Biofilm Production by Enterotoxigenic Strains of Bacillus cereus in Different Materials and under Different Environmental Conditions
Abstract
:1. Introduction
2. Materials and Methods
2.1. Study Group
2.2. Molecular Identification and Toxin Gene Profiling of B. cereus Isolates
2.3. Biofilm Production
2.4. Motility Determination
2.5. Determination of Genes Related to Biofilm Production in Bacillus cereus
2.6. Statistical Analysis
3. Results
3.1. Molecular Characterization of Group B. cereus Strains
3.2. Biofilm Production
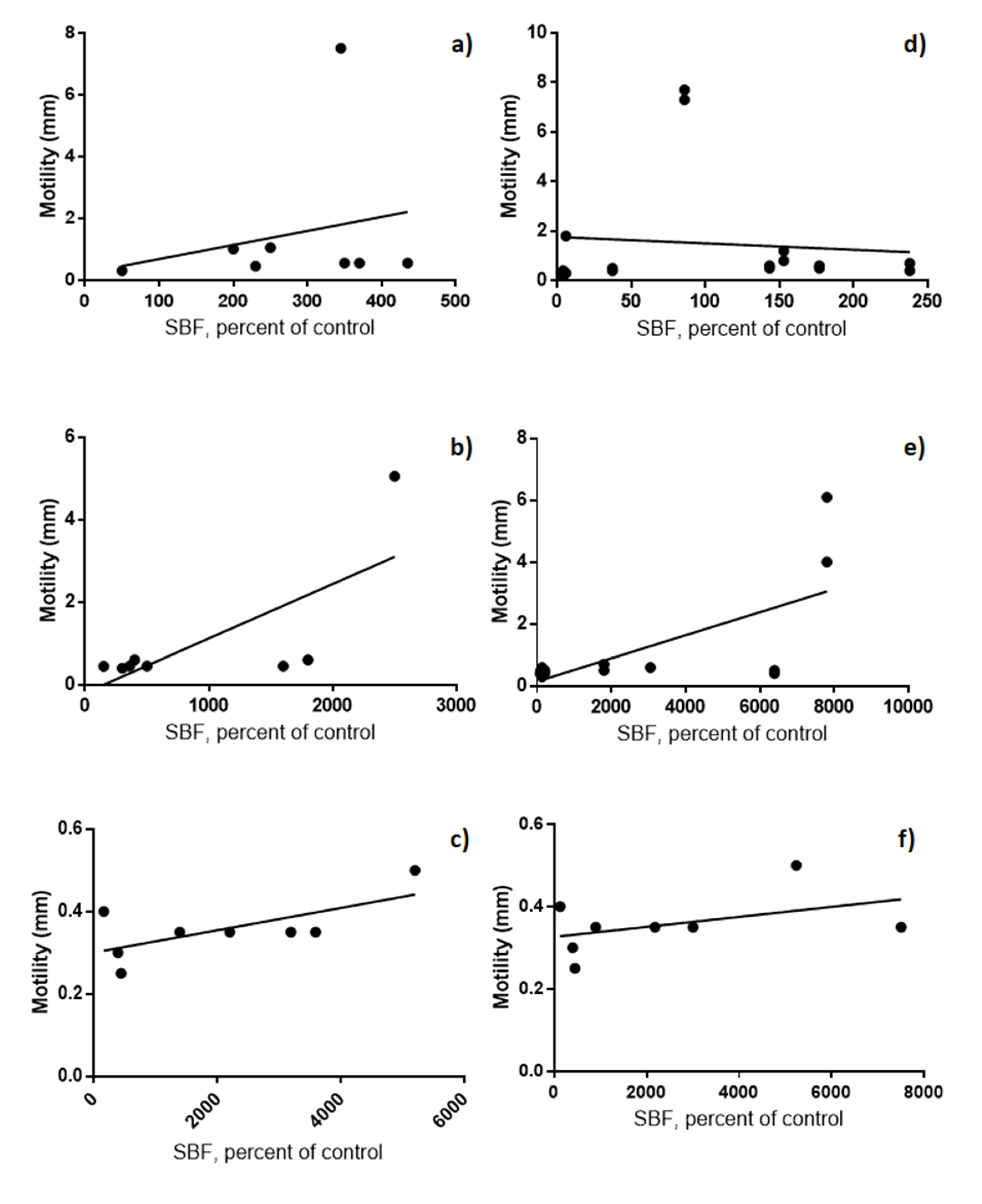
3.3. Biofilm Production and Motility
3.4. Determination of Genes Related to Biofilm Production in Bacillus cereus
4. Discussion
Author Contributions
Funding
Acknowledgments
Conflicts of Interest
References
- Giaouris, E.; Heir, E.; Desvaux, M.; Hébraud, M.; Møretrø, T.; Langsrud, S.; Doulgeraki, A.; Nychas, G.J.; Kačániová, M.; Czaczyk, K.; et al. Intra- and inter-species interactions within biofilms of important foodborne bacterial pathogens. Front. Microbiol. 2015, 6, 841. [Google Scholar] [CrossRef]
- Galie, S.; Garcia-Gutierrez, C.; Miguelez, E.M.; Villar, C.J.; Lombo, F. Biofilms in the Food Industry: Health Aspects and Control Methods. Front. Microbiol. 2018, 9, 898. [Google Scholar] [CrossRef] [PubMed]
- Bottone, E.J. Bacillus cereus, a volatile human pathogen. Clin. Microbiol. Rev. 2010, 23, 382–398. [Google Scholar] [CrossRef] [Green Version]
- Auger, S.; Ramarao, N.; Faille, C.; Fouet, A.; Aymerich, S.; Gohar, M. Biofilm Formation and Cell Surface Properties among Pathogenic and Nonpathogenic Strains of the Bacillus cereus Group. Appl. Environ. Microbiol. 2009, 75, 6616–6618. [Google Scholar] [CrossRef] [Green Version]
- Ehling-Schulz, M.; Frenzel, E.; Gohar, M. Food–bacteria interplay: Pathometabolism of emetic Bacillus cereus. Front. Microbiol. 2015, 6, 704. [Google Scholar] [CrossRef] [PubMed] [Green Version]
- Ruan, L.; Crickmore, N.; Peng, D.; Sun, M. Are nematodes a missing link in the confounded ecology of the entomopathogen Bacillus thuringiensis? Trends Microbiol. 2015, 23, 341–346. [Google Scholar] [CrossRef]
- Fagerlund, A.; Dubois, T.; Økstad, O.A.; Verplaetse, E.; Gilois, N.; Bennaceur, I.; Perchat, S.; Gominet, M.; Aymerich, S.; Kolstø, A.B.; et al. SinR Controls Enterotoxin Expression in Bacillus thuringiensis Biofilms. PLoS ONE 2014, 9, e87532. [Google Scholar] [CrossRef]
- Hayrapetyan, H.; Muller, L.; Tempelaars, M.; Abee, T.; Nierop Groot, M. Comparative analysis of biofilm formation by Bacillus cereus reference strains and undomesticated food isolates and the effect of free iron. Int. J. Food Microbiol. 2015, 200, 72–79. [Google Scholar] [CrossRef]
- Wijman, J.G.E.; de Leeuw, P.P.L.A.; Moezelaar, R.; Zwietering, M.H.; Abee, T. Air-Liquid Interface Biofilms of Bacillus cereus: Formation, Sporulation, and Dispersion. Appl. Environ. Microbiol. 2007, 73, 1481–1488. [Google Scholar] [CrossRef] [PubMed] [Green Version]
- Stenfors Arnesen, L.P.; Fagerlund, A.; Granum, P.E. From soil to gut: Bacillus cereus and its food poisoning toxins. FEMS Microbiol. Rev. 2008, 32, 579–606. [Google Scholar] [CrossRef] [Green Version]
- Caro-Astorga, J.; Pérez-García, A.; de Vicente, A.; Romero, D. A genomic region involved in the formation of adhesin fibers in Bacillus cereus biofilms. Front. Microbiol. 2015, 5, 745. [Google Scholar] [CrossRef] [PubMed] [Green Version]
- Wei, S.; Chelliah, R.; Park, B.J.; Park, J.H.; Forghani, F.; Park, Y.S.; Cho, M.S.; Park, D.S.; Oh, D.H. Molecular discrimination of Bacillus cereus group species in foods (lettuce, spinach, and kimbap) using quantitative real-time PCR targeting groEL and gyrB. Microb. Pathog. 2018, 115, 312–320. [Google Scholar] [CrossRef]
- Ehling-Schulz, M.; Guinebretiere, M.H.; Monthan, A.; Berge, O.; Fricker, M.; Svensson, B. Toxin gene profiling of enterotoxic and emetic Bacillus cereus. FEMS Microbiol. Lett. 2006, 260, 232–240. [Google Scholar] [CrossRef] [PubMed] [Green Version]
- Adame-Gómez, R.; Muñoz-Barrios, S.; Castro-Alarcón, N.; Leyva-Vázquez, M.A.; Toribio-Jiménez, J.; Ramírez-Peralta, A. Prevalence of the Strains of Bacillus cereus Group in Artisanal Mexican Cheese. Foodborne pathog. Dis. 2020, 17, 8–14. [Google Scholar] [CrossRef]
- Oltuszak-Walczak, E.; Walczak, P. PCR detection of cytK gene in Bacillus cereus group strains isolated from food samples. J. Microbiol. Methods. 2013, 95, 295–301. [Google Scholar] [CrossRef] [PubMed]
- Castelijn, G.A.A.; van der Veen, S.; Zwietering, M.H.; Moezelaar, R.; Abee, T. Diversity in biofilm formation and production of curli fimbriae and cellulose of Salmonella Typhimurium strains of different origin in high and low nutrient medium. Biofouling 2012, 28, 51–63. [Google Scholar] [CrossRef]
- Niu, C.; Gilbert, E.S. Colorimetric method for identifying plant essential oil components that affect biofilm formation and structure. Appl. Environ. Microbiol. 2004, 70, 6951–6956. [Google Scholar] [CrossRef] [Green Version]
- Okshevsky, M.; Louw, M.G.; Lamela, E.O.; Nilsson, M.; Tolker-Nielsen, T.; Meyer, R.L. A transposon mutant library of Bacillus cereus ATCC 10987 reveals novel genes required for biofilm formation and implicates motility as an important factor for pellicle-biofilm formation. MicrobiologyOpen 2018, 7, e00552. [Google Scholar] [CrossRef]
- Majed, R.; Faille, C.; Kallassy, M.; Gohar, M. Bacillus cereus Biofilms—Same, Only Different. Front. Microbiol. 2016, 7, 1054. [Google Scholar] [CrossRef]
- Rajkovic, A.; Uyttendaele, M.; Dierick, K.; Samapundo, S.; Botteldoorn, N.; Mahillon, J.; Marc, H. “Risk Profile of the Bacillus Cereus Group Implicated in Food Poisoning”; Report for Superior Health Council Belgium: Belgium 2008. p. 80. Available online: https://www.health.belgium.be/sites/default/files/uploads/fields/fpshealth_theme_file/19060475/Risico-profiel%20voor%20Bacillus%20cereus%20Groep%20in%20voedsel%20toxi-infecties%3A%20situatie%20in%20België%20en%20aanbevelingen%20%5BBijlage%5D%20%28januari%202010%29%20%28HGR%208316%29.pdf (accessed on 1 July 2020).
- Hussain, M.S.; Kwon, M.; Oh, D.H. Impact of manganese and heme on biofilm formation of Bacillus cereus food isolates. PLoS ONE 2018, 13, e0200958. [Google Scholar] [CrossRef]
- Hussain, M.S.; Oh, D.H. Impact of the Isolation Source on the Biofilm Formation Characteristics of Bacillus cereus. J. Microbiol. Biotechnol. 2018, 28, 77–86. [Google Scholar] [CrossRef] [PubMed] [Green Version]
- Kwon, M.; Hussain, M.S.; Oh, D.H. Biofilm formation of Bacillus cereus under food-processing-related conditions. Food Sci. Biotechnol. 2017, 26, 1103–1111. [Google Scholar] [CrossRef] [PubMed]
- Caro-Astorga, J.; Frenzel, E.; Perkins, J.R.; Álvarez-Mena, A.; de Vicente, A.; Ranea, J.; Kuipers, O.P.; Romero, D. Biofilm formation displays intrinsic offensive and defensive features of Bacillus cereus. NPJ Biofilms Microbiomes. 2020, 6, 3. [Google Scholar] [CrossRef] [PubMed] [Green Version]
- Gao, T.; Ding, Y.; Wu, Q.; Wang, J.; Zhang, J.; Yu, S.; Yu, P.; Liu, C.; Kong, L.; Feng, Z.; et al. Prevalence, Virulence Genes, Antimicrobial Susceptibility, and Genetic Diversity of Bacillus cereus Isolated From Pasteurized Milk in China. Front. Microbiol. 2018, 9, 533. [Google Scholar] [CrossRef] [Green Version]
- Vilain, S.; Pretorius, J.M.; Theron, J.; Brozel, V.S. DNA as an Adhesin: Bacillus cereus Requires Extracellular DNA To Form Biofilms. Appl. Environ. Microbiol. 2009, 75, 2861–2868. [Google Scholar] [CrossRef] [PubMed] [Green Version]
- USA FOOD & DRUG ADMINISTRATION. Available online: https://www.accessdata.fda.gov/scripts/cdrh/cfdocs/cfcfr/cfrsearch.cfm (accessed on 1 July 2020).
- Houry, A.; Briandet, R.; Aymerich, S.; Gohar, M. Involvement of motility and flagella in Bacillus cereus biofilm formation. Microbiology 2010, 156, 1009–1018. [Google Scholar] [CrossRef] [PubMed] [Green Version]




| Gene | Primer Sequences | PCR Cycling Conditions | Reference |
|---|---|---|---|
| gyrB | F- GCC CTG GTA TGT ATA TTG GAT CTA C R- GGT CAT AAT AAC TTC TAC AGC AGG A | Initial denaturation of 2 min at 94 °C, followed by 30 cycles at 94 °C for 30 s at, 52 °C for 1 min and 72 °C for 30 s, and final elongation at 72 °C for 10 min. | [12] |
| nheABC | F- AAG CIG CTC TTC GIA TTC R- ITI GTT GAA ATA AGC TGT GG | Initial denaturation of 5 min at 94 °C, followed by 30 cycles at 94 °C for 30 s, 49 °C for 1 min and at 72 °C for 1 min, and final elongation at 72 °C for 5 min | [13] |
| hblABD |
F-GTA AAT TAI GAT GAI CAA TTT C R- AGA ATA GGC ATT CAT AGA TT | ||
| ces |
F- TTG TTG GAA TTG TCG CAG AG R-GTA AGC GGA CCT GTC TGT AAC AAC | Initial denaturation of 2 min at 94 °C, followed by 30 cycles at 94 °C for 30 s at, 52 °C for 1 min and 72 °C for 30 s and a final elongation at 72 °C for 10 min | [13] |
| cytK-plcR |
P1- CAA AAC TCT ATG CAA TTA TGC AT P3- ACC AGT TGT ATT AAT AAC GGC AAT C | [15] | |
| tasA |
F- AGC AGC TTT AGT TGG TGG AG R-GTA ACT TAT CGC CTT GGA ATTG | Initial denaturation of 5 min at 94 °C, followed by 40 cycles at 94 °C for 30 s, 59 °C for 45 s and 72 °C for 45 s, and final elongation at 72 °C for 5 min | [11] |
| sipW | F- AGA TAA TTA GCA ACG CGA TCTC R- AGA AAT AGC GGA ATA ACC AAGC | Initial denaturation of 5 min at 94 °C, followed by 40 cycles at 94 °C for 30 s, 54 °C for 45 s, and 72 °C for 45 s, and a final elongation at 72 °C for 5 min |
| Strain | Source | Biofilm | Enterotoxin Profile * | sipW * | tasA * | ||||
|---|---|---|---|---|---|---|---|---|---|
| Glass | PS | PE | PVC | PVC/Glass | |||||
| 13 | PIF | b, c | b, c | a, b, c | a, b, c | nhe, cytk | - | - | |
| 30 | PIF | a, b, c | b | a, b, c | a, b, c | hbl, nhe, cytk | + | + | |
| 92 | PIF | b | a, b, c | a, b, c | a, b, c | nhe | - | - | |
| 93 | PIF | a, b, c | a, b, c | a, b, c | a, b, c | nhe | - | - | |
| 171 | PIF | b | b | a, b, c | a, b, c | nhe, cytk | + | - | |
| 186 | PIF | b | a, b, c | b, c | nhe, cytk | - | - | ||
| 326 | eggshell | a, b | a, b | a, b, c | b, c | hbl, nhe, cytk | + | + | |
| 362 | Infant food | b | b | a, b | a, b, c | a, b, c | nhe | - | - |
© 2020 by the authors. Licensee MDPI, Basel, Switzerland. This article is an open access article distributed under the terms and conditions of the Creative Commons Attribution (CC BY) license (http://creativecommons.org/licenses/by/4.0/).
Share and Cite
Adame-Gómez, R.; Cruz-Facundo, I.-M.; García-Díaz, L.-L.; Ramírez-Sandoval, Y.; Pérez-Valdespino, A.; Ortuño-Pineda, C.; Santiago-Dionisio, M.-C.; Ramírez-Peralta, A. Biofilm Production by Enterotoxigenic Strains of Bacillus cereus in Different Materials and under Different Environmental Conditions. Microorganisms 2020, 8, 1071. https://doi.org/10.3390/microorganisms8071071
Adame-Gómez R, Cruz-Facundo I-M, García-Díaz L-L, Ramírez-Sandoval Y, Pérez-Valdespino A, Ortuño-Pineda C, Santiago-Dionisio M-C, Ramírez-Peralta A. Biofilm Production by Enterotoxigenic Strains of Bacillus cereus in Different Materials and under Different Environmental Conditions. Microorganisms. 2020; 8(7):1071. https://doi.org/10.3390/microorganisms8071071
Chicago/Turabian StyleAdame-Gómez, Roberto, Itzel-Maralhi Cruz-Facundo, Lilia-Lizette García-Díaz, Yesenia Ramírez-Sandoval, Abigail Pérez-Valdespino, Carlos Ortuño-Pineda, Maria-Cristina Santiago-Dionisio, and Arturo Ramírez-Peralta. 2020. "Biofilm Production by Enterotoxigenic Strains of Bacillus cereus in Different Materials and under Different Environmental Conditions" Microorganisms 8, no. 7: 1071. https://doi.org/10.3390/microorganisms8071071
APA StyleAdame-Gómez, R., Cruz-Facundo, I.-M., García-Díaz, L.-L., Ramírez-Sandoval, Y., Pérez-Valdespino, A., Ortuño-Pineda, C., Santiago-Dionisio, M.-C., & Ramírez-Peralta, A. (2020). Biofilm Production by Enterotoxigenic Strains of Bacillus cereus in Different Materials and under Different Environmental Conditions. Microorganisms, 8(7), 1071. https://doi.org/10.3390/microorganisms8071071

