Induced Expression of CYP51a and HK1 Genes Associated with Penconazole and Fludioxonil Resistance in the Potato Pathogen Fusarium oxysporum
Abstract
1. Introduction
2. Materials and Methods
2.1. Molecular Identification of Fungal Isolates
2.2. Pathogenicity Test
2.3. In Vitro Test of Isolates on Fungicides
2.4. Extraction of Total RNA, cDNA Synthesis, and Gene Expression Study
2.5. Statistical Analysis
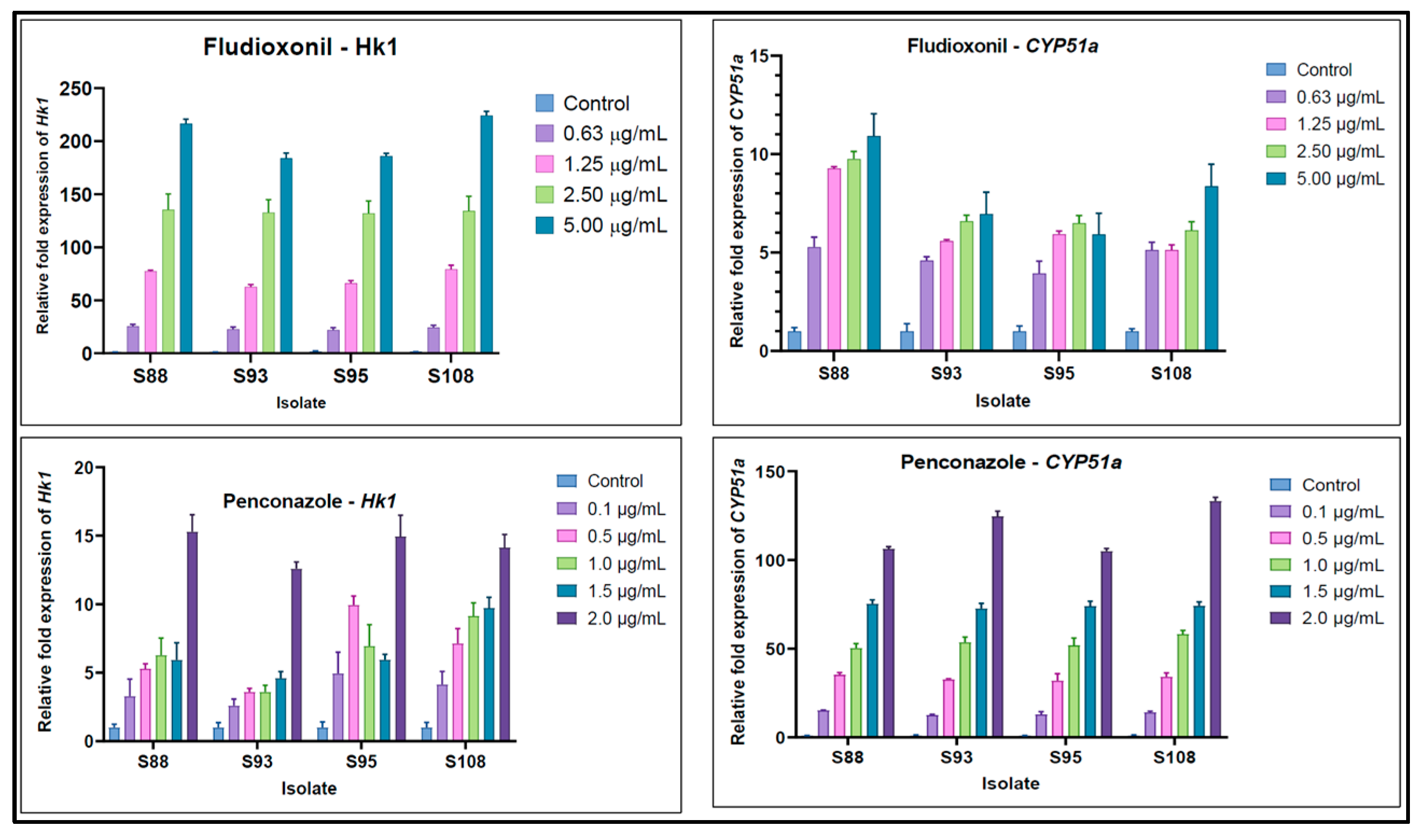
3. Results
3.1. Fungal Isolation and Identification
3.2. Pathogenicity Test
3.3. In Vitro Test on Fungicides
4. Discussion
5. Conclusions
Author Contributions
Funding
Data Availability Statement
Acknowledgments
Conflicts of Interest
References
- Kaur, S.; Mukerji, K.G. Potato Diseases and their Management. Fruit Veg. Dis. 2004, 1, 233–280. [Google Scholar] [CrossRef]
- Lucas, J.A.; Hawkins, N.J.; Fraaije, B.A. The Evolution of Fungicide Resistance. Adv. Appl. Microbiol. 2015, 90, 29–92. [Google Scholar] [CrossRef] [PubMed]
- Popiel, D.; Dawidziuk, A.; Koczyk, G.; Mackowiak, A.; Marcinkowska, K. Multiple Facets of Response to Fungicides–the Influence of Azole Treatment on Expression of Key Mycotoxin Biosynthetic Genes and Candidate Resistance Factors in the Control of Resistant Fusarium Strains. Eur. J. Plant Pathol. 2017, 147, 773–785. [Google Scholar] [CrossRef]
- Qian, H.; Duan, M.; Sun, X.; Chi, M.; Zhao, Y.; Liang, W.; Du, J.; Huang, J.; Li, B. The Binding Mechanism between Azoles and FgCYP51B, Sterol 14α-Demethylase of Fusarium graminearum. Pest Manag. Sci. 2018, 74, 126–134. [Google Scholar] [CrossRef] [PubMed]
- Emami, S.; Tavangar, P.; Keighobadi, M. An Overview of Azoles Targeting Sterol 14α-Demethylase for Antileishmanial Therapy. Eur. J. Med. Chem. 2017, 135, 241–259. [Google Scholar] [CrossRef]
- Price, C.L.; Parker, J.E.; Warrilow, A.G.; Kelly, D.E.; Kelly, S.L. Azole Fungicides—Understanding Resistance Mechanisms in Agricultural Fungal Pathogens. Pest Manag. Sci. 2015, 71, 1054–1058. [Google Scholar] [CrossRef]
- FRAC. Fungal Control Agents Sorted by Cross Resistance Pattern and Mode of Action; FRAC Code List 2020; CropLife International A.I.S.B.L.: Brussels, Belgium, 2020. [Google Scholar]
- Brandhorst, T.T.; Klein, B.S. Uncertainty Surrounding the Mechanism and Safety of the Post-Harvest Fungicide Fludioxonil. Food Chem. Toxicol. 2019, 123, 561–565. [Google Scholar] [CrossRef]
- Al-Mughrabi, K.I. Biological Control of Fusarium Dry Rot and Other Potato Tuber Diseases Using Pseudomonas Fluorescens and Enterobacter Cloacae. Biol. Control 2010, 53, 280–284. [Google Scholar] [CrossRef]
- Lawry, S.M.; Tebbets, B.; Kean, I.; Stewart, D.; Hetelle, J.; Klein, B.S. Fludioxonil Induces Drk1, a Fungal Group III Hybrid Histidine Kinase, to Dephosphorylate Its Downstream Target, Ypd1. Antimicrob. Agents Chemother. 2017, 61, e01414-16. [Google Scholar] [CrossRef]
- Hagiwara, D.; Asano, Y.; Marui, J.; Yoshimi, A.; Mizuno, T.; Abe, K. Transcriptional Profiling for Aspergillus Nidulans HogA MAPK Signaling Pathway in Response to Fludioxonil and Osmotic Stress. Fungal Genet. Biol. 2009, 46, 868–878. [Google Scholar] [CrossRef]
- Brandhorst, T.T.; Kean, I.R.L.; Lawry, S.M.; Wiesner, D.L.; Klein, B.S. Phenylpyrrole Fungicides Act on Triosephosphate Isomerase to Induce Methylglyoxal Stress and Alter Hybrid Histidine Kinase Activity. Sci. Rep. 2019, 9, 5047. [Google Scholar] [CrossRef]
- Buschart, A.; Gremmer, K.; El-Mowafy, M.; van den Heuvel, J.; Mueller, P.P.; Bilitewski, U. A Novel Functional Assay for Fungal Histidine Kinases Group III Reveals the Role of HAMP Domains for Fungicide Sensitivity. J. Biotechnol. 2012, 157, 268–277. [Google Scholar] [CrossRef]
- Spadinger, A.; Ebel, F. Molecular Characterization of Aspergillus Fumigatus TcsC, a Characteristic Type III Hybrid Histidine Kinase of Filamentous Fungi Harboring Six HAMP Domains. Int. J. Med. Microbiol. 2017, 307, 200–208. [Google Scholar] [CrossRef]
- Zhang, Z.; Hou, B.; Wu, Y.Z.; Wang, Y.; Liu, X.; Han, S. Two-Component Histidine Kinase DRK1 Is Required for Pathogenesis in Sporothrix schenckii. Mol. Med. Rep. 2018, 17, 721–728. [Google Scholar] [CrossRef]
- Viaud, M.; Fillinger, S.; Liu, W.; Polepalli, J.S.; Le Pêcheur, P.; Kunduru, A.R.; Leroux, P.; Legendre, L. A Class III Histidine Kinase Acts as a Novel Virulence Factor in Bortrytis Cinerea. Mol. Plant-Microbe Interact. 2006, 19, 1042–1050. [Google Scholar] [CrossRef]
- Bicalho Nogueira, G.; dos Santos, L.V.; de Queiroz, C.B.; Ribeiro Corrêa, T.L.; Pedrozo Menicucci, R.; Soares Bazzolli, D.M.; de Araújo, E.F.; de Queiroz, M.V. The Histidine Kinase SlnCl1 of Colletotrichum lindemuthianum as a Pathogenicity Factor against Phaseolus vulgaris L. Microbiol. Res. 2019, 219, 110–122. [Google Scholar] [CrossRef]
- Duan, Y.; Ge, C.; Liu, S.; Wang, J.; Zhou, M. A Two-Component Histidine Kinase Shk1 Controls Stress Response, Sclerotial Formation and Fungicide Resistance in Sclerotinia sclerotiorum. Mol. Plant Pathol. 2013, 14, 708–718. [Google Scholar] [CrossRef]
- Özer, G.; Mustafa, İ.; Bayraktar, H.; Paulitz, T.; Muminjanov, H.; Dababat, A.A. First Report of Fusarium hostae Causing Crown Rot on Wheat in Azerbaijan. Plant Dis. 2019, 103, 3278. [Google Scholar] [CrossRef]
- Leslie, J.F.; Summerell, B.A. The Fusarium Laboratory Manual; John Wiley & Sons: Hoboken, NJ, USA, 2008; ISBN 0470276460. [Google Scholar]
- Aamir, S.; Sutar, S.; Singh, S.K.; Baghela, A. A Rapid and Efficient Method of Fungal Genomic DNA Extraction, Suitable for PCR Based Molecular Methods. Plant Pathol. Quar. 2015, 5, 74–81. [Google Scholar] [CrossRef]
- Dubey, S.C.; Tripathi, A.; Singh, S.R. ITS-RFLP Fingerprinting and Molecular Marker for Detection of Fusarium oxysporum f. sp. Ciceris. Folia Microbiol. 2010, 55, 629–634. [Google Scholar] [CrossRef]
- Aguilar-Hawod, K.G.I.; de la Cueva, F.M.; Cumagun, C.J.R. Genetic Diversity of Fusarium oxysporum f. sp. Cubense Causing Panama Wilt of Banana in the Philippines. Pathogens 2020, 9, 32. [Google Scholar] [CrossRef] [PubMed]
- Mishra, R.K.; Pandey, B.K.; Pathak, N.; Zeeshan, M. BOX-PCR-and ERIC-PCR-Based Genotyping and Phylogenetic Correlation among Fusarium oxysporum Isolates Associated with Wilt Disease in Psidium guajava L. Biocatal. Agric. Biotechnol. 2015, 4, 25–32. [Google Scholar] [CrossRef]
- Ye, J.; Coulouris, G.; Zaretskaya, I.; Cutcutache, I.; Rozen, S.; Madden, T.L. Primer-BLAST: A Tool to Design Target-Specific Primers for Polymerase Chain Reaction. BMC Bioinform. 2012, 13, 134. [Google Scholar] [CrossRef] [PubMed]
- Cullen, D.W.; Toth, I.K.; Pitkin, Y.; Boonham, N.; Walsh, K.; Barker, I.; Lees, A.K. Use of Quantitative Molecular Diagnostic Assays to Investigate Fusarium Dry Rot in Potato Stocks and Soil. Phytopathology 2005, 95, 1462–1471. [Google Scholar] [CrossRef] [PubMed]
- Stefańczyk, E.; Sobkowiak, S.; Brylińska, M.; Śliwka, J. Diversity of Fusarium Spp. Associated with Dry Rot of Potato Tubers in Poland. Eur. J. Plant Pathol. 2016, 145, 871–884. [Google Scholar] [CrossRef]
- Garnica, M.; Nucci, M. Epidemiology of Fusariosis. Curr. Fungal Infect. Rep. 2013, 7, 301–305. [Google Scholar] [CrossRef]
- Heltoft, P.; Brierley, J.L.; Lees, A.K.; Sullivan, L.; Lynott, J.; Hermansen, A. The Relationship between Soil Inoculum and the Development of Fusarium Dry Rot in Potato Cultivars Asterix and Saturna. Eur. J. Plant Pathol. 2016, 146, 711–714. [Google Scholar] [CrossRef]
- Trabelsi, B.M.; Abdallah, R.A.B.; Ammar, N.; Kthiri, Z.; Hamada, W. Bio-Suppression of Fusarium Wilt Disease in Potato Using Nonpathogenic Potato-Associated Fungi. J. Plant Pathol. Microbiol. 2016, 7, 2–8. [Google Scholar] [CrossRef]
- Gordon, T.R. Fusarium oxysporum and the Fusarium Wilt Syndrome. Annu. Rev. Phytopathol. 2017, 55, 23–39. [Google Scholar] [CrossRef]
- Inami, K.; Yoshioka-Akiyama, C.; Morita, Y.; Yamasaki, M.; Teraoka, T.; Arie, T. A Genetic Mechanism for Emergence of Races in Fusarium oxysporum f. sp. Lycopersici: Inactivation of Avirulence Gene AVR1 by Transposon Insertion. PLoS ONE 2012, 7, e44101. [Google Scholar] [CrossRef]
- Akosah, Y.A.; Vologin, S.G.; Lutfullin, M.T.; Hadieva, G.F.; Scyganova, N.F.; Zamalieva, F.F.; Mardanova, A.M. Fusarium oxysporum Strains from Wilting Potato Plants: Potential Causal Agents of Dry Rot Disease in Potato Tubers. Res. Crops 2021, 22, 49–53. [Google Scholar] [CrossRef]
- Hadieva, G.; Lutfullin, M.; Akosah, Y.; Malova, A.; Mochalova, N.; Vologin, S.; Stasevsky, Z.; Mardanova, A. Analysis of Fusarium Micromycetes, Isolated from Infected Potato Tubers Grown in the Republic of Tatarstan. Dostizheniya Nauk. Tekhniki APK 2018, 32, 34–39. [Google Scholar] [CrossRef]
- Thomsen, P.H. Potato Quality during Storage: Effect of Maturity Level and Ventilation Strategies: Studies on the Storage Disease Fusarium Dry Rot. Ph.D. Thesis, Norwegian University of Life Sciences, Ås, Norway, 2017. [Google Scholar]
- Azil, N.; Stefańczyk, E.; Sobkowiak, S.; Chihat, S.; Boureghda, H.; Śliwka, J. Identification and Pathogenicity of Fusarium spp. Associated with Tuber Dry Rot and Wilt of Potato in Algeria. Eur. J. Plant Pathol. 2021, 159, 495–509. [Google Scholar] [CrossRef]
- Jia, R.; Kang, L.; Addrah, M.E.; Zhang, J.; Xu, L.; Zhang, Z.; Chen, W.; Liu, J.; Zhao, J. Potato Wilt Caused by Co-Infection of Fusarium spp. and Verticillium dahliae in Potato Plants. Eur. J. Plant Pathol. 2023, 165, 305–315. [Google Scholar] [CrossRef]
- Ayed, F.; Daami-Remadi, M.; Jabnoun-Khiareddine, H.; El Mahjoub, M. Effect of Potato Cultivars on Incidence of Fusarium oxysporum f. sp. Tuberosi and Its Transmission to Progeny Tubers. J. Agron. 2006, 5, 430–434. [Google Scholar] [CrossRef]
- Gachango, E.; Hanson, L.E.; Rojas, A.; Hao, J.J.; Kirk, W.W. Fusarium spp. Causing Dry Rot of Seed Potato Tubers in Michigan and Their Sensitivity to Fungicides. Plant Dis. 2012, 96, 1767–1774. [Google Scholar] [CrossRef]
- Kostennikova, Z.; Akosah, Y.; Mardanova, A. Molecular Identification and Comparative Characterization of Fusarium Isolates, Obtained from Potato Plants. E3S Web Conf. 2020, 222, 02045. [Google Scholar] [CrossRef]
- Akram, S.; Khan, S.M.; Khan, M.F.; Khan, H.U.; Tariq, A.; Umar, U.U.D.; Gill, A. Antifungal Activity of Different Systemic Fungicides against Fusarium oxysporum f. sp. Lycopersici Associated with Tomato Wilt and Emergence of Resistance in the Pathogen. Pak. J. Phytopathol. 2018, 30, 169–176. [Google Scholar] [CrossRef]
- Yoshimi, A.; Kojima, K.; Takano, Y.; Tanaka, C. Group III Histidine Kinase Is a Positive Regulator of Hog1-Type Mitogen-Activated Protein Kinase in Filamentous Fungi. Eukaryot. Cell 2005, 4, 1820–1828. [Google Scholar] [CrossRef]
- Peters, J.C.; Lees, A.K.; Cullen, D.W.; Sullivan, L.; Stroud, G.P.; Cunnington, A.C. Characterization of Fusarium spp. Responsible for Causing Dry Rot of Potato in Great Britain. Plant Pathol. 2008, 57, 262–271. [Google Scholar] [CrossRef]
- van Diepeningen, A.D.; Brankovics, B.; Iltes, J.; van der Lee, T.A.J.; Waalwijk, C. Diagnosis of Fusarium Infections: Approaches to Identification by the Clinical Mycology Laboratory. Curr. Fungal Infect. Rep. 2015, 9, 135. [Google Scholar] [CrossRef] [PubMed]
- Sandipan, P.B.; Solanki, B.P.; Patel, N.N.; Patel, R.L.; Verma, P.D.; Desai, H.R. Efficacy of Different Fungicides Against Dry Rot Pathogen of Potato Caused by Fusarium sp. under In Vitro Condition. Cercet. Agron. Mold. 2016, 49, 69–74. [Google Scholar] [CrossRef]
- McGovern, R.J. Management of Tomato Diseases Caused by Fusarium oxysporum. Crop Prot. 2015, 73, 78–92. [Google Scholar] [CrossRef]
- Malyuga, A.A.; Chulikova, N.S.; Ilyin, M.M.; Khalikov, S.S. Fludioxonil-Based Preparations for Protecting Potatoes from Diseases and Their Effectiveness. Russ. Agric. Sci. 2022, 48, S74–S83. [Google Scholar] [CrossRef]
- Qiu, J.B.; Yu, M.Z.; Yin, Q.; Xu, J.H.; Shi, J.R. Molecular Characterization, Fitness, and Mycotoxin Production of Fusarium asiaticum Strains Resistant to Fludioxonil. Plant Dis. 2018, 102, 1759–1765. [Google Scholar] [CrossRef]
- Akosah, Y.; Lutfullin, M.; Lutfullina, G.; Pudova, D.; Shagimardanova, E.; Vologin, S.; Gogoleva, N.; Stasevski, Z.; Sharipova, M.; Mardanova, A. The Potato Rhizoplane Actively Recruits Fusarium Taxa during Flowering. Rhizosphere 2021, 20, 100449. [Google Scholar] [CrossRef]
- Mardanova, A.; Lutfullin, M.; Hadieva, G.; Akosah, Y.; Pudova, D.; Kabanov, D.; Shagimardanova, E.; Vankov, P.; Vologin, S.; Gogoleva, N.; et al. Structure and Variation of Root-Associated Microbiomes of Potato Grown in Alfisol. World J. Microbiol. Biotechnol. 2019, 35, 181. [Google Scholar] [CrossRef]
- Reardon, S. Bacterial Arms Race Revs Up. Nature 2015, 521, 402–403. [Google Scholar] [CrossRef]
- Abdul, K.M.; Hadia, R.; Mohammad, H.F.; Ahsanullah, Y.; Abdul, S.J.; Wakil, A.S. Evaluation of in Vitro Antifungal Potential of Several Fungicides against Alternaria alternata (Fr.) Keissler, the Causal Agent of Potato Brown Spot in Afghanistan. Nov. Res. Microbiol. J. 2021, 5, 1106–1117. [Google Scholar] [CrossRef]
- Salamzadeh, J.; Shakoori, A.; Moradi, V. Occurrence of Multiclass Pesticide Residues in Tomato Samples Collected from Different Markets of Iran. J. Environ. Health Sci. Eng. 2018, 16, 55–63. [Google Scholar] [CrossRef]
- Polat, B.; Tiryaki, O. Determination of Some Pesticide Residues in Conventional-Grown and IPM-Grown Tomato by Using QuEChERS Method. J. Environ. Sci. Health B 2019, 54, 112–117. [Google Scholar] [CrossRef]
- Omer, A.D.; Granett, J.; Wakeman, R.J. Pathogenicity of Fusarium oxysporum on Different Vitis Rootstocks. J. Phytopathol. 1999, 147, 433–436. [Google Scholar] [CrossRef]
- Pitt, W.M.; Sosnowski, M.R.; Huang, R.; Qiu, Y.; Steel, C.C.; Savocchia, S. Evaluation of Fungicides for the Management of Botryosphaeria Canker of Grapevines. Plant Dis. 2012, 96, 1303–1308. [Google Scholar] [CrossRef]
- Lorenzini, M.; Zapparoli, G. Occurrence and Infection of Cladosporium, Fusarium, Epicoccum and Aureobasidium in Withered Rotten Grapes during Post-Harvest Dehydration. Antonie Leeuwenhoek Int. J. Gen. Mol. Microbiol. 2015, 108, 1171–1180. [Google Scholar] [CrossRef]
- Beresford, R.M.; Wright, P.J.; Wood, P.N.; Park, N.M. Sensitivity of Venturia Inaequalis to Myclobutanil, Penconazole and Dodine in Relation to Fungicide Use in Hawke’s Bay Apple Orchards. N. Z. Plant Prot. 2012, 65, 106–113. [Google Scholar]
- Singh, K.P.; Singh, A.; Prasad, R.K.; Kumar, J. Postharvest Applicaton of Fungicides, Antagonists and Plant Products for Controlling Storage Scab and Rots of Apple Fruits. Indian Phytopathol. 2017, 70, 315–321. [Google Scholar] [CrossRef]
- Beresford, R.M.; Wright, P.J.; Wood, P.N.; Park, N.M.; Larsen, N.J.; Fisher, B.M. Resistance of Venturia inaequalis to Demethylation Inhibitor and Dodine Fungicides in Four New Zealand Apple-Growing Regions. N. Z. Plant Prot. 2013, 66, 274–283. [Google Scholar] [CrossRef]
- Hajian Shahri, M.; Abbaspoor, M.; Gazanchian, A. Occurrence of Resistance in Grapevine Powdery Mildew (Erysiphe necator) to Azoxystrobin+Difenconazole (Ortiva®) and Cross Resistance to Penconazole and Hexaconazole in Khorasan Razavi Province. J. Plant Prot. 2012, 26, 300–307. [Google Scholar] [CrossRef]
- Zhang, Y.; Mao, C.X.; Zhai, X.Y.; Jamieson, P.A.; Zhang, C.Q. Mutation in Cyp51b and Overexpression of Cyp51a and Cyp51b Confer Multiple Resistant to DMIs Fungicide Prochloraz in Fusarium fujikuroi. Pest Manag. Sci. 2021, 77, 824–833. [Google Scholar] [CrossRef]
- Zheng, B.; Yan, L.; Liang, W.; Yang, Q. Paralogous Cyp51s Mediate the Differential Sensitivity of Fusarium oxysporum to Sterol Demethylation Inhibitors. Pest Manag. Sci. 2019, 75, 396–404. [Google Scholar] [CrossRef]
- Furukawa, K.; Randhawa, A.; Kaur, H.; Mondal, A.K.; Hohmann, S. Fungal Fludioxonil Sensitivity Is Diminished by a Constitutively Active Form of the Group III Histidine Kinase. FEBS Lett. 2012, 586, 2417–2422. [Google Scholar] [CrossRef] [PubMed]
- Bersching, K.; Jacob, S. The Molecular Mechanism of Fludioxonil Action Is Different to Osmotic Stress Sensing. J. Fungi 2021, 7, 393. [Google Scholar] [CrossRef] [PubMed]
- Rispail, N.; di Pietro, A. The Two-Component Histidine Kinase Fhk1 Controls Stress Adaptation and Virulence of Fusarium oxysporum. Mol. Plant Pathol. 2010, 11, 395–407. [Google Scholar] [CrossRef] [PubMed]





| Gene | Name | Sequence (5′-3′) | Annealing Temperature, °C |
|---|---|---|---|
| Sterol-14-α-demethylase | Fo-CYP51A-dir | AAGGGTAGTGGGGAGACAGTT | 60.03 |
| Fo-CYP51A-rev | GACCAGGCTTCTCAATGTGGA | 59.95 | |
| Histidine kinase | Fo-HK1-dir | TTTCCTCCTCAAACCTCGCT | 58.94 |
| Fo-HK1-rev | CGCTCTTGTAGCTGCTTCTG | 59.00 | |
| β-actin | Fo-Act-dir | CTCCCATCAACCCCAAGTCC | 60.12 |
| Fo-Act-rev | AGAAAGTGTAACCGCGCTCA | 60.35 |
Disclaimer/Publisher’s Note: The statements, opinions and data contained in all publications are solely those of the individual author(s) and contributor(s) and not of MDPI and/or the editor(s). MDPI and/or the editor(s) disclaim responsibility for any injury to people or property resulting from any ideas, methods, instructions or products referred to in the content. |
© 2023 by the authors. Licensee MDPI, Basel, Switzerland. This article is an open access article distributed under the terms and conditions of the Creative Commons Attribution (CC BY) license (https://creativecommons.org/licenses/by/4.0/).
Share and Cite
Akosah, Y.A.; Kostennikova, Z.S.; Lutfullin, M.T.; Lutfullina, G.F.; Afordoanyi, D.M.; Vologin, S.G.; Mardanova, A.M. Induced Expression of CYP51a and HK1 Genes Associated with Penconazole and Fludioxonil Resistance in the Potato Pathogen Fusarium oxysporum. Microorganisms 2023, 11, 1257. https://doi.org/10.3390/microorganisms11051257
Akosah YA, Kostennikova ZS, Lutfullin MT, Lutfullina GF, Afordoanyi DM, Vologin SG, Mardanova AM. Induced Expression of CYP51a and HK1 Genes Associated with Penconazole and Fludioxonil Resistance in the Potato Pathogen Fusarium oxysporum. Microorganisms. 2023; 11(5):1257. https://doi.org/10.3390/microorganisms11051257
Chicago/Turabian StyleAkosah, Yaw A., Zarina S. Kostennikova, Marat T. Lutfullin, Guzel F. Lutfullina, Daniel M. Afordoanyi, Semyon G. Vologin, and Ayslu M. Mardanova. 2023. "Induced Expression of CYP51a and HK1 Genes Associated with Penconazole and Fludioxonil Resistance in the Potato Pathogen Fusarium oxysporum" Microorganisms 11, no. 5: 1257. https://doi.org/10.3390/microorganisms11051257
APA StyleAkosah, Y. A., Kostennikova, Z. S., Lutfullin, M. T., Lutfullina, G. F., Afordoanyi, D. M., Vologin, S. G., & Mardanova, A. M. (2023). Induced Expression of CYP51a and HK1 Genes Associated with Penconazole and Fludioxonil Resistance in the Potato Pathogen Fusarium oxysporum. Microorganisms, 11(5), 1257. https://doi.org/10.3390/microorganisms11051257

