Investigating the Effects of Alltech Crop Science (ACS) Products on Plant Defence against Root-Knot Nematode Infestation
Abstract
1. Introduction
2. Materials and Methods
2.1. Sourcing, Culturing and Inoculation of Nematodes to Tomato Plants
2.2. Treatment of Tomato Plants with ACS Products and NemguardTM
2.3. RNA Extraction and Quantitative Real-Time Reverse PCR
2.4. Treatment of Tomato Plants with ACS Products, Protein Extraction, SDS-PAGE and 2D-Gel Electrophoresis
2.5. Protein Spot Excision from the 2D-Gels and N-Terminal Protein Sequencing
2.6. Statistical Analysis
3. Results
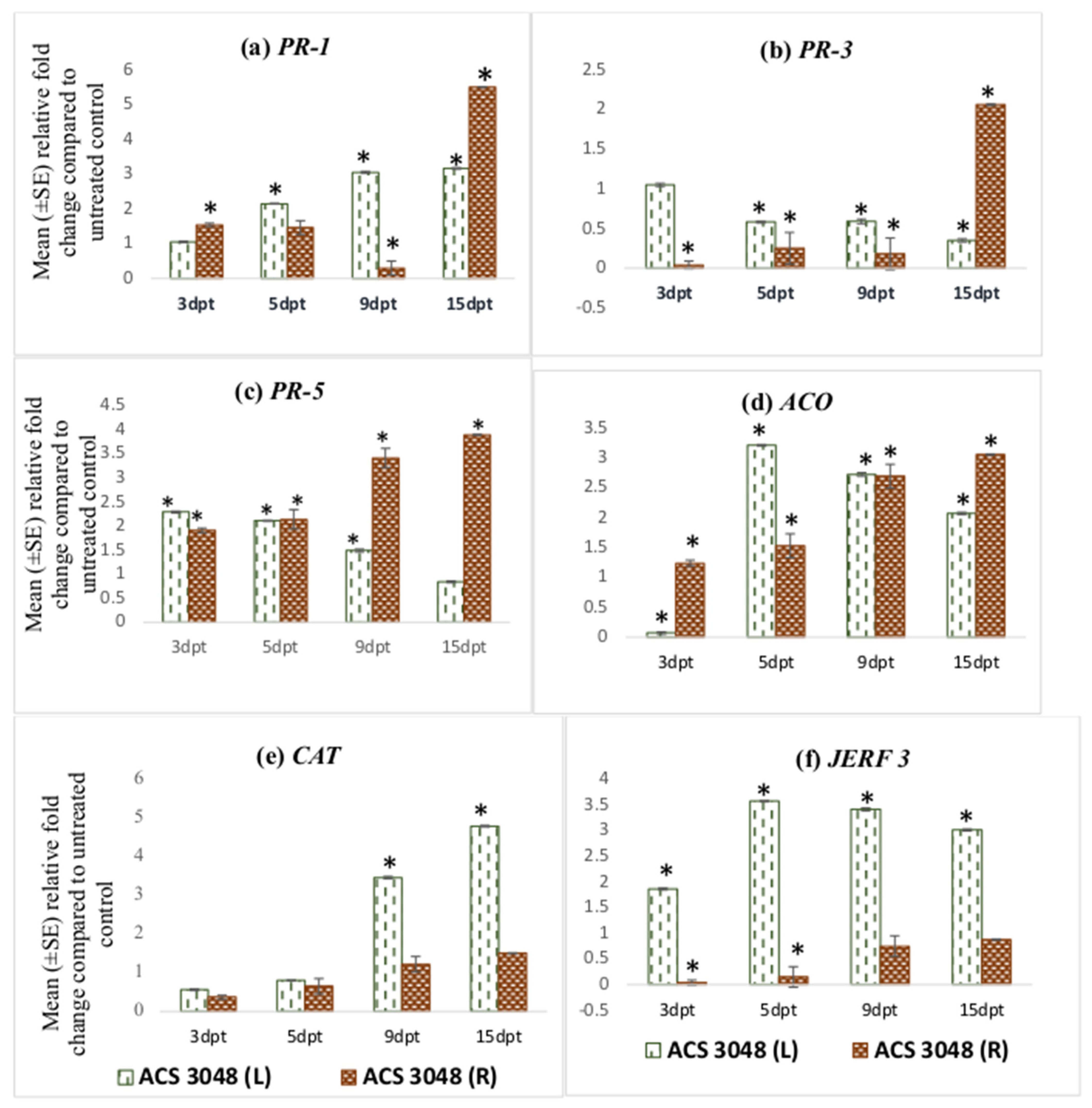
3.1. Gene Expression Analysis



3.2. Protein Analysis and Identification of Unique Proteins Using 2D Electrophoresis and N-Terminal Sequencing

4. Discussion
Author Contributions
Funding
Data Availability Statement
Acknowledgments
Conflicts of Interest
References
- Collange, B.; Navarrete, M.; Peyre, G.; Mateille, T.; Tchamitchian, M. Root-knot nematode (Meloidogyne) management in vegetable crop production: The challenge of an agronomic system analysis. Crop Prot. 2011, 30, 1251–1262. [Google Scholar] [CrossRef]
- Jones, J.T.; Haegeman, A.; Danchin, E.G.J.; Gaur, H.S.; Helder, J.; Jones, M.G.K.; Kikuchi, T.; Manzanilla-López, R.; Palomares-Rius, J.E.; Wesemael, W.M.L.; et al. Top 10 plant-parasitic nematodes in molecular plant pathology. Mol. Plant Pathol. 2013, 14, 946–961. [Google Scholar] [CrossRef] [PubMed]
- Karuri, H.W.; Olago, D.; Neilson, R.; Mararo, E.; Villinger, J. A survey of root knot nematodes and resistance to Meloidogyne incognita in sweet potato varieties from Kenyan fields. Crop Prot. 2017, 92, 114–121. [Google Scholar] [CrossRef]
- De Waele, D.; Elsen, A. Challenges in tropical plant nematology. Annu. Rev. Phytopathol. 2007, 45, 457–485. [Google Scholar] [CrossRef] [PubMed]
- Abawi, G.S.; Widmer, T.L. Impact of soil health management practices on soilborne pathogens, nematodes and root diseases of vegetable crops. Appl. Soil Ecol. 2000, 15, 37–47. [Google Scholar] [CrossRef]
- Chen, J.; Li, Q.X.; Song, B. Chemical Nematicides: Recent Research Progress and Outlook. J. Agric. Food Chem. 2020, 68, 12175–12188. [Google Scholar] [CrossRef]
- Hajihassani, A. Chemical Nematicides in Georgia Vegetable Crops; Bulletin 1502; University of Georgia Extension: Athens, GA, USA, 2018. [Google Scholar]
- Ngala, B.M.; Woods, S.R.; Back, M.A. In vitro assessment of the effects of Brassica juncea and Raphanus sativus leaf and root extracts on the viability of Globodera pallida encysted eggs. Nematology 2015, 17, 543–556. [Google Scholar] [CrossRef]
- Lord, J.; Luca, L.; Atkinson, H.; Urwin, P. Biofumigation for control of pale potato cyst nematodes: Activity of brassica leaf extracts and green manures on Globodera pallida in vitro and in soil. J. Agric. Food Chem. 2011, 59, 7882–7890. [Google Scholar] [CrossRef] [PubMed]
- Aires, A.; Carvalho, R.; da Barbosa, M.C.; Rosa, E. Suppressing potato cyst nematode, Globodera rostochiensis, with extracts of Brassicacea plants. Am. J. Potato Res. 2009, 86, 327–333. [Google Scholar] [CrossRef]
- Aranega-Bou, P.; de la O Leyva, M.; Finiti, I.; Garcfa-Agustfn, P.; Gonzalez-Bosch, C. Priming of plant resistance by natural compounds. Hexanoic acid as a model. Front. Plant Sci. 2014, 5, 1–12. [Google Scholar] [CrossRef]
- Molinari, S.; Leonetti, P. Bio-control agents activate plant immune response and prime susceptible tomato against root-knot nematodes. PLoS ONE 2019, 14, e0213230. [Google Scholar] [CrossRef] [PubMed]
- Chester, K.S. The Problem of Acquired Physiological Immunity in Plants. Q. Rev. Biol. 1933, 8, 275–324. [Google Scholar] [CrossRef]
- White, R.F. Acetylsalicylic acid (aspirin) induces resistance to tobacco mosaic virus in tobacco. Virology 1979, 99, 410–412. [Google Scholar] [CrossRef] [PubMed]
- Ghahremani, Z.; Escudero, N.; Beltrán-Anadón, D.; Saus, E.; Cunquero, M.; Andilla, J.; Loza-Alvarez, P.; Gabaldón, T.; Sorribas, F.J. Bacillus firmus Strain I-1582, a Nematode Antagonist by Itself and Through the Plant. Front. Plant Sci. 2020, 11, 796. [Google Scholar] [CrossRef]
- Pulavarty, A.; Horgan, K.; Kakouli-Duarte, T. Effect of an Alltech soil health product on entomopathogenic nematodes, root-knot nematodes and on the growth of tomato plants in the greenhouse. J. Nematol. 2020, 52, 1–10. [Google Scholar] [CrossRef] [PubMed]
- Pulavarty, A.; Daly, R.; Horgan, K.; Kakouli-Duarte, T. Effect of Alltech® Crop Science products on root-knot nematode attraction and infestation in tomato plants. Acta Agric. Scand. Sect. B Soil Plant Sci. 2021, 71, 815–824. [Google Scholar] [CrossRef]
- Twamley, T.; Gaffney, M.; Feechan, A. A Microbial Fermentation Mixture Primes for Resistance Against Powdery Mildew in Wheat. Front. Plant Sci. 2019, 10, 1241. [Google Scholar] [CrossRef]
- Livak, K.J.; Schmittgen, T.D. Analysis of relative gene expression data using real-time quantitative PCR and the 2−ΔΔCT method. Methods 2001, 25, 402–408. [Google Scholar] [CrossRef]
- LifeTechnologies ZOOM ® IPGRunner TM System. Available online: www.invitrogen.com/support (accessed on 20 January 2022).
- Brunelle, J.L.; Green, R. Coomassie Blue Staining; Elsevier Inc.: Amsterdam, The Netherlands, 2014; Volume 541. [Google Scholar]
- Oliveira, J.T.A.; Araujo-Filho, J.H.; Grangeiro, T.B.; Gondim, D.M.F.; Segalin, J.; Pinto, P.M.; Carlini, C.R.R.S.; Silva, F.D.A.; Lobo, M.D.P.; Costa, J.H.; et al. Enhanced synthesis of antioxidant enzymes, defense proteins and leghemoglobin in rhizobium-free cowpea roots after challenging with Meloydogine incognita. Proteomes 2014, 2, 527–549. [Google Scholar] [CrossRef]
- Hu, Y.; You, J.; Li, C.; Williamson, V.M.; Wang, C. Ethylene response pathway modulates attractiveness of plant roots to soybean cyst nematode Heterodera glycines. Sci. Rep. 2017, 7, 41282. [Google Scholar] [CrossRef]
- Pulavarty, A.; Sarangi, B.K. Screening bamboo species for salt tolerance using growth parameters, physiological response and osmolytes accumulation as effective indicators. Chem. Ecol. 2018, 34, 340–354. [Google Scholar] [CrossRef]
- Pulavarty, A.; Kukde, S.; Shinde, V.M.; Sarangi, B.K. Morphological, physiological and biochemical adaptations of Eucalyptus citriodora seedlings under NaCl stress in hydroponic conditions. Acta Physiol. Plant. 2016, 38, 20. [Google Scholar] [CrossRef]
- Procissi, A.; Guyon, A.; Pierson, E.S.; Giritch, A.; Knuiman, B.; Grandjean, O.; Tonelli, C.; Derksen, J.; Pelletier, G.; Bonhomme, S. Kinky Pollen encodes a Sabre-like protein required for tip growth in Arabidopsis and conserved among eukaryotes. Plant J. 2003, 36, 894–904. [Google Scholar] [CrossRef]
- Breen, S.; Williams, S.J.; Outram, M.; Kobe, B.; Solomon, P.S. Emerging Insights into the Functions of Pathogenesis-Related Protein 1. Trends Plant Sci. 2017, 22, 871–879. [Google Scholar] [CrossRef] [PubMed]
- Herms, S.; Seehaus, K.; Koehle, H.; Conrath, U. A strobilurin fungicide enhances the resistance of tobacco against tobacco mosaic virus and Pseudomonas syringae pv tabaci. Plant Physiol. 2002, 130, 120–127. [Google Scholar] [CrossRef] [PubMed]
- Beckers, G.J.M.; Jaskiewicz, M.; Liu, Y.; Underwood, W.R.; He, S.Y.; Zhang, S.; Conrath, U. Mitogen-Activated protein kinases 3 and 6 are required for full priming of stress responses in Arabidopsis thaliana. Plant Cell 2009, 21, 944–953. [Google Scholar] [CrossRef] [PubMed]
- Singh, P.; Yekondi, S.; Chen, P.W.; Tsai, C.H.; Yu, C.W.; Wu, K.; Zimmerli, L. Environmental history modulates Arabidopsis pattern-triggered immunity in a histone acetyltransferase1-dependent manner. Plant Cell 2014, 26, 2676–2688. [Google Scholar] [CrossRef]
- Cheng, J.; Fan, H.; Li, L.; Hu, B.; Liu, H.; Liu, Z. Genome-wide Identification and Expression Analyses of RPP13-like Genes in Barley. Biochip J. 2018, 12, 102–113. [Google Scholar] [CrossRef]
- Bittner-Eddy, P.D.; Crute, I.R.; Holub, E.B.; Beynon, J.L. RPP13 is a simple locus in Arabidopsis thaliana for alleles that specify downy mildew resistance to different a virulence determinants in Peronospora parasitica. Plant J. 2000, 21, 177–188. [Google Scholar] [CrossRef]
- Warren, R.F.; Henk, A.; Mowery, P.; Holub, E.; Innes, R.W. A mutation within the leucine-rich repeat domain of the arabidopsis disease resistance gene RPS5 partially suppresses multiple bacterial and downy mildew resistance genes. Plant Cell 1998, 10, 1439–1452. [Google Scholar] [CrossRef]
- Milligan, S.B.; Bodeau, J.; Yaghoobi, J.; Kaloshian, I.; Zabel, P.; Williamson, V.M. The root knot nematode resistance gene Mi from tomato is a member of the leucine zipper, nucleotide binding, leucine-rich repeat family of plant genes. Plant Cell 1998, 10, 1307–1319. [Google Scholar] [CrossRef] [PubMed]
- Simons, G.; Groenendijk, J.; Wijbrandi, J.; Reijans, M.; Diergaarde, P.; Van Der Lee, T.; Bleeker, M.; Onstenk, J.; De Both, M.; Haring, M.; et al. Dissection of the Fusarium I2 gene cluster in tomato reveals six homologs and one active gene copy. Plant Cell 1998, 10, 1055–1068. [Google Scholar] [CrossRef] [PubMed]
- Gerth, K.; Lin, F.; Daamen, F.; Menzel, W.; Heinrich, F.; Heilmann, M. Arabidopsis phosphatidylinositol 4-phosphate 5-kinase 2 contains a functional nuclear localization sequence and interacts with alpha-importins. Plant J. 2017, 92, 862–878. [Google Scholar] [CrossRef] [PubMed]
- Mei, Y.; Jia, W.J.; Chu, Y.J.; Xue, H.W. Arabidopsis phosphatidylinositol monophosphate 5-kinase 2 is involved in root gravitropism through regulation of polar auxin transport by affecting the cycling of PIN proteins. Cell Res. 2012, 22, 581–597. [Google Scholar] [CrossRef]
- Ischebeck, T.; Stenzel, I.; Hempel, F.; Jin, X.; Mosblech, A.; Heilmann, I. Phosphatidylinositol-4,5-bisphosphate influences Nt-Rac5-mediated cell expansion in pollen tubes of Nicotiana tabacum. Plant J. 2011, 65, 453–468. [Google Scholar] [CrossRef] [PubMed]
- Pulavarty, A.; Singh, A.; Smyth, D.; Mehta, J.P.; Horgan, K. Sustainable management of the potato cyst nematode, Globodera rostochiensis, with two microbial fermentation products. Front. Plant Sci. 2022, 13, 987059. [Google Scholar] [CrossRef]
- Aeschbacher, R.A.; Hauser, M.T.; Feldmann, K.A.; Benfey, P.N. The SABRE gene is required for normal cell expansion in Arabidopsis. Genes Dev. 1995, 9, 330–340. [Google Scholar] [CrossRef]

| Gene | GenBank Accession Number | Function | Primer Sequence (F; Forward and R; Reverse) | References |
|---|---|---|---|---|
| PR-1 | AF384143.1 | Pathogenesis-related 1, β-1,3-glucanases Involved in stress response and plant defence and play a role in the regulation of callose deposition and in hydrolysis of the fungal cell wall | F: CAATAACCTCGGCGTCTTCATCAC R: TTATTTACTCGCTCGGTCCCTCTG | [18] |
| PR-3 | NM_001247474.2 | Chitinase Encodes several types of endochitinases and has generally been reported to be induced by activation of the JA-signalling pathway and ethylene treatments in tomato | F: AACTATGGGCCATGTGGAAGA R: GGCTTTGGGGATTGAGGAG | [12] |
| PR-5 | NM_001247422.3 | Pathogenesis-related 5 Encodes thaumatin-like proteins and is involved in osmotic regulation of cells | F: GCAACAACTGTCCATACACC R: AGACTCCACCACAATCACC | [12] |
| JERF 3 | NM_001247533.2 | Jasmonate ethylene response factor Member of ERF proteins, a trans-acting factor responding to both ET and JA in tomato | F: GCCATTTGCCTTCTCTGCTTC R: GCAGCAGCATCCTTGTCTGA | [12] |
| ACO | XM_015225653.2 | 1-Aminocyclopropane-1-carboxylic acidoxidase Enzyme catalyses the last step of ethylene biosynthesis | F: CCATCATTTCTCCAGCATCA R: TTGGCAGACTCAAATCTAGG | [12] |
| CAT | NM_001247257.2 | Catalase 2 Neutralizes the toxic hydrogen peroxides produced in plant defence against pathogens and parasites | F: TGCTCCAAAGTGTGCTCATC R: TTGCATCCTCCTCTGAAACC | [12] |
| Actin | NM_001321306.1 | Actin-7-like Housekeeping gene | F: GATACCTGCAGCTTCCATACC R: GCTTTGCCGCATGCCATTCT | [12] |
| Protein Spots | Sequence | Name of Protein | NCBI Reference Sequence | Percent Identity | Reference |
|---|---|---|---|---|---|
| Protein spot 1 | EVRSF | disease resistance protein RPP13-like | XP_010319326.1 | 100% | NCBI|PBLAST |
| Protein spot 2 | FQVDP | phosphatidylinositol 4-phosphate 5-kinase 2 | XP_004250336.1 | 100% | NCBI|PBLAST |
| Protein spot 3 | VEPA | protein SABRE-like | XP_015060204.1 | 100% | NCBI|PBLAST |
| Protein spot 4 | KVMPFEA | uncharacterized protein LOC101250254 | XP_004230480.1 | 100% | NCBI|PBLAST |
Disclaimer/Publisher’s Note: The statements, opinions and data contained in all publications are solely those of the individual author(s) and contributor(s) and not of MDPI and/or the editor(s). MDPI and/or the editor(s) disclaim responsibility for any injury to people or property resulting from any ideas, methods, instructions or products referred to in the content. |
© 2023 by the authors. Licensee MDPI, Basel, Switzerland. This article is an open access article distributed under the terms and conditions of the Creative Commons Attribution (CC BY) license (https://creativecommons.org/licenses/by/4.0/).
Share and Cite
Pulavarty, A.; Singh, A.; Young, K.; Horgan, K.; Kakouli-Duarte, T. Investigating the Effects of Alltech Crop Science (ACS) Products on Plant Defence against Root-Knot Nematode Infestation. Microorganisms 2023, 11, 1700. https://doi.org/10.3390/microorganisms11071700
Pulavarty A, Singh A, Young K, Horgan K, Kakouli-Duarte T. Investigating the Effects of Alltech Crop Science (ACS) Products on Plant Defence against Root-Knot Nematode Infestation. Microorganisms. 2023; 11(7):1700. https://doi.org/10.3390/microorganisms11071700
Chicago/Turabian StylePulavarty, Anusha, Ankit Singh, Kira Young, Karina Horgan, and Thomais Kakouli-Duarte. 2023. "Investigating the Effects of Alltech Crop Science (ACS) Products on Plant Defence against Root-Knot Nematode Infestation" Microorganisms 11, no. 7: 1700. https://doi.org/10.3390/microorganisms11071700
APA StylePulavarty, A., Singh, A., Young, K., Horgan, K., & Kakouli-Duarte, T. (2023). Investigating the Effects of Alltech Crop Science (ACS) Products on Plant Defence against Root-Knot Nematode Infestation. Microorganisms, 11(7), 1700. https://doi.org/10.3390/microorganisms11071700

