Alterations in the Expression of IFN Lambda, IFN Gamma and Toll-like Receptors in Severe COVID-19 Patients
Abstract
1. Introduction
2. Materials and Methods
2.1. Patients and Clinical Sample Collection
2.2. Gene Expression Quantification and Data Analysis
2.3. Anti-IFNγ Autoantibody Detection
2.4. Statistical Analysis
3. Results
3.1. Demographic and Clinical Characteristics of Patients
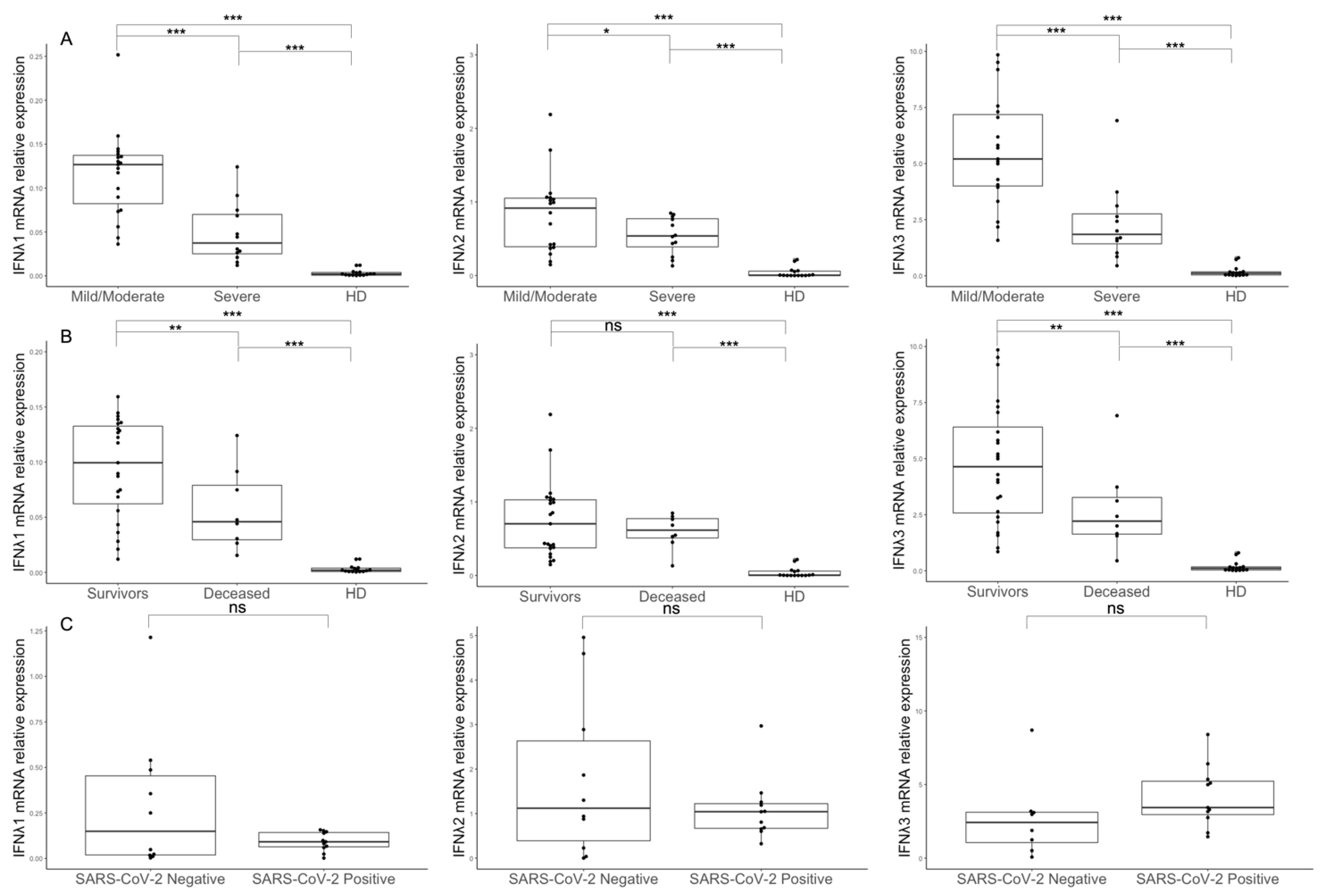
3.2. Type III IFN Expression in PBMCs and BALs of COVID-19 Patients
3.3. Type II IFN Expression in PBMCs and BALs of COVID-19 Patients
3.4. Type II and III IFN Expression Is Associated with Blood Inflammatory Markers
3.5. TLR Expression in Lower Respiratory Tract of Severe Patients
4. Discussion
Author Contributions
Funding
Data Availability Statement
Conflicts of Interest
References
- Pierangeli, A.; Gentile, M.; Oliveto, G.; Frasca, F.; Sorrentino, L.; Matera, L.; Nenna, R.; Viscido, A.; Fracella, M.; Petrarca, L.; et al. Comparison by Age of the Local Interferon Response to SARS-CoV-2 Suggests a Role for IFN-ε and -ω. Front. Immunol. 2022, 13, 873232. [Google Scholar] [CrossRef] [PubMed]
- Scagnolari, C.; Pierangeli, A.; Frasca, F.; Bitossi, C.; Viscido, A.; Oliveto, G.; Scordio, M.; Mazzuti, L.; Di Carlo, D.; Gentile, M.; et al. Differential induction of type I and III interferon genes in the upper respiratory tract of patients with coronavirus disease 2019 (COVID-19). Virus Res. 2021, 295, 198283. [Google Scholar] [CrossRef] [PubMed]
- Spiering, A.E.; de Vries, T.J. Why Females Do Better: The X Chromosomal TLR7 Gene-Dose Effect in COVID-19. Front. Immunol. 2021, 12, 756262. [Google Scholar] [CrossRef]
- Sposito, B.; Broggi, A.; Pandolfi, L.; Crotta, S.; Clementi, N.; Ferrarese, R.; Sisti, S.; Criscuolo, E.; Spreafico, R.; Long, J.M.; et al. The interferon landscape along the respiratory tract impacts the severity of COVID-19. Cell 2021, 184, 4953–4968.e16. [Google Scholar] [CrossRef]
- Krämer, B.; Knoll, R.; Bonaguro, L.; ToVinh, M.; Raabe, J.; Astaburuaga-García, R.; Schulte-Schrepping, J.; Kaiser, K.M.; Rieke, G.J.; Bischoff, J.; et al. Early IFN-α signatures and persistent dysfunction are distinguishing features of NK cells in severe COVID-19. Immunity 2021, 54, 2650–2669.e14. [Google Scholar] [CrossRef] [PubMed]
- Dos Santos, J.M.B.; Soares, C.P.; Monteiro, F.R.; Mello, R.; do Amaral, J.B.; Aguiar, A.S.; Soledade, M.P.; Sucupira, C.; De Paulis, M.; Andrade, J.B.; et al. In Nasal Mucosal Secretions, Distinct IFN and IgA Responses Are Found in Severe and Mild SARS-CoV-2 Infection. Front. Immunol. 2021, 12, 595343. [Google Scholar] [CrossRef] [PubMed]
- Frasca, F.; Scordio, M.; Santinelli, L.; Gabriele, L.; Gandini, O.; Criniti, A.; Pierangeli, A.; Angeloni, A.; Mastroianni, C.M.; d’Ettorre, G.; et al. Anti-IFN-α/-ω neutralizing antibodies from COVID-19 patients correlate with downregulation of IFN response and laboratory biomarkers of disease severity. Eur. J. Immunol. 2022, 52, 1120–1128. [Google Scholar] [CrossRef] [PubMed]
- Scordio, M.; Frasca, F.; Santinelli, L.; Sorrentino, L.; Pierangeli, A.; Turriziani, O.; Mastroianni, C.M.; Antonelli, G.; Viscidi, R.P.; d’Ettorre, G.; et al. High frequency of neutralizing antibodies to type I Interferon in HIV-1 patients hospitalized for COVID-19. Clin. Immunol. 2022, 241, 109068. [Google Scholar] [CrossRef] [PubMed]
- Zhang, Q.; Bastard, P.; Liu, Z.; Le Pen, J.; Moncada-Velez, M.; Chen, J.; Ogishi, M.; Sabli, I.K.D.; Hodeib, S.; Korol, C.; et al. Inborn errors of type I IFN immunity in patients with life-threatening COVID-19. Science 2020, 370, eabd4570. [Google Scholar] [CrossRef] [PubMed]
- Lowery, S.A.; Sariol, A.; Perlman, S. Innate immune and inflammatory responses to SARS-CoV-2: Implications for COVID-19. Cell Host Microbe 2021, 29, 1052–1062. [Google Scholar] [CrossRef]
- Madonov, P.G.; Svyatchenko, V.A.; Legostaev, S.S.; Kikhtenko, N.A.; Kotlyarova, A.A.; Oleinik, L.A.; Baikalov, G.I. Evaluation of the Anti-Viral Activity of Human Recombinant Interferon Lambda-1 against SARS-CoV-2. Bull. Exp. Biol. Med. 2021, 172, 53–56. [Google Scholar] [CrossRef] [PubMed]
- Cardoso, N.P.; Mansilla, F.C.; Benedetti, E.; Turco, C.S.; Barone, L.J.; Iserte, J.A.; Soria, I.; Baumeister, E.; Capozzo, A.V. Bovine Interferon Lambda Is a Potent Antiviral Against SARS-CoV-2 Infection in vitro. Front. Vet. Sci. 2020, 7, 603622. [Google Scholar] [CrossRef] [PubMed]
- Fukuda, Y.; Homma, T.; Inoue, H.; Onitsuka, C.; Ikeda, H.; Goto, Y.; Sato, Y.; Kimura, T.; Hirai, K.; Ohta, S.; et al. Downregulation of type III interferons in patients with severe COVID-19. J. Med. Virol. 2021, 93, 4559–4563. [Google Scholar] [CrossRef]
- Major, J.; Crotta, S.; Llorian, M.; McCabe, T.M.; Gad, H.H.; Priestnall, S.L.; Hartmann, R.; Wack, A. Type I and III interferons disrupt lung epithelial repair during recovery from viral infection. Science 2020, 369, 712–717. [Google Scholar] [CrossRef] [PubMed]
- Sommereyns, C.; Paul, S.; Staeheli, P.; Michiels, T. IFN-lambda (IFN-lambda) is expressed in a tissue-dependent fashion and primarily acts on epithelial cells in vivo. PLoS Pathog. 2008, 4, e1000017. [Google Scholar] [CrossRef] [PubMed]
- Yamada, Y.K.; Meager, A.; Yamada, A.; Ennis, F.A. Human interferon alpha and gamma production by lymphocytes during the generation of influenza virus-specific cytotoxic T lymphocytes. J. Gen. Virol. 1986, 67, 2325–2334. [Google Scholar] [CrossRef]
- Sun, Y.; Jiang, J.; Tien, P.; Liu, W.; Li, J. IFN-λ: A new spotlight in innate immunity against influenza virus infection. Protein Cell 2018, 9, 832–837. [Google Scholar] [CrossRef]
- Tau, G.; Rothman, P. Biologic functions of the IFN-gamma receptors. Allergy 1999, 54, 1233–1251. [Google Scholar] [CrossRef]
- Souza-Fonseca-Guimaraes, F.; Young, A.; Mittal, D.; Martinet, L.; Bruedigam, C.; Takeda, K.; Andoniou, C.E.; Degli-Esposti, M.A.; Hill, G.R.; Smyth, M.J. NK cells require IL-28R for optimal in vivo activity. Proc. Natl. Acad. Sci. USA 2015, 112, E2376–E2384. [Google Scholar] [CrossRef]
- Hansel, T.T.; Tunstall, T.; Trujillo-Torralbo, M.B.; Shamji, B.; Del-Rosario, A.; Dhariwal, J.; Kirk, P.D.W.; Stumpf, M.P.H.; Koopmann, J.; Telcian, A.; et al. A Comprehensive Evaluation of Nasal and Bronchial Cytokines and Chemokines Following Experimental Rhinovirus Infection in Allergic Asthma: Increased Interferons (IFN-γ and IFN-λ) and Type 2 Inflammation (IL-5 and IL-13). EBioMedicine 2017, 19, 128–138. [Google Scholar] [CrossRef]
- Dantas, A.T.; Gonçalves, S.M.; Pereira, M.C.; de Almeida, A.R.; Marques, C.D.; Rego, M.J.; Pitta Ida, R.; Duarte, A.L.; Pitta, M.G. Interferons and systemic sclerosis: Correlation between interferon gamma and interferon-lambda 1 (IL-29). Autoimmunity 2015, 48, 429–433. [Google Scholar] [CrossRef] [PubMed]
- Sampaio, N.G.; Chauveau, L.; Hertzog, J.; Bridgeman, A.; Fowler, G.; Moonen, J.P.; Dupont, M.; Russell, R.A.; Noerenberg, M.; Rehwinkel, J. The RNA sensor MDA5 detects SARS-CoV-2 infection. Sci. Rep. 2021, 11, 13638. [Google Scholar] [CrossRef] [PubMed]
- Bortolotti, D.; Gentili, V.; Rizzo, S.; Schiuma, G.; Beltrami, S.; Strazzabosco, G.; Fernandez, M.; Caccuri, F.; Caruso, A.; Rizzo, R. TLR3 and TLR7 RNA Sensor Activation during SARS-CoV-2 Infection. Microorganisms 2021, 9, 1820. [Google Scholar] [CrossRef] [PubMed]
- Karki, R.; Sharma, B.R.; Tuladhar, S.; Williams, E.P.; Zalduondo, L.; Samir, P.; Zheng, M.; Sundaram, B.; Banoth, B.; Malireddi, R.K.S.; et al. Synergism of TNF-α and IFN-γ Triggers Inflammatory Cell Death, Tissue Damage, and Mortality in SARS-CoV-2 Infection and Cytokine Shock Syndromes. Cell 2021, 184, 149–168.e17. [Google Scholar] [CrossRef]
- Zhang, F.; Mears, J.R.; Shakib, L.; Beynor, J.I.; Shanaj, S.; Korsunsky, I.; Nathan, A.; Accelerating Medicines Partnership Rheumatoid Arthritis and Systemic Lupus Erythematosus (AMP RA/SLE) Consortium; Donlin, L.T.; Raychaudhuri, S. IFN-γ and TNF-α drive a CXCL10+ CCL2+ macrophage phenotype expanded in severe COVID-19 lungs and inflammatory diseases with tissue inflammation. Genome Med. 2021, 13, 64. [Google Scholar] [CrossRef]
- Kanevskiy, L.M.; Telford, W.G.; Sapozhnikov, A.M.; Kovalenko, E.I. Lipopolysaccharide induces IFN-γ production in human NK cells. Front. Immunol. 2013, 4, 11. [Google Scholar] [CrossRef] [PubMed]
- Yang, J.; Murphy, T.L.; Ouyang, W.; Murphy, K.M. Induction of interferon-gamma production in Th1 CD4+ T cells: Evidence for two distinct pathways for promoter activation. Eur. J. Immunol. 1999, 29, 548–555. [Google Scholar] [CrossRef]
- Scagnolari, C.; Bitossi, C.; Frasca, F.; Viscido, A.; Brazzini, G.; Trancassini, M.; Pietropaolo, V.; Midulla, F.; Cimino, G.; Palange, P.; et al. Differential toll like receptor expression in cystic fibrosis patients’ airways during rhinovirus infection. J. Infect. 2020, 81, 726–735. [Google Scholar] [CrossRef]
- Kawade, Y. Quantitation of neutralization of interferon by antibody. Methods Enzymol. 1986, 119, 558–573. [Google Scholar]
- Severa, M.; Diotti, R.A.; Etna, M.P.; Rizzo, F.; Fiore, S.; Ricci, D.; Iannetta, M.; Sinigaglia, A.; Lodi, A.; Mancini, N.; et al. Differential plasmacytoid dendritic cell phenotype and type I Interferon response in asymptomatic and severe COVID-19 infection. PLoS Pathog. 2021, 17, e1009878. [Google Scholar] [CrossRef]
- Van der Wijst, M.G.P.; Vazquez, S.E.; Hartoularos, G.C.; Bastard, P.; Grant, T.; Bueno, R.; Lee, D.S.; Greenland, J.R.; Sun, Y.; Perez, R.; et al. Longitudinal single-cell epitope and RNA-sequencing reveals the immunological impact of type 1 interferon autoantibodies in critical COVID-19. Sci. Transl. Med. 2021, 13, 612. [Google Scholar]
- Bilgir, F.; Çalık, Ş.; Demir, İ.; Bilgir, O. Roles of certain biochemical and hematological parameters in predicting mortality and ICU admission in COVID-19 patients. Rev. Assoc. Med. Bras. 2021, 67, 67–73. [Google Scholar] [CrossRef] [PubMed]
- Zheng, M.; Karki, R.; Williams, E.P.; Yang, D.; Fitzpatrick, E.; Vogel, P.; Jonsson, C.B.; Kanneganti, T.D. TLR2 senses the SARS-CoV-2 envelope protein to produce inflammatory cytokines. Nat. Immunol. 2021, 22, 829–838. [Google Scholar] [CrossRef]
- Han, L.; Zhuang, M.W.; Deng, J.; Zheng, Y.; Zhang, J.; Nan, M.L.; Zhang, X.J.; Gao, C.; Wang, P.H. SARS-CoV-2 ORF9b antagonizes type I and III interferons by targeting multiple components of the RIG-I/MDA-5-MAVS, TLR3-TRIF, and cGAS-STING signaling pathways. J. Med. Virol. 2021, 93, 5376–5389. [Google Scholar] [CrossRef]
- Aboudounya, M.M.; Heads, R.J. COVID-19 and Toll-Like Receptor 4 (TLR4): SARS-CoV-2 May Bind and Activate TLR4 to Increase ACE2 Expression, Facilitating Entry and Causing Hyperinflammation. Mediat. Inflamm. 2021, 2021, 8874339. [Google Scholar] [CrossRef] [PubMed]
- Salvi, V.; Nguyen, H.O.; Sozio, F.; Schioppa, T.; Gaudenzi, C.; Laffranchi, M.; Scapini, P.; Passari, M.; Barbazza, I.; Tiberio, L.; et al. SARS-CoV-2-associated ssRNAs activate inflammation and immunity via TLR7/8. JCI Insight 2021, 6, e150542. [Google Scholar] [CrossRef] [PubMed]
- Kawasaki, T.; Kawai, T. Toll-like receptor signaling pathways. Front Immunol. 2014, 5, 461. [Google Scholar] [CrossRef] [PubMed]
- Zheng, Y.; Zhuang, M.W.; Han, L.; Zhang, J.; Nan, M.L.; Zhan, P.; Kang, D.; Liu, X.; Gao, C.; Wang, P.H. Severe acute respiratory syndrome coronavirus 2 (SARS-CoV-2) membrane (M) protein inhibits type I and III interferon production by targeting RIG-I/MDA-5 signaling. Signal Transduct. Target. Ther. 2020, 5, 299. [Google Scholar] [CrossRef]
- Metz-Zumaran, C.; Kee, C.; Doldan, P.; Guo, C.; Stanifer, M.L.; Boulant, S. Increased Sensitivity of SARS-CoV-2 to Type III Interferon in Human Intestinal Epithelial Cells. J. Virol. 2022, 96, e0170521. [Google Scholar] [CrossRef]
- Busnadiego, I.; Fernbach, S.; Pohl, M.O.; Karakus, U.; Huber, M.; Trkola, A.; Stertz, S.; Hale, B.G. Antiviral Activity of Type I, II, and III Interferons Counterbalances ACE2 Inducibility and Restricts SARS-CoV-2. mBio 2020, 11, e01928-e20. [Google Scholar] [CrossRef]
- Sohn, S.Y.; Hearing, J.; Mugavero, J.; Kirillov, V.; Gorbunova, E.; Helminiak, L.; Mishra, S.; Mackow, E.; Hearing, P.; Reich, N.C.; et al. Interferon-Lambda Intranasal Protection and Differential Sex Pathology in a Murine Model of SARS-CoV-2 Infection. mBio 2021, 12, e0275621. [Google Scholar] [CrossRef] [PubMed]
- Gilbert, C.; Lefeuvre, C.; Preisser, L.; Pivert, A.; Soleti, R.; Blanchard, S.; Delneste, Y.; Ducancelle, A.; Couez, D.; Jeannin, P. Age-Related Expression of IFN-λ1 Versus IFN-I and Beta-Defensins in the Nasopharynx of SARS-CoV-2-Infected Individuals. Front. Immunol. 2021, 12, 750279. [Google Scholar] [CrossRef] [PubMed]
- Lebreton, A.; Lakisic, G.; Job, V.; Fritsch, L.; Tham, T.N.; Camejo, A.; Matteï, P.J.; Regnault, B.; Nahori, M.A.; Cabanes, D.; et al. A bacterial protein targets the BAHD1 chromatin complex to stimulate type III interferon response. Science 2011, 331, 1319–1321. [Google Scholar] [CrossRef] [PubMed]
- Bierne, H.; Travier, L.; Mahlakõiv, T.; Tailleux, L.; Subtil, A.; Lebreton, A.; Paliwal, A.; Gicquel, B.; Staeheli, P.; Lecuit, M.; et al. Activation of type III interferon genes by pathogenic bacteria in infected epithelial cells and mouse placenta. PLoS ONE 2012, 7, e39080. [Google Scholar] [CrossRef]
- Odendall, C.; Voak, A.A.; Kagan, J.C. Type III IFNs Are Commonly Induced by Bacteria-Sensing TLRs and Reinforce Epithelial Barriers during Infection. J. Immunol. 2017, 199, 3270–3279. [Google Scholar] [CrossRef]
- Broquet, A.; Besbes, A.; Martin, J.; Jacqueline, C.; Vourc’h, M.; Roquilly, A.; Caillon, J.; Josien, R.; Asehnoune, K. Interleukin-22 regulates interferon lambda expression in a mice model of pseudomonas aeruginosa pneumonia. Mol. Immunol. 2020, 118, 52–59. [Google Scholar] [CrossRef]
- Broggi, A.; Ghosh, S.; Sposito, B.; Spreafico, R.; Balzarini, F.; Lo Cascio, A.; Clementi, N.; De Santis, M.; Mancini, N.; Granucci, F.; et al. Type III interferons disrupt the lung epithelial barrier upon viral recognition. Science 2020, 369, 706–712. [Google Scholar] [CrossRef]
- Cremoni, M.; Allouche, J.; Graça, D.; Zorzi, K.; Fernandez, C.; Teisseyre, M.; Benzaken, S.; Ruetsch-Chelli, C.; Esnault, V.L.M.; Dellamonica, J.; et al. Low baseline IFN-γ response could predict hospitalization in COVID-19 patients. Front. Immunol. 2022, 13, 953502. [Google Scholar] [CrossRef]
- Costela-Ruiz, V.J.; Illescas-Montes, R.; Puerta-Puerta, J.M.; Ruiz, C.; Melguizo-Rodríguez, L. SARS-CoV-2 infection: The role of cytokines in COVID-19 disease. Cytokine Growth Factor Rev. 2020, 54, 62–75. [Google Scholar] [CrossRef]
- Yang, J.; Zhong, M.; Zhang, E.; Hong, K.; Yang, Q.; Zhou, D.; Xia, J.; Chen, Y.Q.; Sun, M.; Zhao, B.; et al. Broad phenotypic alterations and potential dysfunction of lymphocytes in individuals clinically recovered from COVID-19. J. Mol. Cell Biol. 2021, 13, 197–209. [Google Scholar] [CrossRef]
- Varchetta, S.; Mele, D.; Oliviero, B.; Mantovani, S.; Ludovisi, S.; Cerino, A.; Bruno, R.; Castelli, A.; Mosconi, M.; Vecchia, M.; et al. Unique immunological profile in patients with COVID-19. Cell. Mol. Immunol. 2021, 18, 604–612. [Google Scholar] [CrossRef]
- Galbraith, M.D.; Kinning, K.T.; Sullivan, K.D.; Araya, P.; Smith, K.P.; Granrath, R.E.; Shaw, J.R.; Baxter, R.; Jordan, K.R.; Russell, S.; et al. Specialized interferon action in COVID-19. Proc. Natl. Acad. Sci. USA 2022, 119, e2116730119. [Google Scholar] [CrossRef]
- Tegethoff, S.A.; Danziger, G.; Kühn, D.; Kimmer, C.; Adams, T.; Heintz, L.; Metz, C.; Reifenrath, K.; Angresius, R.; Mang, S.; et al. TNF-related apoptosis-inducing ligand, interferon gamma-induced protein 10, and C-reactive protein in predicting the progression of SARS-CoV-2 infection: A prospective cohort study. Int. J. Infect. Dis. 2022, 122, 178–187. [Google Scholar] [CrossRef]
- Mulla, S.; Molla, M.M.A.; Ahmed, S.M.A.; Akhtaruzzaman, A.K.M.; Saleh, A.A.; Anwar, S. Association of interferon gamma inducible protein-10, monocyte chemoattractant protein-1, macrophage inflammatory protein-1 alpha, interleukin-6, and rs12252 single nucleotide polymorphism of interferon-induced transmembrane protein-3 gene with the severity of COVID-19 infection. Egypt. J. Intern. Med. 2022, 34, 53. [Google Scholar]
- Fukuda, Y.; Homma, T.; Inoue, H.; Goto, Y.; Sato, Y.; Ikeda, H.; Onitsuka, C.; Sato, H.; Akimoto, K.; Ebato, T.; et al. Serum IL-28A/IFN-λ2 is linked to disease severity of COVID-19. Sci. Rep. 2022, 12, 5458. [Google Scholar] [CrossRef]
- Wu, D.; Yang, X.O. Dysregulation of Pulmonary Responses in Severe COVID-19. Viruses 2021, 13, 957. [Google Scholar] [CrossRef]
- Mabrey, F.L.; Morrell, E.D.; Wurfel, M.M. TLRs in COVID-19: How they drive immunopathology and the rationale for modulation. Innate Immun. 2021, 27, 503–513. [Google Scholar] [CrossRef]
- Croci, S.; Venneri, M.A.; Mantovani, S.; Fallerini, C.; Benetti, E.; Picchiotti, N.; Campolo, F.; Imperatore, F.; Palmieri, M.; Daga, S.; et al. The polymorphism L412F in TLR3 inhibits autophagy and is a marker of severe COVID-19 in males. Autophagy 2022, 18, 1662–1672. [Google Scholar] [CrossRef]
- Lai, A.; Bergna, A.; Menzo, S.; Zehender, G.; Caucci, S.; Ghisetti, V.; Rizzo, F.; Maggi, F.; Cerutti, F.; Giurato, G.; et al. Circulating SARS-CoV-2 variants in Italy, October 2020–March 2021. Virol. J. 2021, 18, 168. [Google Scholar] [CrossRef]




| Features | Total Patients (n = 32) | Mild/Moderate Patients (n = 19) | ICU-Admitted Patients (n = 13) | p-Value | SARS-CoV-2-Negative Patients (n = 10) | p-Value ** | Healthy Donors (n = 15) | 
|---|---|---|---|---|---|---|---|
| Male (N (%)) | 27 (84.4) | 18 (94.7) | 9 (76.9) | >0.1 | 6 (60.0) | >0.1 | 10 (66.7) | 
| Female (N (%)) | 5 (15.6) | 1 (5.3) | 4 (23.1) | >0.1 | 4 (40.0) | >0.1 | 5 (33.3) | 
| Age (years) | 72 (37–86) | 72 (37–80) | 72 (38–86) | >0.1 | 70 (36–87) | >0.1 | 68 (41–76) | 
| NC (cell/mm3) | 6734.85 (1920–18,000) | 6543.68 (2100–14,440) | 7249.23 (1920–18,000) | NA | 4862 (2530–6930) | NA | NA | 
| LC (cell/mm3) | 903.13 (170–3890) | 1128.42 (350–3890) | 610.77 (170–1050) | NA | 1297 (940–1960) | NA | NA | 
| MC (cell/mm3) | 380 (60–970) | 411.58 (150–970) | 348 (60–780) | NA | 333 (190–440) | NA | NA | 
| CRP (mg/L) | 7.39 (0.1–30.9) | 6.52 (0.1–21.2) | 10.33 (1.9–30.9) | NA | 14.43 (5.2–19.7) | NA | NA | 
| Patients with normal ranges of CRP * (N (%)) | 5 (15.7) | 5 (26.3) | 0 (0.0) | <0.001 | 0 (0.0) | >0.1 | NA | 
| LDH (U/L) | 354.69 (110–614) | 299.89 (110–514) | 445.5 (177–614) | NA | NA | NA | NA | 
| Patients with normal ranges of LDH * (N (%)) | 13 (40.6) | 10 (52.6) | 3 (23.1) | >0.1 | NA | NA | NA | 
| D-dimer (μg/L) | 1892.65 (197–4610) | 1050.8 (197–4445) | 3302.9 (1014–4610) | NA | NA | NA | NA | 
| Patients with normal ranges of D-dimer * (N (%)) | 5 (15.6) | 5 (26.3) | 0 (0.0) | <0.001 | NA | NA | NA | 
| BSI (N (percentage)) | 3 (9.4) | 0 (0.0) | 3 (23.1) | >0.1 | 2 (20.0) | >0.1 | NA | 
| PSI (N (percentage)) | 4 (12.5) | 0 (0.0) | 4 (30.8) | >0.05 | 4 (40.0) | >0.1 | NA | 
| DP (N (percentage)) | 8 (25.0) | 0 (0.0) | 8 (61.5) | 0.02 | NA | NA | NA | 
| PBMC | BAL | |||||
|---|---|---|---|---|---|---|
| Gene | Positive * | Negative | p-Value | Positive * | Negative | p-Value | 
| IFNλ1 | 0.03 (0.02–0.09) | 0.09 (0.01–0.25) | 0.001 | 0.11 (0.09–0.14) | 0.08 (2.08 × 10−3–0.15) | >0.1 | 
| IFNλ2 | 0.38 (0.13–0.68) | 0.78 (0.15–4.41) | 0.015 | 2.01 (1.05–2.97) | 0.81 (0.32–1.46) | >0.1 | 
| IFNλ3 | 1.33 (0.45–3.73) | 4.17 (0.85–9.85) | 0.003 | 6.74 (5.09–8.39) | 3.29 (1.45–6.41) | 0.022 | 
| TLR2 | NA | NA | NA | 0.81 (0.05–2.47) | 0.44 (0.02–11.71) | >0.1 | 
| TLR3 | NA | NA | NA | 1.67 (1.56–1.79) | 1.23 (0.6–1.56) | 0.033 | 
| TLR4 | NA | NA | NA | 2.51 (1.85–3.61) | 1.89 (1.06–8.28) | >0.1 | 
| TLR7 | NA | NA | NA | 0.07 (2.31 × 10−4–0.14) | 0.06 (6.49 × 10−5–0.21) | >0.1 | 
| TLR8 | NA | NA | NA | 0.73 (0.68–1.67) | 0.88 (0.42–1.45) | >0.1 | 
| Disclaimer/Publisher’s Note: The statements, opinions and data contained in all publications are solely those of the individual author(s) and contributor(s) and not of MDPI and/or the editor(s). MDPI and/or the editor(s) disclaim responsibility for any injury to people or property resulting from any ideas, methods, instructions or products referred to in the content. | 
© 2023 by the authors. Licensee MDPI, Basel, Switzerland. This article is an open access article distributed under the terms and conditions of the Creative Commons Attribution (CC BY) license (https://creativecommons.org/licenses/by/4.0/).
Share and Cite
Sorrentino, L.; Fracella, M.; Frasca, F.; D’Auria, A.; Santinelli, L.; Maddaloni, L.; Bugani, G.; Bitossi, C.; Gentile, M.; Ceccarelli, G.; et al. Alterations in the Expression of IFN Lambda, IFN Gamma and Toll-like Receptors in Severe COVID-19 Patients. Microorganisms 2023, 11, 689. https://doi.org/10.3390/microorganisms11030689
Sorrentino L, Fracella M, Frasca F, D’Auria A, Santinelli L, Maddaloni L, Bugani G, Bitossi C, Gentile M, Ceccarelli G, et al. Alterations in the Expression of IFN Lambda, IFN Gamma and Toll-like Receptors in Severe COVID-19 Patients. Microorganisms. 2023; 11(3):689. https://doi.org/10.3390/microorganisms11030689
Chicago/Turabian StyleSorrentino, Leonardo, Matteo Fracella, Federica Frasca, Alessandra D’Auria, Letizia Santinelli, Luca Maddaloni, Ginevra Bugani, Camilla Bitossi, Massimo Gentile, Giancarlo Ceccarelli, and et al. 2023. "Alterations in the Expression of IFN Lambda, IFN Gamma and Toll-like Receptors in Severe COVID-19 Patients" Microorganisms 11, no. 3: 689. https://doi.org/10.3390/microorganisms11030689
APA StyleSorrentino, L., Fracella, M., Frasca, F., D’Auria, A., Santinelli, L., Maddaloni, L., Bugani, G., Bitossi, C., Gentile, M., Ceccarelli, G., Turriziani, O., Mastroianni, C. M., Antonelli, G., d’Ettorre, G., Pierangeli, A., & Scagnolari, C. (2023). Alterations in the Expression of IFN Lambda, IFN Gamma and Toll-like Receptors in Severe COVID-19 Patients. Microorganisms, 11(3), 689. https://doi.org/10.3390/microorganisms11030689
 
        





 
       