Simple Summary
The purposes of the present study were to determine the effect of core body temperature on acid-base variables and determine the origins of acid-base changes in the arterial and mixed venous blood of horses during exercise and recovery. Moderate intensity exercise resulted in an increase in body temperature that, in addition to exercise, affected acid-base status and gas partial pressures. Moderate intensity exercise resulted in a mild alkalosis that had markedly different origins in arterial blood than in mixed venous blood, and this was affected by the increase in core temperature during exercise and its resolution during recovery. In order to fully understand how acid-base status changes during exercise and recovery, it is importance to quantify the changes in both arterial and mixed venous blood, with adjustment to core temperature. Acid-base assessments using jugular vein blood samples are limited in comparison.
Abstract
The present study determined the independent contributions of temperature, strong ion difference ([SID]), total weak acid concentration ([Atot]) and PCO2 to changes in arterial and mixed venous [H+] and total carbon dioxide concentration ([TCO2]) during 37 min of moderate intensity exercise (~50% of heart rate max) and the first 60 min of recovery. Six horses were fitted with indwelling carotid and pulmonary artery (PA) catheters, had PA temperature measured, and had blood samples withdrawn for immediate analysis of plasma ion and gas concentrations. The increase in core temperature during exercise (+4.5 °C; p < 0.001) significantly (p < 0.05) increased PO2, PCO2, and [H+], but without a significant effect on [TCO2] (p > 0.01). The physicochemical acid-base approach was used to determine contributions of independent variables (except temperature) to the changes in [H+] and [TCO2]. In both arterial and venous blood, there was no acidosis during exercise and recovery despite significant (p < 0.05) increases in [lactate] and in venous PCO2. In arterial blood plasma, a mild alkalosis with exercise was due to primarily to a decrease in PCO2 (p < 0.05) and an increase in [SID] (p < 0.1). In venous blood plasma, a near absence of change in [H+] was due to the acidifying effects of increased PCO2 (p < 0.01) being offset by the alkalizing effects of increased [SID] (p < 0.05). The effect of temperature on PO2 (p < 0.001) resulted in an increased arterio-venous PO2 difference (p < 0.001) that would facilitate O2 transfer to contracting muscle. The simultaneous changes in the PCO2 and the concentrations of the other independent acid-base variables (contributions from individual strong and weak ions as manifest in [SID] and [Atot]) show complex, multilevel control of acid-base states in horses performing even moderate intensity exercise. Correction of acid-base variables to core body temperature presents a markedly different physiological response to exercise than that provided by variables measured and presented at an instrument temperature of 37 °C.
1. Introduction
Exercise in the horse, as in other animals, results in a number of integrated physiological effects and responses that involve muscular, circulatory, respiratory, endocrine, immune and neural systems. While different breeds engage in different types of activities, and these may be associated with some differences in responses [1], there are similarities in the adaptive responses to exercise [2]. For example, whole-body acid-base balance is dependent on the integrated responses of the muscular, respiratory, vascular, hepatic, cutaneous, renal and gastrointestinal systems. Significant acid-base disturbances are often associated with moderate- to high-intensity exercise and prolonged-duration exercise, as well as with many pathologies. Within the field of exercise physiology, acid-base balance is particularly important because of the association between acidification and muscle fatigue [3].
There are numerous descriptive studies of acid-base balance in horses in response to different types of exercise [4,5,6,7], and as reviewed previously [8]. However, only a handful of studies have attempted to take a mechanistic approach to determine the physiological and physicochemical mechanisms that underly changes in plasma H+ and TCO2 concentrations [9,10,11,12,13]. Most studies are also hindered by the fact that jugular venous blood was sampled as the only blood source for analysis, and thus does not represent mixed venous blood nor arterial blood. While the brain and head of the horse are metabolically active during exercise, cranial metabolism is not representative of the metabolism of contracting muscles [14]. Given that: (1) nearly all muscles in the exercising horse are undergoing contractile activity, and that muscle mass comprises ~40% of lean body mass [15]; (2) blood flow to muscles is increased several fold; and (3) blood flow to most non-contracting tissues is reduced during exercise [16,17], a sample of mixed venous blood provides for a more accurate analysis of whole body acid-base state. This is especially true when coupled with analysis of arterial blood obtained after perfusion of the lungs but prior to perfusion of tissues. Differences between arterial and mixed venous blood represent the contributions of the metabolic activities of all of the tissues, and additionally the contribution of the lungs can also be assessed [9,10]. Unfortunately there exists minimal data on acid-base or blood gas alterations that may occur in arterial and/or mixed venous blood during exercise, owing to the difficulty of repeatedly obtaining such samples. Finally, the majority of studies examining equine acid-base responses during exercise either did not use temperature adjustments or adjusted to rectal temperatures (Tre), which is an inaccurate surrogate for core body temperature in exercising equids [11,18].
The descriptive studies of acid-base balance in horses are helpful to those people that only sample jugular venous blood, which includes most veterinarians and researchers. Even so, many researchers and veterinarians have not been satisfied with the simplified metabolic/respiratory acid-base interpretation arising from the work of the traditional acid-base approach [9,19,20]. Thus, there has been an interest in using the physicochemical approaches outlined by Henderson [21], Singer and Hastings [22], and most notably Stewart [23,24] to provide a more mechanistic approach to understanding the origins of acid-base disturbances and the physiological mechanisms that underlie their correction [19,25,26,27,28]. In addition, the acid-base state in animals is complicated by the effects of temperature on the blood/tissue pH, PCO2 and the PO2 [29,30,31,32]. While instrument-measured (at 37 °C) values for these variables are routinely employed, they are not the values in vivo. It is the in vivo values of the variables that are being sensed with respect to ventilatory control, tissue gas exchange and acid-base regulation. Notably, core body temperature may increase by 4 °C or more with moderate to high intensity exercise, and this, independent of changes in the “independent” acid-base variables [SID], PCO2 and [Atot], results in a PCO2 that is increased by ~6 mm Hg and a pH that is decreased by 0.02 units ([H+] increased by ~1.4 nmoles/L). These temperature effects may manifest in increased [HCO3−] and [TCO2] [30,33].
There is a dearth of comprehensive, mechanistic studies of acid-base balance in exercising horses where blood has been sampled from an artery and from the mixed venous circulation. The most complete analysis of acid-base responses during exercise in equids is limited to: (1) Forster et al. [34] who measured, using ponies, responses in arterial and mixed venous blood during short-duration, submaximal exercise resulting in steady-state within 7 min; and (2) Vengust et al. [10], who used Standardbred horses during a high intensity incremental exercise test to fatigue (occurred within 5 min) and into 15 min of recovery. Importantly, both studies temperature-adjusted the plasma gas and pH values to that of the horse during the exercise and they used a physicochemical approach to determine the contributions of changes in acid-base state, which they characterized in both arterial and mixed venous plasma.
Thus, the purpose of this paper is to present a detailed time-course of acid-base changes with partitioning of the contributions of independent acid-base variables to the changes in [H+] and [TCO2] in both arterial and mixed venous blood for 30+ min of steady-state intensity exercise and for 60 min of post-exercise recovery. Importantly, this study used temperature adjustments for arterial and mixed venous blood and extended the physicochemical analyses performed in previous studies. In addition, the sampling of both mixed venous and arterial blood from horses at rest, during moderate intensity exercise and during recovery, provided the benefits of determining contributions of contracting/recovering tissues as well as the lungs to acid-base balance during exercise and recovery. It was hypothesized that during exercise: (1) decreases in [SID] and [Atot] would be the greatest contributors to the decreases in plasma pH and [HCO3−] in both mixed venous and arterial blood; (2) increased PCO2 contributes significantly to the acidosis in mixed venous blood; (3) whereas decreased PCO2 contributes significantly to an alkalizing effect in arterial blood; and (4) adjustment of acid-base parameters to real time data of core body temperature will provide crucial distinctions in the interpretation of blood gas measurements, which greatly improve the accuracy of the reported results.
2. Methods
2.1. Ethical Approval
The care and use of animals for this research were approved by the University of Guelph Animal Care Committee and the experiments conducted in compliance with the university’s animal care policy and in accordance with the guidelines of the Canadian Council on Animal Care.
2.2. Animals
This is the same study and horses as represented by these previous publications, where exercise duration was limited by pulmonary artery blood temperature reaching 41.5 °C [35,36,37].
Six thoroughbred horses with age 3–6 years and body weight 435–470 kg were studied. The horses were housed indoors and fed a diet of grass hay and mixed grain, with water and a trace mineral/salt block available ad libitum. All horses had the right carotid artery surgically relocated to the subcutaneous position at least 2 months prior to the start of the study.
Leading up to the experiments, the horses were conditioned 5 days per week for 12 weeks with a progressive program of walking, trotting, cantering and galloping on an indoor high-speed treadmill (Säto, Sweden) to achieve a steady-state level of fitness. The maximal O2 uptake of each horse was subsequently determined on two separate occasions [37], and the mean VO2max of all horses was 139 ± 5.8 mL·kg−1·min−1 prior to the start of experiments. At the end of the study all horses were returned to the university research herd.
Catheterization of the raised carotid artery and a jugular vein was performed after aseptic preparation and local analgesia of the skin. Blood temperature was measured by inserting a thermocouple into the pulmonary artery within an 8-Fr polyethylene catheter. The catheter was introduced via a jugular vein, and its position within the pulmonary artery was verified by pressure wave recordings.
2.3. Exercise Protocol
Horses completed the exercise protocol on a treadmill in a room in which temperature (22 ± 1 °C) and relative humidity (50 ± 3%) could be controlled. Food and water were withheld for 3 h prior to, and for the duration of, each experiment. Body mass was measured on a large animal scale (±0.5 kg, Marsh Instruments, Mississauga, ON, Canada) immediately prior to the exercise protocol and at 30 min of recovery following exercise.
Exercise was conducted on a treadmill set on a 10% slope with a high-speed fan providing air movement with a velocity of 2 m/s. The fan was situated in front of the horse and directed air over the anterior and dorsal aspects of the horse. Resting measurements were obtained during a 30 min period prior to exercise during which the horses remained stationary on the treadmill. The exercise test consisted of a 5 min warm-up (1.5 m/s) followed by exercise at a speed calculated by regression analysis to elicit 50% of individual peak VO2 (range 3.8–4.3 m/s). Exercise was continued until attainment of PA blood temperature of 41.5 °C. After the first 5 min of recovery the horses walked at a slow pace for the next 25 min, then stood quietly for a further 30 min.
Blood samples (approximately 8 mL) were obtained in 10 mL syringes containing 100 IU of lithium heparin (Sarstedt, Nűmbrecht, Germany) at rest, 2, 5, 15, and 30 min and at end of exercise and at 2, 5, 15, 30 and 60 min of recovery.
2.4. Analysis
Blood gases and plasma ion concentrations were measured using a Statprofile 5 ion analyzer (Nova Biomedical Canada Ltd., Mississauga, ON, Canada). Plasma was analyzed for protein with a clinical refractometer (model SPR-T2, Atago, Japan).
2.5. Calculations
The detailed acid-base analysis that permits the determination of the contributions of independent variables (partitioning) to the changes in the concentrations of dependent acid-base variables is that employed previously [38] and adapted for use in horses [11,39].
Plasma pH was adjusted for temperature, because the dissociation of water is increased when temperature is increased, resulting in increased [H+]. The relationship between pH and temperature in plasma and whole blood is complex and influenced by the hemoglobin content, plasma protein concentration and plasma CO2 content [30]. However, temperature adjusted pH can be estimated within ±5% [32,40] using the equation provided by Ashwood et al. [31] and used by Taylor et al. [33], but with the square brackets in the correct locations as shown here:
where pHm is the instrument measured pH at 37 °C and Tcore is the temperature measured in the pulmonary artery at that time point [29,30].
pHadjusted = pHm + [−0.0147 + 0.0065 × (7.400 − pHm)] (Tcore − 37)
Plasma PCO2 was also adjusted for temperature, because the solubility coefficient is also dependent on temperature [41], using the equation from Taylor et al. [33]:
where T is temperature in °C. In order to verify the accuracy of the estimates, the temperature adjusted values for pH and PCO2 were directly compared with the plots provided by Reeves ([30]; see his Figures 4 and 5), with which they were in perfect agreement.
PCO2(adjusted) = PCO2 × e(0.04375(Tcore−37))
In order to calculate the [HCO3−] adjusted for temperature using the Henderson–Hasselbalch equation, one must first calculate the temperature-adjusted first apparent dissociation constant for carbonic acid pK′1(adjusted) as described by Rispens et al. [42]:
where T is temperature in oK. [HCO3−]adjusted was calculated as:
where [H+] is calculated from pHadjusted, PCO2 is PCO2(adjusted) calculated as described in equation 2, K′1 is 10−pK’1(adjusted) where pK′1 was calculated as described in Equation (3), and S (the CO2 solubility coefficient) is calculated as described in Equation (5) using the data of Austin et al. [41]:
S = 0.0797−(0.00206 × T) + (0.0000200 × T2)
Temperature for adjustment for PO2 was performed using the equation provided by Taylor [33]:
PCO2(adjusted) = PCO2(37) × 10[0.021 × (T−37)]
Temperature adjustment for PO2 was performed using the equation provided by Taylor [33] using equations published previously [43,44].
where y = e3.88 × ln(PO2).
PO2(adjusted) = PO2 × e [2.303 (T − 37) × {5.49 × 10−11)y + 0.071}/{9.72 × 10−9)y + 2.30}]
Measured and temperature adjusted data were analyzed using Acid-Basics II software (P.D. Watson, U. South Carolina) using the ‘Stewart model’ for ‘buffers’. The software uses an iterative process to compute the best-fit values of dependent acid-base variables using the equation from Stewart [23]:
where KW, KA, K3 and KC are the equilibrium constants for dissociations of water, total weak acids, carbonic acid and bicarbonate, respectively. The default values for some of these “constants” did not yield best fits. Therefore, the KA for total weak acids, and the anion equivalency of plasma proteins, both of which are somewhat variable [25,38,45,46], were manipulated iteratively [45] so as to yield a best fit of the calculated pH, [H+] and [HCO3−] relative to their measured values.
[H+] + (KA + [SID]) [H+]3 + {KA ([SID] − [Atot]) − (KC × pCO2 + KW)} [H+]2 − {KA (KC × pCO2 + KW) + (K3 × KC × pCO2)} [H+] − KA × K3 × KC × pCO2) = 0
Manipulation of the anion equivalency of plasma weak acids (includes contributions from both protein and inorganic phosphate) showed that 0.22 mEq/g protein (similar to Staempfli—0.21; Constable—0.224) provided the best fit [45]. A KA of 1.1 × 10−7 (Eq/L) was used because this resulted in the best fit when using all of the data, with no difference between environmental conditions. The KA of 2.21 × 10−7 Eq/L [46] or 2.22 × 10−7 Eq/L determined by Constable [45] did not provide a best fit of the data. A K3 of 6 × 10−11 Eq/L was used in order to keep this constant between published papers, despite the software calling for a more accurate K3 of 5.76 × 10−11 Eq/L (Acid-Basics II software). The default value for the CO2 solubility coefficient was changed from 0.0309 to 0.0300, the experimentally determined mean of the temperature adjusted data.
2.6. Statistics
The data were analyzed using parametric tests following statistical verification of normal distribution of data. Due to missing data arising from the occasional inability to obtain a blood sample or with measuring electrode malfunction, the final design was not balanced, requiring comparisons to be made using two-way ANOVA (condition and time) without repeated measures. When a significant F-ratio was obtained, then the Bonferroni post hoc test was performed, which handles missing data well. Within condition, and within time, series of one-way repeated measures ANOVA were performed to compare means, again using the Bonferroni post hoc test. Statistical significance was accepted at p < 0.05 with power > 0.8. Values are presented as mean ± SD and with minimum and maximum values.
3. Results
The changes in some of the blood [35] as well as thermal and cardiorespiratory [37] parameters for this study have been reported previously.
3.1. Temperature-Dependent Acid-Base Variables
Horses completed 37.0 ± 2.0 min of exercise prior to reaching a PA blood temperature of 41.5 °C. Recovery of PA blood temperature was initially very rapid and reached values not different from pre-exercise rest at 5 min of recovery (Figure 1). These data have been reported previously [39] and are presented here for convenience.
Figure 1.
Core (pulmonary artery) temperature at rest before exercise (time = 0), during exercise and recovery from exercise. * significantly different (p < 0.05) from time 0. δ significantly different (p < 0.001) from end of exercise (37 min). Data from 6 horses, mean ± SD.
When measured at 37 °C, arterial plasma PCO2 decreased (p < 0.001) by 5 min of exercise and continued to decrease by ~14 mmHg by the end of exercise, returning to values not different from pre-exercise by 5 min of recovery (Figure 2A). Venous plasma PCO2 increased (p < 0.001) rapidly with the onset of exercise, peaking at 5 min and then progressively decreased (p < 0.001) to below resting values at the end of exercise (Figure 2B). Venous PCO2 remained below pre-exercise values (p < 0.001) until after 15 min of recovery.
Figure 2.
Time course of arterial (A) and mixed venous (mv, (B)) PCO2 and a-mv PCO2 difference (C) at rest prior to exercise, during exercise (shaded) and recovery from exercise. Dashed lines: measured at 37 °C. Solid lines: adjusted for core (pulmonary artery) temperature. * significantly different (p < 0.001) from time 0. ψ significantly different (p < 0.001) from end of exercise (37 min). δ significantly different (p < 0.001) from 5 min of exercise). Data from 6 horses, mean ± SD.
Temperature adjustment of PCO2 significantly increased arterial and mv PCO2 values during the entire exercise period. During the pre-exercise and recovery periods, there was no difference between plasma PCO2 measured at 37 °C versus adjusted to PA blood temperature (Tcore). In arterial plasma, the PCO2 at Tcore was decreased (p < 0.001) only at the end of exercise and 2 min of recovery compared to pre-exercise (Figure 2A). In mv plasma, PCO2 at Tcore was elevated (p < 0.001) at 5 and 30 min of exercise, then decreased (p < 0.001) to below pre-exercise values during the recovery period (Figure 2B). Temperature adjustment of the PCO2 did not significantly affect the a-mv PCO2 difference (Figure 2C).
Plasma PO2 is shown for the purposes of further addressing gas exchange and demonstrating the effect of raised PA blood temperature during the exercise period. There was no change (p < 0.05) in arterial PO2 measured at 37 °C. Temperature adjustment of arterial PO2 significantly increased (p = 0.005) PO2 during exercise and the first 2 min of recovery (Figure 3A). In mv plasma, PO2 at both T37 and adjusted to Tcore decreased (p < 0.001) by ~20 mmHg by 2 min of exercise and remained decreased until end of exercise (3B). By 2 min of recovery venous PO2 at both T37 and Tcore had increased (p < 0.001) to values not different from pre-exercise. The effect of the temperature adjustment on the a-mv PO2 difference is significant (p < 0.001) during the exercise period, with the effect of increased temperature maintaining a ~10 mmHg greater a-mv PO2 gradient (Figure 3C).
Figure 3.
Time course of arterial (A) and mixed venous (mv, (B)) PO2 and a-mv PO2 difference (C) at rest prior to exercise, during exercise (shaded) and recovery from exercise. Dashed lines: measured at 37 °C. Solid lines: adjusted for core (pulmonary artery) temperature. * significantly different (p < 0.001) from time 0. ψ significantly different (p < 0.001) from end of exercise (37 min). Data from 6 horses, mean ± SD.
The effect of temperature in the range from 37 °C to 41.5 °C on [H+] (Figure 4) and pH (Table 1) significantly (p < 0.001) increased the [H+]. In arterial plasma (Figure 4A), measured and temperature-adjusted [H+] decreased (p < 0.001) during the exercise period and returned to values greater (p < 0.001) than end-exercise by 30 min of recovery. Measured [H+] in mv plasma did not change during the first 5 min of exercise and then decreased (p < 0.001) to a nadir at 2 min of recovery, remaining below pre-exercise values until after 30 min of recovery (Figure 4B). In contrast, temperature-adjusted mv [H+] increased (p < 0.01) by 5 min of exercise then decreased significantly by the end of exercise. The a-mv [H+] difference became significantly more negative during exercise, and increased rapidly on cessation of exercise, reaching values not different from pre-exercise by 5 min of recovery (Figure 4C).
Figure 4.
Time course of arterial (A) and mixed venous (mv, (B)) [H+] and a-mv H+] difference (C) at rest prior to exercise, during exercise (shaded) and recovery from exercise. Dashed lines: measured at 37 °C. Solid lines: adjusted for core (pulmonary artery) temperature. * significantly different (p < 0.05) from time 0. ψ significantly different (p < 0.05) from end of exercise (37 min). δ significantly different (p < 0.01) from 5 min of exercise. [H+] measured at 37 °C is significantly less (p < 0.001) than [H+] adjusted to core temperature during the exercise period. Data from 6 horses, mean ± SD.
Table 1.
Measured independent acid-base variables, and measured and calculated dependent acid-base variables (pH and [HCO3−]) and hematocrit.
The effects of temperature on the solubility of CO2 in plasma, the pK′ for the dissociation of HCO3− and the PCO2 resulted in increased (p < 0.001) arterial but not mv [TCO2] during exercise compared to [TCO2] measured at T37 (Figure 5). In contrast, arterial plasma [TCO2] measured at T37 decreased (p < 0.001) by 5 min of exercise and end of exercise, and was not different from pre-exercise during the recovery period (Figure 5A). The temperature adjusted arterial [TCO2] did not change throughout the exercise period and recovery. In mv plasma, [TCO2] at T37 did not change during exercise, but decreased (p < 0.001) rapidly below pre-exercise and end-exercise values during the first 5 min of recovery, and remained less (p < 0.001) than the end-exercise values through the 30 min recovery period (Figure 5B). The temperature-adjusted mv [TCO2] increased significantly (p < 0.001) during exercise and normalized within the first 2 min of recovery. Temperature adjustment of the [TCO2] had no effect on the a-mv [TCO2] difference, which remained unchanged (Figure 5C).
Figure 5.
Time course of arterial (A) and mixed venous (mv, (B)) [TCO2] and a-mv [TCO2] difference (C) at rest prior to exercise, during exercise (shaded) and recovery from exercise. Dashed lines: measured at 37 °C. Solid lines: adjusted for core (pulmonary artery) temperature. * significantly different (p < 0.05) from time 0. ψ significantly different (p < 0.05) from end of exercise (37 min). δ significantly different (p < 0.01) from 5 min of exercise. Arterial [TCO2] measured at 37 °C is significantly less (p < 0.001) than [TCO2] adjusted to core temperature during the exercise period. Data from 6 horses, mean ± SD.
3.2. Temperature-Independent Acid-Base Variables
[Lactate−] in both arterial and mv plasma was not increased until the end of exercise and then remained greater than pre-exercise throughout 60 min of recovery (Figure 6A). Arterial [lactate−] was less (p < 0.001) than in mv plasma during exercise and recovery (Figure 6A). There was no change in a-mv plasma [lactate−] during the entire experiment (not shown). Arterial and mixed venous plasma [K+] increased (p < 0.001) within 2 min of exercise and remained constant and elevated throughout exercise (Figure 6B). Plasma [K+] rapidly decreased (p < 0.001) within 2 min of recovery and was lower (p < 0.001) than pre-exercise by 15 min of recovery. Venous [K+] was greater than arterial [K+] during exercise (p = 0.044) and lower than arterial during the last 15 min of recovery (p = 0.038), but there was no significant change in a-mv [K+] during the entire experiment (data not shown). Repeated measures ANOVA indicated significant changes over time for arterial plasma [Na+] (p = 0.015; Figure 6C) and [Cl−] (p = 0.014; Figure 6D), but the post hoc test did not identify any differences between means. However, mv [Na+] was greater (p < 0.001) than arterial, and was increased (p < 0.001) at 2, 5 and 15 min of exercise compared to pre-exercise. Additionally, mv [Cl−] was less (p < 0.001) than arterial (Figure 6C,D). There were no significant changes in a-mv differences for [Na+] and [Cl−] (data not shown).
Figure 6.
Time course of arterial (solid lines) and mixed venous (mv, dashed lines) plasma [lactate−] (A), [K+] (B), [Na+] (C) and [Cl−] (D) at rest prior to exercise, during exercise (shaded) and recovery from exercise. * significantly different (p < 0.05) from time 0. ψ significantly different (p < 0.05) from end of exercise (37 min). Data from 6 horses, mean ± SD.
Arterial plasma [SID] was variable and unchanged (p = 0.288) throughout the experiments. In contrast, mv [SID] was increased (p < 0.01) at 5 min of exercise compared to pre-exercise and the entire exercise period, then returned to pre-exercise values within 2 min of recovery (Figure 7). The increase in mv [SID] was due to both increased mv [Na+] and decreased mv [Cl−] (Figure 6).
Figure 7.
Time course of plasma [SID] (top) and [Atot] (bottom) in arterial (solid lines) and mixed venous (dashed lines) blood at rest prior to exercise, during exercise (shaded) and recovery from exercise. δ significantly different (p < 0.01) from 5 min of exercise. Data from 6 horses, mean ± SD.
Arterial [Atot] was less than (p < 0.001) mv [Atot] at all except the final time point (Figure 7). Arterial [Atot] increased (p = 0.011) at 2 min of exercise compared to pre-exercise, and was variable thereafter and not significantly different from pre-exercise during the rest of exercise and recovery. Venous [Atot] was increased at 5 min of exercise compared to pre-exercise (p = 0.029). Arterial and mv [TP] mirrored the [Atot] data (Table 1).
There was no difference between arterial and venous Hct throughout the time course (Table 1). Both arterial and venous Hct increased (p < 0.001) by 2 min of exercise and remained constant and elevated until the end of exercise. Hct decreased after cessation of exercise and was lower (p < 0.001) than the end-exercise values by 10 min of recovery.
3.3. Determining the Origins of the Changes in Dependent Acid-Base Variables
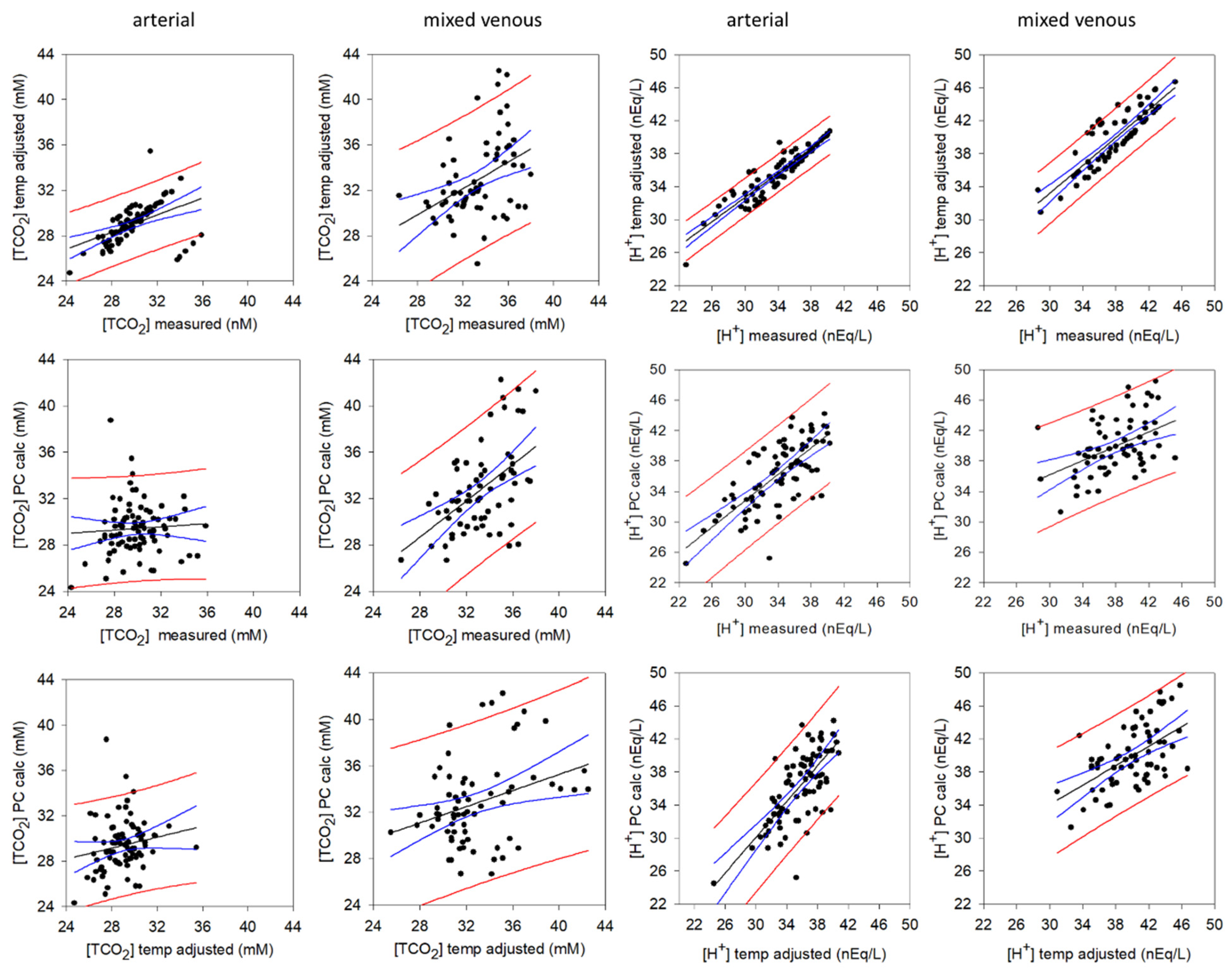
When determining the origins of the changes in the dependent acid-base variable, it is useful to demonstrate agreement between “measured” variables and the “calculated” variables. The “measured” variables are those reported by the instrument at 37 °C, the temperature-adjusted values for [H+] and [TCO2] are with respect to measured pulmonary artery temperature at each time point, and the “calculated” (PC calc) values are those calculated using the ACID-BASICS software from the [SID]. The relationships are shown in Figure 8 and the regression details provided in Table 2. Measured versus calculated [H+] were highly correlated (p < 0.001) for both arterial and mv samples. Measured vs. calculated arterial [TCO2] were not strongly correlated (p > 0.001), whereas measured and calculated mv [TCO2] were highly correlated (p < 0.001). The inherent variability in these relationships arises from effects of temperature as well as the variability in each of the 6 independent measures used in their calculation: PCO2, [Atot], [Na+], [K+], [Cl−] and [lactate−].
Figure 8.
Results of the linear regression analyses relating measured, calculated and temperature-adjusted [TCO2] and [H+] in arterial plasma and mixed venous plasma. The equations and coefficients are presented in Table 2. Straight black line: predicted values; curved blue lines: 95% confidence interval; red lines: standard error.
Table 2.
Results of the linear regression analyses between measured and calculated [H+] and [TCO2] for the graphs presented in Figure 8.
The contributions of changes in each of the independent variables to the [H+] and [TCO2] were calculated based on using the Stewart program calculated values, but with temperature-adjusted PCO2. These values therefore differ somewhat from measured values, but this is necessary when calculating the contributions of each independent variable.
With respect to [H+], this level of moderate intensity exercise resulted in a mild arterial alkalosis (Figure 9 top). The primary contributor to the decrease in arterial [H+] was the decrease in PCO2, and secondarily the increase in [SID]. The alkalizing effects of these two changes were slightly offset by the increase in [Atot], which contributes to raising [H+]. There was no change in calculated mv [H+] during the exercise period (Figure 9 bottom). The rapid increase in mv PCO2 had a strong acidifying effect, while the increase in [Atot] had a secondary contribution to acidosis with the onset of exercise; these acidifying effects were completely offset by the increase in mv plasma [SID]. In the first 15 min of recovery, the pronounced decrease in venous PCO2 contributed nearly 100% to the post-exercise decrease in [H+], as [SID] and [Atot] returned to pre-exercise levels.
Figure 9.
Time course of contributions to change in calculated [H+] from the independent acid-base variables in arterial (top) and mixed venous (mv, bottom) plasma at rest prior to exercise, during exercise (shaded) and recovery from exercise. Data from 6 horses, mean ± SD. Error bars omitted are similar in magnitude to those presented for another variable. Arterial: [Atot] and [SID] contributions significantly different (p < 0.001) from calculated [H+] during exercise and recovery. mv: PCO2 and [SID] contributions significantly different (p < 0.001) from calculated [H+] during exercise and recovery.
While the changes in arterial [TCO2] were not statistically significant, the contributions of independent variables were still apparent for both arterial and venous [TCO2] (Figure 10). A rapid increase in arterial and venous [TCO2] with onset of exercise was completely attributed to the increase in [SID] at the onset of exercise and through the exercise period. The contributions of PCO2 and [Atot] to the [TCO2] were negligible through exercise and recovery.
Figure 10.
Time course of contributions to change in calculated [TCO2] from the independent acid-base variables in arterial (top) and mixed venous (mv, bottom) plasma at rest prior to exercise, during exercise (shaded) and recovery from exercise. Data from 6 horses, mean ± SD. Error bars omitted are similar in magnitude to those presented for another variable. Arterial: [Atot] and PCO2 contributions significantly different (p < 0.001) from calculated [H+] during exercise. mv: [Atot] and PCO2 contributions significantly different (p < 0.001) from calculated [H+] during exercise.
4. Discussion
The present paper presents the first detailed physicochemical analysis of both arterial and mv blood plasma in horses performing moderate intensity exercise to the point of clinical hyperthermia (Tcore 41.5 °C). By integrating the physicochemical approach with adjustment of temperature-dependent plasma gas and acid-base variables to core body temperature, the present study demonstrated a mild exercise-induced alkalosis in both arterial and mv plasma, albeit of lesser magnitude in mv than arterial plasma. The alkalizing effect of increased [SID] in mv plasma offset the acidifying effects of increased PCO2 and [Atot] (Figure 11). In arterial plasma, it was the alkalizing effect of reduced PCO2 that was the primary contributor to the alkalosis. The effect of temperature during exercise was insignificant for pH; however, increased Tcore resulted in increased PCO2, [TCO2], [HCO3−] and PO2 during the exercise period only. Temperature-induced increases in PCO2, [TCO2] and [HCO3−] had no effect on their a-mv concentration differences. However, the temperature induced increase in PO2 increased the a-mv PO2 difference during exercise, thus increasing the gradient for O2 flux from the arterial circulation to the contracting muscles.
Figure 11.
Summary of the main independent variable origins (contributions) to arterial and mixed venous plasma [H+] and [TCO2] during moderate intensity exercise in horses.
4.1. Temperature Adjustment
Previous studies that have applied Stewart’s physicochemical approach to acid-base analysis in exercising horses [10,11,12,13,39,47], as well as descriptive acid-base studies [4,5,48,49] have not applied temperature adjustments. High intensity exercise in horses results in large increases in core and peripheral temperatures [33,49,50,51], with core temperatures in excess of 43 °C reported at the end of high intensity exercise conducted in hot, humid conditions [49]. While effects of temperature over this temperature range on plasma pH are relatively small, the effect of the increase in temperature on the partial pressures of gases [32] and hence on the [HCO3−] and [TCO2] [52,53] are large (Figure 5 and Figure 6). The effects of increasing temperature during exercise contributed to a rapid increase in venous PCO2 to values two-fold greater than measured at T37, and venous PCO2 was maintained above pre-exercise values until cessation of exercise (Figure 3B). Thus, in vivo, there was no venous hypocapnia as was suggested by PCO2 at T37. In addition, the effect of temperature also largely abolished the arterial hypocapnia seen at T37, with significant hypocapnia seen only at the very end of exercise (Figure 3A). In contrast to the arterial PCO2, the arterial PO2 at TPA increased substantially during exercise (Figure 4A) driven by both temperature effects and the hyperpnea of exercise. Both the temperature effect and the hyperpnea [54] would augment oxygen delivery to contracting muscles.
4.2. Gas Exchange
When the arterial and mixed venous PCO2 and PO2 are considered in light of Forster’s work on control of breathing in ponies performing submaximal exercise [34,47,54,55,56] it becomes evident that the effects of temperature on control of breathing should be appreciable. The time course of changes in PCO2 and PO2 (at T37) in the present study agree with that of Forster. In Forster’s studies, because arterial and mixed venous PCO2, as well as [H+], decreased in the first minutes of exercise it was concluded that neither delivery of CO2 to the lungs nor the arterial PCO2 provided primary stimuli for the hyperpnea of exercise [56,57]. In contrast, the decrease in mixed venous PO2 with exercise was immediate (Figure 4B) and neural feed-forward (central command) preceded onset of exercise, supporting the concept that stimuli originating in exercising limbs and conveyed to the brain by spinal afferents contribute to the exercise hyperpnea [58] and thus account for the time course of changes in arterial PCO2 and PO2.
The onset of exercise results in an increase in oxygen extraction (Figure 4B) and CO2 release (Figure 3B) by contracting muscles. The resultant increase in venous PCO2 was due to both increased CO2 production (seen by the increase in venous PCO2 at T37) as well as the increase in temperature, which has a profound effect on increasing the solubility and partial pressure of blood gases [29,32]. Temperature effects on the muscle are greater than at the core [37,51], which is beneficial for both oxygen extraction (Figure 4B) and CO2 removal because higher partial pressure gradients are present. Temperature adjusted mixed venous PCO2 was ~60 mmHg, which means that the venous PCO2 leaving contracting muscles was likely 10 to 20 mmHg greater given the tissue mass and blood flow involved.
Perfusion of the lungs with mixed venous blood results in a decrease in blood temperature (unless ambient temperatures are hot), release of CO2 and uptake of O2. In the present study, it is clear that arterial PCO2 is involved in the control of breathing because the hyperventilation of exercise significantly reduced the PCO2 (Figure 3A). In contrast, the arterial PO2 was essentially maintained (Figure 4A). With exercise in equids, the drive to ventilate is not mediated by central chemoreceptors, as ventilation is elevated within seconds of initiation of exercise [37,59]. Increased arterial [H+] and PCO2 within the first 5 min of exercise were small and short-lasting, and not likely of physiological significance. The early drive to ventilate has been shown to be mediated by peripheral receptors associated with increased muscle PCO2 and central neural drive [54,58].
4.3. Factors Contributing to the Acid-Base Changes of Moderate-Intensity Exercise
The present study used the physicochemical acid-base approach to determine or partition the contributions of each of the independent acid-base variables ([SID], pCO2, and the [Atot]) in plasma to the changes in dependent acid-base variables ([H+], [HCO3−], [TCO2]) as detailed in only a few previous studies [11,25,38,39]. These types of interpretations furthered those presented by Forster and colleagues more than 30 years ago [34,47].
The physicochemical approach detailed by Stewart is based on the early research [22,60] that show that increases in PCO2 have an acidifying effect, increases in the concentrations of strong base cations (Na+ and K+, mainly) have an alkalizing effect, increases in the concentrations of strong acid anions (Cl− and lactate, mainly), and increases in the total concentrations of weak acids, i.e., albumin and phosphate, will have an acidifying effect [23]. The intensity of exercise in Forster et al.’s acid-base study at ~50% of maximal for ponies [34] appeared to be similar to that of the present study (~50% of maximal heart rate) based on the magnitude of changes in measured variables during the first 5 min of exercise. In both studies, both arterial and mixed venous [H+] decreased during exercise, and arterial [HCO3−] decreased while venous [HCO3−] tended to increase. When interpreting the causes of the changes in [H+] and [HCO3−], Forster et al. did not calculate what the dependent acid-base variables would have been with a change in only one of the three independent variables. Nonetheless, their interpretation of the decrease in arterial plasma [H+] to be primarily due to a decreased PCO2 and secondarily to increased [SID] is completely consistent with detailed analysis performed in the present study (Figure 7). A difference between the two studies is in the analysis of mixed venous plasma, which Forster and coworkers did not consider. In the present study, the increased mixed venous PCO2 had a pronounced acidifying effect, but this was completely negated by the simultaneous increase in [SID] (Figure 7). In both arterial and venous plasma, the increase in [Atot] is mainly due to the increase in plasma protein concentration that results from a net movement of protein-poor fluid into contracting muscles [61,62]. This weak acid contribution to plasma acidification was small and did not contribute significantly to the acid-base changes.
With high intensity exercise, the contributions of the independent acid-base variable to changes in [H+] and [HCO3−] or [TCO2] are very different from what is seen at moderate intensity exercise. With high intensity exercise, there are marked increases in [H+] and decreases in [HCO3−] and [TCO2] [10,33,39,49]. Two minutes of high intensity trotting by standardbred racehorses showed, using jugular venous blood, that a decreased [SID] was primarily responsible and increased [Atot] secondarily responsible for the plasma acidosis, while the decreased PCO2 contributed a mild alkalizing effect [39]. While Vengust et al. [10] determined the physicochemical variables with high intensity (~80% of peak VO2), they did not report their concentrations in plasma and also did not determine the contributions of independent variables to the dependent acid-base variables. Examination of their data also demonstrates that there was no decrease in arterial PCO2 until cessation of exercise, i.e., at a time point commensurate with the first post-exercise measurement of Waller and Lindinger [39].
Low to moderate intensity exercise results in a reduction in [H+]a and a decrease in PaCO2 [33,55,63,64]. With higher exercise intensity, there is an increase in [H+]a, with the increase proportional to the intensity of the exercise [10,39,56,64,65]. In Pan et al.’s study [56], the exercise duration was limited to 6 min, followed by 6 min of recovery.
Exercise duration in horses is limited compared to humans because of the high rate of body heat storage and rapid achievement of pathologically high tissue temperatures [51]. Taylor et al. [33] studied acid-base responses in Arabian breed horses, a breed suited to longer durations of exercise and with a body mass to surface area ratio that better facilitates heat dissipation compared to mature standardbred and thoroughbred horses. The horses in Taylor’s study exercised for a total duration of 52 min, with 13 small increments (speed increase of 0.5 m/s at constant slope of 6% [3.6°]) in intensity at 4 min intervals, thus achieving (near) steady-state at the end of each increment. Thus, the intensity at the end of exercise was still “moderate”. In this study, [H+]a fell during the first 10 min of exercise, and was stable for the next three increments, then decreased sharply with the next two increments, followed by a gradual increase for the remainder of the exercise period despite increasing intensity. [H+]mv remained unchanged for the first 26 min, followed a small decrease, then a continuing increase to above resting at the end of exercise.
5. Limitations
While the present study is descriptive, it tries to provide a mechanistic basis for the changes in arterial and mixed venous blood acid-base state. As with previous studies [10,11,12,39,47], the present study is limited primarily by the variability surrounding the measurement of each individual variable that contributes to the acid-base state, and secondarily by the small number of animals studied. Using larger numbers of animals would not affect the variability, as acid-base balance in horses is inherently variable [66]. A third limitation is that temperature adjustments were applied using core body (PA) temperature, while temperatures in contracting muscles at the end of exercise approached 43 °C while peripheral temperatures only approached 39 °C [39]. Measurement variability can make it difficult to identify clear responses when the physicochemical approach is applied to small groups of animals because of the animal variability, in contrast to when the approach is used with individuals [13,28]. The animal variability reflects both the number of individual plasma variables that change as well as differences in strategies used to control each of the plasma variables over time [28]. While this is unavoidable, it is necessary to take great care to obtain the most accurate measures of blood variables possible.
6. Conclusions
The significance of the present study is that correction of acid-base variables to, in this case, core body temperature presents a markedly different physiological response to exercise than that provided by variables measured and presented at an instrument temperature of 37 °C. Even with moderate intensity exercise in thermoneutral conditions, the resultant increase in body temperature affected acid-base status and gas partial pressures. The site of blood sampling is also important: a mild alkalosis had markedly different origins in arterial blood than in mixed venous blood. In mixed venous blood, increased CO2 had a major acidifying effect that was completely offset by increased [SID]. In arterial blood, decreased CO2 had an alkalizing effect that was offset by increased [Atot]. In order to fully understand how acid-base status changes during exercise and recovery, it is importance to quantify the changes in both arterial and mixed venous blood, with adjustment to core temperature.
Author Contributions
The experiments were performed at the treadmill facility of the Large Animal Clinic at the University of Guelph. M.I.L. contributed to the conception and design of the work, the acquisition, analysis, and interpretation of the data for the work, and the drafting of the work and revising it critically for important intellectual content. A.P.W. contributed to the analysis, interpretation of the data for the work, and the drafting of the work and revising it critically for important intellectual content. Both authors approved the final version of the manuscript. Both authors agree to be accountable for all aspects of the work in ensuring that questions related to the accuracy or integrity of any part of the work are appropriately investigated and resolved. All persons designated as authors qualify for authorship, and all those who qualify for authorship are listed. All authors have read and agreed to the published version of the manuscript.
Funding
The research was funded by American Horse Shows Association, E.P. Taylor Equine Research Fund, Natural Sciences and Engineering Council of Canada.
Institutional Review Board Statement
The care and use of animals for this research were approved by the University of Guelph Animal Care Committee and the experiments conducted in compliance with the university’s animal care policy and in accordance with the guidelines of the Canadian Council on Animal Care.
Informed Consent Statement
Not applicable.
Data Availability Statement
The data that support the findings of this study are available from the corresponding author upon reasonable request.
Acknowledgments
The authors acknowledge the substantial research contributions of Ray Geor, Jill McCutcheon, Gayle Ecker and Jesse Hare.
Conflicts of Interest
The authors declare no conflict of interest.
References
- Arfuso, F.; Assenza, A.; Fazio, F.; Rizzo, M.; Giannetto, C.; Piccione, G. Dynamic Change of Serum Levels of Some Branched-Chain Amino Acids and Tryptophan in Athletic Horses After Different Physical Exercises. J. Equine Vet. Sci. 2019, 77, 12–16. [Google Scholar] [CrossRef] [PubMed]
- Arfuso, F.; Giudice, E.; Panzera, M.; Rizzo, M.; Fazio, F.; Piccione, G.; Giannetto, C. Interleukin-1Ra (Il-1Ra) and Serum Cortisol Level Relationship in Horse as Dynamic Adaptive Response during Physical Exercise. Vet. Immunol. Immunopathol. 2022, 243, 110368. [Google Scholar] [CrossRef] [PubMed]
- Westerblad, H.; Allen, D.G.; Lännergren, J. Muscle Fatigue: Lactic Acid or Inorganic Phosphate the Major Cause? News Physiol. Sci. 2002, 17, 17–21. [Google Scholar] [CrossRef] [PubMed]
- Meyer, N.D.; Bayly, W.M.; Sides, R.H.; Wardrop, K.J.; Slinker, B.K. Changes in Arterial, Mixed Venous and Intraerythrocytic Ion Concentrations during Prolonged Exercise. Equine Vet. J. 2010, 42, 185–190. [Google Scholar] [CrossRef]
- Kupczyński, R.; Śpitalniak, K. Analysis of Acid-Base Balance as Well as Hematological and Biochemical Parameters in Horses of Combined Driving Discipline. Arch. Anim. Breed. 2015, 58, 221–228. [Google Scholar] [CrossRef]
- Arfuso, F.; Giannetto, C.; Giudice, E.; Fazio, F.; Panzera, F.; Piccione, G. Venous Blood Acid-Base Status in Show Jumper Horses Subjected to Different Physical Exercises. J. Equine Vet. Sci. 2020, 94, 103251. [Google Scholar] [CrossRef] [PubMed]
- Tavares Miranda, A.C.; Padilha, F.G.F.; Ramos, M.T.; Dimache, L.A.G.; Nascimento Godoi, F.; Galina Filho, A.; de Almeida, F.Q. Hemogasometry of Eventing Horses before and after Intense Exercise on a High Speed Treadmill. Livest. Sci. 2016, 186, 85–87. [Google Scholar] [CrossRef]
- Kingston, J.K.; Bayly, W.M. Effect of Exercise on Acid-Base Status of Horses. Vet. Clin. N. Am. Equine Pract. 1998, 14, 61–73. [Google Scholar] [CrossRef]
- Vengust, M.; Kerr, C.; Staempfli, H.R.; Pringle, J.; Heigenhauser, G.J.; Viel, L. Effect of Frusemide on Transvascular Fluid Fluxes across the Lung in Exercising Horses. Equine Vet. J. 2011, 43, 451–459. [Google Scholar] [CrossRef]
- Vengust, M.; Stämpfli, H.; de Moraes, A.N.; Teixeiro-Neto, F.; Viel, L.; Heigenhauser, G. Effects of Chronic Acetazolamide Administration on Gas Exchange and Acid-Base Control in Pulmonary Circulation in Exercising Horses. Equine Vet. J. 2010, 42, 40–50. [Google Scholar] [CrossRef]
- Kronfeld, D.S.; Ferrante, P.L.; Taylor, L.E.; Tiegs, W. Partition of Plasma Hydrogen Ion Concentration Changes during Repeated Sprints. Equine Vet. J. Suppl. 1999, 30, 380–383. [Google Scholar] [CrossRef] [PubMed]
- Viu, J.; Jose-Cunilleras, E.; Armengou, L.; Cesarini, C.; Tarancón, I.; Rios, J.; Monreal, L. Acid-Base Imbalances during a 120 Km Endurance Race Compared by Traditional and Simplified Strong Ion Difference Methods. Equine Vet. J. 2010, 42, 76–82. [Google Scholar] [CrossRef] [PubMed]
- Kirsch, K.; Sandersen, C. Traditional and Quantitative Analysis of Acid-Base and Electrolyte Imbalances in Horses Competing in Cross-Country Competitions at 2-Star to 5-Star Level. J. Vet. Intern. Med. 2020, 34, 909–921. [Google Scholar] [CrossRef] [PubMed]
- Mitchell, G.; Fuller, A.; Maloney, S.K.; Rump, N.; Mitchell, D. Guttural Pouches, Brain Temperature and Exercise in Horses. Biol. Lett. 2006, 2, 475–477. [Google Scholar] [CrossRef]
- Gunn, H.M.M. Muscle, Bone and Fat Proportions and Muscle Distribution of Thoroughbreds and Other Horses. In Equine Exercise Physiology; ICEEP Publications: Davis, CA, USA, 1987; Vol. n/a, pp. 253–264. [Google Scholar]
- Sheel, A.W.; Boushel, R.; Dempsey, J.A. Competition for Blood Flow Distribution between Respiratory and Locomotor Muscles: Implications for Muscle Fatigue. J. Appl. Physiol. 2018, 125, 820–831. [Google Scholar] [CrossRef]
- Laughlin, H.M.; Davis, M.J.; Secher, N.H.; van Lieshout, J.J.; Arce-Esquivel, A.A.; Simmons, G.H.; Bender, S.B.; Padilla, J.; Bache, R.J.; Merkus, D.; et al. Peripheral Circulation. Compr. Physiol. 2012, 2, 321–447. [Google Scholar] [CrossRef]
- Jones, J.H.; Taylor, C.R.; Lindholm, A.; Straub, R.; Longworth, K.E.; Karas, R.H. Blood Gas Measurements during Exercise: Errors Due to Temperature Correction. J. Appl. Physiol. 1989, 67, 879–884. [Google Scholar] [CrossRef]
- Constable, P.D. Clinical Assessment of Acid-Base Status. Strong Ion Difference Theory. Vet. Clin. N. Am. Food Anim. Pract. 1999, 15, 447–471. [Google Scholar] [CrossRef]
- Waller, A.; Heigenhauser, G.J.; Lindinger, M.I. Electrolyte Supplementation after Prolonged Moderate-Intensity Exercise Results in Decreased Plasma [TCO2] in Standardbreds. Equine Comp. Exerc. Physiol. 2007, 4, 149–158. [Google Scholar] [CrossRef]
- Henderson, L.J. Acidosis: I. Science 1917, 46, 73–83. [Google Scholar] [CrossRef] [PubMed]
- Singer, R.B.; Hastings, A.B. An Improved Clinical Method for the Estimation of Disturbances of the Acid-Base Balance of Human Blood. Medicine 1948, 27, 223–242. [Google Scholar] [CrossRef] [PubMed]
- Stewart, P.A. Independent and Dependent Variables of Acid-Base Control. Respir. Physiol. 1978, 33, 9–26. [Google Scholar] [CrossRef]
- Stewart, P.A. Modern Quantitative Acid-Base Chemistry. Can. J. Physiol. Pharmacol. 1983, 61, 1444–1461. [Google Scholar] [CrossRef] [PubMed]
- Waller, A.; Lindinger, M.I. The Effect of Oral Sodium Acetate Administration on Plasma Acetate Concentration and Acid-Base State in Horses. Acta Vet. Scand. 2007, 49. [Google Scholar] [CrossRef] [PubMed]
- Constable, P.D. The Physicochemical Approach for Evaluating Acid-Base Balance in Exercising Horses. Equine Vet. J. 1999, 31, 636–638. [Google Scholar] [CrossRef]
- Stickland, M.K.; Lindinger, M.I.; Olfert, I.M.; Heigenhauser, G.J.F.; Hopkins, S.R. Pulmonary Gas Exchange and Acid-Base Balance during Exercise. Compr. Physiol. 2013, 3, 693–739. [Google Scholar] [CrossRef]
- Lindinger, M.I.; Heigenhauser, G.J.F. Effects of Gas Exchange on Acid-Base Balance. Compr. Physiol. 2012, 2, 2203–2254. [Google Scholar] [CrossRef]
- Malan, A. Blood Acid-Base State at a Variable Temperature. a Graphical Representation. Respir. Physiol. 1977, 31, 259–275. [Google Scholar] [CrossRef]
- Reeves, R.B. Temperature Induced Changes in Blood Acid Base Status: PH and Pco2 in a Binary Buffer. J. Appl. Physiol. 1976, 40, 752–761. [Google Scholar] [CrossRef]
- Ashwood, E.R.; Kost, G.; Kenny, M. Temperature Correction of Blood-Gas and PH Measurements. Clin. Chem. 1983, 29, 1877–1885. [Google Scholar] [CrossRef]
- Malan, A. The Evolution of Mammalian Hibernation: Lessons from Comparative Acid-Base Physiology. Integr. Comp. Biol. 2014, 54, 484–496. [Google Scholar] [CrossRef] [PubMed]
- Taylor, L.E.; Kronfeld, D.S.; Ferrante, P.L.; Wilson, J.A.; Tiegs, W. Blood-Gas Measurements Adjusted for Temperature at Three Sites during Incremental Exercise in the Horse. J. Appl. Physiol. 1998, 85, 1030–1036. [Google Scholar] [CrossRef] [PubMed]
- Forster, H.V.; Murphy, C.L.; Brice, A.G.; Pan, L.G.; Lowry, T.F. In Vivo Regulation of Plasma [H+] in Ponies during Acute Changes in PCO2. J. Appl. Physiol. 1990, 68, 316–321. [Google Scholar] [CrossRef] [PubMed]
- Lindinger, M.I.; Geor, R.J.; Ecker, G.L.; McCutcheon, L.J. Plasma Volume and Ions during Exercise in Cool, Dry; Hot, Dry; and Hot, Humid Conditions. Equine Vet. J. 1995, 27, 133–139. [Google Scholar] [CrossRef]
- McCutcheon, L.J.; Geor, R.J.; Hare, M.J.; Ecker, G.L.; Lindinger, M.I. Sweating Rate and Sweat Composition during Exercise and Recovery in Ambient Heat and Humidity. Equine Vet. J. 1995, 27, 153–157. [Google Scholar] [CrossRef]
- Geor, R.J.; McCutcheon, L.J.; Ecker, G.L.; Lindinger, M.I. Thermal and Cardiorespiratory Responses of Horses to Submaximal Exercise under Hot and Humid Conditions. Equine Vet. J. 1995, 27, 125–132. [Google Scholar] [CrossRef]
- Lindinger, M.I.; Heigenhauser, G.J.F.; McKelvie, R.S.; Jones, N.L. Blood Ion Regulation during Repeated Maximal Exercise and Recovery in Humans. Am. J. Physiol. Regul. Integr. Comp. Physiol. 1992, 262. [Google Scholar] [CrossRef]
- Waller, A.; Lindinger, M.I. Physicochemical Analysis of Acid–Base Status during Recovery from High-Intensity Exercise in Standardbred Racehorses. Equine Comp. Exerc. Physiol. 2005, 2, 119–127. [Google Scholar] [CrossRef]
- Siggaard-Andersen, O.; Wimberley, P.D.; Gøthgen, I.H.; Fogh-Andersen, N.; Rasmussen, J.P. Variability of the Temperature Coefficients for Ph, PCO2, and Po2 in Blood. Scand. J. Clin. Lab. Investig. 1988, 48, 85–88. [Google Scholar] [CrossRef]
- Austin, W.H.; Lacombe, E.; Rand, P.W.; Chaterjee, M. Solubility of Carbon Dioxide in Serum from 15 to 38 C. J. Appl. Physiol. 1963, 18, 301–304. [Google Scholar] [CrossRef]
- Rispens, P.; Dellebarre, C.W.; Eleveld, D.; Helder, W.; Zijlstra, W.G. The Apparent First Dissociation Constant of Carbonic Acid in Plasma between 16 and 42.5°. Clin. Chim. Acta 1968, 22, 627–637. [Google Scholar] [CrossRef]
- Burnett, R.W.; Noonan, D.C. Calculations and Correction Factors Used in Determination of Blood PH and Blood Gases. Clin. Chem. 1974, 20, 1499–1506. [Google Scholar] [CrossRef] [PubMed]
- Beetham, R. A Review of Blood PH and Blood-Gas Analysis. Ann. Clin. Biochem. 1982, 19, 198–213. [Google Scholar] [CrossRef] [PubMed]
- Constable, P.D. A Simplified Strong Ion Model for Acid-Base Equilibria: Application to Horse Plasma. J. Appl. Physiol. 1997, 83, 297–311. [Google Scholar] [CrossRef]
- Staempfli, H.R.; Constable, P.D. Experimental Determination of Net Protein Charge and Atot and Ka of Nonvolatile Buffers in Human Plasma. J. Appl. Physiol. 2003, 95, 620–630. [Google Scholar] [CrossRef]
- Forster, H.V.; Murphy, C.L.; Brice, A.G.; Pan, L.G.; Lowry, T.F. Plasma [H+] Regulation and Whole Blood [CO2] in Exercising Ponies. J. Appl. Physiol. 1990, 68, 309–315. [Google Scholar] [CrossRef]
- Foreman, J.H.; Grubb, T.L.; Benson, G.J.; Frey, L.P.; Foglia, R.A.; Griffin, R.L. Acid-Base and Electrolyte Effects of Shortening Steeplechase in a Three-Day-Event. Equine Vet. J. Suppl. 1996, 85–90. [Google Scholar] [CrossRef]
- Marlin, D.J.; Scott, C.M.; Schroter, R.C.; Harris, R.C.; Harris, P.A.; Roberts, C.A.; Mills, P.C. Physiological Responses of Horses to a Treadmill Simulated Speed and Endurance Test in High Heat and Humidity before and after Humid Heat Acclimation. Equine Vet. J. 1999, 31, 31–42. [Google Scholar] [CrossRef]
- Geor, R.J.; McCutcheon, L.J.; Lindinger, M.I. Adaptations to Daily Exercise in Hot and Humid Ambient Conditions in Trained Thoroughbred Horses. Equine Vet. J. Suppl. 1996, 63–68. [Google Scholar] [CrossRef]
- Geor, R.J.; McCutcheon, L.J.; Ecker, G.L.; Lindinger, M.I. Heat Storage in Horses during Submaximal Exercise before and after Humid Heat Acclimation. J. Appl. Physiol. 2000, 89, 2283–2293. [Google Scholar] [CrossRef]
- Burnett, R.W.; Covington, A.K.; Fogh-Andersen, N.; Külpmann, W.R.; Maas, A.H.; Müller-Plathe, O.; Siggaard-Andersen, O.; van Kessel, A.L.; Wimberley, P.D.; Zijlstra, W.G. International Federation of Clinical Chemistry (IFCC). Scientific Division. Committee on PH, Blood Gases and Electrolytes. Approved IFCC Recommendations on Whole Blood Sampling, Transport and Storage for Simultaneous Determination of PH, Blood Gases and e. Eur. J. Clin. Chem Clin. Biochem. 1995, 33, 247–253. [Google Scholar] [PubMed]
- Kruse, J.A. Calculation of Plasma Bicarbonate Concentration versus Measurement of Serum CO2 Content. PK´ Revisited. Clin. Intensive Care 1995, 6, 15–20. [Google Scholar] [CrossRef]
- Forster, H.V.; Pan, L.G.; Bisgard, G.E. Hyperpnea of Exercise at Various PIO2 in Normal and Carotid Body-Denervated Ponies. J. Appl. Physiol. Respir. Environ. Exerc. Physiol. 1983, 54, 1387–1393. [Google Scholar] [CrossRef] [PubMed]
- Forster, H.; Pan, L.; Bisgard, G.; Dorsey, S.; Britton, M. Temporal Pattern of Pulmonary Gas Exchange during Exercise in Ponies. J. Appl. Physiol. 1984, 57, 760–767. [Google Scholar] [CrossRef]
- Pan, L.; Forster, H.; Bisgard, G.; Murphys, C.; Lowry, T. Independence of Exercise Hyperpnea and Acidosis during High-Intensity Exercise in Ponies. J. Appl. Physiol. 1986, 60, 1016–1024. [Google Scholar] [CrossRef]
- Pan, L.; Forster, H.; Bisgard, G.; Dorsey, S.; Busch, M. Cardiodynamic Variables and Ventilation during Treadmill Exercise in Ponies. J. Appl. Physiol. 1984, 57, 753–759. [Google Scholar] [CrossRef]
- Forster, H.V.; Haouzi, P.; Dempsey, J.A. Control of Breathing during Exercise. Compr. Physiol. 2012, 2, 743–777. [Google Scholar] [CrossRef]
- Forster, H.V.; Pan, L.G. Contribution of Acid-Base Changes to Control of Breathing during Exercise. Can. J. Appl. Physiol. 1995, 20, 380–394. [Google Scholar] [CrossRef]
- Henderson, L.J. The Regulation of Neutrality in the Animal Body. Science 1913, 37, 389–395. [Google Scholar] [CrossRef][Green Version]
- Waller, A.; Lindinger, M.I. Time Course and Magnitude of Fluid and Electrolyte Shifts during Recovery from High-Intensity Exercise in Standardbred Racehorses. Equine Comp. Exerc. Physiol. 2005, 2, 77–87. [Google Scholar] [CrossRef]
- Waller, A.P.; Lindinger, M.I. Pre-Loading Large Volume Oral Electrolytes: Tracing Fluid and Ion Fluxes in Horses during Rest, Exercise and Recovery. J. Physiol. 2021, 599, 3879–3896. [Google Scholar] [CrossRef] [PubMed]
- Pan, L.G.; Forster, H.V.; Bisgard, G.E. O2 Transport in Ponies during Treadmill Exercise. J. Appl. Physiol. Respir. Environ. Exerc. Physiol. 1984, 57, 744–752. [Google Scholar] [CrossRef] [PubMed]
- Parks, C.M.; Manohar, M. Blood-Gas Tensions and Acid-Base Status in Ponies during Treadmill Exercise. Am. J. Vet. Res. 1984, 45, 15–19. [Google Scholar] [CrossRef] [PubMed]
- Littlejohn, A.; Snow, D.H. Circulatory, Respiratory and Metabolic Responses in Thoroughbred Horses during the First 400 Meters of Exercise. Eur. J. Appl. Physiol. Occup. Physiol. 1988, 58, 307–314. [Google Scholar] [CrossRef]
- Lindinger, M.I. Total Carbon Dioxide in Adult Standardbred and Thoroughbred Horses. J. Equine Vet. Sci. 2021, 106, 103730. [Google Scholar] [CrossRef] [PubMed]
Publisher’s Note: MDPI stays neutral with regard to jurisdictional claims in published maps and institutional affiliations. |
© 2022 by the authors. Licensee MDPI, Basel, Switzerland. This article is an open access article distributed under the terms and conditions of the Creative Commons Attribution (CC BY) license (https://creativecommons.org/licenses/by/4.0/).










