrando, A.; Panisson, A.R.; Ancona, D.; Bordini, R.H.; Mascardi, V. RV4JaCamdash;Towards Runtime Verification of Multi-Agent Systems and Robotic Applications. Robotics 2023, 12, 49. [Google Scholar] [CrossRef]
- Jouili, A.; Boussaid, B.; Zouinkhi, A.; Abdelkrim, M. Finite time consensus for multi-tricycle systems under graph theory. In Proceedings of the 2020 20th International Conference on Sciences and Techniques of Automatic Control and Computer Engineering (STA), Sfax, Tunisia, 20–22 December 2020; pp. 24–29. [Google Scholar] [CrossRef]
- Sayed-Mouchaweh, M.; Billaudel, P. Abrupt and Drift-Like Fault Diagnosis of Concurent Discrete Event Systems. In Proceedings of the 2012 11th International Conference on Machine Learning and Applications, Boca Raton, FL, USA, 12–15 December 2012; Volume 2, pp. 434–439. [Google Scholar] [CrossRef]
- Khan, A.Q. Observer-Based Fault Detection in Nonlinear Systems. Ph.D. Thesis, University of Duisburg Essen, Essen, Germany, 2010. [Google Scholar]
- Sallem, F. Détection et Isolation de Défauts Actionneurs Basées sur un Modèle de L’organe de Commande. Ph.D. Thesis, Université Paul Sabatier—Toulouse III, Toulouse, France, 2013. [Google Scholar]
- Mouzakitis, A. Classification of fault diagnosis methods for control systems. Meas. Control. 2013, 46, 303–308. [Google Scholar] [CrossRef]
- Fourlas, G.K.; Karras, G.C.; Kyriakopoulos, K.J. Sensors fault diagnosis in autonomous mobile robots using observer —Based technique. In Proceedings of the 2015 International Conference on Control, Automation and Robotics, Singapore, 20–22 May 2015; pp. 49–54. [Google Scholar] [CrossRef]
- Yutian, L.; Jungan, C. Integrated Fault Diagnosis Method of Mobile Robot. In Theoretical and Mathematical Foundations of Computer Science; Springer: Berlin/Heidelberg, Germany, 2011; pp. 372–379. [Google Scholar]
- Rhouma, T.; Keller, J.Y.; Abdelkrim, M.N. A Kalman filter with intermittent observations and reconstruction of data losses. Int. J. Appl. Math. Comput. Sci. 2022, 32, 241–253. [Google Scholar] [CrossRef]
- Ducard, G. Smac–Fdi: A Single Model Active Fault Detection and Isolation System for Unmanned Aircraft. Int. J. Appl. Math. Comput. Sci. 2015, 25, 189–201. [Google Scholar] [CrossRef]
- Jouili, A.; Boussaid, B.; Zouinkhi, A.; Abdelkrim, M. Fault detection in wheeled mobile robot based on extended kalman filter. In Proceedings of the 2022 IEEE 21st international Ccnference on Sciences and Techniques of Automatic Control and Computer Engineering (STA), Sousse, Tunisia, 19–21 December 2022; pp. 237–242. [Google Scholar]
- Jouili, A.; Boussaid, B.; Zouinkhi, A.; Abdelkrim, M.N. FDI based extended kalman filter for multi robot system. In Proceedings of the 2023 20th International Multi-Conference on Systems, Signals & Devices (SSD), Mahdia, Tunisia, 20–23 February 2023; pp. 675–680. [Google Scholar] [CrossRef]
- Kia, S.S.; Van Scoy, B.; Cortes, J.; Freeman, R.A.; Lynch, K.M.; Martinez, S. Tutorial on Dynamic Average Consensus: The Problem, Its Applications, and the Algorithms. IEEE Control Syst. Mag. 2019, 39, 40–72. [Google Scholar] [CrossRef]
- Boizot, N.; Busvelle, E.; Jean-Paul, G. An adaptive high-gain observer for nonlinear systems. Automatica 2010, 46, 1483–1488. [Google Scholar] [CrossRef]
- Bokor, J.; Szabo, Z. Fault detection and isolation in nonlinear systems. Annu. Rev. Control 2009, 33, 113–123. [Google Scholar] [CrossRef]
- Samia, M.; Graton, G.; El Mostafa, E.; Ouladsine, M.; Planchais, A. On fault detection and isolation applied on unicycle mobile robot sensors and actuators. In Proceedings of the 2018 7th International Conference on Systems and Control (ICSC), Valencia, Spain, 24–26 October 2018; pp. 148–153. [Google Scholar]






























| Residue of | Residue of | Residue of | |
|---|---|---|---|
| Fault on | Master Robot | First Slave Robot | Second Slave Robot |
| Master robot | 1 | 1 | 1 |
| First slave robot | 0 | 1 | 1 |
| Second slave robot | 0 | 0 | 1 |
Disclaimer/Publisher’s Note: The statements, opinions and data contained in all publications are solely those of the individual author(s) and contributor(s) and not of MDPI and/or the editor(s). MDPI and/or the editor(s) disclaim responsibility for any injury to people or property resulting from any ideas, methods, instructions or products referred to in the content. |
© 2024 by the authors. Licensee MDPI, Basel, Switzerland. This article is an open access article distributed under the terms and conditions of the Creative Commons Attribution (CC BY) license (https://creativecommons.org/licenses/by/4.0/).
Share and Cite
Jouili, A.; Boussaid, B.; Zouinkhi, A.; Abdelkrim, M.N. Fault Detection of Multi-Wheeled Robot Consensus Based on EKF. Actuators 2024, 13, 253. https://doi.org/10.3390/act13070253
Jouili A, Boussaid B, Zouinkhi A, Abdelkrim MN. Fault Detection of Multi-Wheeled Robot Consensus Based on EKF. Actuators. 2024; 13(7):253. https://doi.org/10.3390/act13070253
Chicago/Turabian StyleJouili, Afrah, Boumedyen Boussaid, Ahmed Zouinkhi, and M. N. Abdelkrim. 2024. "Fault Detection of Multi-Wheeled Robot Consensus Based on EKF" Actuators 13, no. 7: 253. https://doi.org/10.3390/act13070253
APA StyleJouili, A., Boussaid, B., Zouinkhi, A., & Abdelkrim, M. N. (2024). Fault Detection of Multi-Wheeled Robot Consensus Based on EKF. Actuators, 13(7), 253. https://doi.org/10.3390/act13070253

