Antifungal Activity of Phyllospheric Bacteria Isolated from Coffea arabica against Hemileia vastatrix
Abstract
1. Introduction
2. Materials and Methods
2.1. Isolation of Bacteria
2.2. Determination of Phyllospheric Bacterial Populations
2.3. In Vitro Antifungal Activity Assay against M. citricolor and Colletotrichum sp.
2.4. DNA Extraction and 16s Ribosomal RNA Gene-Based Phylogenetic Analysis
2.5. Inhibitory Effects of Phyllospheric Bacterial Isolates on the In Vitro Germination of H. vastatrix Urediniospores
2.6. Foliar Application of Selected Isolates in Coffee Plants var. Caturra Roja
3. Results
3.1. Microbial Population and Isolation of Phyllospheric Bacteria
3.2. Selection of Fungal Antagonists Using Coffee Phytopathogenic Fungi
3.3. Phylogenetic Analysis of Selected Isolates
3.4. Inhibitory Effect of the Isolates on the Urediniospores Germination Percentage
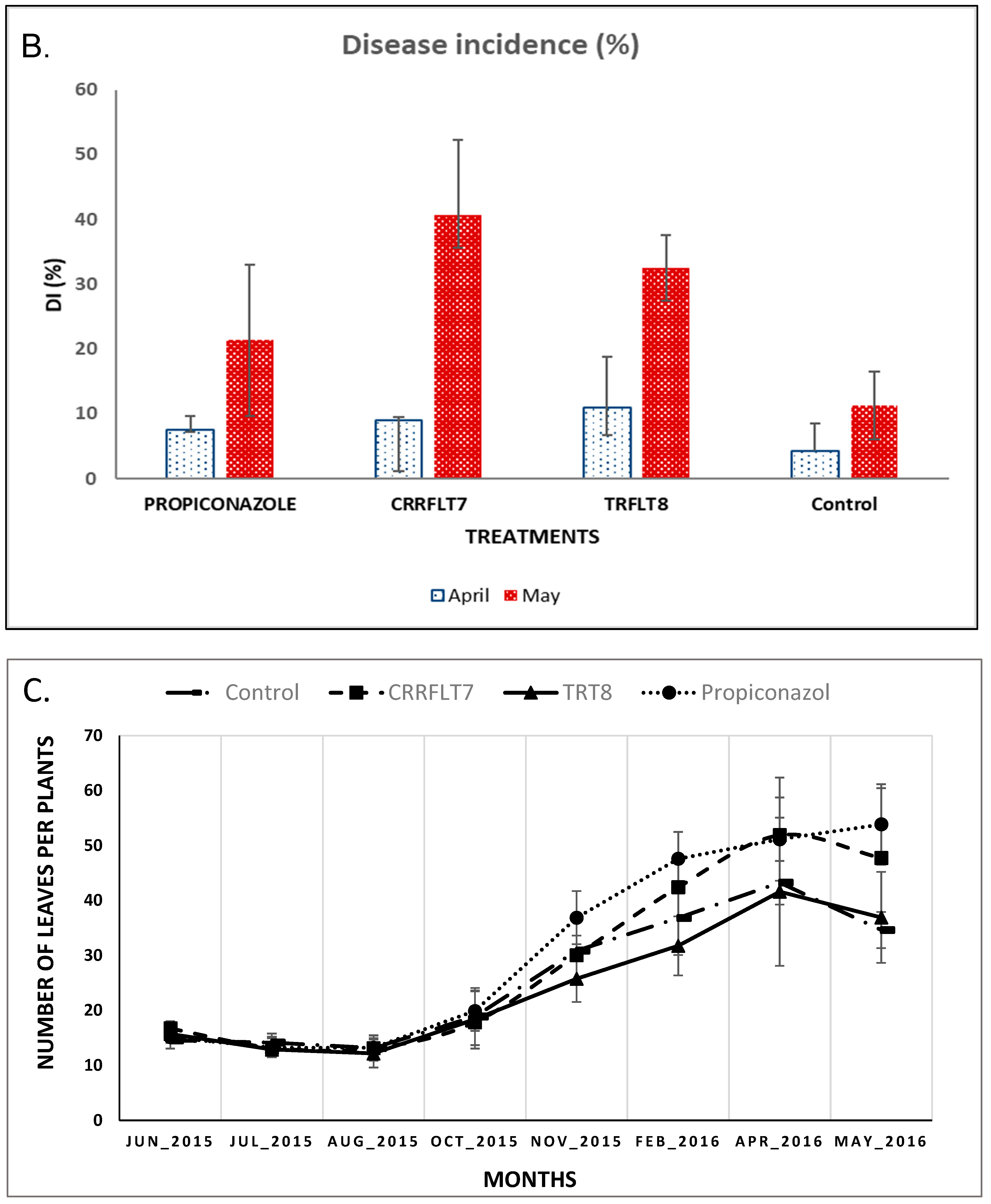
3.5. Evaluation of Two Isolates as Coffee Rust Biocontrol under Field Conditions
4. Discussion
5. Conclusions
Supplementary Materials
Author Contributions
Funding
Data Availability Statement
Acknowledgments
Conflicts of Interest
References
- Ponte, S. The ‘Latte Revolution’ Regulation, Markets and Consumption in the Global Coffee Chain. World Dev. 2002, 30, 1099–1122. [Google Scholar] [CrossRef]
- JNC (Junta Nacional del Café). Noticias. 2019. Available online: https://juntadelcaf.org.pe/produccion-y-exportaciones-de-cafe-apuntan-a-ser-mejores-durante-el-2021/ (accessed on 31 May 2021).
- USAID (United States Agency for International Development). Sustainable Development. 2023. Available online: https://www.usaid.gov/peru/sustainable-development (accessed on 5 October 2023).
- UNDP (United Nations Development Programme). Perking up the Coffee Business. 2017. Available online: https://stories.undp.org/perking-up-the-coffee-business (accessed on 11 June 2018).
- Inbound Peru. Peru among World’s Top Ten Arabica Coffee Producers. 2023. Available online: https://inboundperu.com/2023/08/28/peru-among-worlds-top-ten-arabica-coffee-producers/13080/ (accessed on 1 December 2023).
- JNC (Junta Nacional del Café). Cafetalero. 2018. Available online: https://juntadelcafe.org.pe/wp-content/uploads/2019/07/cafetalero-ultimo-1.pdf (accessed on 5 October 2023).
- Martinho, V.J.P.D. Exploring the Topics of Soil Pollution and Agricultural Economics: Highlighting Good Practices. Agriculture 2020, 10, 24. [Google Scholar] [CrossRef]
- Nicolopoulou-Stamati, P.; Maipas, S.; Kotampasi, C.; Stamatis, P.; Hens, L. Chemical Pesticides and Human Health: The Urgent Need for a New Concept in Agriculture. Front. Public Health 2016, 4, 148. [Google Scholar] [CrossRef] [PubMed]
- Vorhol Thompson, I.P.; Bailey, M.J.; Fenlon, J.; Fermor, T.R.; Lilley, A.K.; Lynch, J.M.; McCormack, P.J.; McQuilken, M.P. Quantitative and qualitative seasonal change in the microbial community from the phyllosphere of sugar beet (Beta vulgaris). Plant Soil 1993, 150, 177–191. [Google Scholar] [CrossRef]
- Vorholt, J.A. Microbial life in the phyllosphere. Nat. Rev. 2012, 10, 828–840. [Google Scholar] [CrossRef] [PubMed]
- Salas-Bastos, A. Aislamiento e Identificación de Endófitos y Epífitos en Hojas de Café Colectadas en Dos Zonas de Costa Rica y su Posible Empleo Como Biocontroladores de Mycena citricolor. Bachelor’s Thesis, Escuela de Biología, Instituto Tecnológico de Costa Rica, Cartago, Costa Rica, 2010; p. 113. [Google Scholar]
- Haddad, F.; Maffia, L.A.; Mizubuti, E.S.G.; Teixeira, H. Biological control of coffee rust by antagonistic bacteria under field conditions in Brazil. Biol. Control 2009, 49, 114–119. [Google Scholar] [CrossRef]
- Idris, H.; Labuschagne, N.; Korsten, L. Screening rhizobacteria for biological control of Fusarium root and crown rot of sorghum in Ethiopia. Biol. Control 2007, 40, 97–106. [Google Scholar] [CrossRef]
- Weisburg, W.G.; Barns, S.M.; Pelletier, D.A.; Lane, D.J. 16S ribosomal DNA amplification for phylogenetic study. J. Bacteriol. 1991, 173, 697–703. [Google Scholar] [CrossRef]
- Hall, T.A. BioEdit: A user-friendly biological sequence alignment editor and analysis program for Windows 95/98/NT. Nucleic Acids Symp. Ser. 1999, 41, 95–98. [Google Scholar]
- Larkin, M.A.; Blackshields, G.; Brown, N.P.; Chenna, R.; McGettiga, P.A.; McWilliam, H.; Valentin, F.; Wallace, I.M.; Wilm, A.; Lopez, R.; et al. Clustal W and Clustal X version 2.0. Bioinformatics 2007, 223, 2947–2948. [Google Scholar] [CrossRef]
- Saitou, N.; Nei, M. The neighbor-joining method: A new method for reconstructing phylogenetic trees. Mol. Biol. Evol. 1987, 4, 406–425. [Google Scholar] [PubMed]
- Tamura, K.; Stecher, G.; Peterson, D.; Filipski, A.; Kumar, S. MEGA6: Molecular Evolutionary Genetics Analysis version 6.0. Mol. Biol. Evol. 2013, 30, 2725–2729. [Google Scholar] [CrossRef] [PubMed]
- Franco, H.; Alves, H.; Soares, I.; Vieira, F.; Bettiol, W. Bioprospecting endophytic bacteria for biological control of coffee leaf rust. Sci. Agric. 2006, 63, 32–39. [Google Scholar]
- Haddad, F.; Saraiva, R.; Mizubuti, E.; Romeiro, R.; Maffia, L. Antifungal compounds as a mechanism to control Hemileia vastatrix by antagonistic bacteria. Trop. Plant Pathol. 2013, 38, 398–405. [Google Scholar] [CrossRef]
- Freitas, G.d.S.; Moreira, A.; Prudencio, M.F.; Hungria, M.; Soares Filho, C.V. Foliar Spray Inoculation with Plant Growth Promoting Bacteria Associated with Nitrogen Dosees in Megathyrsus maximus cv. BRS Zuri. Agronomy 2023, 13, 1040. [Google Scholar] [CrossRef]
- Fu, H.Z.; Marian, M.; Enommoto, T.; Hieno, A.; Ina, H.; Suga, H.; Shimizu, M. Biocontrol of Tomato Bacterial Wilt by Foliar Spray Application of a Novel Strain of Endophytic Bacillus sp. Microbes Environ. 2020, 35, ME200789. [Google Scholar] [CrossRef]
- Gashaw, G.; Alemu, T.; Tesfaye, K. Evaluation of disease incidence and severity and yield loss of finger millet varieties and mycelial growth inhibition of Pyricularia grisea isolates using biological antagonists and fungicides in vitro condition. J. Appl. Biosci. 2014, 73, 5883–5901. [Google Scholar]
- Durairaj, C.G.; Karthikeyan Ganapathy, N.; Karuppuchamy, P. Predisposition effect of Liriomyza trifolii damage to Alternaria leaf spot disease in tomato. Karnataka J. Agric. Sci. 2010, 23, 161–162. [Google Scholar]
- González-Vázquez, A.; Alcántara-Sánchez, D. Calidad organoléptica de variedades tradicionales élite de Coffea arabica L. en Chiapas, México. Cienc. Lat. Rev. Cient. Mult. 2022, 6, 5218–5231. [Google Scholar] [CrossRef]
- Juárez-González, T.; Maldonado-Astudillo, Y.I.; González-Mateos, R.; Ramírez-Sucre, M.O.; Álvarez-Fitz, P.; Salazar, R. Caracterización fisicoquímica y sensorial de café de la montaña de Guerrero. Rev. Mex. Cienc. Agrícolas 2021, 12, 1057–1069. [Google Scholar] [CrossRef]
- Alvarado, L.; Vértiz, R.; Jimenez, J.; Borjas, B.; Castro, V.; Julca-Otiniano, A. Caracterización agronómica de 95 accesiones en el banco de germoplasma de café en Chanchamayo (Perú), año 2016. Rev. ECI Peru 2017, 14, 41–49. [Google Scholar]
- World Coffee Research. Arabica Coffee Varieties. Available online: https://varieties.worldcoffeeresearch.org/es/varieties (accessed on 1 May 2019).
- Van Der Vossen, H. The cup quality of disease-resistant cultivars of Arabica coffee (Coffea arabica). Expl. Agric. 2009, 45, 323–332. [Google Scholar] [CrossRef]
- Julca-Otiniano, A.; Alarcón-Águila, G.; Alvarado-Huamán, L.; Borjas-Ventura, R.; Castro-Cepero, V. Comportamiento de tres cultivares de café (Catimor, Colombia y Costa Rica 95) en el valle de el Perené, Junín, Perú. Chil. J. Agric. Anim. 2018, 34, 205–215. [Google Scholar] [CrossRef]
- Ahmed, S.; Brinkley, S.; Smith, E.; Sela, A.; Theisen, M.; Thibodeau, C.; Warne, T.; Anderson, E.; Van Dusen, N.; Giuliano, P.; et al. Climate Change and Coffee Quality: Systematic Review on the Effects of Environmental and Management Variation on Secondary Metabolites and Sensory Attributes of Coffea arabica and Coffea canephora. Front. Plant Sci. 2021, 12, 708013. [Google Scholar] [CrossRef]
- Marroquín Miranda de Hernández, L.A. Evaluación del Perfil de Taza y de las Características Químicas de Cultivares de Café Derivados de la Variedad Catimor Resistentes a la Roya del Cafeto (Hemileia vastatrix), Comparados con las Variedades Utilizadas Comúnmente, en las Verapaces. Master’s Thesis, Facultad de Ingeniería, Universidad del Valle de Guatemala, Guatemala City, Guatemala, 2014. [Google Scholar]
- Arciniegas-Grijalba, P.A.; Patiño-Portela, M.C.; Mosquera-Sánchez, L.; Guerra Sierra, B.E.; Muñoz-Florez, J.E.; Erazo-Castillo, L.A.; Rodríguez-Páez, J.E. ZnO-based nanofungicides: Synthesis, characterization and their effect on the coffee fungi Mycena citricolor and Colletotrichum sp. Mater. Sci. Eng. C 2019, 98, 808–825. [Google Scholar] [CrossRef]
- Mina, D.; Pereira, J.A.; Lino-Neto, T. Epiphytic and Endophytic Bacteria on Olive Tree Phyllosphere: Exploring Tissue and Cultivar Effect. Microb. Ecol. 2020, 80, 145–157. [Google Scholar] [CrossRef]
- Huang, S.; Zha, X.; Fu, G. Affecting Factors of Plant Phyllosphere Microbial Community and Their Responses to Climatic Warming—A Review. Plants 2023, 12, 2891. [Google Scholar] [CrossRef]
- Sasirekhamani Ebenezer, P.; Vijayan, V.; Nirmal Nevedhana, K.B. The consequences of inhibition of ergosterol biosynthesis in Sclerotinia sclerotiorum (Lib) de bary by propiconazole. Int. J. Curr. Res. 2013, 5, 2022–2027. [Google Scholar]
- Ibrahim, E.; Nasser, R.; Hafeez, R.; Ogunyemi, S.O.; Abdallah, Y.; Khattak, A.A.; Shou, L.; Zhang, Y.; Ahmed, T.; Atef Hatamleh, A.; et al. Biocontrol Efficacy of Endophyte Pseudomonas poae to Alleviate Fusarium Seedling Blight by Refining the Morpho-Physiological Attributes of Wheat. Plants 2023, 12, 2277. [Google Scholar] [CrossRef]
- Khan, A.; Singh, P.; Kumar, R.; Das, S.; Singh, R.K.; Mina, U.; Agrawal, G.K.; Rakwal, R.; Sarkar, A.; Srivastava, A. Antifungal Activity of Siderophore Isolated from Escherichia coli against Aspergillus nidulans via Iron-Mediated Oxidative Stress. Front. Microbiol. 2021, 3, 729032. [Google Scholar] [CrossRef]
- Mohamadpoor, M.; Amini, J.; Ashengroph, M.; Azizi, A. Evaluation of biocontrol potential of Achromobacer xylosoxidans strain CTA8689 against common bean root rot. Physiol. Mol. Plant. Pathol. 2022, 117, 101769. [Google Scholar] [CrossRef]
- Yuliar, R.; Nuramida, N.; Salmah, A. Beneficial effect of Achromobacter insolitus MB20 and manures in reducing Pythium aphanidermatum disease in cucumber. IOP Conf. Ser. Earth Environ. Sci. 2021, 948, 012053. [Google Scholar] [CrossRef]
- Kumari, K.; Rawat, V.; Shadan, A.; Sharma, P.K.; Deb, S.; Singh, R.P. In-depth genome and pan-genome analysis of a metal-resistant bacterium Pseudomonas parafulva OS-1. Front. Microbiol. 2023, 14, 1140249. [Google Scholar] [CrossRef]
- Almeida, O.A.C.; De Araujo, N.O.; Mulato, A.T.N.; Persinoti, G.F.; Sforça, M.L.; Calderan-Rodrigues, M.J.; Oliveira, J.V.d.C. Bacterial volatile organic compounds (VOCs) promote growth and induce metabolic changes in rice. Front. Plant Sci. 2023, 13, 1056082. [Google Scholar] [CrossRef]
- Veschetti, L.; Sandri, A.; Patuzzo, C.; Melotti, P.; Malerba, G.; Lleo, M.M. Genomic characterization of Achromobacter species isolates from chronic and occasional lung infection in cystic fibrosis patients. Microb. Genom. 2021, 7, 000606. [Google Scholar] [CrossRef]




| SAMPLE | Endophytes | Epiphytes | |
|---|---|---|---|
| Aerobic Bacteria (CFU/g Leaf) | Aerobic Bacteria (CFU/g Leaf) | Sporogenic Bacteria (CFU/g Leaf) | |
| CS | 13 × 103 | 13 × 104 | 23 × 102 | 
| CRS | 0 | 40 × 103 | 50 | 
| CRR | 0 | 14 × 105 | 0 | 
| TS | 2 × 10 | 16 × 104 | 0 | 
| TR | 21 × 105 | 52 × 109 | 28 × 10 | 
| TREATMENTS | Origin | In Vitro Antagonistic Activity Inhibition (%) | Phylogenetic Analysis | |||
|---|---|---|---|---|---|---|
| M. citricolor | Colletrotrichum sp. | Closely Related Taxa Identified by 16s RNAr GenBank | Similarity (%) | Accession Number | ||
| CSEDT7 | endophyte | 42.2 de | 19.8 i | Luteibacter anthropi CCUG 25036(T) | 99.6 | FM212561 | 
| CSFLT6 | epiphyte | 35.6 bc | 1.1 ab | Luteibacter anthropi CCUG 25036(T) | 98.8 | FM212561 | 
| CSFLT4 | epiphyte | 44.4 e | 9.8 g | Achromobacter insuavis LMG 26845(T) | 99.6 | HF586506 | 
| TSFLT2 | epiphyte | 37.8 bcd | 3.8 cd | Achromobacter insuavis LMG 26845(T) | 100 | HF586506 | 
| TSFLT10 | epiphyte | 33.3 b | 3.0 bc | Achromobacter insuavis LMG 26845(T) | 99.9 | HF586506 | 
| TSFLT8 | epiphyte | 33.3 b | 3.8 cd | Achromobacter insuavis LMG 26845(T) | 100 | HF586506 | 
| TSFLT4 | epiphyte | 33.33 b | 13.0 h | Achromobacter insuavis LMG 26845(T) | 99.9 | HF586506 | 
| CRRFLT6 | epiphyte | 35.6 bc | 3.0 bc | Achromobacter insuavis LMG 26845(T) | 99.7 | HF586506 | 
| TSFLT3 | epiphyte | 35.6 bc | 5.7 def | Achromobacter insuavis LMG 26845(T) | 99.9 | HF586506 | 
| CSFLT5 | epiphyte | 44.4 e | 2.4 bc | Achromobacter insuavis LMG 26845(T) | 100 | HF586506 | 
| CRRFLT8 | epiphyte | 38.9 cd | 7.7 f | Achromobacter insuavis LMG 26845(T) | 99.9 | HF586506 | 
| CRRFLT5 | epiphyte | 38.9 cd | 12.6 h | Rhodococcus cercidiphylli YIM 65003(T) | 98.7 | EU325542 | 
| CRRFLT7 | epiphyte | 38.9 cd | 6.2 ef | Pseudomonas parafulva AJ 2129(T) | 99.5 | AB060132 | 
| TRFLT8 | epiphyte | 36.7 bc | 5.1 de | Achromobacter marplatensis B2(T) | 99.6 | EU150134 | 
| control | -------- | 0.00 a | 0.00 a | ------------------------ | -------- | -------------- | 
| Treatment | Closed Related Taxa (16s RNAr Gene) | Uredinopores Germination (%) | 
|---|---|---|
| CSEDT7 | Luteibacter anthropi | 13.87 ab † (65.32) †† | 
| CSFLT6 | Luteibacter rhizovicinus | 14.14 ab (64.64) | 
| CSFLT4 | Achromobacter xylosoxidans | 22.59 b (43.49) | 
| CRRFLT5 | Rhodococcus cercidiphylli | 9.2 a (76.99) | 
| CRRFLT7 | Pseudomonas parafulva | 7.38 a (81.54) | 
| TRFLT8 | Achromobacter insuavis | 5.68 a (85.81) | 
| TSFLT2 | Achromobacter insuavis | 14.28 ab (64.29) | 
| Control químico | - | 3.58 a (91.05) | 
| Control- | - | 39.98 c | 
| Disclaimer/Publisher’s Note: The statements, opinions and data contained in all publications are solely those of the individual author(s) and contributor(s) and not of MDPI and/or the editor(s). MDPI and/or the editor(s) disclaim responsibility for any injury to people or property resulting from any ideas, methods, instructions or products referred to in the content. | 
© 2024 by the authors. Licensee MDPI, Basel, Switzerland. This article is an open access article distributed under the terms and conditions of the Creative Commons Attribution (CC BY) license (https://creativecommons.org/licenses/by/4.0/).
Share and Cite
Ogata-Gutiérrez, K.; Chumpitaz-Segovia, C.; Lirio-Paredes, J.; Zúñiga-Dávila, D. Antifungal Activity of Phyllospheric Bacteria Isolated from Coffea arabica against Hemileia vastatrix. Microorganisms 2024, 12, 582. https://doi.org/10.3390/microorganisms12030582
Ogata-Gutiérrez K, Chumpitaz-Segovia C, Lirio-Paredes J, Zúñiga-Dávila D. Antifungal Activity of Phyllospheric Bacteria Isolated from Coffea arabica against Hemileia vastatrix. Microorganisms. 2024; 12(3):582. https://doi.org/10.3390/microorganisms12030582
Chicago/Turabian StyleOgata-Gutiérrez, Katty, Carolina Chumpitaz-Segovia, Jesus Lirio-Paredes, and Doris Zúñiga-Dávila. 2024. "Antifungal Activity of Phyllospheric Bacteria Isolated from Coffea arabica against Hemileia vastatrix" Microorganisms 12, no. 3: 582. https://doi.org/10.3390/microorganisms12030582
APA StyleOgata-Gutiérrez, K., Chumpitaz-Segovia, C., Lirio-Paredes, J., & Zúñiga-Dávila, D. (2024). Antifungal Activity of Phyllospheric Bacteria Isolated from Coffea arabica against Hemileia vastatrix. Microorganisms, 12(3), 582. https://doi.org/10.3390/microorganisms12030582
 
        




 
       