Abstract
In this paper, a viscoelastic (VE) tuned inerter damper (TID) that replaces conventional stiffness and damping elements with a cost-effective VE element is proposed to achieve a target-based improvement of seismically protected buildings. The semi-analytical solution of the optimal tuning frequency ratio of the VE TID is presented based on a two-degree-of-freedom (2-DOF) system, accounting for inherent structural damping disturbances, and then is extended to a MDOF system via an effective mass ratio. The accuracy of the semi-analytical solution is validated by comparing the numerical solution. Finally, numerical analyses on a viscoelastically damped building and a base-isolated building with optimally designed VE TIDs under historical earthquakes are performed. The numerical results validate the target-based improvement capability of the VE TID with a modest mass ratio in avoiding large strokes or deformation of existing dampers and isolators, and further reducing the specific mode vibration.
1. Introduction
The tuned mass damper (TMD), as a classical passive damper, has advantages of high damping efficiency, reliable configuration, simple mechanical principles, and easier execution on existing structures [1,2,3]. Therefore, the TMD is widely used to reduce unwanted vibrations in various structures, such as high buildings, flexible bridges, platforms, towers, and so on [4]. However, the TMD has two major disadvantages limiting wider applications: high sensitivity and local damping contribution [5]. With the former, the control effect will be greatly reduced when the TMD is mistuned to the dominant frequency of the vibration. With the latter, the TMD only reduce a single-mode vibration.
In order to overcome these two disadvantages, improved passive TMDs, semi-active TMDs, and active TMDs have been studied over the past three decades [4,6,7]. Among improved passive TMDs, the inerter-based TMDs have attracted significant attention in the recent decade. The inerter is a mechanical element in which the force between two ends is proportional to the relative acceleration [8]. Many configurations of inerter-based TMDs were proposed by arranging the mass, stiffness, damping, and inerter elements. The popular inerter-based TMDs include the tuned viscous mass damper (TVMD) [9], tuned inerter damper (TID) [10,11], and tuned mass damper inerter (TMDI) [12,13,14]. The role of the inerter in these inerter-based TMDs is to amplify the tuned mass of the TMD, realizing a large mass ratio TMD [15,16,17]. Such a large mass ratio TMD or inerter-based TMD has a better control effect and robustness than the conventional TMD [18]. According to the optimal design, the damping force requirement in these inerter-based TMDs is high. Moreover, current numerical and experimental studies on inerter-based TMDs consistently employ viscous damping elements, such as viscous fluid dampers. As a result, the manufacturing difficulty and cost of inerter-based TMDs become high. However, the damping element in the previous studies of TMDs is variable, such as the viscous damping element, viscoelastic (VE) element, hysteretic damping element, friction damping element, and so on [4]. Replacing the viscous damping element with other damping elements may reduce the manufacturing difficulty and cost, or improve the control effect of inerter-based TMDs. However, studies of inerter-based TMDs with non-viscous damping are rare. Deastra et al. studied the optimal design of the TID with linear hysteretic damping [19]. They numerically found that the new TID in general has a better control effect in reducing both the harmonic vibration and seismic response than the TID with viscous damping [19]. The VE damping simultaneously delivers stiffness and damping properties while offering low-cost implementation through VE dampers or isolators [20,21]. This paper proposes a VE TID in which conventional stiffness and damping elements are replaced by VE elements to enhance the performance of seismically protected structures. Such VE TIDs can be readily implemented in the repair and retrofitting of existing buildings, preventing interface failure in VE dampers, stroke failure in viscous dampers, and excessive deformation in isolation systems. Generally, seismically protected buildings exhibit relatively high damping ratios across multiple vibration modes, while TMDs increase the damping ratio solely for a targeted vibration mode due to their specific tuning principle. The hybrid scheme—combining energy dissipation devices or high-damping isolators with VE TIDs—achieves targeted improvements by reducing damper strokes or isolator deformations and suppressing individual mode vibrations.
The optimal design of inerter-based TMDs always neglects the disturbance of the inherent damping of the primary structure [22,23,24,25,26]. However, the seismically protected buildings have relatively high damping ratios thanks to the contribution by various energy dissipation devices or isolators. As a result, the design formulas for optimal design parameters of the VE TID should seriously consider the disturbance of the inherent damping of the primary structure. It is noted that the loss factor is determined when the VE material is given due to the complex modulus characteristic [27]. In other words, the damping ratio of the VE TID is predetermined, thus the fixed-point theory cannot be directly used for the VE TID design. However, studies on the optimal design of a TMD with VE element are limited. Rudinger adopted the numerical method to search for the optimal parameters of a VE TMD for suppressing a linear oscillator excited by white noise [28]. Batou and Adhikari proposed the design formulas for optimal parameters of a VE TMD for suppressing a linear oscillator excited by harmonic force [29]. However, these studies did not consider the complex modulus characteristic of VE materials, thus both the loss factor and stiffness were adopted as design parameters of the VE TMD. Dai et al. considered the complex modulus characteristic in a VE TMD, but they adopted the numerical method for realizing the optimal design of a VE TMD and also neglected the inherent damping of the primary structure [27].
In this paper, by means of the mass amplification effect of the inerter and the high damping of the VE material, a VE TID is proposed to enhance the seismic performance of seismically protected buildings. The optimal design of a VE TID for controlling the single-degree-of-freedom (SDOF) structure and multi-degree-of-freedom (MDOF) structure is performed, aiming at minimizing the H-infinity norm of the dynamic amplification factor of the primary structure. A design formula for the optimal frequency ratio considering the disturbance of the inherent damping of the primary structure is proposed. The comparison between the semi-analytical solution and numerical solution is performed to validate the proposed design formula. Finally, numerical simulations of a damped structure with VE TIDs and a base-isolated structure with VE TIDs are conducted to validate the target-based seismic performance improvement capability of the VE TID.
2. Problem Formulation
Consider two typical seismically protected buildings, a damped building and base-isolated building, as a single-degree-of-freedom (DOF) structure, as shown in Figure 1a. The equations of motion of the single-DOF structure with a TMDI are given by
where , , and are the mass, damping, and stiffness of the structure; , , , and are the mass, inertance, damping, and stiffness of the TMDI; , , and are the acceleration, velocity, and displacement of the structure relative to the ground; , , and are the acceleration, velocity, and displacement of the TMDI relative to the structure; is the ground acceleration.
Figure 1.
The single-DOF structure with inerter-based TMD. (a) TMDI system; (b) TID system; (c) VE TID system.
Furthermore, Equations (1) and (2) are written as
where and are the natural frequency and damping ratio of the structure; and are the natural frequency and damping ratio of the TMDI; is the frequency ratio; is the total mass ratio and is often expressed as percentage; and are the mass ratios provided by the inertial mass and inerter, respectively; , , and are often represented in percentage form.
Applying the Fourier transform to Equations (3) and (4), the dynamic amplification factor of the displacement is obtained:
where is the excitation frequency ratio, is the angular frequency, and is the excitation frequency. Since the inertial mass increases the stress induced by the gravity load, and the inerter plays the same role as the inertial mass in the tuning, the inertial mass is removed from the TMDI here, as shown in Figure 1b. Therefore, Equations (1) and (2) are reduced to
It can be found from Equations (2) and (7) that the TMDI is reduced to a TID when the inertial mass is zero and x changes its sign. The stiffness and damping of the TID are provided by the stiffness member and viscous damper. Under the optimal design framework, excessive inertance induces a high damping demand, which in turn escalates the manufacturing complexity and expense of the TID. Therefore, the VE damper with advantages of low cost, dual functionality (stiffness and damping contributions), and ease of forming complex shapes is adopted here instead of the viscous damper. As a result, the TID becomes the VE TID, as shown in Figure 1c. Equations (6) and (7) are modified as
where is the force provided by the VE damper. The dynamic mechanical properties of high-damping VE materials have significant frequency dependence, thus the force varies with the excitation frequency. The expression in the frequency domain is
where is the frequency-dependent storage stiffness; is the frequency-dependent loss factor; is the imaginary unit. Similarly, the dynamic amplification factor for the VE TID is obtained:
where is the frequency-dependent frequency ratio. Both the peak and root mean square responses of the structure are popular performance indicators for structural vibration control; the root mean square response is always adopted as the objective function considering the spectral characteristics of ground motion induced by earthquakes. Instead, we sought to enhance the performance of seismically protected buildings by further minimizing the peak response, thus the optimization problem of the VE TID is expressed as
where is the maximum dynamic amplification factor, i.e., H-infinity norm of .
3. Optimal Design of VE TID
3.1. The Single-DOF Structure
In the VE TID, the loss factor is determined when the VE material is given, thus the frequency ratio is the only design parameter. The adoption of a single design parameter stems from the complex modulus of VE materials. However, it is difficult to obtain the analytic expression of due to the complicated expression of . Three simplifying assumptions are adopted herein to enable efficient optimization of .
I. The frequency-dependent parameters and are approximated as constants within the resonance region. This simplification is valid because the VE-TID primarily functions as a tuner within a narrow resonant frequency band, rendering the effect of their frequency dependence on optimization outcomes negligible.
II. Although the effect of the high damping of seismically protected buildings on the optimal is large, the structural damping ratio is temporarily not considered, and it will be considered later by using fitting formulas. Equation (11) is simplified as
III. According to Equation (13), the first derivative test replaces the fixed-point theory for solving the optimal when the loss factor is specified. However, the resulting derivation yields complex expressions. To address this, an equivalent model is proposed to simplify Equation (13):
where is the alternative dynamic amplification factor. It is found that only one appears instead of two after removing the real part of the denominator of ; at the same time, the change of with is similar to that of with by the trial-and-error analysis.
The first derivative of is given by
Then, solving for Equation (15), the corresponding point with can be obtained:
Substitute Equation (16) into Equation (14) and solve Equation (17):
Using MATLAB’s (MATLAB-2024a) equation solver, the expression of the optimal is obtained:
It should be noted that Simplifications I and II introduce errors in the optimal . To improve the predictive accuracy of Equation (18), a bivariate quadratic polynomial is therefore employed:
where () is the fitting parameter. is assumed as a univariate quadratic polynomial to consider the high structural damping:
where () is the fitting parameter. After the trial-and-error analysis, the items of and a4 can be removed, and the optimal is then rewritten as
where T is a 3 × 4 matrix of fitting parameters. The fitting matrix T is
3.2. The Multiple-DOF Structure
Considering the seismically protected building as a multiple-DOF structure, as shown in Figure 2, the equations of motion of the multiple-DOF structure with a VE TID are given by
where , , and are the mass, damping, and stiffness matrices of the structure; , , and are the acceleration, velocity, and displacement vectors of the structure relative to the ground; is the displacement of the end of the inerter relative to the ground; is the DOF number of the structure; is the floor number of the VE TID installation; is the position matrix of the ground acceleration. Equations (23) and (24) in the frequency domain are written as
Figure 2.
The multiple-DOF structure with a VE TID.
According to Equation (26), we obtain a relationship between and , :
Substitute Equation (27) into Equation (25) and apply the modal transformation to Equation (25):
where , , , , and are the natural frequency, damping ratio, mode shape vector, modal mass, and generalized coordinate for the j th mode of the structure; and are the mode shape values of the nth and (n − 1) th floors for the j th mode; and .
Introduce the mode participation factor and effective mass ratio :
Substitute Equations (29) and (30) into Equation (28):
where is the dynamic amplification factor for the j th mode. It is found that Equation (31) is the same as Equation (13), thus Equation (21) is adopted to calculate the optimal by replacing with .
4. Validation of Optimal Solution
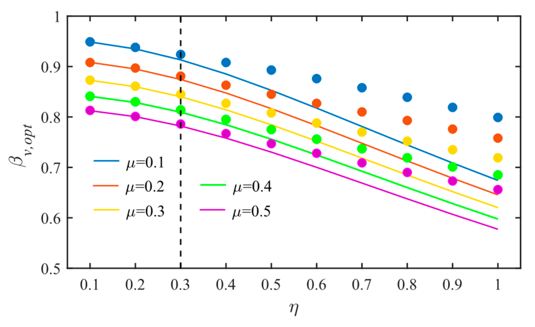
In order to validate the semi-analytical solution for , the numerical solution serves as the comparison benchmark. The variables used in the comparison are presented in Table 1. Three cases are given to consider the damping of the primary structure: small damping (1%, 2%, 5%), moderate damping (7%, 10%, 15%), and high damping (20%, 25%, 30%). Figure 3 compares the semi-analytical and numerical results for under negligible disturbance from . These dots and lines represent numerical solutions and semi-analytical solutions, respectively. The comparison result indicates that the proposed Equation (18) is accurate in calculating the optimal frequency ratio when the loss factor is less than 0.3. When the loss factor exceeds 0.3, the accuracy of Equation (18) decreases with the increase in the loss factor due to the third introduced simplification in Section 3.1.
Table 1.
The parameters used in the comparison analysis.
Figure 3.
The comparison of semi-analytical and numerical .
Figure 4 shows the comparison of semi-analytical and numerical . These dots and lines represent numerical solutions and semi-analytical solutions, respectively. For structures with low damping, the semi-analytical closely matches the numerical solution. In moderately to highly damped systems—such as damped braced structures and high-damping base-isolated structures—the semi-analytical generally agrees with numerical values except when or . Nevertheless, the existence of the large error of in some cases is not equivalent to the inaccuracy of Equation (21), because the dynamic amplification factor curve characterizes the control effect of the VE TID.
Figure 4.
Comparison of semi-analytical and numerical . (a) The small damping cases; (b) The modest damping cases; (c) The high damping cases.
Figure 5 compares dynamic amplification factor curves derived from semi-analytical and numerical . Cases exhibiting significant deviations are selected: (a) , ; (b) , ; and (c) , —with loss factors of 0.1 and 0.3. The curves demonstrate close agreement, particularly in peak response characteristics, confirming the accuracy of Equation (21) for calculating the optimal frequency ratio of the VE TID.
Figure 5.
Comparison of dynamic amplification factor curves. (a) and ; (b) and ; (c) and .
Figure 6 shows the maximum dynamic amplification factor versus loss factor. It can be seen that an optimal loss factor exists for the VE TID, and this optimal value increases with the mass ratio. These results can be explained by TMD theory: the VE TID can be considered a non-perfectly tuned TMD with only one design parameter. Consequently, the VE TID is less effective than the TMD except when (where is the TMD’s optimal damping ratio). The flatness of the curve reflects the sensitivity of the VE TID’s control performance to variations in the loss factor. It can be seen that the larger the mass ratio, the flatter the curve becomes. This implies that the control effect of the VE TID is less sensitive to the loss factor, indicating that a VE TID with higher inertance offers greater flexibility in selecting VE materials. Generally, VE materials with high loss factors are preferred for manufacturing VE TIDs. Additionally, the difference between the maximum and minimum values of serves as a metric for evaluating the control efficiency of the VE TID. Results show that as the damping ratio of the primary structure increases, this difference decreases, suggesting reduced control efficiency of the VE TID in high-damping structures. Based on these findings, VE TIDs with high inertance are suitable for structures exhibiting low-to-moderate damping, balancing VE material requirements and control efficiency.
Figure 6.
The maximum dynamic amplification factor with the loss factor. (a) The small damping cases; (b) The modest damping cases; (c) The high damping cases.
5. Numerical Examples
To evaluate the performance enhancement of seismically protected buildings, this section analyzes a viscoelastically damped building and a base-isolated building equipped with VE-TIDs under real earthquake excitations. The 5-story bare structure is modeled as a 5-DOF system. Table 2 details the mass and stiffness properties of this system.
Table 2.
Information on the mass and stiffness of the 5-DOF system.
The natural frequencies of the 1st, 2nd, and 3rd modes are 1 Hz, 2.84 Hz, and 4.58 Hz. The damping matrix adopts the Rayleigh damping matrix by assuming that the damping ratios of the 1st and 3rd modes are 2%. Four ground motions from the benchmark control problem serve as input excitations: the El Centro, Northridge, Kobe, and Hachinohe earthquakes, abbreviated as E, N, K, and H, respectively [30], as shown in Figures 10, 12, 14, and 15. Figure 7 shows the Fourier spectra of the four earthquakes. Considering the VE TID is a tuning-sensitive damper, the frequency dependence of VE dampers is considered in the dynamic calculation using an extended state space method [27]. This method establishes a transfer function correlating the VE TID’s frequency-dependent force output with displacement, subsequently converted to a state-space model and integrated into the global structural equation.
Figure 7.
The Fourier spectra of the four earthquakes.
5.1. The Viscoelastically Damped Building with the VE TID
The viscoelastically damped building refers to the 5-DOF system equipped with VE dampers. The loss factor of the VE damper material is a constant 0.7. Two VE damper installation options are considered: one on floors 2–5, and the other on all floors. Also, two contribution options of VE damper are given to achieve different added damping ratios: the stiffness provided by the VE damper is 1/4 and 1/2 of floor stiffness, respectively. Figure 8 shows the shear storage modulus and loss factor varying with the excitation frequency [20]. Two inertance values provided by the inerter are considered: 1000 tons and 2000 tons. The VE TID is installed on the first floor to provide a large mass ratio. The optimal frequency ratio of the VE TID that aims to control the first mode is determined according to Equation (21). Table 3 presents the parameters of the VE TID for the viscoelastically damped building.
Figure 8.
The shear storage modulus and loss factor varying with the excitation frequency.
Table 3.
The parameters of the VE TID for the viscoelastically damped building.
Figure 9 presents the transfer functions for viscoelastically damped buildings B1–B4. At , the VE TID with provides control effectiveness comparable to the 1st-floor VE damper, whereas the VE TID with outperforms the 1st-floor damper in reducing peak displacements. In reducing low-frequency displacements, the control effectiveness of the VE TID is observed to be lower than that of the 1st-floor VE damper, because the VE TID only improves the damping ratio of the 1st mode but cannot provide sufficient stiffness like that of the VE damper. At , the 1st-floor VE damper outperforms the VE TID in mitigating both peak and low-frequency displacements owing to its dual provision of stiffness and damping. In comparison, the VE TID’s specialized damping mechanism renders it more effective for absolute acceleration control, particularly at peak values.
Figure 9.
The transfer functions of the B1–B4 viscoelastically damped buildings. (a) ; (b) .
Figure 10 shows the seismic response reductions for viscoelastically damped buildings B1–B4. Seismic response reduction is defined as the ratio of a response quantity for the bare building to that for the viscoelastically damped building with the VE TID. Quantities include both peak and RMS values of interstory drift and floor acceleration. At , the VE TID with performs better than the 1st-floor VE damper only under the El-Centro, Kobe, and Northridge earthquakes in reducing interstory drifts, because the Hachinohe earthquake contains more low-frequency components of less than 1 Hz than the other three earthquakes. At , both VE TIDs exhibit reduced effectiveness in mitigating interstory drifts compared to the 1st-floor VE damper across all four earthquakes. This observed phenomenon is attributed to the mechanisms discussed in Figure 9. Notably, the VE TID demonstrates superior performance over the 1st-floor damper in controlling floor accelerations under these seismic events, particularly at . Therefore, findings suggest that replacing the 1st-floor VE damper with the VE TID may not consistently enhance the seismic response of viscoelastically damped structures, particularly during long-period ground motions.
Figure 10.
The seismic response reduction of the B1–B4 viscoelastically damped buildings.
Figure 11 presents the transfer functions for the C1–C4 viscoelastically damped structures. The results demonstrate that the implemented VE TID significantly reduces peak displacements. However, as indicated in Figure 6, its control efficiency decreases with increasing , which correlates with the rise in from 8.69% to 13.2%. Additionally, the added VE TID can greatly reduce the maximum absolute acceleration of the 5th floor, but further increasing the mass ratio or inertance is not efficient.
Figure 11.
The transfer functions of the C1–C4 viscoelastically damped buildings. (a) ; (b) .
Figure 12 shows the seismic response reductions of the C1–C4 viscoelastically damped buildings. The implemented VE TID effectively reduces interstory drifts under the El-Centro, Kobe, and Hachinohe seismic excitations. However, its effectiveness in mitigating interstory drifts during the Northridge earthquake remains limited. This discrepancy stems from the significantly lower dominant frequency of the Northridge ground motion compared to the fundamental natural frequency of the structure. In addition, the interstory drift reduction becomes more significant with the increase in the mass ratio or inertance, especially at . The added VE TID can effectively reduce floor accelerations under the four earthquakes, especially for the peak RMS floor acceleration. The change in the floor acceleration reduction with the mass ratio or inertance is not significant, which is consistent with the result in Figure 11. Therefore, it can be concluded that adding the VE TID with a modest mass ratio is efficient enough in enhancing the seismic performances of the viscoelastically damped building. Furthermore, analysis reveals that the C2 building exhibits seismic responses comparable to those of the A2 building. This indicates that the hybrid control strategy achieves control effectiveness similar to that obtained with the approach of installing additional VE dampers. Findings based on Figure 12 are also validated for structures incorporating viscous dampers.
Figure 12.
The seismic response reductions of the C1–C4 viscoelastically damped buildings.
5.2. The Base-Isolated Building with the VE TID
The base-isolated building refers to the 5-DOF system equipped with an isolation floor. The mass and stiffness of the isolation floor are 700 tons and 55,992 kN/m. The natural frequency of the 1st mode of the base-isolated building is 0.52 Hz.
Three damping options of the isolation floor are given to achieve different damping ratios of the 1st mode: 7.35%, 13.6%, and 26.5%. The mechanical properties of the viscoelastic material employed in the VE TID are detailed in Figure 8. Two inertance levels provided by inerter devices are considered: 1000 tons and 2000 tons. The VE TID is installed on the isolation floor. The optimal frequency ratio of the VE TID that aims to control the 1st mode is determined according to Equation (21). Table 4 presents the parameters of the VE TID for the base-isolated building.
Table 4.
The parameters of the VE TID for the base-isolated building.
Figure 13 shows the transfer functions of the base-isolated buildings. It can be seen that the added VE TID can greatly reduce the maximum displacement of the isolation floor, with its control effectiveness improving as the mass ratio increases. However, the efficiency gains achieved through mass ratio elevation diminish with increasing . Furthermore, the implemented VE TID substantially reduces the peak absolute acceleration at the 5th floor when and . However, it demonstrates limited effectiveness in reducing peak accelerations at . This performance is likely attributable to the VE TID’s compromised tuning capability for acceleration mitigation due to modal coupling effects induced by high damping conditions.
Figure 13.
The transfer functions of the base-isolated buildings. (a) Transfer functions of the isolation floor; (b) Transfer functions of the 5th floor.
Figure 14 shows the isolation floor drift reduction of the base-isolated buildings. It can be seen that the VE TID can effectively reduce isolation floor drifts under all four earthquakes, which indicates that the VE TID is well tuned and then improves the damping ratio of the 1st vibration mode dominating the isolation floor drift. While drift reduction increases with higher VE TID mass ratios, the efficiency gains attained through mass ratio elevation diminish with increasing .
Figure 14.
The isolation floor drift reduction of the base-isolated buildings.
Figure 15 shows the seismic response reduction of the base-isolated buildings with the VE TID. It can be seen that the implemented VE TID reduces peak interstory drifts across all four earthquakes, but the control effect is not significant, except for the Hachinohe earthquake. The added VE TID can effectively reduce the RMS interstory drift of the base-isolated building with under the four earthquakes, but fails in reducing the RMS interstory drift as the damping ratio increases to 29.4%. Furthermore, the added VE TID cannot reduce the peak floor acceleration of the base-isolated building under the four earthquakes, because the high damping of the isolation floor may increase the floor acceleration in some frequency bands, as shown in Figure 13, and the dominant frequencies of the four earthquakes fall in these frequency bands.
Figure 15.
The seismic response reduction of the base-isolated buildings.
Similarly, the added VE TID can effectively reduce the RMS floor acceleration of the base-isolated building with under the four earthquakes, but fails to reduce RMS accelerations when increases to 29.4%. These findings demonstrate that incorporating a VE TID with a moderate mass ratio sufficiently enhances the seismic performance of small-damping base-isolated buildings, including isolation layer drift, RMS interstory drift, and RMS floor acceleration. Furthermore, analysis shows that the E2 building has seismic responses similar to those of the D3 building, which indicates the hybrid control consisting of small-damping isolator and VE TID has a control effect similar to that of the high-damping isolator.
6. Conclusions
This paper has proposed a novel passive damper consisting of an inerter and a high-damping VE damper or isolator, namely, VE TID, to enhance the seismic performance of seismically protected buildings, including viscoelastically damped, viscous-damped, and base-isolated buildings. A streamlined design framework of the VE TID has been presented, in which the tuning frequency ratio, as the design parameter due to the complex modulus characteristic of VE materials, and the disturbance of the high damping of seismically protected buildings are considered. The semi-analytical solution of optimal tuning frequency ratio is given based on a two-DOF system, and its accuracy is validated by comparison with the numerical solution. In addition, the semi-analytical solution is further applied to a multiple-DOF system by introducing an effective mass ratio. Numerical simulations of the viscoelastically damped structure demonstrate that the VE TID significantly mitigates peak interstory drift, RMS interstory drift, and RMS floor acceleration, thereby reducing stroke demands on existing dampers, but the way of increasing the mass ratio of the VE TID is not efficient for further response reductions. Under non-tuned vibration modes, the damping enhancement diminishes, which may result in less pronounced reduction of peak floor acceleration during specific earthquakes. The numerical results for the base-isolated building show that the VE TID with a modest mass ratio greatly reduces the isolation floor drift, RMS interstory drift, and RMS floor acceleration of the small-damping base-isolated building, but the seismic performance enhancement capabilities of the VE TID may be constrained when applied to high-damping base-isolated buildings.
Author Contributions
Conceptualization, P.-P.G. and J.D.; methodology, P.-P.G. and J.D.; software, J.D. and Y.Y.; validation, J.D.; investigation, Q.-S.G. and G.-Y.Z.; writing—original draft preparation, P.-P.G.; writing—review and editing, J.D. and Q.-S.B.; supervision, J.D.; funding acquisition, P.-P.G. and J.D. All authors have read and agreed to the published version of the manuscript.
Funding
This study was financially supported by the National Key R&D Program of China (2024YFC3015904), National Natural Science Foundation of China (52408536), Natural Science Foundation of Jiangsu Province (BK20240874), China Postdoctoral Science Foundation (2023M741442), Jiangsu Province Youth Science and Technology Talent Support Program (JSTJ-2024-148), and Open Research Project of China-Pakistan Belt and Road Joint Laboratory on Smart Disaster Prevention of Major Infrastructures (2024CPBRJL-01). These supports are gratefully acknowledged.
Data Availability Statement
Dataset available on request from the authors.
Conflicts of Interest
Author Qing-Song Guan was employed by the Quakesafe Technology Co., Ltd. The remaining authors declare that the research was conducted in the absence of any commercial or financial relationships that could be construed as a potential conflict of interest.
References
- Rana, R.; Soong, T.T. Parametric study and simplified design of tuned mass dampers. Eng. Struct. 1998, 20, 193–204. [Google Scholar] [CrossRef]
- Konar, T.; Ghosh, A.D. Tuned mass damper inerter for seismic control of multi-story buildings: Ten years since inception. Structure 2024, 63, 106459. [Google Scholar] [CrossRef]
- Wang, L.; Nagarajaiah, S.; Zhou, Y.; Shi, W. Experimental study on adaptive-passive tuned mass damper with variable stiffness for vertical human-induced vibration control. Eng. Struct. 2023, 280, 115714. [Google Scholar] [CrossRef]
- Yang, F.; Sedaghati, R.; Esmailzadeh, E. Vibration suppression of structures using tuned mass damper technology: A state-of-the-art review. J. Vib. Control 2022, 28, 812–836. [Google Scholar] [CrossRef]
- Dai, J.; Xu, Z.D.; Gai, P.P. Parameter determination of the tuned mass damper mitigating the vortex-induced vibration in bridges. Eng. Struct. 2022, 221, 111084. [Google Scholar] [CrossRef]
- Ghorbanzadeh, M.; Sensoy, S.; Uygar, E. Vibration control of midrise buildings by semi-active tuned mass damper including multi-layered soil-pile-structure-interaction. Structures 2022, 43, 896–909. [Google Scholar] [CrossRef]
- Dai, J.; Xu, Z.D.; Dyke, S.J. Robust control of vortex-induced vibration in flexible bridges using an active tuned mass damper. Struct. Control Health Monit. 2022, 29, e2980. [Google Scholar] [CrossRef]
- Ma, R.; Bi, K.; Hao, H. Inerter-based structural vibration control: A state-of-the-art review. Eng. Struct. 2021, 243, 112655. [Google Scholar] [CrossRef]
- Ikago, K.; Saito, K.; Inoue, N. Seismic control of single-degree-of-freedom structure using tuned viscous mass damper. Earthq. Eng. Struct. Dyn. 2012, 41, 453–474. [Google Scholar] [CrossRef]
- Lazar, I.F.; Neild, S.A.; Wagg, D.J. Vibration suppression of cables using tuned inerter dampers. Eng. Struct. 2016, 122, 62–71. [Google Scholar] [CrossRef]
- Li, H.; Bi, K.; Hao, H. Development of a novel tuned negative stiffness inerter damper for seismic induced structural vibration control. J. Build. Eng. 2023, 70, 106341. [Google Scholar] [CrossRef]
- Marian, L.; Giaralis, A. Optimal design of a novel tuned mass-damper–inerter (TMDI) passive vibration control configuration for stochastically support-excited structural systems. Probabilistic Eng. Mech. 2014, 38, 156–164. [Google Scholar] [CrossRef]
- Djerouni, S.; Elias, S.; Abdeddaim, M.; Rupakhety, R. Optimal design and performance assessment of multiple tuned mass damper inerters to mitigate seismic pounding of adjacent buildings. J. Build. Eng. 2022, 48, 103994. [Google Scholar] [CrossRef]
- Li, Y.; Li, S.; Tan, P. A novel tuned mass damper inerter: Optimal design, effectiveness comparison, and robustness investigation. Structures 2023, 55, 1262–1276. [Google Scholar] [CrossRef]
- Wen, Y.; Chen, Z.; Hua, X. Design and evaluation of tuned inerter-based dampers for the seismic control of MDOF structures. J. Struct. Eng. 2017, 143, 04016207. [Google Scholar] [CrossRef]
- Zhang, R.; Zhao, Z.; Pan, C.; Ikago, K.; Xue, S. Damping enhancement principle of inerter system. Struct. Control Health Monit. 2020, 27, e2523. [Google Scholar] [CrossRef]
- Su, N.; Chen, Z.; Zeng, C.; Xia, Y.; Bian, J. Concise analytical solutions to negative-stiffness inerter-based DVAs for seismic and wind hazards considering multi-target responses. Earthq. Eng. Struct. Dyn. 2024, 53, 3820–3858. [Google Scholar] [CrossRef]
- Dai, J.; Gai, P.P.; Xu, Z.D.; Huang, X.H. Inerter location effect on the generalized tuned mass damper inerter control. Structures 2023, 58, 105517. [Google Scholar] [CrossRef]
- Deastra, P.; Wagg, D.; Sims, N.; Akbar, M. Tuned inerter dampers with linear hysteretic damping. Earthq. Eng. Struct. Dyn. 2020, 49, 1216–1235. [Google Scholar] [CrossRef]
- Li, H.W.; Xu, Z.D.; Wang, F.; Gai, P.P.; Gomez, D.; Dyke, S.J. Development and validation of a nonlinear model to describe the tension–compression behavior of rubber-like base isolators. J. Eng. Mech. 2023, 149, 04022104. [Google Scholar] [CrossRef]
- Gai, P.P.; Xu, Z.D.; Guo, Y.Q.; Dai, J. Gradient chain structure model for characterizing frequency dependence of viscoelastic materials. J. Eng. Mech. 2020, 146, 04020094. [Google Scholar] [CrossRef]
- Ikago, K.; Sugimura, Y.; Saito, K.; Inoue, N. Modal response characteristics of a multiple-degree-of-freedom structure incorporated with tuned viscous mass dampers. J. Asian Archit. Build. Eng. 2012, 11, 375–382. [Google Scholar] [CrossRef]
- He, H.; Tan, P.; Hao, L.; Xu, K.; Xiang, Y. Optimal design of tuned viscous mass damper for acceleration response control of civil structures under seismic excitations. Eng. Struct. 2022, 252, 113685. [Google Scholar] [CrossRef]
- De Domenico, D.; Impollonia, N.; Ricciardi, G. Soil-dependent optimum design of a new passive vibration control system combining seismic base isolation with tuned inerter damper. Soil Dyn. Earthq. Eng. 2018, 105, 37–53. [Google Scholar] [CrossRef]
- Marian, L.; Giaralis, A. The tuned mass-damper-inerter for harmonic vibrations suppression, attached mass reduction, and energy harvesting. Smart Struct. Syst. 2017, 19, 665–678. [Google Scholar] [CrossRef]
- Wang, M.; Chen, J.L.; Sun, F.F.; Nagarajaiah, S.; Du, X.L. Closed-form optimal solution of two-degree-of-freedom system with Inerter based on equal modal damping with potential application in non-structural elevator for seismic control. Earthq. Eng. Struct. Dyn. 2024, 53, 4785–4805. [Google Scholar] [CrossRef]
- Dai, J.; Xu, Z.D.; Gai, P.P.; Li, H.W. Effect of frequency dependence of large mass ratio viscoelastic tuned mass damper on seismic performance of structures. Soil Dyn. Earthq. Eng. 2020, 130, 105998. [Google Scholar] [CrossRef]
- Rudinger, F. Tuned mass damper with fractional derivative damping. Eng. Struct. 2006, 28, 1774–1779. [Google Scholar] [CrossRef]
- Batou, A.; Adhikari, S. Optimal parameters of viscoelastic tuned-mass dampers. J. Sound. Vib. 2019, 445, 17–28. [Google Scholar] [CrossRef]
- Ohtori, Y.; Christenson, R.E.; Spencer, B.F., Jr.; Dyke, S.J. Benchmark control problems for seismically excited nonlinear buildings. J. Eng. Mech. 2004, 130, 366–385. [Google Scholar] [CrossRef]
Disclaimer/Publisher’s Note: The statements, opinions and data contained in all publications are solely those of the individual author(s) and contributor(s) and not of MDPI and/or the editor(s). MDPI and/or the editor(s) disclaim responsibility for any injury to people or property resulting from any ideas, methods, instructions or products referred to in the content. |
© 2025 by the authors. Licensee MDPI, Basel, Switzerland. This article is an open access article distributed under the terms and conditions of the Creative Commons Attribution (CC BY) license (https://creativecommons.org/licenses/by/4.0/).














