Effects of Two Commercial Diets on Several Reproductive Parameters in Bitches: Note Two—Lactation and Puppies’ Performance
Abstract
Simple Summary
Abstract
1. Introduction
2. Materials and Methods
2.1. Feeding Protocol for Pregnant and Lactating Bitches
- Control group included 4 dogs of medium size (body weight <30 kg) and 5 of large size (body weight >30 kg) with a mean body weight after delivery equal to 32.6 ± 13.5 kg, mean BCS (5 points scale) equal to 2.7 ± 0.3.
- Experimental group consisted of 2 bitches of medium size and 7 of large size, with a mean body weight after delivery equal to 39.7 ± 14.8 kg mean BCS (5 points scale) equal to 3.4 ± 0.4.
2.2. Weight Control and Blood Analysis
2.3. Milk Sampling and Analyses
2.4. Monitoring of Puppies
2.5. Statistical Analysis
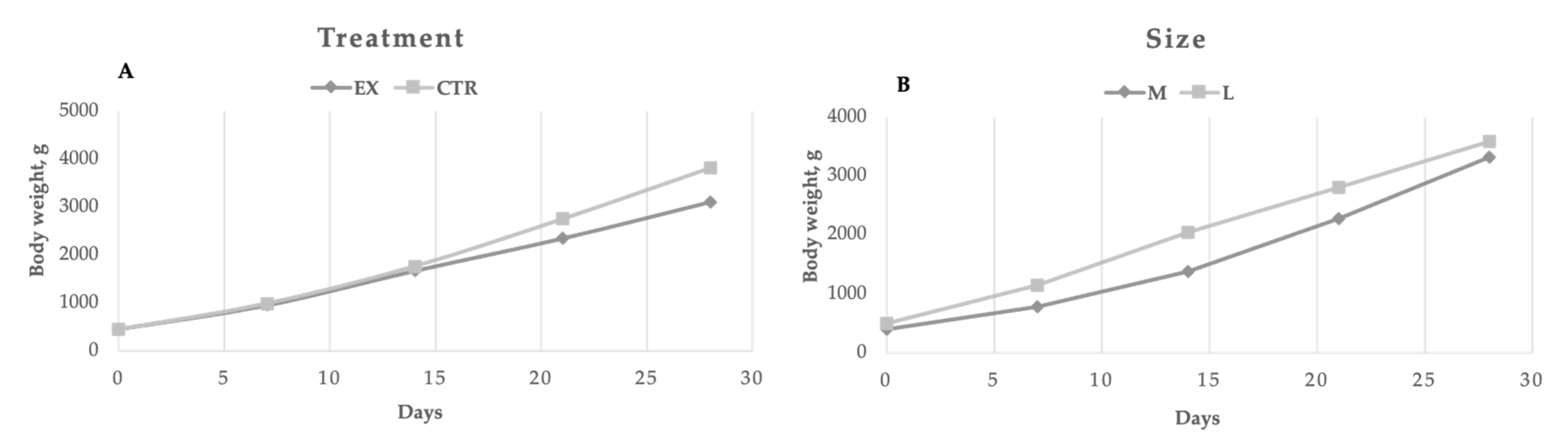
3. Results
4. Discussion
5. Conclusions
6. Limitations
Author Contributions
Funding
Institutional Review Board Statement
Informed Consent Statement
Data Availability Statement
Acknowledgments
Conflicts of Interest
References
- Beever, D.E. The impact of controlled nutrition during the dry period on dairy cow health, fertility and performance. Anim. Reprod. Sci. 2006, 96, 212–226. [Google Scholar] [CrossRef] [PubMed]
- Gianluppi, R.D.F.; Lucca, M.S.; Mellagi, A.P.G.; Bernardi, M.L.; Orlando, U.A.D.; Ulguim, R.R.; Bortolozzo, F.P. Effects of different amounts and type of diet during weaning-to-estrus interval on reproductive performance of primiparous and multiparous sows. Animal 2020, 14, 1906–1915. [Google Scholar] [CrossRef] [PubMed]
- Fontaine, E. Food Intake and Nutrition during Pregnancy, Lactation and Weaning in the Dam and Offspring. Reprod. Domest. Anim. 2012, 47, 326–330. [Google Scholar] [CrossRef] [PubMed]
- Kelley, R. Canine reproductive management: Factors affecting litter size. In Proceedings of the Annual Conference of the Society for Theriogenology and American College of Theriogenology, Colorado Springs, CO, USA, 7–11 August 2002; pp. 291–301. [Google Scholar]
- Kuhlman, G.; Rompala, R.E. The influence of dietary sources of zinc, copper and manganese on canine reproductive performance and hair mineral content. J. Nutr. 1998, 128, 2603S–2605S. [Google Scholar] [CrossRef] [PubMed]
- Scantlebury, M.; Butterwick, R.; Speakman, J.R. Energetics and litter size variation in domestic dog Canis familiaris breeds of two sizes. Comp. Biochem. Physiol. 2001, 129, 919–931. [Google Scholar] [CrossRef]
- Greco, D.S. Nutritional supplements for pregnant and lactating bitches. Theriogenology 2008, 70, 393–396. [Google Scholar] [CrossRef]
- Leibetseder, J. Ernährung der Zuchthündin und der Junghunde. Prakt. Tierarzt 1989, 70, 12–20. [Google Scholar]
- Ontko, J.A.; Phillips, P.H. Reproduction and lactation studies with bitches fed semi purified diets. J. Nutr. 1958, 65, 211. [Google Scholar] [CrossRef]
- Grandjean, D.; Paragon, B.M.; Grandjean, R. Rationnement alimentaire et prévention chez le chien 1. Point Vétérinaire 1986, 18, 519–524. [Google Scholar]
- Bebiak, D.M.; Lawler, D.F.; Reutzel, L.F. Nutrition and management of the dog. Vet. Clin. North Am. Small Anim. Pract. 1987, 17, 505–533. [Google Scholar] [CrossRef]
- Meyer, H.; Heckötter, E., II. Empfehlungen zur Versorgung des Hundes mit Energie und Nährstoffen. In Futterwerttabellen für Hunde und Katzen, 2nd ed.; Meyer, H., Ed.; Schlütersche Verlaganstalt: Hannover, Germany, 1986; pp. 9–12. [Google Scholar]
- Debraekeleer, J.; Gross, K.L.; Zicker, S.C. Feeding Mature Adult Dogs: Middle Aged and Older. In Small Animal Clinical Nutrition, 5th ed.; Hand, M.S., Thatcher, C.D., Remillard, R.L., Roudebush, P., Novotny, B.J., Eds.; Mark Morris Institute: Topeka, KS, USA, 2010; pp. 273–279. [Google Scholar]
- Gross, K.L. Effect of diet on composition of milk from dogs. In Proceedings of the Waltham Symposium on the Nutrition of Companion Animals, Adelaide, Australia, 23–25 September 1993; p. 29. [Google Scholar]
- Blanchard, D.S.R.N. Omega-3 Fatty Acid Supplementation in Perinatal Settings. MCN 2006, 31, 250–256. [Google Scholar] [CrossRef] [PubMed]
- Diau, G.Y.; Loew, E.R.; Wijendram, V.; Sarkadi-Nagy, E.; Nathanielsz, P.W.; Brenna, J.T. Docosahexaenoic and arachidonic acid influence on preterm baboon retinal composition and function. Investig. Ophthalmol. Vis. Sci. 2003, 44, 4559–4566. [Google Scholar] [CrossRef] [PubMed]
- Birch, E.E.; Hoffman, D.R.; Casteneda, Y.S.; Fawcett, S.L.; Birch, D.G.; Uauy, R.D. A randomized controlled trial of long-chain polyunsaturated fatty acid supplementation of formula in term infants after weaning at 6 wk of age. Am. J. Clin. Nutr. 2002, 75, 570–580. [Google Scholar] [CrossRef] [PubMed]
- Innis, S.M. Dietary omega 3 fatty acids and the developing brain. Brain Res. 2008, 123, 35–43. [Google Scholar] [CrossRef]
- National Research Council. Nutrient Requirements of Dog and Cats; National Accademy Press: Washinghton, DC, USA, 2006. [Google Scholar]
- Association of Official Analytical Chemists. Nutrient Methods of Analysis, 18th ed.; Association of Official Analytical Chemists: Arlington, VA, USA; Washington, DC, USA, 2005. [Google Scholar]
- Orlandi, R.; Vallesi, E.; Vastolo, A.; Musco, N.; Calabrò, S.; Troisi, A.; Polisca, A.; Lombardi, P.; Cutrignelli, M.I. Effects of two commercial diets on several reproductive parameters in bitches: Note one—From estrous cycle to parturition. Animals 2021, 11, 23. [Google Scholar] [CrossRef]
- Pathan, M.M.; Siddiquee, G.M.; Latif, A.; Das, H.; Khan, M.Z.; Shukla, M.K. Eclampsia in the dog: An overview. Vet. World 2011, 4, 45–47. [Google Scholar] [CrossRef]
- Fascetti, A.J. Nutritional management and disease prevention in healthy dogs and cats. Rev. Bras. Zootec. 2010, 39, 42–51. [Google Scholar] [CrossRef][Green Version]
- McLaughlin, S. Feeding for Gestation and Lactation in the Bitch. Vet. Nurs. J. 1998, 13, 135–137. [Google Scholar] [CrossRef]
- Musco, N.; Calabrò, S.; Tudisco, R.; Grossi, M.; Addi, L.; Moniello, G.; Lombardi, P.; Cutrignelli, M.I. Diet effect on short- and long-term glycaemic response in adult healthy cats. Vet. Ital. 2017, 53, 141–145. [Google Scholar]
- Lombardi, P.; Musco, N.; Calabrò, S.; Tudisco, R.; Mastellone, V.; Vastolo, A.; Infascelli, F.; Cutrignelli, M.I. Different carbohydrate sources affect swine performance and post prandial glycaemic response. Ital. J. Anim. Sci. 2020, 19, 421–430. [Google Scholar] [CrossRef]
- Middleton, R.P.; Lacroix, S.; Scott-Boyer, M.P.; Dordevic, N.; Kennedy, A.D.; Slusky, A.R.; Carayol, J.; Petzinger-Germain, C.; Beloshapka, A.; Kaput, J. Metabolic Differences between Dogs of Different Body Sizes. J. Nutr. Metab. 2017, 2017, 4535710. [Google Scholar] [CrossRef] [PubMed]
- Lönnerdal, B.; Keen, C.L.; Hurley, L.S.; Fisher, G.L. Developmental changes in the composition of Beagle dog milk. Am. J. Vet. Res. 1981, 42, 662–666. [Google Scholar] [PubMed]
- Dokoupilová, A.; Svobodová, I.; Chaloupková, H.; Kouřimská, L.; Dvořáková, B.; Končel, R. German shepherd dog milk composition and its changes during lactation. Sci. Agric. Bohem. 2016, 47, 9–13. [Google Scholar] [CrossRef]
- Oftedal, O.T. Lactation in the dog: Milk composition and intake by puppies. J. Nutr. 1984, 114, 803–812. [Google Scholar] [CrossRef] [PubMed]
- Costăchescu, E.; Hoha, G.; Fotea, L. Research regarding the lactating period of the bitch. Lucrări Ştiinţifice Ser. Zooteh. 2011, 55, 180–183. [Google Scholar]
- Adkins, Y.; Lepine, A.J.; Lönnerdal, B. Changes in protein and nutrient composition of milk throughout lactation in dogs. Am. J. Vet. Res. 2001, 62, 1266–1272. [Google Scholar] [CrossRef]
- Russe, I. Die Laktation der HÃ1⁄4ndin. Zentralbl. Veterinaehrmed 1961, 8, 252–281. [Google Scholar]
- Pasquini, A.; Luchetti, E.; Cardini, G. Evaluation of oxidative stress in hunting dogs during exercise. Res. Vet. Sci. J. 2010, 89, 120–123. [Google Scholar] [CrossRef]
- Sechi, S.; Chiavolelli, F.; Spissu, N.; Di Cerbo, A.; Canello, S.; Guidetti, G.; Fiore, F.; Cocco, R. An antioxidant dietary supplement improves brain-derived neurotrophic factor levels in serum of aged dogs: Preliminary results. J. Vet. Med. 2015, 41, 2501. [Google Scholar] [CrossRef]
- Bauer, J.E. Comparative lipid and lipoprotein metabolism. Vet. Clin. Pathol. 1996, 25, 49–56. [Google Scholar] [CrossRef]
- Elwood, J.M.; Colquhoun, T.A. Observations on the prevention of cleft palate in dogs by folic acid and the potential relevance to humans. New Zealand Vet. J. 1997, 45, 254–256. [Google Scholar] [CrossRef]
- Kajla, P.; Sharma, A.; Sood, D.R. Flaxseed-a potential functional food source. J. Food Sci. Technol. 2015, 52, 1857–1871. [Google Scholar] [CrossRef] [PubMed]
- Domosławska, A.; Jurczak, A.; Janowski, T. Oral folic acid supplementation decreases palate and/or lip cleft occurrence in Pug and Chihuahua puppies and elevates folic acid blood levels in pregnant bitches. Pol. J. Vet. Sci. 2013, 16, 33–37. [Google Scholar] [CrossRef] [PubMed]
- Drobatz, K.J.; Casey, K.K. Eclampsia in dogs: 31 cases (1995–1998). J. Am. Vet. Med. Assoc. 2000, 217, 216–219. [Google Scholar] [CrossRef] [PubMed]
- Rizzoli, R.; Bonjour, J.P. Management of disorders of calcium homoeostasis. Baillière’s Clin. Endocrinol. Metab. 1992, 6, 129–142. [Google Scholar] [CrossRef]
- Linde-Forsberg, C. Abnormalities in pregnancy, parturition, and the periparturient period. In Textbook of Veterinary Internal Medicine, 6th ed.; Ettinger, S.J., Feldman, E., Philadelphia, W.B., Eds.; Saunders: Philadelphia, PA, USA, 2005; pp. 1655–1667. [Google Scholar]


| Source of | CTR | EX |
|---|---|---|
| Protein | Poultry meal, fishmeal | Poultry meal, fishmeal, dehydrated eggs |
| Carbohydrate | Rice, corn, beet pulp | Spelt, oat, potato, beet pulp |
| Lipid | Poultry fat, fish oil, seed oil | Fish oil, flaxseed |
| Supplementation | Sodium chloride, dehydrated Saccharomyces cerevisiae | Calcium carbonate, monocalcium phosphate, potassium chloride, psyllium, MOS, sodium chloride, dehydrated Saccharomyces cerevisiae |
| Diets Characteristics | Unit | CTR (3933 kcal/kg DM)) | EX (4070 kcal/kg DM) |
|---|---|---|---|
| Crude protein | g/4000 kcal | 299.9 | 330.5 |
| Ether extract | g/4000 kcal | 188.6 | 188.9 |
| Crude fiber | g/4000 kcal | 23.90 | 33.09 |
| Ash | g/4000 kcal | 77.96 | 93.27 |
| Ca | g/4000 kcal | 4.35 | 8.40 |
| P | g/4000 kcal | 3.79 | 8.39 |
| Mg | g/4000 kcal | 0.601 | 0.612 |
| Methionine | g/4000 kcal | 3.799 | 4.124 |
| Cysteine | g/4000 kcal | 2.521 | 3.360 |
| Threonine | g/4000 kcal | 4.818 | 5.393 |
| Lysine | g/4000 kcal | 3.933 | 4.477 |
| Tryptophan | g/4000 kcal | 1.573 | 1.750 |
| Linoleic acid | g/4000 kcal | 12.01 | 13.50 |
| α-linolenic acid | g/4000 kcal | 0.407 | 0.822 |
| Arachidonic acid | mg/4000 kcal | 0.280 | 0.300 |
| EPA + DHA | g/4000 kcal | 0.467 | 0.510 |
| Group | LWi | LWf | LWl | BCSi | BCSf | BCSl | ΔLWP | ΔLWl |
|---|---|---|---|---|---|---|---|---|
| kg | 5-Point Scale | % LWi | ||||||
| CTR | 27.29 | 32.56 | 28.48 | 3.29 | 3.55 | 2.83 | +19.31 | +4.36 A |
| EX | 33.16 | 39.73 | 32.98 | 3.62 | 3.42 | 2.92 | +19.81 | −0.54 B |
| M size | 19.26 B | 24.97 B | 20.47 B | 3.46 | 3.08 | 3.00 | +29.64 A | +6.28 A |
| L size | 41.19 A | 47.32 A | 42.00 A | 3.46 | 3.08 | 2.75 | +14.88 B | +1.97 B |
| Interaction | NS | NS | NS | NS | NS | NS | NS | NS |
| MSE | 75.44 | 82.77 | 79.43 | 0.17 | 0.12 | 0.07 | 44.38 | 7.21 |
| Group | CTR | EX | ||
|---|---|---|---|---|
| Sampling | Protein | Fat | Protein | Fat |
| 1 | 8.85 ± 1.09 | 10.21 ± 1.19 | 7.55 ± 1.10 | 8.47 ± 1.21 |
| 2 | 8.98 ± 1.03 | 9.51 ± 1.35 | 7.68 ± 0.96 | 9.25 ± 1.05 |
| 3 | 8.92 ± 1.03 | 9.93 ± 1.13 | 7.61 ± 1.04 | 9.18 ± 1.14 |
| Size | Medium | Large | ||
| Sampling | Protein | Fat | Protein | Fat |
| 1 | 7.49 ± 1.09 | 8.31 ± 1.02 | 8.92 ± 1.10 | 9.67 ± 1.20 |
| 2 | 7.61 ± 1.00 | 8.96 ± 1.10 | 9.04 ± 0.99 | 10.29 ± 1.08 |
| 3 | 7.55 ± 0.98 | 8.89 ± 1.13 | 8.98 ± 1.04 | 10.22 ± 1.14 |
| Hematic Profile | BUN | Crea | Glu | TP | Alb | Bil T | AST | ALT | GGT | PA | COL T | TRI | d-ROMs | BAP |
|---|---|---|---|---|---|---|---|---|---|---|---|---|---|---|
| Group | mg/dL | mg/dL | mg/dL | g/dL | g/dL | g/dL | Ul/L | Ul/L | Ul/L | Ul/L | mg/dL | mg/dL | UCARR | μmoles/L |
| Treatment | ||||||||||||||
| CTR | 80.7 | 1.23 | 137 | 6.45 | 3.92 | 0.77 | 33.5 | 21.3 | 3.90 | 138 | 320 | 107 | 169.83 | 4102.17 |
| EX | 59.7 | 1.65 | 123 | 6.25 | 3.57 | 0.46 | 37.0 | 28.0 | 3.25 | 146 | 228 | 74.7 | 180.50 | 3878.50 |
| Size | ||||||||||||||
| M size | 86.0 | 1.42 | 131 | 6.13 | 3.98 | 0.78 | 30.2 | 19.7 | 3.42 | 171 | 328 | 102 | 161.67 | 4622.63 |
| L size | 54.5 | 1.46 | 129 | 6.55 | 3.51 | 0.45 | 40.2 | 29.7 | 3.72 | 114 | 221 | 79.0 | 188.67 | 3357.83 |
| MSE | 144 | 0.05 | 25.7 | 0.16 | 0.23 | 0.05 | 60.5 | 60.3 | 0.60 | 399 | 2532 | 442 | 69.55 | 568.12 |
| Mineral Profile | Cl | Na | K | Na/K | Ca | Ca*P | P |
|---|---|---|---|---|---|---|---|
| Group | mEq/L | mEq/L | mEq/L | mg/dL | mg/dL | ||
| Treatment | |||||||
| CTR | 117 | 156 | 4.40 | 33.9 | 13.1 | 106 a | 8.34 a |
| EX | 123 | 156 | 4.60 | 34.2 | 12.5 | 72.5 b | 5.71 b |
| Size | |||||||
| M size | 120 | 159 | 4.90 | 31.9 | 13.7 | 113 a | 8.51 a |
| L size | 121 | 153 | 4.10 | 36.3 | 11.8 | 65.9 b | 5.54 b |
| MSE | 3.55 | 81.7 | 0.19 | 5.33 | 0.27 | 117.8 | 0.44 |
Publisher’s Note: MDPI stays neutral with regard to jurisdictional claims in published maps and institutional affiliations. |
© 2021 by the authors. Licensee MDPI, Basel, Switzerland. This article is an open access article distributed under the terms and conditions of the Creative Commons Attribution (CC BY) license (http://creativecommons.org/licenses/by/4.0/).
Share and Cite
Calabrò, S.; Vastolo, A.; Musco, N.; Lombardi, P.; Troisi, A.; Polisca, A.; Vallesi, E.; Orlandi, R.; Cutrignelli, M.I. Effects of Two Commercial Diets on Several Reproductive Parameters in Bitches: Note Two—Lactation and Puppies’ Performance. Animals 2021, 11, 173. https://doi.org/10.3390/ani11010173
Calabrò S, Vastolo A, Musco N, Lombardi P, Troisi A, Polisca A, Vallesi E, Orlandi R, Cutrignelli MI. Effects of Two Commercial Diets on Several Reproductive Parameters in Bitches: Note Two—Lactation and Puppies’ Performance. Animals. 2021; 11(1):173. https://doi.org/10.3390/ani11010173
Chicago/Turabian StyleCalabrò, Serena, Alessandro Vastolo, Nadia Musco, Pietro Lombardi, Alessandro Troisi, Angela Polisca, Emanuela Vallesi, Riccardo Orlandi, and Monica I. Cutrignelli. 2021. "Effects of Two Commercial Diets on Several Reproductive Parameters in Bitches: Note Two—Lactation and Puppies’ Performance" Animals 11, no. 1: 173. https://doi.org/10.3390/ani11010173
APA StyleCalabrò, S., Vastolo, A., Musco, N., Lombardi, P., Troisi, A., Polisca, A., Vallesi, E., Orlandi, R., & Cutrignelli, M. I. (2021). Effects of Two Commercial Diets on Several Reproductive Parameters in Bitches: Note Two—Lactation and Puppies’ Performance. Animals, 11(1), 173. https://doi.org/10.3390/ani11010173

