Abstract
Microalgae are regarded as a promising source of biodiesel. In contrast with conventional crops currently used to produce commercial biodiesel, microalgae can be cultivated on non-arable land, besides having a higher growth rate and productivity. However, microalgal biodiesel is not yet regarded as economically competitive, compared to fossil fuels and crop-based biodiesel; therefore, it is not commercially produced. This review provides an overall perspective on technologies with the potential to increase efficiency and reduce the general costs of biodiesel production from microalgae. Opportunities and challenges for large-scale production are discussed. We present the current scenario of Brazilian research in the field and show a successful case in the research and development of microalgal biodiesel in open ponds by Petrobras. This publicly held Brazilian corporation has been investing in research in this sector for over a decade.
1. Introduction
The world’s energy expenditure is expected to increase by approximately 50% between 2018 and 2050 [1]. Fossil fuels, a non-renewable energy source, provide around 80% of all energy consumed worldwide [1,2]. Their use, however, leads to large emissions of greenhouse gases (GHGs), mainly CO2, which is a major contributor to global warming [3,4]. Since the Kyoto Protocol (1996) and the Paris Agreement (2015) and the last report from the Intergovernmental Panel on Climate Change (IPPC), it is evident that urgent action is necessary to change this scenario. These reports recognize the interdependence of climate, ecosystems, biodiversity, and human societies, and the impact of CO2 and other toxic gases on the planet. Consequently, the industrial sectors are looking for ecological solutions and green technologies to reduce these emissions, resulting in alternative and innovative solutions [5,6].
Biofuels are one of the main alternatives to fossil fuel exploitation [7,8]. These fuels, produced from biomass or waste feedstocks, have the advantages of renewability and a significantly reduced contribution to global warming. The main biofuels available are biodiesel and bioethanol [2,9,10]. Other alternative green solutions are biomethane and biohydrogen [11]. Biodiesel is produced from lipids mainly by transesterification reactions having oils as the starting material [12,13]. Projections show that in 2040, biodiesel will account for 70% of the growing demand for transport fuel [14]. An increase in commercial biodiesel is observed. This rise was propelled by the increasing demand for green energy alternatives and public policies in many countries, including the United States, Brazil, and European nations, the leading world biodiesel producers [14,15,16]. Commercial biodiesel is currently obtained from different oil crops, such as soybean, corn, sunflower, and oil palm [9]. One of the main concerns related to these biodiesel sources is the use of arable lands resulting in competition with other segments, such as bioethanol and agriculture/livestock feed/food production [17]. Moreover, the time of production, climatic dependence, and soil quality, among other factors, introduce significant variability in crop production. In addition, fertilizer application releases nitrous oxide, a potent greenhouse gas [18].
High lipid contents make microalgae a promising alternative for biodiesel production. Besides this, microalgae are the major source of oxygen on the planet, and their CO2 biosequestration by photosynthesis point to the biodiesel from microalgae as a promising carbon-neutral fuel. In this context, microalgae biomass is emerging as a source of biodiesel [18]. These microorganisms show higher growth rates and productivity in comparison with conventional crops. Moreover, they can be cultivated using wastewater, thus avoiding competition for freshwater and increasing sustainability [8,9,19]. An essential differential is the concept of biorefinery applied to microalgae cultures. After lipid extraction, microalgal biomass residues contain several bioproducts of high value. This concept decreases the impacts of costs and productivity. Several countries, including Brazil, are investing in the development of algal biotechnology [11]. However, there are bottlenecks to be overcome, such as expensive and energy-intensive cultivation, microbial contamination, and the biodiesel conversion processes. All these factors lead to a higher production cost, the major challenge for biodiesel production after scaling-up [20].
In this review, we aim to provide a perspective of biodiesel production from microalgae, with an emphasis on technologies with potential applications to increase efficiency and reduce the overall costs of the process. These strategies include methods for increasing microalgal lipid productivity and production within a biorefinery concept, which enables the exploitation of valuable bioproducts such as carotenoids and fertilizers, amongst others. Moreover, we will present the progress and prospects of microalgae biodiesel production in Brazil.
2. Microalgae for Biodiesel Production
Microalgae are a diverse group of prokaryotic and eukaryotic photosynthetic unicellular organisms. More than 50,000 microalgal species live in various environmental conditions, including water domains such as streams, rivers, lakes, oceans, and terrestrial ecosystems [21,22,23].
Cyanobacteria are prokaryotic microalgae (Cyanophyta), while eukaryotic microalgae include Bacillariophyta (diatoms), Cryptophyta (golden algae), Rhodophyta (red algae), Xanthophyta (yellow/green algae), and Chlorophyta (green algae), amongst others [22,24]. The latter is the most promising group for biodiesel production. The selection of species for this purpose comprises criteria such as growth rate, tolerance to different environmental conditions, harvesting facility, and, most importantly, the lipid content, which ranges from 2 to 85% of dry biomass, depending on the species/strain and cultivation conditions [25,26].
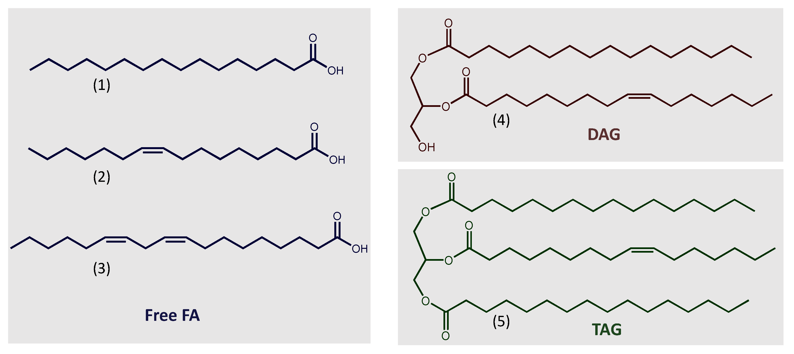
Microalgae, similar to other organisms, use neutral lipids for energy storage, while polar lipids are membrane constituents (Figure 1). They store acylglycerols, mostly triacylglycerols (TAG), during the day when photosynthesis occurs, and consume them at night to keep metabolic activities. TAG accumulation is induced by stress conditions, such as nutritional restriction, high temperature, and high salinity [25,27].
Figure 1.
Chemical structures of commonly representative lipids. (1) Palmitic acid (16:0); (2) Palmitoleic acid (16:1); (3) Linoleic acid (18:2); (4) DAG (16:0/16:1); (5) TAG (16:0/16:1/16:0). Abbreviations: DAG, diacylglycerol; FA, fatty acid; TAG, triacylglycerol.
Microalgae can accumulate TAG to around 20–50% of their dry weight [9,25,28]. The fatty acids that constitute the acylglycerols in microalgae vary from C12:0 to C22:6. Qualitative and quantitative composition is diverse among different species. It is also highly dependent on nutritional and environmental conditions. However, most of their fatty acids have saturated and unsaturated C16 and C18 (Figure 1) carbon chains, such as palmitic (16:0), palmitoleic (16:1), oleic (18:1), linoleic (18:2), and linolenic (18:3) acids [22,25,29,30]. The fatty acid composition is relevant to the quality of the resulting biodiesel, influencing its outflow property, ignition quality, and oxidative stability [22,25,29].
3. Microalgal Production: Open X Closed Systems
The cultivation of microalgae can be carried out in open systems, closed photobioreactors, and, to a lesser extent, fermenters in the case of heterotrophic and mixotrophic conditions [31,32]. The first two systems are the most common and will be further discussed in this section.
3.1. Open Systems
In open cultivation systems, microalgae can be grown in lakes, lagoons, or ponds. Raceway shallow ponds are the most used for industrial purposes (food and cosmetic production). Open raceway ponds (OPR) are considered cost-effective, as they are cheaper to build, more straightforward to scale, and easier to operate when compared to photobioreactors. Another advantage is free sunlight energy [31,32,33,34].
On the other hand, open systems have many limitations, such as low biomass productivity, high harvesting costs, high water evaporation rates, and a high risk of contamination with other algae, bacteria, fungi, viruses, and predator protozoa species [31,32,33,34]. Additionally, open ponds suffer from poor CO2 mass transfer. Atmospheric CO2 usually does not meet the productivity requirements; thus, aeration and bubbling are necessary [31,34].
The lack of control over environmental factors affects productivity, which depends on weather conditions, photoperiod, and seasonal variations [31,34]. Therefore, choosing a location for microalgae cultivation in open systems is crucial, and must consider parameters such as solar radiation, pluviometric index, and local temperatures, besides land costs [34]. The most suitable locations for this cultivation are dry coastal areas in tropical and subtropical regions, with high solar irradiance throughout the year [35].
3.2. Closed Systems
Culturing in photobioreactors (PBRs) can overcome the limitations of open cultures. They enable a higher degree of process control and, consequently, higher productivity. PBRs have great versatility: several designs are available (e.g., tubular, flat plate, airlift, bubbling column), and various combinations of source light can be used, sunlight included [31,32,36]. In addition, they provide better CO2 utilization and maximum light exposure [31,37].
Despite the advantages, there is a significant limitation to using PBRs for large-scale production: the capital and operational costs [31,38,39]. The energy consumption by these systems is a major concern [31]. Pawar et al. [38] analyzed several economic models of biodiesel production costs in open raceway ponds and photobioreactors. The authors observed that the predicted costs of the latter are generally higher. Similar results were obtained in a more recent economic assessment, in which these two systems were compared for different geographic locations [40].
3.3. Hybrid Systems
As both open and closed culture systems have advantages and drawbacks, researchers proposed the combination of both for more cost-effective production. In a hybrid system, microalgae are grown in a PBR during the first stage, which favors high biomass productivity and minimum contamination. Subsequently, the produced biomass is transferred to OPR, aiming to achieve high lipid accumulation by applying stress conditions. Thus, the cultivation period in open ponds is shorter, and contaminants do not remain long enough to harm the culture [31,39,41,42].
Hybrid systems have shown higher lipid and biomass productivity when compared to open systems [41,42,43,44], and can therefore be considered promising for large-scale cultivation. However, techno-economic assessments are necessary to clarify their feasibility [42].
4. Biomass X Lipid Content: A Challenge
Despite the higher lipid yield of microalgae when compared to terrestrial crops, the overall costs to produce microalgal biodiesel are still high. Economic studies have pointed out lipid productivity as being a critical factor in enabling microalgal biodiesel to achieve favorable costs, compared with petroleum diesel [45,46,47].
Stress conditions generally induce lipid accumulation in microalgae. One of the most common strategies to enhance microalgal lipid content is limiting nutrients, mainly nitrogen, followed by phosphorus, sulfur, iron, and trace metals. Other stress conditions that affect lipid metabolism include high salinity and variations in the medium’s temperature, light, and pH [22,48,49]. The effect of these factors has been extensively reviewed elsewhere [22,25,49,50,51].
Nevertheless, stress conditions often negatively affect microalgal growth, resulting in lower biomass yield [48,52,53]. Due to these opposing traits, two situations are typical: high biomass production with low lipid content, and low biomass production with high lipid content. Both cases result in low lipid productivity [52,53,54]. Thus, finding conditions to induce high lipid accumulation, without interfering with growth and biomass production, is an important challenge for commercial biodiesel production [45,52,54].
The following section discusses methods proposed to increase lipid productivity based on two-stage cultivation, the addition of phytohormones and other chemicals, and co-cultivation. Approaches based on metabolic engineering and synthetic biology are also promising [49]. Key metabolic pathways in microalgae have been identified and are targets for manipulation to improve lipid productivity. Among the strategies evaluated, it is possible to highlight enhancing rate-limiting steps in TAG biosynthesis, blocking competing metabolic pathways (e.g., starch biosynthesis), reducing lipid catabolic pathways, and improving carbon fixation. Multitarget approaches, which enable the rational design of biological networks for the desired target products, are expected to produce the most encouraging outcomes. As a detailed discussion about these strategies is out of this review’s scope, the reader can refer to recent literature reviews to obtain further information [55,56,57,58].
5. Strategies to Increase Microalgal Lipid Productivity
5.1. Two Stage-Cultivation
Two stage-cultivation strategies aim to decouple biomass growth from lipid accumulation. In the first stage, microalgal growth is carried out under optimal conditions, while in the second stage, lipid accumulation is induced by applying stress conditions [42,48,53,54].
Nutrient starvation is the most frequent strategy to induce lipid accumulation [59]. Using a two-stage cultivation strategy for the species Nannochloropsis oculata, grown in nitrogen-sufficient conditions until the stationary phase and then transferred to a nitrogen-deficient medium, enabled lipid productivity almost 3-fold higher than with one-stage cultivation [60]. Similarly, the two-stage cultivation of Chlorella sp. with a nitrogen-starvation period resulted in higher biomass and lipid productivity [61]. Nayak et al. [62] recently reported a higher than 1.5-fold improvement in the lipid productivity of Chlorella sp. by employing this strategy.
Applying the two-stage cultivation strategy with nutrient restriction requires concentration of the biomass obtained in the first stage by harvesting, followed by transfer to a new culture medium [53,59]. The requirement of an intermediate harvesting step and transfer often demands more cost and energy [59]. Thus, an alternative to this issue is the development of strategies to eliminate these extra steps [53]. For instance, Amaral et al. [63] developed a method for two-stage cultivation in a modified PBR that eliminates harvesting before switching stages. Their device enables the circulation of the culture broth through the system by using a centrifugal pump. Stress promotion was performed by adding nutritional supplementation with nitrogen depletion when the stationary phase was reached. The method enabled a 55% increase in the lipid productivity of Chlorella minutissima [63].
Another possibility is the use of salt stress in a two-stage cultivation strategy. As salt can be directly added to the medium after the culture reaches the stationary phase, thus the extra harvesting and transfer steps can be eliminated, which contributes to the economic feasibility of the approach [53]. This strategy was successfully applied to Scenedesmus obtusus. Adding NaCl into the medium, when cultures reached the late exponential phase, resulted in lipid productivity 1.2 times higher [64]. With a similar strategy, it was possible to obtain promising results for Desmodesmus abundans [65]. The effect of NaCl in two-stage cultivation was also favorable to the lipid productivity of Acutodesmus dimorphus: a 43% increase in lipid accumulation was obtained without biomass reduction [66].
The combination of two or more stress conditions is also possible. Mirizadeh et al. [67] reported nitrogen and salt stress synergistic effects in a two-stage cultivation approach for achieving higher lipid productivity in Chlorella vulgaris.
5.2. Phytohormones Addition
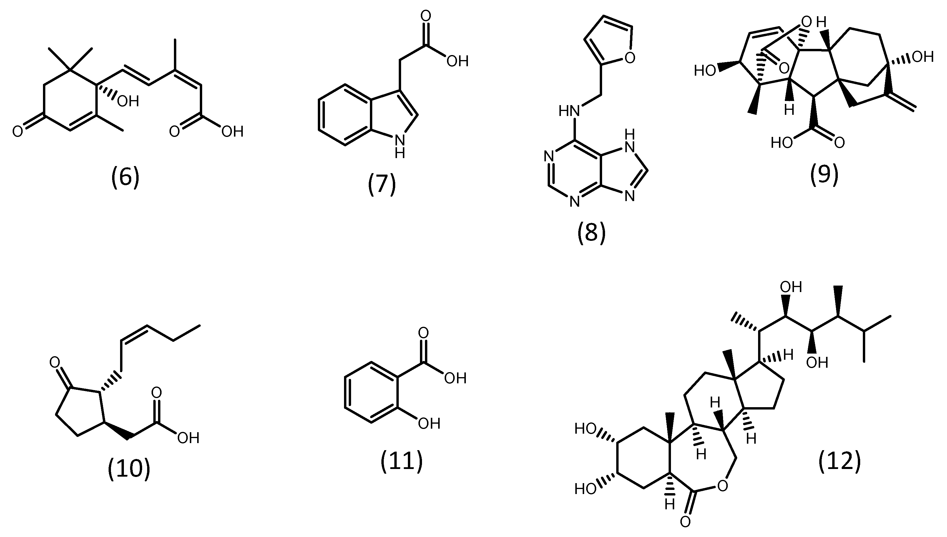
Phytohormones are small organic chemical messengers that play a broad spectrum of physiological roles in higher plants [68,69]. They are classified into five groups: auxins, abscisic acid, gibberellins, cytokinins, and ethylene. Other substances also act as phytohormones, including brassinosteroids, jasmonates, polyamines, salicylic acid, and signal peptides [69,70]. Some representatives of these groups are shown in Figure 2. The hormone systems of higher plants are likely to have evolved from a similar pre-existing system in microalgae. In fact, several phytohormones are known to be produced by microalgae. However, knowledge of their biosynthesis and physiological roles are still scarce [68,69,70,71].
Figure 2.
Examples of phytohormones. (6) abscisic acid; (7) indol-3-acetic acid (auxin); (8) kinetin (cytokinin); (9) gibberellic acid (gibberellin); (10) jasmonic acid (jasmonate); (11) salicylic acid; (12) brassinolide (brassinosteroid).
The improvement in biomass production is often correlated with the increase in photosynthetic activity due to an increment in the expression of photosynthetic enzymes and chlorophyll content [69,71,72,73,74,75]. Concerning the accumulation of lipids, in several studies, the upregulation of enzymes related to the biosynthesis of fatty acids, such as acetyl-CoA carboxylase (ACCase), an acyl carrier protein (ACP), malonyl-CoA: ACP-transacylase (MCTK), and fatty acid desaturase (FAD) was reported [73,74,76,77,78].
It is generally observed that phytohormones enhance the adaptability of microalgae to biotic and abiotic stress conditions. Thus, phytohormones can aid microalgae in overcoming constrained biomass production under stress conditions, resulting in higher lipid productivity [69,70,71,72]. The combined effect of stress and phytohormones has been evaluated in some studies (Table 1) with positive results.
It is hypothesized that stress conditions inhibit cell growth due to the accumulation of reactive oxygen species (ROS). Phytohormones can aid the cells in keeping the ROS balance and reducing oxidative stress under these conditions by increasing the level of detoxifying enzymes and antioxidants [71,73,79,80].
The combined use of phytohormones on microalgae has also been assessed in some studies. Kozlova et al. [81] have evidenced the synergistic effects of 2,4-epibrassinolide (brassinosteroid) and indol-3-acetic acid (auxin) on cell growth and fatty acid accumulation of Scenedesmus quadricauda. A range of nano-concentrations of the combined phytohormones produced a 1.7-fold increase in cell density, and greater biomass and fatty acid production. These two phytohormones act synergistically in higher plants, and the cross-talk between their molecular pathways has been demonstrated [81].
Additionally, Seemashree et al. [82] reported that the combination of indol-3-acetic acid and amino ethyl hexanoate (DAH) enhanced the biomass and lipid production of two marine microalgae: Porphyridium purpureum and Dunaliella salina. Treatment with both phytohormones at the concentration range of 10−7 to 10−8 M resulted in a 2 to 3.5-fold increase in biomass, and up to a 1.4-fold increase in the lipid content of these microalgae [82].
Table 1.
Effect of phytohormones on microalgae lipids and biomass.
Table 1.
Effect of phytohormones on microalgae lipids and biomass.
| Class | Phytohormone | Species | Stress Condition | Outcome | Reference |
|---|---|---|---|---|---|
| _ | ABA | Chlorella vulgaris | None | Increase in biomass; 1.8-fold increase in lipid content | [83] |
| _ | ABA | Scenedesmus quadricauda | N depletion | 2.1-fold increase in biomass; little effect on lipid content | [84] |
| Auxins | DA | Chlorella ellipsoidea | None | 7.1-fold increase in biomass; increase in overall lipid productivity | [80] |
| Auxins | DA | Dunaliella tertiolecta | Salt stress | 40% biomass increase; lipid content increase from 24 to 70% | [85] |
| Auxins | DA | Scenedesmus abundans | None | 5.4-fold increase in biomass; increase in overall lipid productivity | [80] |
| Auxins | IAA | Chlorella sorokiniana | N depletion | 22% increase in biomass; 49% increase in lipid content | [73] |
| Auxins | IAA | Chlorella sorokiniana | N depletion | 46% increase in biomass; 56% increase in lipid productivity | [74] |
| Auxins | IAA | Chlorella vulgaris | None | No effect on growth, 39% increase in lipid content | [77] |
| Auxins | IAA | Nannochloropsis oceanica | N depletion | 1.5-fold increase in lipid productivity; decrease in SFA and increase in UFA content | [86] |
| Auxins | IAA | Scenedesmus quadricauda | None | Increase in cell growth, biomass, and fatty acid accumulation | [87] |
| Auxins | NAA | Botryococcus braunii | None | Increase in both lipid content and biomass | [76] |
| Brassinosteroid | EB | Scenedesmus quadricauda | None | Increase in cell growth, biomass, and fatty acid accumulation | [87] |
| Cytokinins | BAP | Botryococcus braunii | None | Increase in both lipid content and biomass | [76] |
| Cytokinins | KN | Acutodesmus obliquus | N depletion | 50% increase in biomass productivity; 65% increase in lipid productivity | [72] |
| Cytokinins | KN | Chlorella sorokiniana | N depletion | 36% increase in biomass; 52% increase in lipid productivity | [74] |
| Cytokinins | KN | Desmodesmus sp. | None | 1.5-fold increase in growth rate; 2.5-fold increase in lipid productivity | [88] |
| Cytokinins | ZN | Acutodesmus obliquus | N depletion | 61% increase in biomass productivity; 63% increase in lipid productivity | [72] |
| Ethylene | EP | Botryococcus braunii | None | No effect on biomass; increase in lipid content | [76] |
| Gibberellins | GA | Botryococcus braunii | None | No effect on biomass; increase in lipid content | [76] |
| Gibberellins | GA | Chlorella ellipsoidea | None | 8.7-fold increase in biomass; increase in overall lipid productivity | [80] |
| Gibberellins | GA | Chlorella sorokiniana | N depletion | 36% increase in biomass; 37% increase in lipid productivity | [74] |
| Gibberellins | GA | Scenedesmus abundans | None | 5.3-fold increase in biomass; increase in overall lipid productivity | [80] |
| Jasmonates | JA | Chlorella vulgaris | None | 51% increase in cell density; 54% increase in lipid content | [89] |
| Jasmonates | JA | Chlorella vulgaris | None | Increase in biomass; 2.1-fold increase in lipid content | [83] |
| Jasmonates | MJ | Nannochloropsis oceanica | None | Increase in biomass; 1.4-fold increase in lipid content | [79] |
| Others | DAH | Chlorella sorokiniana | N depletion | 43% increase in biomass; 84% increase in lipid content | [73] |
| Others | DAH | Desmodesmus sp. | None | 1.4-fold increase in growth rate; 2.5-fold increase in lipid productivity | [88] |
| Others | SA | Chlorella vulgaris | None | Increase in biomass; 1.7-fold increase in lipid content | [83] |
| Others | SA | Nannochloropsis oceanica | None | Increase in biomass; 2.2-fold increase in lipid content | [79] |
| Others | SA | Phaeodactylum tricornutum | None | No effect on growth; 29% increase in TGA content | [90] |
| Others | ST | Monoraphidium sp | None | Increase in biomass; 55% increase in lipid productivity | [78] |
Note: In studies where various conditions were evaluated, the outcome reported in the table is the one with the best lipid and biomass productivity. Abbreviations: ABA = abscisic acid; BAP = 6-Benzylaminopurine; DA = 2,4-dichlorophenoxyacetic acid; DAH = diethyl aminoethyl hexanoate; EB = 2,4-epibrassinolide; EP = ethephon; GA = gibberellic acid; IAA = indole-3-acetic acid; JA = jasmonic acid; KN = kinetin; MJ = methyl jasmonate; N = nitrogen; NAA = 1-Naphthaleneacetic acid; SA = salicylic acid; SFA = saturated fatty acid; ST = strigolactone; TGA = triacylglycerols; UFA = unsaturated fatty acids; ZN = zeatin.
A combination of three hormones of different classes—zeatin (cytokinin), indol-3-acetic acid (auxin), and gibberellic acid (gibberellin)—was also able to increase biomass and lipid productivity of Acutodesmus obliquus under nitrogen limitation. These parameters were enhanced by 49% and 77% under the best conditions achieved [91].
5.3. Addition of Antioxidants and Other Bioactive Substances
Some studies have evidenced that adding antioxidant substances (Figure 3) to culture media can enhance microalgal lipid productivity. This is the case for propyl gallate and butylated hydroxytoluene (BHT), two well-known antioxidants used in the food and pharmaceutical industries, which enhanced biomass and lipid productivities in Schizochytrium sp. [92].
Figure 3.
Structure of some chemicals with the potential to increase microalgal lipid productivity. (13) Butylated hydroxytoluene (BHT); (14) butylated hydroxyanisole (BHA); (15) propyl gallate; (16) quercetin; (17) (-) epigallocatechin gallate; (18) melatonin; (19) forskolin.
Moreover, butylated hydroxyanisole (BHA) and propyl gallate, as well as the natural polyphenolic antioxidant (−)-epigallocatechin gallate, were shown to increase lipid accumulation in Nannochloropsis salina by up to 60% without negatively affecting growth [93]. Similarly, the plant polyphenolic quercetin increased the biomass productivity and lipid content of Chlorella vulgaris by 2.5-fold and 1.8-fold, respectively [94]. Phenolic compounds of natural origin, such as vanillin, p-coumaric acid, and lignoids, have beneficial effects on lipid microalgal productivity [95,96,97].
The effect of antioxidants on microalgal biomass and lipid content is not entirely understood. The over-production of ROS negatively affects photosynthesis, and can damage macromolecules, including lipids. Thus, antioxidants could reduce ROS levels and improve growth performance and lipid biosynthesis, especially under stress conditions, in which ROS levels are known to rise [71,93,98]. Other mechanisms may be involved as well. For instance, ethylenediamine tetraacetic acid (EDTA), an antioxidant and chelating agent, increased the lipid productivity of Scenedesmus sp. by 29.7%. EDTA can reduce oxidative stress and enhance the bioavailability of metal ions, such as iron and calcium, which are essential nutrients for microalgal growth and lipid production [99,100]. The effect of EDTA was also evaluated in Chlorella ellipsoidea and Chlorococcum infusionum. The substance increased lipid accumulation by 1.7-fold in the first specie, without an impact on biomass. In contrast, EDTA increased lipid content in the former species by 1.9-fold, positively affecting biomass [101].
Melatonin (Figure 3), another natural antioxidant, has also shown a positive effect on the lipid productivity of microalgae. It increased lipid accumulation of Monoraphidium sp. under normal and nitrogen-stress conditions by 1.2 to 1.4-fold, respectively [102,103]. The substance also increased the lipid productivity of Monoraphidium sp. under saline-induced stress [104]. Similarly, melatonin enhanced the biomass and lipid content of Chlamydomonas reinhardtii by 7.4 and 35.4%, respectively [98]. In both species, treatment with melatonin reduced oxidative stress [98,103,104]. However, there are other potential mechanisms through which this substance may exert the observed effects. Zhao et al. [102] showed that melatonin influences phytohormones produced by Monoraphidium, upregulating gibberellic acid, and downregulating abscisic acid. Additionally, the substance was shown to upregulate cell autophagic activity, a process related to oxidative stress response and lipid accumulation [102,104].
Besides antioxidants, some studies evaluated other compounds as potential modulators of lipid accumulation. Franz et al. [93] conducted a phenotypic screening with 54 commercially available substances to identify small molecules that are able to increase the growth and lipid accumulation of four microalgal strains (Nannochloropsis salina, Nannochloropsis oculata, Nannochloris sp., and Phaeodactylum tricornutum). Bioactive molecules such as forskolin (Figure 3), cyclic adenosine monophosphate (cAMP), orlistat, quinacrine, as well as previously mentioned common antioxidants, were among the compounds considered most promising [93].
In a high throughput screening approach, a library of 43,783 synthetic compounds was evaluated in Chlamydomonas reinhardtii. Fifteen of them, classified into five groups according to structural similarity, were considered high performing in terms of enhancing lipid content and growth. Representative substances of each group were also evaluated in three additional microalgal species (Chlorella sorokiniana, Chlorella vulgaris, and Tetrachlorella alterens) and have shown similar results, confirming their potential to be employed in biofuel production [105].
5.4. Co-Cultivation
In nature, microorganisms are found in complex and dynamic communities. Microalgae are not different; they live symbiotically with associated bacteria and fungi [106,107]. Synergistic interactions among microorganisms have been extensively used for industrial processes, such as soil remediation, wastewater treatment, and food production. Thus, not surprisingly, co-cultures of microalgae with other microorganisms can potentially increase biomass and lipid productivity [107,108,109,110,111].
Among the possible strategies of this kind, the co-culturing of microalgae and oleaginous yeasts is one of the most studied. In this cultivation system, the microalgae provide O2 to the yeast, while the former provides CO2 to the microalgae. Moreover, organic acids produced by the yeast, which can inhibit its growth, can be taken up by the microalgae. The yeast can also metabolize complex sugars into simpler ones to be taken up by the microalgae. Another advantage of the association is the pH balance. While microalgae in monoculture tend to make the medium more alkaline, yeasts grown alone make the medium more acidic, which is detrimental to their growth. Together, they can keep the pH in an optimal range for both [107,108]. For instance, the co-cultivation of the microalgae Chlorella pyrenoidosa and the red yeast Rhodotorula glutinis in cassava bagasse hydrolysate reached a significantly higher biomass and lipid productivity when compared to monocultures [112]. Another study evidenced that the co-encapsulation of Chlorella vulgaris and the yeast Trichosporonoides spathulate leads to high biomass and lipid productivity, with the advantage of facilitating the subsequent harvesting process [113]. More examples of microalgae and yeast co-cultivation systems can be found in recent reviews [107,108].
Mutualistic interactions between microalgae and bacteria are also documented. Bacteria produce important substances for microalgal development, such as macronutrients, vitamins, siderophores, and growth stimulants [106,110,114]. Some studies reported the benefits of microalgae and bacteria co-cultivation for improving algal lipid productivity. For instance, Toyama et al. [109] observed that the co-cultivation of Euglena gracilis with the bacterium Emticicia sp. EG3 in wastewater enhanced the microalgae’s biomass and lipid content by 3.2 and 2.9-fold, respectively. Additionally, a recent study showed that the co-cultivation of actinomycetes, bacteria known to produce microalgae-stimulant growth factors, and the Chlorophyta Tetradesmus obliquus, grown in wastewater, enhanced its lipid productivity by 1.55-fold [115]. Co-cultivation systems with bacteria can also improve and reduce harvesting costs by promoting cell bioflocculation [116,117].
Co-cultivation systems, composed of different microalgal species, are another possibility [111,118,119]. Stockenreiter and Litchman [118] evaluated the co-cultivation of Chlorophyta and Cyanobacteria species, two major microalgal taxa with different functional characteristics, such as nutrient requirements and light wavelength absorption. The authors studied systems composed of two, four, and eight species from both groups. They observed that the growth and lipid productivity increased with increasing diversity; cultures with a higher number of species showed higher productivity. Lipid yields were notably higher in cultures containing Anabaena cylindrica, nitrogen-fixing cyanobacteria. They hypothesize that the complementary traits between distinct microalgal groups can provide a more efficient use of resources [118].
6. Large-Scale Production: Current Scenario and Perspectives
As previously stated, microalgal biodiesel production is in its infancy and has not yet achieved the commercial stage. Even though most of the research on the subject has been carried out on a laboratory scale, some recent reports on pilot-scale studies and scale-up experiments are available [120,121,122,123,124,125,126,127,128,129,130,131].
An important challenge for the viability of commercial microalgal biodiesel production is the lower biomass and lipid productivity of large-scale outdoor microalgae cultivation [129]. For instance, Lu et al. [132] observed that the biomass productivity of Chlorella sp. in an outdoor PBR was more than 50% lower compared to bench-scale indoor conditions, while the lipid productivity was three times lower. However, lower yields are not a rule for large-scale cultivation; the biomass and lipid productivity of Ascochloris sp., cultivated in pilot-scale outdoor open troughs, did not significantly differ from those obtained with bench-scale indoor PBR [126].
Most of the pilot scale studies carried out with microalgae for biodiesel production do not focus on economic aspect analysis. Thus, even though the technical viability of the large-scale production is demonstrated, little is known about their economic feasibility. According to Chisti [133], to have competitive prices relative to petroleum, algal biomass must be produced at around US$0.25/kg (dry weight). The biomass production of Synechocystis sp. in a large-scale cultivation OPR system was estimated to be approximately US$2–3/kg [121]. Similarly, the biomass cost of Scenedesmus acuminatus in OPR was predicted to be US$1.76/kg. On the other hand, the biomass production of the same species in PRB was calculated to be US$6.91/kg [134]. In another report, the biomass cost of Chlorella vulgaris in a pilot-scale outdoor PBR was estimated at US$14.3/kg [130]. These results are close to theoretical estimates, which projected the costs of biomass production in OPR to be around US$0.4–2.1/kg (€0.3–1.8) and in PRB around US$4.5–11.8/kg (€3.8–10) [135], confirming that production costs in OPRs are lower than in PBRs. However, the current costs are still far from the desirable condition, which evidences the need for optimization and technological improvement in the process.
7. Biorefinery Concept and Other Strategies to Reduce Production Costs
A promising possibility to enhance the economic competitiveness of microalgal biodiesel is production within a biorefinery concept. In a biorefinery, the biodiesel production from lipids would be integrated with the simultaneous production of other high value biomass components. Besides lipids, microalgae contain carbohydrates, proteins, and a variety of complex organic molecules such as vitamins, terpenes, and carotenoids. These components can be extracted and transformed into a variety of by-products, such as bioethanol, biogas, chemicals, food supplements, animal feed, fertilizers, cosmetics, and nutraceuticals [136,137,138].
The aggregation of other valuable goods to the biodiesel production chain allows better material and energy utilization, enables greater product flexibility, reduces the generation of residues, and thus improves the feasibility of the whole process [136,137,138]. Branco-Vieira et al. [138] analyzed possible configurations for a biorefinery to use the biomass from Phaeodactylum tricornutum. They assessed the chemical composition of the biomass cultivated in pilot-scale outdoor PBR, and used these data to build scaled-up scenarios. The authors concluded that integrating biodiesel, bioethanol, fucoxanthin, and biosilica production would be feasible [138].
Some techno-economic evaluations have shown that biodiesel production in integrated biorefineries is more economically and environmentally favorable [136,139]. However, in the case of biodiesel production coupled with high-value products, there is a concern that the increased production of the latter may cause market saturation, as the demand for such products is not high [136,140]. Moreover, concerning food components, safety issues may arise when their production is integrated with that of fuels and chemicals [141]. Due to these concerns, Lee et al. [140] favor an integrated production of various biofuels.
Another way to improve the economic feasibility of microalgal biodiesel is by reducing nutrient supply costs. Currently, large-scale microalgal cultivation uses commercial CO2 and agricultural fertilizers. It is, however, possible to project cultivation systems in which the CO2 is obtained from flue gases emitted by industries and/or in which nitrogen, phosphorus, and other nutrients are obtained from wastewater. These approaches can potentially reduce costs and the environmental impact of the process [133,136,142].
Selvan et al. [143] demonstrated biodiesel and bioethanol production by Acutodesmus obliquus cultivated in cassava wastewater in an OPR pilot-scale system. In another study, the pilot-scale cultivation of Ascochloris sp. in an open system with dairy wastewater achieved high biomass and lipid content of almost 35% [126]. Recently, a cultivation system for Scenedesmus quadriculata with turbulence pulsation and phytohormones (gibberellic acid, indole-3-acetic acid, and brassinolide) evidenced high recovery rates and lipid productivity [144]. Moreover, Park et al. [145] evaluated the cultivation of Nephroselmis sp. in pilot-scale PBR using flue gases from a thermal power plant as a CO2 source, evidencing the process as feasible for large-scale cultivation. The use of flue gases also showed promise for the large-scale cultivation of Nannochloropsis sp in OPR [146]. Nayak et al. [142] demonstrated the suitability of cultivating Scenedesmus sp. with domestic wastewater and CO2 from flue gas in both PBR and OPR.
In summary, possible ways to improve the commercial feasibility of microalgal biodiesel are:
- (a).
- Development of new technologies to increase lipid and biomass productivity of large-scale cultivation, as well as to reduce the operational costs of the process;
- (b).
- Integration of the biodiesel production with other biofuels or added-value by-products;
- (c).
- Use of low-cost nutrients from wastewater and CO2 from flue gases.
Nonetheless, it is worth pointing out that economic competitiveness is not the only important factor for microalgal biodiesel to achieve marketability in the global fuel scenario. Public policies have always played a significant role in the development of the biodiesel industry throughout the world. Policies introduced in the United States, European Union countries, and South American countries (majorly Brazil and Argentina) have been the driving force for the development of the biodiesel industry and market in these nations. Public support strategies include financial support for research in the field, price subsidies, blending mandates, and quantitative targets [14,147]. For instance, in Brazil, the National Agency for Petroleum, Natural Gas and Biofuels (ANP) establishes a mandatory biodiesel fraction in commercial diesel, which has gradually increased since 2008 reaching 13% [148,149].
The biodiesel demand will likely increase in the coming years, driven by the growing world energy demand combined with the urgent need for green energy alternatives to mitigate climate change. Therefore, microalgal biodiesel is still promising and likely to attract future government support.
8. Biodiesel from Microalgae in Brazil
The Brazilian government started to invest in biodiesel in 2004 with the creation of the National Program for the Production and Use of Biodiesel (PNPB), whose objective was to stimulate biodiesel production in the country. New technology routes and research development were established and Brazil, together with the USA and Indonesia, are the major world producers and consumers of biodiesel. The biodiesel currently produced in Brazil is mainly obtained from animal fats and vegetable oils (1G biodiesel) [150]. The most common production process has been the chemical route by the transesterification of TAGs with methanol or other short-chain alcohols, through homogeneous alkaline catalysis with hydroxides (e.g., NaOH and KOH) or alkoxides (e.g., CH3O− Na+ and CH3O− K+). The alternative enzymatic route is ecologically friendly, uses less energy and water, and produces purer glycerol. However, it is a more expensive method [151]. Therefore, the search for sustainable processes turns to the enzymatic route, a biotechnological process in progress [152].
Microalgae biomass has received attention for third-generation biofuel production due to its high carbohydrate and TAG content. These microorganisms are attracting renewed attention due to the possibility of using their carbohydrates for bioethanol, and lipids for biodiesel production. However, their use has yet to achieve full industrial scale [153].
The Brazilian government started to invest in microalgae research in 2008 in a joint action with other public agencies such as the Secretariat of Aquaculture and Fisheries (Secretaria de Aquicultura e Pesca) and Conselho Nacional de Desenvolvimento Científico e Tecnológico—CNPq). As a result, a fund was opened for research focused on biodiesel production from microalgae. In 2013 a new governmental investment was made with the partnership of CNPq for biofuels and bioproducts from microalgae [11]. Since these investments, microalgae research in Brazil has been developing and mobilizing several public institutions and academic laboratories. Consequently, many partnerships have been formed between companies and universities. An increased interest in renewable energy has arisen, and the research concerning biofuels has intensified.
Several microalgae were isolated from Brazilian biomes, such as the Amazon Forest, the Cerrado, and the Pantanal flooded grasslands. In addition, microalgae were isolated from wastewater deposits generated by industrial and agricultural activities such as pisciculture, the sugarcane industry, and swine farming. The identified specimens were deposited in specific collection of microorganisms for agro-energy and biorefineries maintained by the Brazilian Agricultural Research Corporation (Embrapa) [154].
Brazilian scientific articles describe the research for microalgae focusing on biodiesel production. Microalgal Brazilian biodiversity is very significant. For instance, Botryococcus found in Brazil, is a microalgae genus rich in monounsaturated fatty acids, and is an excellent candidate for biodiesel production. The authors demonstrated that nutrient manipulation could stimulate the production of different compounds [155].
Ribeiro et al. [156] isolated six microalgae from the Midwest Region of Brazil (Mato Grosso do Sul, Dourados) cultivated in open ponds with potential use for biodiesel production. They observed that Pseudokirchneriella subcapitata presented high growth, while Coelastrum sp. and P. subcapitata showed the highest lipid contents, corresponding to approximately 20% of their dry mass [156]. In a study by Calixto et al. [157], it was demonstrated that the microalgae Chlorella sp. (D101Z), Chlamydomonas sp. (D132WC), Pediastrum tetra (D121WC), Scenedesmus acuminatus (D115WC), and Sinechocystis sp. (M3C) are promising candidates for biodiesel production [157]. A method for disrupting the cell wall by non-thermal plasma was carried out with Nannochloropsis gaditana to improve lipid extraction [158].
The green microalgae Monoraphidium contortum (CCMA-UFSCar701), isolated from freshwater in mangrove areas of Central and North Coasts of São Paulo State, Brazil, presented a high lipid content (43.60%) close to that observed in Botryococcus braunii (UTEX-2441; 48.85%), a strain from UTEX Culture Collection (USA) [159].The genus Scenedesmus sp. has been a target for biodiesel research [160]. Several authors focused on microalgal biodiesel using Scenedesmus sp and agro-industrial wastewater [161] or agro-industrial effluents [162]. The microalgae Chlorella protothecoides demonstrated excellent properties for biodiesel [163].
Brazilian companies, such as Petrobras (Petróleo Brasileiro S.A, Rio de Janeiro, Brazil) and Embrapa (Brasília, Brazil) have invested in microalgae research in recent years. A Program, created by Embrapa, isolated, identified, and evaluated biotechnologically important microalgae species in Brazil, integrating the biorefinery concept into the biofuels [164].
Another association of the Federal University of São Carlos and the company Algae Biotecnologia received a fund from the national development bank (BNDES) to develop a project of a biodiesel pilot plant, using vinasse for microalgae digestion and cultivation [153].
Below, we show a successful case in the research of biodiesel from microalgae in Brazil, which is the project from Petrobras. It is still under development but has several stages already established.
9. Petrobras’s Microalgae Biodiesel Project
Petrobras has invested in partnerships with public research universities to develop microalgae research since 2009. In this context, this integrated approach was successfully applied in a project developed by Petrobras, in cooperation with the State University of Campinas (UNICAMP), the Federal University of Viçosa (UFV), the Federal University of Rio de Janeiro (UFRJ), the Federal University of Rio Grande (FURG), and the Federal University of Rio Grande do Norte (UFRN). Petrobras established a cooperation with the last institution to develop an open ponds pilot plant to test microalgae for biodiesel production [165].
Scaling up for biodiesel production is an integrated process including the choice of microalgae, culture medium, harvesting of microalgae, oil extraction, and conversion to biodiesel. All these factors are relevant to large-scale upstream production. The microalgae used in the process must present specific properties, including resistance to biological contamination and high lipid productivity. The phases of the upstream process, starting with the inoculation, are responsible for approximately 70% of the costs involved in the generation of biodiesel from microalgae. In this stage, genetic modification of microalgae by synthetic biology to increase the biosynthesis of target molecules is an excellent strategy. Recently, the joint venture formed by the companies ExxonMobil and Synthetic Genomics in the USA used this approach [166].
Cell disruption followed by oil extraction is a critical point in the process, and needs to be standardized according to the conditions of the bioprocess to obtain the best oil yield. However, other selection criteria for microalgae must be considered if the bioprocess is coupled with the biorefinery concept, according to the desirable bioproducts derived from the biorefining processes (downstream).
One of the challenges of the project was the resistance to cell disruption. This problem led the group to reevaluate microalgae management and select the species used in open biomass production systems (open pond). The biomass generated was adjusted to meet the requirements found throughout the bio-refining process. The process was successfully subjected to a cold oil extraction technique, developed jointly with the Federal University of Viçosa, for later conversion to biodiesel with low energy consumption and recovery of the solvents used.
In Rio Grande do Norte, the scale-up was successful (Figure 4) and reached high biomass production using native microalgal strains. The pilot plant has open ponds with a total area of 100 m2, producing 6000 L of algae and a yearly productivity of 30 g/m2/day. These results at this scale indicate that an integrated biorefinery approach is likely to achieve cost effective microalgae biodiesel.
Figure 4.
Petrobras pilot-scale open pond microalgae production facility in Rio Grande do Norte (Brazil).
Petrobras in partnership with universites has overcome many of the scale-up challenges, and solutions for other challenges are in development. In this context, integrating the results obtained in the cultivation process and refining the collected biomass (bio-refining) must be considered an essential factor for developing the product “microalgae biodiesel”.
In conclusion, the future of microalgae biodiesel is bright and increasingly within a circular economic framework where waste residues from one industry serve as inputs to its production and where algae not only produce biodiesel but other bioproducts too. The improved economics of the scale-up process is in progress, and commercial production will be possible within a low-carbon economy shortly.
Author Contributions
Conceptualization, L.M.C. and A.B.V.; data curation, L.M.C., A.B.V. and T.d.S.C.; writing—original draft preparation, L.M.C., L.B.B.M., T.d.S.C., R.R.J., R.B.d.S., A.M. and A.B.V.; writing—review and editing, L.M.C., L.B.B.M., T.d.S.C., R.R.J., R.B.d.S., A.M. and A.B.V. All authors have read and agreed to the published version of the manuscript.
Funding
This research was funded by PETROLEO BRASILEIRO SA PETROBRAS grant number 5900.0111798.19.9/PT-200.20.00192/SAP-4600597905.
Conflicts of Interest
The authors declare no conflict of interest. The sponsors had no role in the design, execution, interpretation, or writing of the study.
References
- Halkos, G.E.; Gkampoura, E.-C. Reviewing Usage, Potentials, and Limitations of Renewable Energy Sources. Energies 2020, 13, 2906. [Google Scholar] [CrossRef]
- International Energy Agency World Energy Outlook 2019. Available online: https://www.iea.org/reports/world-energy-outlook-2019 (accessed on 2 September 2022).
- Liu, Z.; Wang, K.; Chen, Y.; Tan, T.; Nielsen, J. Third-Generation Biorefineries as the Means to Produce Fuels and Chemicals from CO2. Nat. Catal. 2020, 3, 274–288. [Google Scholar] [CrossRef]
- Jackson, R.B.; Friedlingstein, P.; Andrew, R.M.; Canadell, J.G.; Le Quéré, C.; Peters, G.P. Persistent Fossil Fuel Growth Threatens the Paris Agreement and Planetary Health. Environ. Res. Lett. 2019, 14, 121001. [Google Scholar] [CrossRef]
- Pörtner, H.-O.; Roberts, D.C.; Adams, H.; Adelekan, I.; Adler, C.; Adrian, R.; Aldunce, P.; Ali, E.; Ara Begum, R.; BednarFriedl, B. Climate Change 2022: Impacts, Adaptation and Vulnerability; Cambridge University Press: Cambridge, UK; New York, NY, USA, 2022. [Google Scholar]
- ÓhAiseadha, C.; Quinn, G.; Connolly, R.; Connolly, M.; Soon, W. Energy and Climate Policy—An Evaluation of Global Climate Change Expenditure 2011–2018. Energies 2020, 13, 4839. [Google Scholar] [CrossRef]
- Chen, Y.; Xu, C.; Vaidyanathan, S. Microalgae: A Robust “Green Bio-Bridge” between Energy and Environment. Crit. Rev. Biotechnol. 2018, 38, 351–368. [Google Scholar] [CrossRef]
- Arenas, E.G.; Rodriguez Palacio, M.C.; Juantorena, A.U.; Fernando, S.E.L.; Sebastian, P.J. Microalgae as a Potential Source for Biodiesel Production: Techniques, Methods, and Other Challenges. Int. J. Energy Res. 2017, 41, 761–789. [Google Scholar] [CrossRef]
- González-González, L.M.; Correa, D.F.; Ryan, S.; Jensen, P.D.; Pratt, S.; Schenk, P.M. Integrated Biodiesel and Biogas Production from Microalgae: Towards a Sustainable Closed Loop through Nutrient Recycling. Renew. Sustain. Energy Rev. 2018, 82, 1137–1148. [Google Scholar] [CrossRef]
- Khan, M.I.; Shin, J.H.; Kim, J.D. The Promising Future of Microalgae: Current Status, Challenges, and Optimization of a Sustainable and Renewable Industry for Biofuels, Feed, and Other Products. Microb. Cell Fact. 2018, 17, 36. [Google Scholar] [CrossRef]
- Matos, Â.P. Advances in Microalgal Research in Brazil. Braz. Arch. Biol. Technol. 2021, 64, e21200531. [Google Scholar] [CrossRef]
- Bharathiraja, B.; Chakravarthy, M.; Kumar, R.R.; Yuvaraj, D.; Jayamuthunagai, J.; Kumar, R.P.; Palani, S. Biodiesel Production Using Chemical and Biological Methods—A Review of Process, Catalyst, Acyl Acceptor, Source and Process Variables. Renew. Sustain. Energy Rev. 2014, 38, 368–382. [Google Scholar] [CrossRef]
- Daroch, M.; Geng, S.; Wang, G. Recent Advances in Liquid Biofuel Production from Algal Feedstocks. Appl. Energy 2013, 102, 1371–1381. [Google Scholar] [CrossRef]
- Naylor, R.L.; Higgins, M.M. The Political Economy of Biodiesel in an Era of Low Oil Prices. Renew. Sustain. Energy Rev. 2017, 77, 695–705. [Google Scholar] [CrossRef]
- Rouhany, M.; Montgomery, H. Global Biodiesel Production: The State of the Art and Impact on Climate Change. In Biodiesel; Springer International Publishing: Cham, Switzerland, 2019; pp. 1–14. [Google Scholar]
- Monteiro, M.R.; Kugelmeier, C.L.; Pinheiro, R.S.; Batalha, M.O.; da Silva César, A. Glycerol from Biodiesel Production: Technological Paths for Sustainability. Renew. Sustain. Energy Rev. 2018, 88, 109–122. [Google Scholar] [CrossRef]
- Bharti, R.K.; Singh, A.; Dhar, D.W.; Kaushik, A. Biological Carbon Dioxide Sequestration by Microalgae for Biofuel and Biomaterials Production. In Biomass, Biofuels, Biochemicals; Elsevier: Amsterdam, The Netherlands, 2022; pp. 137–153. [Google Scholar]
- Karlsson, H.; Ahlgren, S.; Sandgren, M.; Passoth, V.; Wallberg, O.; Hansson, P.-A. Greenhouse Gas Performance of Biochemical Biodiesel Production from Straw: Soil Organic Carbon Changes and Time-Dependent Climate Impact. Biotechnol. Biofuels 2017, 10, 217. [Google Scholar] [CrossRef]
- Georgianna, D.R.; Mayfield, S.P. Exploiting Diversity and Synthetic Biology for the Production of Algal Biofuels. Nature 2012, 488, 329–335. [Google Scholar] [CrossRef]
- Pasha, M.K.; Dai, L.; Liu, D.; Guo, M.; Du, W. An Overview to Process Design, Simulation and Sustainability Evaluation of Biodiesel Production. Biotechnol. Biofuels 2021, 14, 129. [Google Scholar] [CrossRef]
- Hemaiswarya, S.; Raja, R.; Ravikumar, R.; Carvalho, I.S. Microalgae Taxonomy and Breeding. In Biofuel Crops: Production, Physiology and Genetics; CABI: Wallingford, UK, 2013; pp. 44–53. [Google Scholar]
- Sajjadi, B.; Chen, W.-Y.Y.; Raman, A.A.A.; Ibrahim, S. Microalgae Lipid and Biomass for Biofuel Production: A Comprehensive Review on Lipid Enhancement Strategies and Their Effects on Fatty Acid Composition. Renew. Sustain. Energy Rev. 2018, 97, 200–232. [Google Scholar] [CrossRef]
- Mata, T.M.; Martins, A.A.; Caetano, N.S. Microalgae for Biodiesel Production and Other Applications: A Review. Renew. Sustain. Energy Rev. 2010, 14, 217–232. [Google Scholar] [CrossRef]
- Evert, R.F.; Eichhorn, S.E. Raven Biology of Plants, 8th ed.; Freeman and Co.: New York, NY, USA, 2013. [Google Scholar]
- Morales, M.; Aflalo, C.; Bernard, O. Microalgal Lipids: A Review of Lipids Potential and Quantification for 95 Phytoplankton Species. Biomass Bioenergy 2021, 150, 106108. [Google Scholar] [CrossRef]
- Bhujade, R.; Chidambaram, M.; Kumar, A.; Sapre, A. Algae to Economically Viable Low-Carbon-Footprint Oil. Annu. Rev. Chem. Biomol. Eng. 2017, 8, 335–357. [Google Scholar] [CrossRef]
- Heredia, V.; Gonçalves, O.; Marchal, L.; Pruvost, J. Producing Energy-Rich Microalgae Biomass for Liquid Biofuels: Influence of Strain Selection and Culture Conditions. Energies 2021, 14, 1246. [Google Scholar] [CrossRef]
- Chen, H.-H.H.; Jiang, J.-G.G. Lipid Accumulation Mechanisms in Auto- and Heterotrophic Microalgae. J. Agric. Food Chem. 2017, 65, 8099–8110. [Google Scholar] [CrossRef]
- D’Alessandro, E.B.; Antoniosi Filho, N.R. Concepts and Studies on Lipid and Pigments of Microalgae: A Review. Renew. Sustain. Energy Rev. 2016, 58, 832–841. [Google Scholar] [CrossRef]
- Li-Beisson, Y.; Thelen, J.J.; Fedosejevs, E.; Harwood, J.L. The Lipid Biochemistry of Eukaryotic Algae. Prog. Lipid Res. 2019, 74, 31–68. [Google Scholar] [CrossRef]
- Rawat, I.; Ranjith Kumar, R.; Mutanda, T.; Bux, F. Biodiesel from Microalgae: A Critical Evaluation from Laboratory to Large Scale Production. Appl. Energy 2013, 103, 444–467. [Google Scholar] [CrossRef]
- Veillette, M.; Giroir-Fendler, A.; Faucheux, N.; Heitz, M. Biodiesel from Microalgae Lipids: From Inorganic Carbon to Energy Production. Biofuels 2018, 9, 175–202. [Google Scholar] [CrossRef]
- Hossain, N.; Mahlia, T.M.I. Progress in Physicochemical Parameters of Microalgae Cultivation for Biofuel Production. Crit. Rev. Biotechnol. 2019, 39, 835–859. [Google Scholar] [CrossRef]
- Kumar, K.; Mishra, S.K.; Shrivastav, A.; Park, M.S.; Yang, J.-W. Recent Trends in the Mass Cultivation of Algae in Raceway Ponds. Renew. Sustain. Energy Rev. 2015, 51, 875–885. [Google Scholar] [CrossRef]
- Correa, D.F.; Beyer, H.L.; Possingham, H.P.; Thomas-Hall, S.R.; Schenk, P.M. Global Mapping of Cost-effective Microalgal Biofuel Production Areas with Minimal Environmental Impact. GCB Bioenergy 2019, 11, gcbb.12619. [Google Scholar] [CrossRef]
- Wang, B.; Lan, C.Q.; Horsman, M. Closed Photobioreactors for Production of Microalgal Biomasses. Biotechnol. Adv. 2012, 30, 904–912. [Google Scholar] [CrossRef]
- Behera, B.; Acharya, A.; Gargey, I.A.; Aly, N.P.B. Bioprocess Engineering Principles of Microalgal Cultivation for Sustainable Biofuel Production. Bioresour. Technol. Rep. 2019, 5, 297–316. [Google Scholar] [CrossRef]
- Pawar, S. Effectiveness Mapping of Open Raceway Pond and Tubular Photobioreactors for Sustainable Production of Microalgae Biofuel. Renew. Sustain. Energy Rev. 2016, 62, 640–653. [Google Scholar] [CrossRef]
- Singh, K.; Kaloni, D.; Gaur, S.; Kushwaha, S.; Mathur, G. Current Research and Perspectives on Microalgae-Derived Biodiesel. Biofuels 2017, 11, 1–18. [Google Scholar] [CrossRef]
- Banerjee, S.; Ramaswamy, S. Comparison of Productivity and Economic Analysis of Microalgae Cultivation in Open Raceways and Flat Panel Photobioreactor. Bioresour. Technol. Rep. 2019, 8, 100328. [Google Scholar] [CrossRef]
- Narala, R.R.; Garg, S.; Sharma, K.K.; Thomas-Hall, S.R.; Deme, M.; Li, Y.; Schenk, P.M. Comparison of Microalgae Cultivation in Photobioreactor, Open Raceway Pond, and a Two-Stage Hybrid System. Front. Energy Res. 2016, 4, 1–10. [Google Scholar] [CrossRef]
- Liyanaarachchi, V.C.; Premaratne, M.; Ariyadasa, T.U.; Nimarshana, P.H.V.; Malik, A. Two-Stage Cultivation of Microalgae for Production of High-Value Compounds and Biofuels: A Review. Algal Res. 2021, 57, 102353. [Google Scholar] [CrossRef]
- Liu, W.; Chen, Y.; Wang, J.; Liu, T. Biomass Productivity of Scenedesmus dimorphus (Chlorophyceae) Was Improved by Using an Open Pond–Photobioreactor Hybrid System. Eur. J. Phycol. 2019, 54, 127–134. [Google Scholar] [CrossRef]
- Yun, J.-H.; Cho, D.-H.; Lee, S.; Heo, J.; Tran, Q.-G.; Chang, Y.K.; Kim, H.-S. Hybrid Operation of Photobioreactor and Wastewater-Fed Open Raceway Ponds Enhances the Dominance of Target Algal Species and Algal Biomass Production. Algal Res. 2018, 29, 319–329. [Google Scholar] [CrossRef]
- Passell, H.; Dhaliwal, H.; Reno, M.; Wu, B.; Ben Amotz, A.; Ivry, E.; Gay, M.; Czartoski, T.; Laurin, L.; Ayer, N. Algae Biodiesel Life Cycle Assessment Using Current Commercial Data. J. Environ. Manage. 2013, 129, 103–111. [Google Scholar] [CrossRef]
- Delrue, F.; Setier, P.-A.; Sahut, C.; Cournac, L.; Roubaud, A.; Peltier, G.; Froment, A.-K. An Economic, Sustainability, and Energetic Model of Biodiesel Production from Microalgae. Bioresour. Technol. 2012, 111, 191–200. [Google Scholar] [CrossRef]
- Remmers, I.M.; Wijffels, R.H.; Barbosa, M.J.; Lamers, P.P. Can We Approach Theoretical Lipid Yields in Microalgae? Trends Biotechnol. 2018, 36, 265–276. [Google Scholar] [CrossRef]
- Singh, P.; Kumari, S.; Guldhe, A.; Misra, R.; Rawat, I.; Bux, F. Trends and Novel Strategies for Enhancing Lipid Accumulation and Quality in Microalgae. Renew. Sustain. Energy Rev. 2016, 55, 1–16. [Google Scholar] [CrossRef]
- Aratboni, H.A.; Rafiei, N.; Garcia-Granados, R.; Alemzadeh, A.; Morones-Ramírez, J.R. Biomass and Lipid Induction Strategies in Microalgae for Biofuel Production and Other Applications. Microb. Cell Fact. 2019, 18, 178. [Google Scholar] [CrossRef]
- Solovchenko, A.; Khozin-Goldberg, I.; Selyakh, I.; Semenova, L.; Ismagulova, T.; Lukyanov, A.; Mamedov, I.; Vinogradova, E.; Karpova, O.; Konyukhov, I.; et al. Phosphorus Starvation and Luxury Uptake in Green Microalgae Revisited. Algal Res. 2019, 43, 101651. [Google Scholar] [CrossRef]
- da Silva Ferreira, V.; Sant’Anna, C. The Effect of Physicochemical Conditions and Nutrient Sources on Maximizing the Growth and Lipid Productivity of Green Microalgae. Phycol. Res. 2017, 65, 3–13. [Google Scholar] [CrossRef]
- Tan, K.W.M.; Lee, Y.K. The Dilemma for Lipid Productivity in Green Microalgae: Importance of Substrate Provision in Improving Oil Yield without Sacrificing Growth. Biotechnol. Biofuels 2016, 9, 255. [Google Scholar] [CrossRef]
- Aziz, M.M.A.; Kassim, K.A.; Shokravi, Z.; Jakarni, F.M.; Liu, H.Y.; Zaini, N.; Tan, L.S.; Islam, A.B.M.S.; Shokravi, H. Two-Stage Cultivation Strategy for Simultaneous Increases in Growth Rate and Lipid Content of Microalgae: A Review. Renew. Sustain. Energy Rev. 2020, 119, 109621. [Google Scholar] [CrossRef]
- Nagappan, S.; Devendran, S.; Tsai, P.-C.; Dahms, H.-U.; Ponnusamy, V.K. Potential of Two-Stage Cultivation in Microalgae Biofuel Production. Fuel 2019, 252, 339–349. [Google Scholar] [CrossRef]
- Banerjee, A.; Banerjee, C.; Negi, S.; Chang, J.S.; Shukla, P. Improvements in Algal Lipid Production: A Systems Biology and Gene Editing Approach. Crit. Rev. Biotechnol. 2018, 38, 369–385. [Google Scholar] [CrossRef]
- Park, S.; Nguyen, T.H.T.; Jin, E. Improving Lipid Production by Strain Development in Microalgae: Strategies, Challenges and Perspectives. Bioresour. Technol. 2019, 292, 121953. [Google Scholar] [CrossRef]
- Naduthodi, M.I.S.; Claassens, N.J.; D’Adamo, S.; van der Oost, J.; Barbosa, M.J. Synthetic Biology Approaches to Enhance Microalgal Productivity. Trends Biotechnol. 2021, 39, 1019–1036. [Google Scholar] [CrossRef] [PubMed]
- Ng, I.; Keskin, B.B.; Tan, S. A Critical Review of Genome Editing and Synthetic Biology Applications in Metabolic Engineering of Microalgae and Cyanobacteria. Biotechnol. J. 2020, 15, 1900228. [Google Scholar] [CrossRef] [PubMed]
- Aléman-Nava, G.S.; Muylaert, K.; Cuellar Bermudez, S.P.; Depraetere, O.; Rittmann, B.; Parra-Saldívar, R.; Vandamme, D. Two-Stage Cultivation of Nannochloropsis oculata for Lipid Production Using Reversible Alkaline Flocculation. Bioresour. Technol. 2017, 226, 18–23. [Google Scholar] [CrossRef]
- Su, C.H.; Chien, L.J.; Gomes, J.; Lin, Y.S.; Yu, Y.K.; Liou, J.S.; Syu, R.J. Factors Affecting Lipid Accumulation by Nannochloropsis oculata in a Two-Stage Cultivation Process. J. Appl. Phycol. 2011, 23, 903–908. [Google Scholar] [CrossRef]
- Muthuraj, M.; Chandra, N.; Palabhanvi, B.; Kumar, V.; Das, D. Process Engineering for High-Cell-Density Cultivation of Lipid Rich Microalgal Biomass of Chlorella Sp. FC2 IITG. BioEnergy Res. 2015, 8, 726–739. [Google Scholar] [CrossRef]
- Nayak, M.; Suh, W.I.; Chang, Y.K.; Lee, B. Exploration of Two-Stage Cultivation Strategies Using Nitrogen Starvation to Maximize the Lipid Productivity in Chlorella Sp. HS2. Bioresour. Technol. 2019, 276, 110–118. [Google Scholar] [CrossRef]
- Amaral, M.S.; Loures, C.C.A.; Pedro, G.A.; Reis, C.E.R.; De Castro, H.F.; Naves, F.L.; Silva, M.B.; Prata, A.M.R. An Unconventional Two-Stage Cultivation Strategy to Increase the Lipid Content and Enhance the Fatty Acid Profile on Chlorella minutissima Biomass Cultivated in a Novel Internal Light Integrated Photobioreactor Aiming at Biodiesel Production. Renew. Energy 2020, 156, 591–601. [Google Scholar] [CrossRef]
- Xia, L.; Ge, H.; Zhou, X.; Zhang, D.; Hu, C. Photoautotrophic Outdoor Two-Stage Cultivation for Oleaginous Microalgae Scenedesmus obtusus XJ-15. Bioresour. Technol. 2013, 144, 261–267. [Google Scholar] [CrossRef]
- Xia, L.; Rong, J.; Yang, H.; He, Q.; Zhang, D.; Hu, C. NaCl as an Effective Inducer for Lipid Accumulation in Freshwater Microalgae Desmodesmus abundans. Bioresour. Technol. 2014, 161, 402–409. [Google Scholar] [CrossRef]
- Chokshi, K.; Pancha, I.; Ghosh, A.; Mishra, S. Salinity Induced Oxidative Stress Alters the Physiological Responses and Improves the Biofuel Potential of Green Microalgae Acutodesmus dimorphus. Bioresour. Technol. 2017, 244, 1376–1383. [Google Scholar] [CrossRef]
- Mirizadeh, S.; Nosrati, M.; Shojaosadati, S.A. Synergistic Effect of Nutrient and Salt Stress on Lipid Productivity of Chlorella vulgaris through Two-Stage Cultivation. BioEnergy Res. 2020, 13, 507–517. [Google Scholar] [CrossRef]
- Lu, Y.; Xu, J. Phytohormones in Microalgae: A New Opportunity for Microalgal Biotechnology? Trends Plant Sci. 2015, 20, 273–282. [Google Scholar] [CrossRef] [PubMed]
- Han, X.; Zeng, H.; Bartocci, P.; Fantozzi, F.; Yan, Y. Phytohormones and Effects on Growth and Metabolites of Microalgae: A Review. Fermentation 2018, 4, 25. [Google Scholar] [CrossRef]
- Wang, C.; Qi, M.; Guo, J.; Zhou, C.; Yan, X.; Ruan, R.; Cheng, P. The Active Phytohormone in Microalgae: The Characteristics, Efficient Detection, and Their Adversity Resistance Applications. Molecules 2021, 27, 46. [Google Scholar] [CrossRef] [PubMed]
- Zhao, Y.; Wang, H.; Han, B.; Yu, X. Coupling of Abiotic Stresses and Phytohormones for the Production of Lipids and High-Value by-Products by Microalgae: A Review. Bioresour. Technol. 2019, 274, 549–556. [Google Scholar] [CrossRef] [PubMed]
- Renuka, N.; Guldhe, A.; Singh, P.; Ansari, F.A.; Rawat, I.; Bux, F. Evaluating the Potential of Cytokinins for Biomass and Lipid Enhancement in Microalga Acutodesmus obliquus under Nitrogen Stress. Energy Convers. Manag. 2017, 140, 14–23. [Google Scholar] [CrossRef]
- Babu, A.G.; Wu, X.; Kabra, A.N.; Kim, D. Cultivation of an Indigenous Chlorella sorokiniana with Phytohormones for Biomass and Lipid Production under N-Limitation. Algal Res. 2017, 23, 178–185. [Google Scholar] [CrossRef]
- Guldhe, A.; Renuka, N.; Singh, P.; Bux, F. Effect of Phytohormones from Different Classes on Gene Expression of Chlorella Sorokiniana under Nitrogen Limitation for Enhanced Biomass and Lipid Production. Algal Res. 2019, 40, 101518. [Google Scholar] [CrossRef]
- Yu, Z.; Pei, H.; Jiang, L.; Hou, Q.; Nie, C.; Zhang, L. Phytohormone Addition Coupled with Nitrogen Depletion Almost Tripled the Lipid Productivities in Two Algae. Bioresour. Technol. 2018, 247, 904–914. [Google Scholar] [CrossRef]
- Du, H.; Ren, J.; Li, Z.; Zhang, H.; Wang, K.; Lin, B.; Zheng, S.; Zhao, C.; Meng, C.; Gao, Z. Plant Growth Regulators Affect Biomass, Protein, Carotenoid, and Lipid Production in Botryococcus braunii. Aquac. Int. 2020, 28, 1319–1340. [Google Scholar] [CrossRef]
- Jusoh, M.; Loh, S.H.; Chuah, T.S.; Aziz, A.; Cha, T.S. Indole-3-Acetic Acid (IAA) Induced Changes in Oil Content, Fatty Acid Profiles and Expression of Four Fatty Acid Biosynthetic Genes in Chlorella vulgaris at Early Stationary Growth Phase. Phytochemistry 2015, 111, 65–71. [Google Scholar] [CrossRef] [PubMed]
- Song, X.; Zhao, Y.; Li, T.; Han, B.; Zhao, P.; Xu, J.; Yu, X. Enhancement of Lipid Accumulation in Monoraphidium Sp. QLY-1 by Induction of Strigolactone. Bioresour. Technol. 2019, 288, 121607. [Google Scholar] [CrossRef] [PubMed]
- Udayan, A.; Sabapathy, H.; Arumugam, M. Stress Hormones Mediated Lipid Accumulation and Modulation of Specific Fatty Acids in Nannochloropsis oceanica CASA CC201. Bioresour. Technol. 2020, 310, 123437. [Google Scholar] [CrossRef] [PubMed]
- González-Garcinuño, Á.; Sánchez-Álvarez, J.M.; Galán, M.A.; Martin del Valle, E.M. Understanding and Optimizing the Addition of Phytohormones in the Culture of Microalgae for Lipid Production. Biotechnol. Prog. 2016, 32, 1203–1211. [Google Scholar] [CrossRef] [PubMed]
- Kozlova, T.A.; Hardy, B.P.; Levin, D.B. The Combined Influence of 24-epibrassinolide and 3-indoleacetic Acid on Growth and Accumulation of Pigments and Fatty Acids in the Microalgae Scenedesmus quadricauda (CPCC-158). Algal Res. 2018, 35, 22–32. [Google Scholar] [CrossRef]
- Seemashree, M.H.; Chauhan, V.S.; Sarada, R. Phytohormone Supplementation Mediated Enhanced Biomass Production, Lipid Accumulation, and Modulation of Fatty Acid Profile in Porphyridium purpureum and Dunaliella salina Cultures. Biocatal. Agric. Biotechnol. 2022, 39, 102253. [Google Scholar] [CrossRef]
- Wu, G.; Gao, Z.; Du, H.; Lin, B.; Yan, Y.; Li, G.; Guo, Y.; Fu, S.; Wei, G.; Wang, M.; et al. The Effects of Abscisic Acid, Salicylic Acid and Jasmonic Acid on Lipid Accumulation in Two Freshwater Chlorella Strains. J. Gen. Appl. Microbiol. 2018, 64, 42–49. [Google Scholar] [CrossRef]
- Sulochana, S.B.; Arumugam, M. Influence of Abscisic Acid on Growth, Biomass and Lipid Yield of Scenedesmus quadricauda under Nitrogen Starved Condition. Bioresour. Technol. 2016, 213, 198–203. [Google Scholar] [CrossRef]
- El Arroussi, H.; Benhima, R.; Bennis, I.; El Mernissi, N.; Wahby, I. Improvement of the Potential of Dunaliella tertiolecta as a Source of Biodiesel by Auxin Treatment Coupled to Salt Stress. Renew. Energy 2015, 77, 15–19. [Google Scholar] [CrossRef]
- Touliabah, H.E.-S.; Almutairi, A.W. Effect of Phytohormones Supplementation under Nitrogen Depletion on Biomass and Lipid Production of Nannochloropsis oceanica for Integrated Application in Nutrition and Biodiesel. Sustainability 2021, 13, 592. [Google Scholar] [CrossRef]
- Kozlova, T.A.; Hardy, B.P.; Krishna, P.; Levin, D.B. Effect of Phytohormones on Growth and Accumulation of Pigments and Fatty Acids in the Microalgae Scenedesmus quadricauda. Algal Res. 2017, 27, 325–334. [Google Scholar] [CrossRef]
- Sijil, P.V.; Adki, V.R.; Sarada, R.; Chauhan, V.S. Strategies for Enhancement of Alpha-Linolenic Acid Rich Lipids in Desmodesmus Sp. without Compromising the Biomass Production. Bioresour. Technol. 2019, 294, 122215. [Google Scholar] [CrossRef] [PubMed]
- Jusoh, M.; Loh, S.H.; Chuah, T.S.; Aziz, A.; Cha, T.S. Elucidating the Role of Jasmonic Acid in Oil Accumulation, Fatty Acid Composition and Gene Expression in Chlorella vulgaris (Trebouxiophyceae) during Early Stationary Growth Phase. Algal Res. 2015, 9, 14–20. [Google Scholar] [CrossRef]
- Xu, J.; Fan, X.; Li, X.; Liu, G.; Zhang, Z.; Zhu, Y.; Fu, Z.; Qian, H. Effect of Salicylic Acid on Fatty Acid Accumulation in Phaeodactylum tricornutum during Stationary Growth Phase. J. Appl. Phycol. 2017, 29, 2801–2810. [Google Scholar] [CrossRef]
- Renuka, N.; Guldhe, A.; Singh, P.; Bux, F. Combined Effect of Exogenous Phytohormones on Biomass and Lipid Production in Acutodesmus obliquus under Nitrogen Limitation. Energy Convers. Manag. 2018, 168, 522–528. [Google Scholar] [CrossRef]
- Singh, D.; Mathur, A.S.; Tuli, D.K.; Puri, M.; Barrow, C.J. Propyl Gallate and Butylated Hydroxytoluene Influence the Accumulation of Saturated Fatty Acids, Omega-3 Fatty Acid and Carotenoids in Thraustochytrids. J. Funct. Foods 2015, 15, 186–192. [Google Scholar] [CrossRef]
- Franz, A.K.; Danielewicz, M.A.; Wong, D.M.; Anderson, L.A.; Boothe, J.R. Phenotypic Screening with Oleaginous Microalgae Reveals Modulators of Lipid Productivity. ACS Chem. Biol. 2013, 8, 1053–1062. [Google Scholar] [CrossRef]
- Ma, Y.; Balamurugan, S.; Yuan, W.; Yang, F.; Tang, C.; Hu, H.; Zhang, H.; Shu, X.; Li, M.; Huang, S.; et al. Quercetin Potentiates the Concurrent Hyper-Accumulation of Cellular Biomass and Lipids in Chlorella vulgaris. Bioresour. Technol. 2018, 269, 434–442. [Google Scholar] [CrossRef]
- Esakkimuthu, S.; Krishnamurthy, V.; Wang, S.; Hu, X.; Swaminathan, K.; Abomohra, A.E.-F. Application of P-Coumaric Acid for Extraordinary Lipid Production in Tetradesmus obliquus: A Sustainable Approach towards Enhanced Biodiesel Production. Renew. Energy 2020, 157, 368–376. [Google Scholar] [CrossRef]
- Tan, X.; Zhu, J.; Wakisaka, M. Enhancement of Lipid Production by Euglena gracilis Using Vanillin as a Growth Stimulant. J. Jpn. Inst. Energy 2021, 100, 127–134. [Google Scholar] [CrossRef]
- Zhu, J.; Tan, X.; Hafid, H.S.; Wakisaka, M. Enhancement of Biomass Yield and Lipid Accumulation of Freshwater Microalga Euglena gracilis by Phenolic Compounds from Basic Structures of Lignin. Bioresour. Technol. 2021, 321, 124441. [Google Scholar] [CrossRef] [PubMed]
- Meng, Y.; Chen, H.; Liu, J.; Zhang, C.-Y. Melatonin Facilitates the Coordination of Cell Growth and Lipid Accumulation in Nitrogen-Stressed Chlamydomonas reinhardtii for Biodiesel Production. Algal Res. 2020, 46, 101786. [Google Scholar] [CrossRef]
- Ren, H.; Liu, B.; Kong, F.; Zhao, L.; Xie, G.; Ren, N. Bioresource Technology Enhanced Lipid Accumulation of Green Microalga Scenedesmus Sp. by Metal Ions and EDTA Addition. Bioresour. Technol. 2014, 169, 763–767. [Google Scholar] [CrossRef] [PubMed]
- Sun, X.-M.; Ren, L.-J.; Zhao, Q.-Y.; Zhang, L.-H.; Huang, H. Application of Chemicals for Enhancing Lipid Production in Microalgae-a Short Review. Bioresour. Technol. 2019, 293, 122135. [Google Scholar] [CrossRef]
- Satpati, G.G.; Gorain, P.C.; Pal, R. Efficacy of EDTA and Phosphorous on Biomass Yield and Total Lipid Accumulation in Two Green Microalgae with Special Emphasis on Neutral Lipid Detection by Flow Cytometry. Adv. Biol. 2016, 2016, 8712470. [Google Scholar] [CrossRef]
- Zhao, Y.; Li, D.; Xu, J.-W.; Zhao, P.; Li, T.; Ma, H.; Yu, X. Melatonin Enhances Lipid Production in Monoraphidium sp. QLY-1 under Nitrogen Deficiency Conditions via a Multi-Level Mechanism. Bioresour. Technol. 2018, 259, 46–53. [Google Scholar] [CrossRef]
- Li, D.; Zhao, Y.; Ding, W.; Zhao, P.; Xu, J.-W.; Li, T.; Ma, H.; Yu, X. A Strategy for Promoting Lipid Production in Green Microalgae Monoraphidium Sp. QLY-1 by Combined Melatonin and Photoinduction. Bioresour. Technol. 2017, 235, 104–112. [Google Scholar] [CrossRef]
- Zhao, Y.; Song, X.; Zhao, P.; Li, T.; Xu, J.-W.; Yu, X. Role of Melatonin in Regulation of Lipid Accumulation, Autophagy and Salinity-Induced Oxidative Stress in Microalga Monoraphidium Sp. QLY-1. Algal Res. 2021, 54, 102196. [Google Scholar] [CrossRef]
- Wase, N.; Tu, B.; Allen, J.W.; Black, P.N.; DiRusso, C.C. Identification and Metabolite Profiling of Chemical Activators of Lipid Accumulation in Green Algae. Plant Physiol. 2017, 174, 2146–2165. [Google Scholar] [CrossRef]
- Lian, J.; Wijffels, R.H.; Smidt, H.; Sipkema, D. The Effect of the Algal Microbiome on Industrial Production of Microalgae. Microb. Biotechnol. 2018, 11, 806–818. [Google Scholar] [CrossRef]
- Arora, N.; Patel, A.; Mehtani, J.; Pruthi, P.A.; Pruthi, V.; Poluri, K.M. Co-Culturing of Oleaginous Microalgae and Yeast: Paradigm Shift towards Enhanced Lipid Productivity. Environ. Sci. Pollut. Res. 2019, 26, 16952–16973. [Google Scholar] [CrossRef] [PubMed]
- Dias, C.; Santos, J.; Reis, A.; Lopes da Silva, T. Yeast and Microalgal Symbiotic Cultures Using Low-Cost Substrates for Lipid Production. Bioresour. Technol. Rep. 2019, 7, 100261. [Google Scholar] [CrossRef]
- Toyama, T.; Hanaoka, T.; Yamada, K.; Suzuki, K.; Tanaka, Y.; Morikawa, M.; Mori, K. Enhanced Production of Biomass and Lipids by Euglena gracilis via Co-Culturing with a Microalga Growth-Promoting Bacterium, Emticicia Sp. EG3. Biotechnol. Biofuels 2019, 12, 205. [Google Scholar] [CrossRef]
- Palacios, O.A.; López, B.R.; De-Bashan, L.E. Microalga Growth-Promoting Bacteria (MGPB): A Formal Term Proposed for Beneficial Bacteria Involved in Microalgal–Bacterial Interactions. Algal Res. 2022, 61, 102585. [Google Scholar] [CrossRef]
- Ray, A.; Nayak, M.; Ghosh, A. A Review on Co-Culturing of Microalgae: A Greener Strategy towards Sustainable Biofuels Production. Sci. Total Environ. 2022, 802, 149765. [Google Scholar] [CrossRef] [PubMed]
- Liu, L.; Chen, J.; Lim, P.-E.; Wei, D. Enhanced Single Cell Oil Production by Mixed Culture of Chlorella pyrenoidosa and Rhodotorula glutinis Using Cassava Bagasse Hydrolysate as Carbon Source. Bioresour. Technol. 2018, 255, 140–148. [Google Scholar] [CrossRef] [PubMed]
- Kitcha, S.; Cheirsilp, B. Enhanced Lipid Production by Co-Cultivation and Co-Encapsulation of Oleaginous Yeast Trichosporonoides spathulata with Microalgae in Alginate Gel Beads. Appl. Biochem. Biotechnol. 2014, 173, 522–534. [Google Scholar] [CrossRef] [PubMed]
- Tandon, P.; Jin, Q.; Huang, L. A Promising Approach to Enhance Microalgae Productivity by Exogenous Supply of Vitamins. Microb. Cell Fact. 2017, 16, 219. [Google Scholar] [CrossRef]
- Kumsiri, B.; Pekkoh, J.; Pathom-aree, W.; Lumyong, S.; Phinyo, K.; Pumas, C.; Srinuanpan, S. Enhanced Production of Microalgal Biomass and Lipid as an Environmentally Friendly Biodiesel Feedstock through Actinomycete Co-Culture in Biogas Digestate Effluent. Bioresour. Technol. 2021, 337, 125446. [Google Scholar] [CrossRef]
- Lakshmikandan, M.; Wang, S.; Murugesan, A.G.; Saravanakumar, M.; Selvakumar, G. Co-Cultivation of Streptomyces and Microalgal Cells as an Efficient System for Biodiesel Production and Bioflocculation Formation. Bioresour. Technol. 2021, 332, 125118. [Google Scholar] [CrossRef]
- Feng, Y.; Xiao, J.; Cui, N.; Zhao, Y.; Zhao, P. Enhancement of Lipid Productivity and Self-Flocculation by Cocultivating Monoraphidium Sp. FXY-10 and Heveochlorella Sp. Yu under Mixotrophic Mode. Appl. Biochem. Biotechnol. 2021, 193, 3173–3186. [Google Scholar] [CrossRef] [PubMed]
- Stockenreiter, M.; Litchman, E. Nitrogen-Fixer Enhances Lipid Yields in Algal Polycultures. Algal Res. 2019, 44, 101676. [Google Scholar] [CrossRef]
- Zhang, C.; Ho, S.-H.; Li, A.; Fu, L.; Zhou, D. Co-Culture of Chlorella and Scenedesmus Could Enhance Total Lipid Production under Bacteria Quorum Sensing Molecule Stress. J. Water Process Eng. 2021, 39, 101739. [Google Scholar] [CrossRef]
- Corrêa, D.d.O.; Duarte, M.E.R.; Noseda, M.D. Biomass Production and Harvesting of Desmodesmus subspicatus Cultivated in Flat Plate Photobioreactor Using Chitosan as Flocculant Agent. J. Appl. Phycol. 2019, 31, 857–866. [Google Scholar] [CrossRef]
- Ashokkumar, V.; Chen, W.-H.; Ngamcharussrivichai, C.; Agila, E.; Ani, F.N. Potential of Sustainable Bioenergy Production from Synechocystis Sp. Cultivated in Wastewater at Large Scale—A Low Cost Biorefinery Approach. Energy Convers. Manag. 2019, 186, 188–199. [Google Scholar] [CrossRef]
- Branco-Vieira, M.; San Martin, S.; Agurto, C.; Santos, M.; Freitas, M.; Mata, T.; Martins, A.; Caetano, N. Potential of Phaeodactylum tricornutum for Biodiesel Production under Natural Conditions in Chile. Energies 2017, 11, 54. [Google Scholar] [CrossRef]
- He, Q.; Yang, H.; Hu, C. Culture Modes and Financial Evaluation of Two Oleaginous Microalgae for Biodiesel Production in Desert Area with Open Raceway Pond. Bioresour. Technol. 2016, 218, 571–579. [Google Scholar] [CrossRef]
- Kumar, A.K.; Sharma, S.; Shah, E.; Parikh, B.S.; Patel, A.; Dixit, G.; Gupta, S.; Divecha, J.M. Cultivation of Ascochloris Sp. ADW007-Enriched Microalga in Raw Dairy Wastewater for Enhanced Biomass and Lipid Productivity. Int. J. Environ. Sci. Technol. 2019, 16, 943–954. [Google Scholar] [CrossRef]
- Koley, S.; Mathimani, T.; Bagchi, S.K.; Sonkar, S.; Mallick, N. Microalgal Biodiesel Production at Outdoor Open and Polyhouse Raceway Pond Cultivations: A Case Study with Scenedesmus accuminatus Using Low-Cost Farm Fertilizer Medium. Biomass Bioenergy 2019, 120, 156–165. [Google Scholar] [CrossRef]
- Tamil Selvan, S.; Velramar, B.; Ramamurthy, D.; Balasundaram, S.; Sivamani, K. Pilot Scale Wastewater Treatment, CO2 Sequestration and Lipid Production Using Microalga, Neochloris aquatica RDS02. Int. J. Phytoremediation 2020, 0, 1–18. [Google Scholar] [CrossRef]
- Wen, X.; Du, K.; Wang, Z.; Peng, X.; Luo, L.; Tao, H.; Xu, Y.; Zhang, D.; Geng, Y.; Li, Y. Effective Cultivation of Microalgae for Biofuel Production: A Pilot-Scale Evaluation of a Novel Oleaginous Microalga Graesiella Sp. WBG-1. Biotechnol. Biofuels 2016, 9, 123. [Google Scholar] [CrossRef] [PubMed]
- Lam, M.K.; Lee, K.T. Cultivation of Chlorella vulgaris in a Pilot-Scale Sequential-Baffled Column Photobioreactor for Biomass and Biodiesel Production. Energy Convers. Manag. 2014, 88, 399–410. [Google Scholar] [CrossRef]
- Mendes, L.B.B.; Viegas, C.V.; Joao, R.R.; da Silva, R.B. Microalgae Production: A Sustainable Alternative for a Low-Carbon Economy Transition. Open Microalgae Biotechnol. 2021, 1, 1–7. [Google Scholar] [CrossRef]
- Huntley, M.E.; Johnson, Z.I.; Brown, S.L.; Sills, D.L.; Gerber, L.; Archibald, I.; Machesky, S.C.; Granados, J.; Beal, C.; Greene, C.H. Demonstrated Large-Scale Production of Marine Microalgae for Fuels and Feed. Algal Res. 2015, 10, 249–265. [Google Scholar] [CrossRef]
- Abu Jayyab, M.; Al-Zuhair, S. Use of Microalgae for Simultaneous Industrial Wastewater Treatment and Biodiesel Production. Int. J. Environ. Res. 2020, 14, 311–322. [Google Scholar] [CrossRef]
- Lu, W.; Wang, Z.; Wang, X.; Yuan, Z. Cultivation of Chlorella sp. Using Raw Dairy Wastewater for Nutrient Removal and Biodiesel Production: Characteristics Comparison of Indoor Bench-Scale and Outdoor Pilot-Scale Cultures. Bioresour. Technol. 2015, 192, 382–388. [Google Scholar] [CrossRef]
- Chisti, Y. Constraints to Commercialization of Algal Fuels. J. Biotechnol. 2013, 167, 201–214. [Google Scholar] [CrossRef]
- Jin, H.; Zhang, H.; Zhou, Z.; Li, K.; Hou, G.; Xu, Q.; Chuai, W.; Zhang, C.; Han, D.; Hu, Q. Ultrahigh-cell-density Heterotrophic Cultivation of the Unicellular Green Microalga Scenedesmus acuminatus and Application of the Cells to Photoautotrophic Culture Enhance Biomass and Lipid Production. Biotechnol. Bioeng. 2020, 117, 96–108. [Google Scholar] [CrossRef]
- Slade, R.; Bauen, A. Micro-Algae Cultivation for Biofuels: Cost, Energy Balance, Environmental Impacts and Future Prospects. Biomass Bioenergy 2013, 53, 29–38. [Google Scholar] [CrossRef]
- Kumar, D.; Singh, B. Algal Biorefinery: An Integrated Approach for Sustainable Biodiesel Production. Biomass Bioenergy 2019, 131, 105398. [Google Scholar] [CrossRef]
- Zhu, L. Biorefinery as a Promising Approach to Promote Microalgae Industry: An Innovative Framework. Renew. Sustain. Energy Rev. 2015, 41, 1376–1384. [Google Scholar] [CrossRef]
- Branco-Vieira, M.; San Martin, S.; Agurto, C.; Freitas, M.A.V.; Martins, A.A.; Mata, T.M.; Caetano, N.S. Biotechnological Potential of Phaeodactylum tricornutum for Biorefinery Processes. Fuel 2020, 268, 117357. [Google Scholar] [CrossRef]
- Giwa, A.; Adeyemi, I.; Dindi, A.; Lopez, C.G.-B.; Lopresto, C.G.; Curcio, S.; Chakraborty, S. Techno-Economic Assessment of the Sustainability of an Integrated Biorefinery from Microalgae and Jatropha: A Review and Case Study. Renew. Sustain. Energy Rev. 2018, 88, 239–257. [Google Scholar] [CrossRef]
- Lee, O.K.; Seong, D.H.; Lee, C.G.; Lee, E.Y. Sustainable Production of Liquid Biofuels from Renewable Microalgae Biomass. J. Ind. Eng. Chem. 2015, 29, 24–31. [Google Scholar] [CrossRef]
- Show, K.; Lee, D.-J.; Tay, J.; Lee, T.; Chang, J. Microalgal Drying and Cell Disruption—Recent Advances. Bioresour. Technol. 2015, 184, 258–266. [Google Scholar] [CrossRef]
- Nayak, M.; Karemore, A.; Sen, R. Sustainable Valorization of Flue Gas CO2 and Wastewater for the Production of Microalgal Biomass as a Biofuel Feedstock in Closed and Open Reactor Systems. RSC Adv. 2016, 6, 91111–91120. [Google Scholar] [CrossRef]
- Selvan, S.T.; Govindasamy, B.; Muthusamy, S.; Ramamurthy, D. Exploration of Green Integrated Approach for Effluent Treatment through Mass Culture and Biofuel Production from Unicellular Alga, Acutodesmus obliquus RDS01. Int. J. Phytoremediation 2019, 21, 1305–1322. [Google Scholar] [CrossRef]
- Huang, H.; Zhong, S.; Wen, S.; Luo, C.; Long, T. Improving the Efficiency of Wastewater Treatment and Microalgae Production for Biofuels. Resour. Conserv. Recycl. 2022, 178, 106094. [Google Scholar] [CrossRef]
- Park, S.; Ahn, Y.; Pandi, K.; Ji, M.-K.; Yun, H.-S.; Choi, J. Microalgae Cultivation in Pilot Scale for Biomass Production Using Exhaust Gas from Thermal Power Plants. Energies 2019, 12, 3497. [Google Scholar] [CrossRef]
- Zhu, B.; Sun, F.; Yang, M.; Lu, L.; Yang, G.; Pan, K. Large-Scale Biodiesel Production Using Flue Gas from Coal-Fired Power Plants with Nannochloropsis Microalgal Biomass in Open Raceway Ponds. Bioresour. Technol. 2014, 174, 53–59. [Google Scholar] [CrossRef]
- Ogunkunle, O.; Ahmed, N.A. A Review of Global Current Scenario of Biodiesel Adoption and Combustion in Vehicular Diesel Engines. Energy Rep. 2019, 5, 1560–1579. [Google Scholar] [CrossRef]
- de Souza, T.A.Z.; Pinto, G.M.; Julio, A.A.V.; Coronado, C.J.R.; Perez-Herrera, R.; Siqueira, B.O.P.S.; da Costa, R.B.R.; Roberts, J.J.; Palacio, J.C.E. Biodiesel in South American Countries: A Review on Policies, Stages of Development and Imminent Competition with Hydrotreated Vegetable Oil. Renew. Sustain. Energy Rev. 2022, 153, 111755. [Google Scholar] [CrossRef]
- ANP Evolução Do Percentual de Teor de Biodiesel Presente No Diesel Fóssil No Brasil. Available online: https://www.gov.br/anp/pt-br/canais_atendimento/imprensa/noticias-comunicados/mistura-de-biodiesel-ao-diesel-passa-a-ser-de-13-a-partir-de-hoje-1-3 (accessed on 2 September 2022).
- Ramos, M.D.N.; Milessi, T.S.; Candido, R.G.; Mendes, A.A.; Aguiar, A. Enzymatic Catalysis as a Tool in Biofuels Production in Brazil: Current Status and Perspectives. Energy Sustain. Dev. 2022, 68, 103–119. [Google Scholar] [CrossRef]
- Zhong, L.; Feng, Y.; Wang, G.; Wang, Z.; Bilal, M.; Lv, H.; Jia, S.; Cui, J. Production and Use of Immobilized Lipases in/on Nanomaterials: A Review from the Waste to Biodiesel Production. Int. J. Biol. Macromol. 2020, 152, 207–222. [Google Scholar] [CrossRef] [PubMed]
- Everton, S.S.; Sousa, I.; da Silva Dutra, L.; Cipolatti, E.P.; Aguieiras, E.C.G.; Manoel, E.A.; Greco-Duarte, J.; Pinto, M.C.C.; Freire, D.M.G.; Pinto, J.C. The Role of Brazil in the Advancement of Enzymatic Biodiesel Production. Braz. J. Chem. Eng. 2022, in press. [Google Scholar] [CrossRef]
- Andrade, D.S.; Telles, T.S.; Leite Castro, G.H. The Brazilian Microalgae Production Chain and Alternatives for Its Consolidation. J. Clean. Prod. 2020, 250, 119526. [Google Scholar] [CrossRef]
- Hadi, S.I.I.A.; Santana, H.; Brunale, P.P.M.; Gomes, T.G.; Oliveira, M.D.; Matthiensen, A.; Oliveira, M.E.C.; Silva, F.C.P.; Brasil, B.S.A.F. DNA Barcoding Green Microalgae Isolated from Neotropical Inland Waters. PLoS ONE 2016, 11, e0149284. [Google Scholar] [CrossRef]
- Cabanelas, I.T.D.; Marques, S.S.I.; de Souza, C.O.; Druzian, J.I.; Nascimento, I.A. Botryococcus, What to Do with It? Effect of Nutrient Concentration on Biorefinery Potential. Algal Res. 2015, 11, 43–49. [Google Scholar] [CrossRef]
- Ribeiro, D.M.; Minillo, A.; Silva, C.A.D.A.; Fonseca, G.G. Characterization of Different Microalgae Cultivated in Open Ponds. Acta Sci. Technol. 2019, 41, 37723. [Google Scholar] [CrossRef]
- Calixto, C.D.; da Silva Santana, J.K.; Tibúrcio, V.P.; de Pontes, L.d.F.B.L.; da Costa Sassi, C.F.; da Conceição, M.M.; Sassi, R. Productivity and Fuel Quality Parameters of Lipids Obtained from 12 Species of Microalgae from the Northeastern Region of Brazil. Renew. Energy 2018, 115, 1144–1152. [Google Scholar] [CrossRef]
- Matos, Â.P.; Teixeira, M.S.; Corrêa, F.M.P.S.; Machado, M.M.; Werner, R.I.S.; Aguiar, A.C.; Cubas, A.L.V.; Sant’Anna, E.S.; Moecke, E.H.S. Disruption of Nannochloropsis gaditana (Eustigmatophyceae) Rigid Cell Wall by Non-Thermal Plasma Prior to Lipid Extraction and Its Effect on Fatty Acid Composition. Braz. J. Chem. Eng. 2019, 36, 1419–1428. [Google Scholar] [CrossRef]
- Matsudo, M.C.; Sant´Anna, C.L.; Pérez-Mora, L.S.; da Silva, R.C.; Carvalho, J.C. Evaluation of Green Microalgae Isolated from Central and North Coast of São Paulo as Source of Oil. J. Biotechnol. Biodivers. 2021, 9, 012–019. [Google Scholar] [CrossRef]
- Kuss, V.V.; Carliz, R.G.; Díaz, G.C.; Viegas, C.V.; Aranda, D.A.G.; Cruz, Y.R. Evaluation of Lipid Yield for Biodiesel Production Extracted from Microalgae Scenedesmus Sp. Submitted to Different Homogenization Times and Physicochemical Changes. Braz. J. Dev. 2020, 6, 22066–22081. [Google Scholar] [CrossRef]
- Assemany, P.P.; Calijuri, M.L.; Tango, M.D.; Couto, E.A. Energy Potential of Algal Biomass Cultivated in a Photobioreactor Using Effluent from a Meat Processing Plant. Algal Res. 2016, 17, 53–60. [Google Scholar] [CrossRef]
- Tango, M.D.; Calijuri, M.L.; Assemany, P.P.; do Couto, E.d.A. Microalgae Cultivation in Agro-Industrial Effluents for Biodiesel Application: Effects of the Availability of Nutrients. Water Sci. Technol. 2018, 78, 57–68. [Google Scholar] [CrossRef]
- Batista, F.R.M.; Lucchesi, K.W.; Carareto, N.D.D.; Costa, M.C.D.; Meirelles, A.J.A. Properties of Microlgae Oil from the Species Chlorella protothecoides and Its Ethylic Biodiesel. Braz. J. Chem. Eng. 2018, 35, 1383–1394. [Google Scholar] [CrossRef]
- Brasil, B.S.A.; Silva, F.C.P.; Siqueira, F.G. Microalgae Biorefineries: The Brazilian Scenario in Perspective. New Biotechnol. 2017, 39, 90–98. [Google Scholar] [CrossRef]
- Brantes, L.; Mendes, B.; Vermelho, A.B. Allelopathy as a Potential Strategy to Improve Microalgae Cultivation. Biotechnol. Biofuels 2013, 6, 1. [Google Scholar] [CrossRef]
- Ajjawi, I.; Verruto, J.; Aqui, M.; Soriaga, L.B.; Coppersmith, J.; Kwok, K.; Peach, L.; Orchard, E.; Kalb, R.; Xu, W.; et al. Lipid Production in Nannochloropsis gaditana Is Doubled by Decreasing Expression of a Single Transcriptional Regulator. Nat. Biotechnol. 2017, 35, 647–652. [Google Scholar] [CrossRef]
Disclaimer/Publisher’s Note: The statements, opinions and data contained in all publications are solely those of the individual author(s) and contributor(s) and not of MDPI and/or the editor(s). MDPI and/or the editor(s) disclaim responsibility for any injury to people or property resulting from any ideas, methods, instructions or products referred to in the content. |
© 2022 by the authors. Licensee MDPI, Basel, Switzerland. This article is an open access article distributed under the terms and conditions of the Creative Commons Attribution (CC BY) license (https://creativecommons.org/licenses/by/4.0/).



