Simple Summary
Environmental enrichments are frequently used in zoos and aquaria to enhance animal welfare by adding or changing enclosure features and providing animals with new stimuli. We tested three types of enrichments on a zoo-housed group of Lemur catta to assess the integrated effect of enrichment items and environmental and individual factors on the animals’ behavior. We collected data from June to September 2013 using the continuous animal sampling method for a total of 107 hours of observation. We observed the lemurs across five conditions (i.e., baseline, food-related, physical, auditory enrichments and no enrichment provided). We found that enrichments decreased stress-related behaviors, whereas the other behavioral patterns were mainly influenced by environmental and individual parameters. Our results confirmed the importance of applying multivariate research methods to properly evaluate enrichment programs and provided the hosting institution with key information to improve the lemurs’ husbandry and care.
Abstract
Environmental enrichment is a management tool used to promote positive animal welfare by stimulating species-specific behaviors and providing animals with opportunities to exert choice and control over the environment. Our study aimed to evaluate the combined effect of three enrichment types and environmental/individual factors (i.e., individual age and rank position) on the behavior of six adult Lemur catta hosted at Pistoia Zoo (Italy). We collected data from June to September 2013 using a within-subject experimental design consisting of five conditions: Baseline, Food-based enrichment, Physical enrichment, Auditory enrichment and No enrichment provided. We conducted six 30-minute observation sessions per sampling day (total = 107 h). We recorded the animals’ behavior via 2-minute focal animal sampling per individual per observation period and analyzed data with Generalized Linear Models. The study group only performed normal species-specific behaviors. Enrichments decreased stress-related behavioral patterns, whreas environmental and individual factors influenced the other recorded behaviors. Our study confirmed the usefulness of employing an integrated methodological approach to enrichment assessment for enhancing captive lemur care.
1. Introduction
Environmental enrichment is one of the key tools employed by the community of zoos and aquaria to manage both domestic and wild animal species and promote positive animal welfare states [1,2]. Environmental enrichment can be defined as an animal husbandry technique aimed at enhancing captive care by providing animals with new stimuli to promote their psychological and physical well-being [1,2,3,4,5]. Indeed, animals in the wild are exposed to changing environmental conditions and cues, whereas captive animals usually have access to a limited array of stimuli compared to their wild counterparts [1,5,6]. For example, they may have to deal with the lack of space and enclosure complexity, predictable husbandry schedule and reduced choice and control with detrimental consequences on their welfare [7,8,9].
Environmental enrichments have been traditionally employed to increase the expression of species-specific behavioral patterns and reduce the occurrence of abnormal repetitive behaviors (i.e., repetitive, unvarying and seemingly functionless behavioral patterns) and stress-related ones which usually indicate poor welfare conditions [10,11,12,13]. They are commonly divided into five overlapping categories in relation to their main characteristics and aims (food-based enrichments, physical enrichments, sensory enrichments, social enrichments and cognitive enrichments [1]). Despite the fact that the evaluation of enrichment items should be a key part of any enrichment program [14], most enrichment studies have focused on large and charismatic species, such as ursids, felids and great apes [12].
We focused our study on the ring-tailed lemur (Lemur catta), a strepshirrine species commonly found in zoos [15]. L. catta is listed as endangered in the Red List of Threatened Species of the International Union for Conservation of Nature (IUCN) [16]. In captive settings, ring-tailed lemurs are housed as part of cooperative breeding and management programs aimed at maintaining genetically healthy populations in captivity for future restocking and reintroduction initiatives according to the One Plan Approach promoted by the IUCN [17].
Ring-tailed lemurs inhabit southern and southwestern Madagascar and are found in forested areas (e.g., gallery and spiny forests) and in outcrop forest patches [18,19]. They are a social and highly despotic species characterized by a strict female dominance [20]. L. catta lives in female-bonded groups containing approximately 10 to 25 individuals with males dispersing once they reach sexual maturity [21]. They have been generally considered diurnal, but studies in the wild have detected cathemeral activity in some populations [22,23]. They have adapted to live both on trees and on the ground where they can spend up to 33% of the day [24] and are opportunistic frugivore/folivore primates that occasionally feed on invertebrates and small vertebrates [25,26,27,28]. Despite the species’ conservation status and abundance in zoos, enrichment-related literature is still sparse, making L. catta a good model species to test various types of enrichments.
Previous studies on lemurs found a significant increase in activity (e.g., locomotion) and foraging behaviors thanks to the implementation of food-based enrichments (Lemur catta [15]; Varecia variegata [29,30]; Eulemur macaco macaco, Lemur catta [31]; Lemur catta, Varecia rubra [32]; Eulemur collaris, Lemur catta [33]).
Available research on sensory enrichments (e.g., auditory, olfactory and visual enrichments [1]) mostly focused on testing olfactory stimuli that often had a limited effect on lemur behavior and time budget or lead to conflicting results on their impact on the overall welfare of the studied animals (see for example: Lemur catta, [34]; Varecia rubra [35]). Interestingly, Laméris and co-authors [36] analyzed the integrated effect of enclosure type (indoor vs. outdoor) and enrichment provision (food-based and olfactory stimuli) on the behavior of a group of ring-tailed lemurs and found that enclosure characteristics had a greater influence in comparison with the implemented enrichments. Finally, a recent study on physical enrichments [37] found that sleep environments enriched with soft and insulated material raised the duration of sleeping bouts in four lemur species, including L. catta, with potential benefits for the animals’ well-being.
Captive lemurs were reported to develop abnormal repetitive behaviors (ARBs) such as locomotory pacing (i.e., moving repetitively along the same route) and head throw-back [31,32], as found in other non-human primates [38,39]. In addition, studies on L. catta [40,41] demonstrated that self-directed behaviors, such as self-grooming, self-scratching and yawning are good indicators of short-term distressed emotional states (e.g., anxiety) as in other non-human primates [42]. Various scholars highlighted a decrease of ARBs and stress-related behavioral patterns in captive non-human primates, including L. catta, thanks to the implementation of environmental enrichments, confirming their positive effect on animals’ overall welfare [12,35].
In zoo studies, environmental conditions and visitor presence need to be carefully taken into consideration to better assess any behavioral variation potentially associated with the changes applied to animal husbandry and care practices [1,43]. For example, a recent study analyzed the integrated impact of environmental factors and visitor attendance on a group of captive ring-tailed lemurs and found that environmental conditions influenced behavior more than visitor presence [44]. Additionally, when conducting research on social and despotic species, such as L. catta [21], and on groups with different age classes, individual rank and age are worth including in the analysis [1,3,4]. Indeed, enrichment items could be monopolized by high-ranking group members causing an increase of agonistic behaviors and/or could be mainly used by young subjects if energy consuming [45].
In this study, we test the combined effect of three types of environmental enrichments (i.e., food-based, physical and auditory) and environmental/individual factors on the behavior of a group of zoo-housed ring-tailed lemurs. The general aim of the study is to promote the expression of species-specific behavioral patterns and reduce ABRs and stress-related behaviors. In particular, thanks to the social structure and stability of the selected group [46] and the predictable husbandry routine [7], we expect to find low levels of agonistic, explorative, scent-marking, foraging and locomotor behaviors, and a higher level of resting and stress-related patterns (e.g., yawning, self-scratching and self-grooming [40,41] compared to studies performed in the wild, as reported also by previous research on captive lemurs [16,30,32,36]. We also expect to detect the occurrence of ARBs, as found by other scholars, and a higher level of affiliative behaviors with respect to other captive studies conducted on breeding groups [16,36]. We hypothesize that the selected enrichment items will increase the expression of exploratory, foraging, locomotion and scent-marking patterns, reduce resting and stress-related behaviors, and have a neutral effect on affiliative and agonistic ones.
2. Materials and Methods
2.1. Subjects and Study Sites
The study was conducted on a family group of 6 adult ring-tailed lemurs (mother with four adult female offspring and one adult castrated male offspring) housed at Giardino Zoologico di Pistoia (Pistoia, Italy). All the lemurs were born in captivity and were mother-reared. A list of the subjects is reported in Table 1. They were hosted in a naturalistic exhibit consisting of an outdoor section of 100 m2 connected to an indoor facility of 15 m2 composed of two rooms. Visitors could observe the animals through a glass panel located along the eastern side of the outdoor enclosure. The lemurs had 24-hour access to the indoor facility where they were fed twice a day (i.e., morning and afternoon) with mixed fruits and vegetables. The animals were managed in free contact [1] with interaction with zookeepers taking place only during husbandry procedures (i.e., enclosure cleaning and food provision).
Table 1.
Ring-tailed lemurs involved in the study. The table reports the names of the six subjects, the year of birth, the sex and the Normalized David’s Score (used to assess the individual rank) of each subject.
2.2. Enrichment Types
We provided the lemurs with three types of enrichments: (E1) food-based; (E2) physical; and (E3) auditory. E1 consisted of two coconut shells (diameter = 10 cm) tied together and hung on a branch with a rope (Figure 1a). We offered six coconuts—one for each subject—containing one-third of the daily diet. Each shell had two 4 cm diameter holes to allow the animals to reach the food inside using their hands. As physical enrichment (E2), we used six hammocks (24 cm × 60 cm) made from burlap sacks and hung on branches and climbing structures with a rope (Figure 1b).
Figure 1.
Enrichment types provided to the study group of ring-tailed lemurs: (a) food-based enrichment, E1; (b) physical enrichment, E2; (c) auditory enrichment, E3.
For the third enrichment type (E3), we used playback of territorial calls of siamangs (Symphalangus syndactylus) and howler monkeys (Alouatta spp) played from the digital archive owned by the hosting institution.
All the enrichments were novel to the lemurs. E1 and E2 were placed in the outdoor enclosure at different locations immediately before the beginning of the first observation session. Playback (E3) was played using a portable Mipron MA-101 amplifier placed in the central part of the outdoor enclosure (Figure 1c) at the beginning of each observation session.
2.3. Data Collection
Data collection was preceded by a 3-week training phase, during which we conducted preliminary observations with the ad libitum sampling method [47] to design an ethogram specific to the study integrating the existing literature [46]. The ethogram included 48 behaviors grouped into 12 behavioral categories (Table 2). Individual identification was based on external features, such as tail shape and muzzle color.
Table 2.
Description of the behaviors considered for the present study based on the ethogram of Pereira and Kappeler [46], Maloney et al. [31] and Shapiro [32].
Data was collected during real-time observation by the same observer over a 3-month period (11 weeks) from June to September 2013 using a within-subject experimental design [47] consisting of 5 conditions: Baseline (BL); Food-based enrichment (E1); Physical enrichment (E2); Auditory enrichment (E3); and No enrichment provided (NE). Each condition consisted of seven sampling days with six 30-min observation sessions conducted from 08:30 am to 05:30 pm for a total of 107 h of observation.
BL preceded the other conditions and took place during the first two weeks of data collection. Then, we presented two types of enrichments in six out of nine weeks and all the enrichment types in the other three weeks. We provided the enrichments following a random schedule. The same enrichment type was presented with a time interval of one or two weeks between subsequent administrations. Regarding the NE condition, we collected data one or two days after the presentation of each enrichment.
We recorded the animals’ behavior via 2-minute focal animal sampling [48] per subject per observation session. The individuals were selected as focal subjects according to a random sequence. Ambient temperature was also measured at the beginning of each observation session using a Reptiles Planet® digital thermometer to calculate the daily average temperature.
2.4. Data Analysis
For each observation session we counted the number of behavioral samples performed by each subject and assigned the total number of behavioral patterns to the corresponding behavioral category per individual per session (Table 2).
We determined the dominance relationship using the Normalized David’s Scores (NDS) [49]. To assess the individual rank, we entered the number of decided agonistic encounters per dyad into an aggression sociomatrix using the R ‘steepness’ package (https://CRAN.R-project.org/package=steepness (accessed on 13 June 2022)). We calculated individual NDSs employing a dyadic dominance index (Dij) in which the observed proportion of wins (Pij) is corrected for the chance occurrence of the observed outcome. The chance occurrence of the observed outcome is calculated based on a binomial distribution with each subject having an equal chance of losing or winning in every agonistic interaction [49]. Correction is required when the number of interactions differ between dyads. The NDSs of the study subjects are reported in Table 1.
To test the effect of the provided enrichments on behavioral categories, we performed multivariate statistical analyses on seven behavioral categories (i.e., affiliative, agonistic, exploration and scent-marking, foraging, locomotion, resting, and stress-related; Table 2). We ran three GLMs including locomotion (GLM1, Nfocal_observation = 210), resting (GLM2, Nfocal_observation = 210) and stress-related behavioral patterns (GLM3, Nfocal_observation = 210) as dependent variables. We coded age (numeric), individual NDS (numeric), condition (factorial: BL, E1, E2, E3, NE), day of the week (factorial: weekdays, weekend days), ambient temperature (numeric), the interaction between condition and age and between condition and NDS as fixed factors. The GLMs were performed using the R-function glm (family = poisson) of the R-package glmmTMB.
The other selected behavioral categories (affiliative, agonistic, exploration and scent-marking, foraging) had a distribution with a percentage of zero-valued observations ranging from 25.7% to 81.9%. Based on Desmarais and Jeffrey [50], we ran the Vuong test with the AIC- and BIC-corrections (R-function: vuong) to compare the Zero-Inflated Poisson Regression (ZIPR) model with the ordinary Poisson regression model and to select the most appropriate procedure. Based on the obtained results, we performed GLMs also on the other behavioral categories (affiliative, GLM4, Nfocal_observation = 210; agonistic, GLM5, Nfocal_observation = 210; explorative and scent marking, GLM6, Nfocal_observation = 210; foraging, GLM7, Nfocal_observation = 210). For GLM5 (target variable: agonistic) we could not include the interactions (condition × day of the week, condition × age, condition × NDS) as fixed factors because the predicted probabilities of one or more observations in our data frame for this behavioral category were indistinguishable from 0 or 1.
For the GLMs, we used a likelihood ratio test [51] to detect if there was a statistically significance difference between the full and the null models (ANOVA with argument Chisq). We applied the Nagelkerke’s psuedo R squared test to the results of GLMs to evaluate the goodness of fit of the models. Nagelkerke’s psuedo R squared can be used to assess the predictive power of the model. If the Nagelkerke’s psuedo R squared test’s value (range= 0–1) is equal to 1, then the model explains 100% of the variation in the dependent variable [52].
We then calculated the p values for the individual predictors using the R-function drop1 that implements backward elimination using a dr object [53]. In particular, the function computes either marginal coordinate tests (if d = NULL) or conditional marginal coordinate tests (if d is positive) and drops the predictors not reported in the scope (i.e., a one-sided formula specifying predictors that will never be removed), returning p values. The result of this analysis is an object created from the original object with the predictor with the largest p value removed [54].
In case of significant factorial predictors, we used the Tukey test (R-package; multcomp) to perform all pairwise comparisons [55]. The level of probability of tests for pairwise comparisons was adjusted based on the Bonferroni correction [47]. When we found a significance of the interactions (condition × age, condition × NDS) we considered only the effect of the interaction and not the effect of the single fixed factors. Confidence intervals were calculated with the R-function confint.lm (R-package: MASS). All the analyses were performed in R version 4.2.1 [56].
3. Results
3.1. Time Budget
In BL, resting was the most frequent behavioral category (33.33%), followed by locomotion (22.40%), stress-related (10.67%), affiliative (8.29%), foraging (7.50%), exploration and scent-marking (5.38%), out of sight (4.85%), vigilance (3.88%), self-maintenance (2.91), agonistic (0.44%) and interspecific interaction (0.33%). We did not detect any abnormal repetitive behavior.
3.2. Generalized Linear Models (GLMs)
The full model (GLM1; target variable: locomotion) including all fixed factors (age, NDS, condition, day of the week, ambient temperature, condition × age, and condition × NDS) was found to significantly differ from the null model (likelihood ratio test: χ2 = 127.79; df = 16, p < 0.001; Nagelkerke’s pseudo R squared = 0.46). Age and ambient temperature had a significant effect on the target behavioral category (age: p = 0.001; ambient temperature: p = 0.003; Table 3). Younger individuals engaged more in locomotion in comparison with the older ones (Figure 2a). Concurrently, the level of locomotion increased with lower temperatures (Figure 2b).
Table 3.
Full results of GLMs on the effects of enrichments and environmental/individual factors on the lemurs’ behaviors (Ncases = 210). Significant results are reported in bold.
Figure 2.
Effect plot of variables having a significant influence on the number of locomotor patterns. The number of locomotor patterns (Y axis): (a) decreases as the age of individuals (X axis) increases, (b) decreases as the ambient temperature (X axis) increases. The band represents the confidence interval.
For GLM2 (target variable: resting), the full model did not differ from the null model (likelihood ratio test: χ2 = 13.057, df = 16, p = 0.669; Nagelkerke’s pseudo R squared = 0.06). The full model for stress-related patterns (GLM3) significantly varied from the null model (likelihood ratio test: χ2 = 64.328, df = 16, p < 0.001; Nagelkerke’s pseudo R squared = 0.27). We found that day of the week and the interaction between condition and age significantly predicted the level of the target variable (day of the week: p = 0.020; condition × age: p = 0.017; Table 3). The level of stress-related behaviors was higher on weekdays than weekend days (Figure 3a). The behavioral pattern decreased with age in all the enrichment conditions (Figure 3b).
Figure 3.
Effect plot of variables having a significant influence on the number of stress related patterns. The number of stress related patterns (Y axis): (a) decreases during weekend days (X axis) and (b) varies according to age (X axis) and condition. The band represents the confidence interval.
The full model related to the affiliative behavioral category (GLM4) was different from the null model (likelihood ratio test: χ2 = 72.576, df = 16, p < 0.001; Nagelkerke’s pseudo R squared = 0.30). We found a significant effect of NDS on the target variable with high-ranking individuals showing the highest level of the behavioral pattern (NDS: p = 0.002; Table 3; Figure 4). We also detected a trend of significance for ambient temperature (p = 0.055) with an increase of affiliative behaviors with higher temperatures.
Figure 4.
Effect plot of the variable having a significant influence on the number of affiliative patterns. The number of affiliative patterns (Y axis): increases as the NDS value (X axis) increases. The band represents the confidence interval.
For GLM5 (target variable: agonistic), the full model differed from the null one (likelihood ratio test: χ2 = −30.414, df = 8, p < 0.001; Nagelkerke’s pseudo R squared = 0.18). Age and conditions showed a significant effect on the agonistic behavioral category (Table 3). Younger individuals performed more agonistic patterns than their older group mates (p = 0.002; Figure 5a). Moreover, agonistic behaviors were higher in E1 than in BL (Table 4; Figure 5b).
Figure 5.
Effect plot of variables having a significant influence on the number of agonistic patterns. The number of agonistic patterns (Y axis): (a) decreases as the age of individuals (X axis) increases, (b) varies according to the enrichment condition (X axis). The band represents the confidence interval.
Table 4.
Full results of the Tukey test for the agonistic behaviors. Significant results are reported in bold.
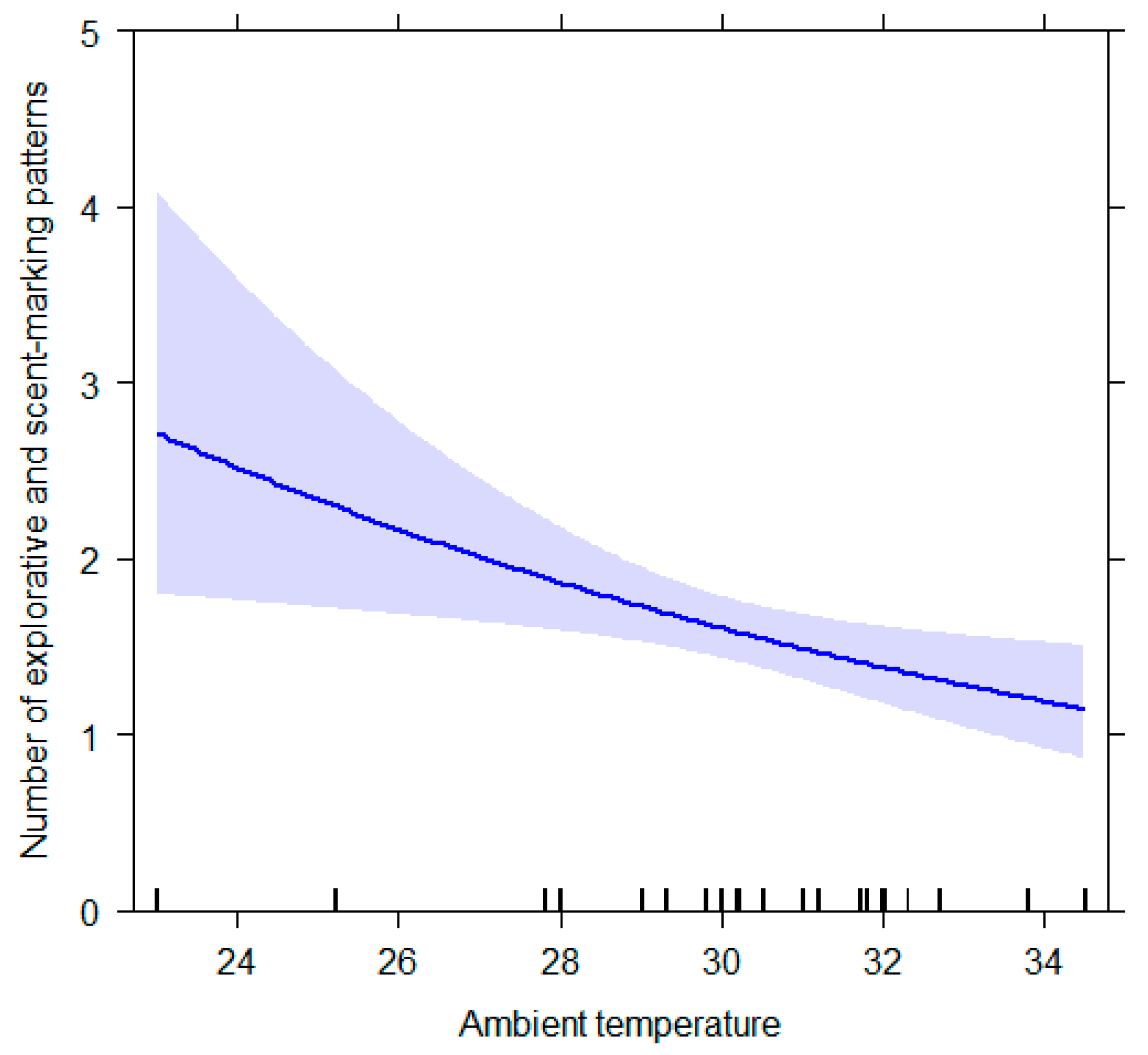
The full model for explorative and scent-marking behavioral patterns (GLM6) was found to be different from the null model (likelihood ratio test: χ2 = 41.522, df = 16, p < 0.001; Nagelkerke’s pseudo R squared = 0.18). Ambient temperature was found to be a significant predictor of the target variable (ambient temperature, p = 0.009). (Table 3; Figure 6). The analysis showed a trend of significance for the interaction between condition and NDS (p = 0.072).
Figure 6.
Effect plot of the variable having a significant influence on the number of explorative and scent-marking patterns. The number of explorative and scent-marking patterns (Y axis) decreases as the ambient temperature (X axis) increases. The band represents the confidence interval.
For GLM7 (target variable = foraging), the full model varied from the null model (likelihood ratio test: χ2 = 29.425, df = 16, p = 0.021; Nagelkerke’s pseudo R squared = 0.13). Day of the week had a significant influence on the target behavioral pattern (Table 3; p = 0.025), which was performed more during weekdays. (Figure 7).
Figure 7.
Effect plot of the variable having a significant influence on the number of foraging patterns. The number of foraging patterns (Y axis) decreases during the weekend days (X axis). The band represents the confidence interval.
4. Discussion
In this section, we discuss our results regarding time budget and enrichment effect, focusing on the behavioral categories of interest (resting, locomotion, explorative and scent-marking, foraging, stress-related, affiliative, agonistic and abnormal repetitive behaviors). We only recorded normal species-specific behaviors and found a significant effect of age (agonistic, locomotion), NDS (affiliative), condition (agonistic), day of the week (stress-related and foraging), interaction between condition and age (stress-related), and ambient temperature (locomotion and explorative and scent-marking). We will also provide suggestions to improve the implementation of the proposed enrichments and discuss the importance of employing multivariate research methods to properly assess the complex range of environmental and social stimuli of captive environments.
4.1. Time Budget
To our knowledge, captive and wild research projects focusing on time budget [21,24,36,57,58,59,60,61] are still limited, underlying the importance of further investigating this aspect in both contexts to better compare the welfare state of captive animals with their wild conspecifics.
In our study, the predominant behavioral category of the lemurs’ time budget in BL was resting in accordance with data obtained both in the wild and in zoos [15,24,31,36,57,58]. Nevertheless, in contrast with our hypotheses, the subjects were found to dedicate less time to resting and engage more in locomotion compared to previous studies carried out in captivity [15,32,36,62], with an overall activity level similar to those reported for wild individuals [24,57,58,59]. Our results seem to suggest that the environment the subjects were provided with and the stimuli within and around their enclosure were effective in promoting active behaviors with potential positive welfare outcomes. Indeed, environments that do not meet species-specific requirements may result in stressful living conditions that negatively affect animals’ physical and mental health causing, for example, excessive inactivity, hyper-aggressive behaviors, and stereotypies [63,64]. Our findings are also supported by the comparable percentage of explorative and scent-marking behavioral patterns between our study group and wild ones [65].
In their natural habitat, ring-tailed lemurs usually spend 13–19% of their time budget moving among preferred feeding sites [59] and 18–30% foraging [21]. As expected, the study subjects engaged less in foraging that their wild conspecifics as found in previous research conducted in captive settings [15,36] underlying a generalized lack of species-specific foraging opportunities in zoos. Presenting food in bowls is one of the most common practices found in zoological institutions because it facilitates daily husbandry procedures and allows the animal care personnel to save working time [1]. Thus, our results, in accordance with the available literature [1], highlight the necessity to increase the complexity of food presentation in captivity to increase the time allocated to foraging behavioral patterns.
Yawning, self-scratching and self-grooming have been recognized as potential proxy of anxiety in L. catta [20,40,41]. For this reason, they need to be carefully considered when conducting animal welfare assessments. The percentage of stress-related behaviors in this study (10.67%) was higher than the one reported by Laméris and colleagues (5.28%) [36], potentially highlighting welfare issues. Nevertheless, differently from Laméris et al. [36] who analyzed only self-scratching and self-grooming, we included yawning in our analysis according to Zannella et al. [41]. However, the percentage of yawning in our study was 0.53%, meaning that our study group expressed more stress-related patterns in comparison to the work conducted by Laméris et al. [36].
Agonistic behaviors in the wild mostly occur around food and water resources and during mating season and intergroup encounters [66]. The study subjects were a mother with her adult offspring and the social structure of the group was stable during the observation period. Moreover, no other lemur species were housed nearby the ring-tailed lemurs and their enclosure only boarded on the north-western side with the exhibit of a colony of Greater flamingos (Phoenicopterus roseus) with plenty of vegetation serving as a visual barrier. As expected, we rarely detected agonistic behaviors in accordance with the available literature [36,67]. Furthermore, the expression of affiliative behaviors was comparable with the data reported on wild populations [61,65] and higher in comparison with other captive groups [15,36]. Since our study group was composed of one matrilineal lineage, this result can be explained based on the study of Taylor and Sussman [68] that reported a higher percentage of affiliative interactions between closely related individuals and matrilineal lineages.
Captive animals can develop abnormal repetitive behaviors (ABRs) that can originate from proximate and past exposure to chronic stressful stimuli. For example, ABRs could be related to limited early social experience (e.g., reduced or lack of maternal care), unsuitable environments and repeated stressful husbandry and care procedures [1,11,39]. In addition, sex, species and animal temperament was also found to potentially affect the expression of ABRs [39]. As regards non-human primates, previous studies reported various types of ABRs, such as locomotor pacing, over-grooming and over-aggression, which are usually considered a sign of potential suffering [11,38]. In our study, we only recorded normal species-specific behaviors and we did not detect any ABR, suggesting that the study subjects were provided with good housing and husbandry conditions.
4.2. Environmental Enrichment Effect
We found that the level of locomotion was not affected by the provision of enrichments, in contrast with previous studies on L. catta and other lemur species [15,29,31,32,33,36,69]. However, as reported in Section 4.1, the study group showed a higher level of locomotion compared to other research conducted in captivity [15,32,36,62] and an overall activity level comparable with wild lemur populations [24,57,58,59]. Therefore, our results underline the importance of carefully selecting the types of enrichments to induce only the needed behavioral changes. Older individuals moved less than younger ones and locomotion decreased with higher ambient temperature as reported by other scholars [32,44]
Enrichment did not have an impact on resting, in contrast with the results reported by the above-mentioned research [15,29,31,32,33,36,69] where enrichment provision was usually associated with a reduction of inactivity. However, it is worth nothing that the subjects presented a level of resting which closely mirrored those of wild conspecifics and, therefore, there was no need to further increase their activity.
The expression of stress-related behaviors was higher on weekdays than weekend days. This result could indicate a potential positive effect of visitor presence because people visited the hosting institution mainly during weekends. According to the available literature [43], visitors can exert a neutral, negative or positive effect in relation to the species, individual temperament and environmental conditions. Further studies including the recording of visitor numbers and the associated noise levels are suggested to clarify the visitor effect on stress-related patterns. The other variable that significantly affected the number of stress-related behaviors was the interaction between condition and age. Our results showed a general decrease of the target behavior with all the enrichment types with differences at individual level, thus confirming the positive influence of enrichments on animal well-being.
Interestingly, auditory enrichments are not commonly used in zoos. In a survey on enrichment practices carried out by Hoy et al. [70] and involving 60 zoos in 13 countries, 74% of respondents did not use auditory stimuli for captive mammals, despite promising results described in the literature (see for example [71,72,73,74,75]). Moreover, previous studies traditionally employed music or natural sounds (e.g., rainforest sounds) or vocalizations from conspecifics or predators [45,71,72,73,74,75]. To our knowledge, this is the first study using playbacks from primate species unknown to the target individuals. Based on our results, this type of stimulus seemed to be useful to reduce stress-related patterns as highlighted by other studies on various non-human primate species held in captivity [45,73,76,77].
Regarding agonistic behaviors, younger individual showed a higher level of agonistic patterns than older ones. Moreover, the subjects engaged more in agonistic interactions when provided with the food-related enrichment compared to the baseline, as described in previous studies on a wide range of non-human primates [45]. These results could reflect an increase of competition for the new resources available. However, it is worth noting that, despite the increase recorded with the food-based enrichment, the percentage of agonistic patterns remained low (1.55%). This result could be explained in the light of the group’s social structure that was already stable before the beginning of this study. However, it could be useful to increase the number of enrichment items and distribute them in all the sections of the enclosure to provide the subjects with multiple opportunities, as suggested in the literature [45].
As for affiliative patterns, we found that their expression was greater for high-ranking individuals. Although we did not distinguish between performed and received affiliative acts, we can cautiously affirm that our results are in accordance with data on affiliative interactions gathered in the wild. For example, Nakamichi and Koyama [78] reported that, in two free-ranging troops in the Berenty Reserve (Madagascar), subordinates were more likely to groom dominants than vice versa.
Ambient temperature was found to be a significant predictor for explorative and scent-marking behaviors. As found for locomotion, increasing temperature negatively affected the number of patterns performed by the study group. According to Laméris et al. [36], it would be interesting to compare the level of exploration and scent-marking between the outdoor and indoor enclosure to verify if the indoor facility represents a less stimulating environment. Moreover, future studies could try to also implement olfactory enrichments, such as herbs, spices and essential oils, to test if this type of sensory stimuli encourage exploration and scent-marking.
Regarding foraging, the study lemurs foraged more on weekdays and our analysis did not reveal any significant effect of the other variables. This finding could be related to the presence of more visitors around the lemurs’ enclosure and/or higher noise levels during weekends, but additional investigations are needed to clarify this aspect. Previous studies found an increase of foraging behavior thanks to the implementation of food-related enrichments in different lemur species. For example, white-fronted lemurs (Eulumer fulvus albiforns) spent more time foraging when they had to retrieve food from self-operated boxes which needed manipulation to be opened [69], and the same effect was obtained for black-and-white ruffed lemurs (Varecia variegata) by scattering food on their cage roof [29] and presenting fruit in trees [30]. Various authors reported a similar effect for ring-tailed lemurs with food-related enrichments ranging from scattered food to feeding devices requiring active manipulation, such as bottle feeders and tube swings [15,31,32,33]. Interestingly, research conducted by Keith-Lucas and co-authors [59] on 14 ring-tailed lemurs living in free-ranging environment found a significant increase in foraging for novel plant items. Fernandez and Timberlake [33] assessed the preference of four lemur species for different food and examined how high- and low-preferred items placed in bamboo dispensers affected behavior and enclosure use. Their results showed that high-preferred items had a greater overall effect, highlighting the importance of incorporating individual preference in enrichment planning. According to these studies, to encourage the expression of foraging behavioral patterns in the study group, the hosting institution could add novel and edible vegetation to the enclosure, as well as test food preference and use preferred items to encourage enrichment utilization.
5. Conclusions
Environmental enrichments are widely used by zoological institutions and need to be carefully evaluated to ensure that animals are provided with appropriate stimuli that elicit positive welfare outcomes. Our study confirmed the effectiveness of environmental enrichment in reducing the occurrence of stress-related behavioral patterns. The lack of variation in foraging behavior further supports the importance of assessing the provided stimuli. Furthermore, it highlights the necessity to take into consideration enclosure characteristics and individual preferences for specific food items when planning an enrichment program. In conclusion, our findings helped to increase the scientific knowledge of captive lemur welfare providing the animal care staff with useful information to guide practical management decisions. In addition, our study highlighted the importance of applying multivariate research methods to properly assess the impact of environmental enrichments reducing the risk of overestimating their effect. Future studies aimed at assessing the visitor effect, the time budget over the 24-hour period and the influence of enrichments implemented in the indoor enclosure are recommended to reach a more comprehensive understanding of the welfare of zoo-housed ring-tailed lemurs.
Author Contributions
Conceptualization, F.B., F.D.-F. and M.C.; Methodology, F.B., F.D.-F., M.C. and P.M.; Data collection, M.C.; Data analysis, M.C. and F.B.; Writing—Original Draft Preparation, F.B. and M.C.; Writing—Review and Editing, F.B., M.C., F.D.-F. and P.M. All authors have read and agreed to the published version of the manuscript.
Funding
This research received no external funding.
Institutional Review Board Statement
Ethical review and approval were omitted for this study since it was based on purely observational methods and performed in full compliance with the Guidelines for the Treatment of Animals in Behavioural Research and Teaching (2006) and with the WAZA Code of Ethics and Animal Welfare (2003).
Informed Consent Statement
Informed consent was obtained from all subjects involved in the study.
Data Availability Statement
The data presented in this study is available on request from the corresponding author.
Acknowledgments
We would like to thank the Giardino Zoologico di Pistoia (Italy) for allowing and facilitating this study. We wish to thank Ivan Norscia for his useful suggestions on data analysis, and Sarah Humphreys for the accurate language revision. Special thanks goes to the lemur keepers for their support during data collection.
Conflicts of Interest
The authors declare no conflict of interest.
References
- Hosey, G.R.; Melfi, V.; Pankhurst, S. Zoo Animals: Behaviour, Management and Welfare, 2nd ed.; Oxford University Press: Oxford, UK, 2013. [Google Scholar]
- Mellor, D.J.; Hunt, S.; Gusset, M. Caring for Wildlife: The World Zoo and Aquarium Animal Welfare Strategy; WAZA Executive Office: Gland, Switzerland, 2015. [Google Scholar]
- Mellen, J.D.; Shepherdson, D.J.; Hutchins, M. The future of environmental enrichment. In Second Nature: Environmental Enrichment for Captive Animals; Shepherdson, D.J., Mellen, J.D., Hutchins, M., Eds.; Smithsonian Institution: Washington, DC, USA, 1998; pp. 329–336. [Google Scholar]
- Young, R.J. Environmental Enrichment for Captive Animals; Blackwell Publishing: Oxford, UK, 2013. [Google Scholar]
- de Azevedo, C.S.; Cipreste, C.F.; Young, R.J. Environmental enrichment: A GAP analysis. Appl. Anim. Behav. Sci. 2007, 102, 329–343. [Google Scholar] [CrossRef]
- Mellor, D.J.; Beausoleil, N.J.; Littlewood, K.E.; McLean, A.N.; McGreevy, P.D.; Jones, B.; Wilkins, C. The 2020 five domains model: Including human–animal interactions in assessments of animal welfare. Animals 2020, 10, 1870. [Google Scholar] [CrossRef] [PubMed]
- Basset, L.; Buchanan-Smith, H.M. Effects of predictability on the welfare of captive animals. Appl. Anim. Behav. Sci. 2007, 102, 223–245. [Google Scholar] [CrossRef]
- Morgan, K.N.; Tromborg, C.T. Sources of stress in captivity. Appl. Anim. Behav. Sci. 2006, 102, 262–302. [Google Scholar] [CrossRef]
- Ward, S.J.; Melfi, V. Keeper-animal interactions: Differences between the behaviour of zoo animals affect stockmanship. PLoS ONE 2015, 10, e0140237. [Google Scholar] [CrossRef] [PubMed]
- Mellen, J.; MacPhee, M.S. Philosophy of environmental enrichment: Past, present, and future. Zoo Biol. 2001, 20, 211–226. [Google Scholar] [CrossRef]
- Mason, G. Stereotypies: A critical review. Anim. Behav. 1991, 41, 1015–1037. [Google Scholar] [CrossRef]
- Swaisgood, R.R.; Shepherdson, D.J. Scientific approaches to enrichment and stereotypies in zoo animals: What’s been done and where should we go next? Zoo Biol. 2005, 24, 499–518. [Google Scholar] [CrossRef]
- Clark, F.E. Cognitive enrichment and welfare: Current approaches and future directions. Anim. Behav. Cogn. 2017, 4, 52–71. [Google Scholar] [CrossRef]
- Alligood, C.; Leighty, K. Putting the “E” in SPIDER: Evolving Trends in the Evaluation of Environmental Enrichment Efficacy in Zoological Settings. Anim. Behav. Cogn. 2015, 2, 200–217. [Google Scholar] [CrossRef]
- Dishman, D.L.; Thomson, D.M.; Karnovsky, N.J. Does simple feeding enrichment raise activity levels of captive ring-tailed lemurs (Lemur catta)? Appl. Anim. Behav. Sci. 2009, 116, 88–95. [Google Scholar] [CrossRef]
- LaFleur, M.; Gould, L. Lemur catta . IUCN Red List. Threat. Species 2020, e.T11496A115565760. [Google Scholar] [CrossRef]
- Byers, O.; Lees, C.; Wilcken, J.; Schwitzer, C. The One Plan Approach: The philosophy and implementation of CBSG’s approach to integrated species conservation planning. WAZA Mag. 2013, 14, 2–5. [Google Scholar]
- Goodman, S.M.; Rakotoarisoa, S.V.; Wilmé, L. The distribution and biogeography of the ringtailed lemur (Lemur catta) in Madagascar. In Ringtailed Lemur Biology; Jolly, A., Sussman, R.W., Koyama, N., Rasamimanana, H., Eds.; Springer: Boston, MA, USA, 2006. [Google Scholar] [CrossRef]
- Gould, L.; Gabriel, D.N. Wet and dry season diets of the Endangered Lemur catta (ring-tailed lemur) in two mountainous rocky outcrop forest fragments in south-central Madagascar. Afr. J. Ecol. 2015, 53, 320–330. [Google Scholar] [CrossRef]
- Norscia, I.; Palagi, E. Cambridge Studies in Biological and Evolutionary Anthropology: The Missing Lemur Link: An Ancestral Step in the Evolution of Human Behaviour Series Number 74: An Ancestral Step in the Evolution of Human Behaviour; Cambridge University Press: Cambridge, UK, 2016. [Google Scholar] [CrossRef]
- Sauther, M.L.; Sussman, R.W.; Gould, L. The socioecology of the ringtailed lemur: Thirty-five years of research. Evol. Anthropol. 1999, 8, 120–132. [Google Scholar] [CrossRef]
- Donati, G.; Santini, L.; Razafindramanana, J.; Boitani, L.; Borgognini-Tarli, S. (Un-)Expected nocturnal activity in “Diurnal” Lemur catta supports cathemerality as one of the key adaptations of the lemurid radiation. Am. J. Phys. Anthropol. 2013, 150, 99–106. [Google Scholar] [CrossRef]
- LaFleur, M.; Sauther, M.; Cuozzo, F.; Yamashita, N.; Youssouf, I.A.J.; Bender, R. Cathemerality in wild ring-tailed lemurs (Lemur catta) in the spiny forest of Tsimanampetsotsa National Park: Camera trap data and preliminary behavioral observations. Primates 2014, 55, 207–217. [Google Scholar] [CrossRef]
- Jolly, A. Lemur Behaviour: A Madagascar Field Study; University of Chicago Press: Chicago, IL, USA, 1966. [Google Scholar]
- Ganzhorn, J.U. Feeding behavior of Lemur catta and Lemur fulvus. Int. J. Primatol. 1986, 7, 17–30. [Google Scholar] [CrossRef]
- Sauther, M.L. The Effect of Reproductive State, Social Rank and Group Size on Resource Use among Free-Ranging Ringtailed Lemurs (Lemur catta) of Madagascar. Ph.D. Thesis, Washington University, St. Louis, MO, USA, 1992. [Google Scholar]
- Gould, L.; Power, M.L.; Ellwanger, N.; Rambeloarivony, H. Feeding behavior and nutrient intake in spiny forest-dwelling ring-tailed lemurs (Lemur catta) during early gestation and early to mid-lactation periods: Compensating in a harsh environment. Am. J. Phys. Anthropol. 2011, 145, 469–479. [Google Scholar] [CrossRef]
- LaFleur, M.; Sauther, M.L. Seasonal feeding ecology of ring-tailed lemurs: A comparison of spiny and gallery forest habitats. Folia Primatol. 2015, 86, 25–34. [Google Scholar] [CrossRef]
- Britt, A. Encouraging natural feeding behavior in captive-bred black and white ruffed Lemurs (Varecia variegata variegata). Zoo Biol. 1998, 17, 379–392. [Google Scholar] [CrossRef]
- Kerridge, F.J. Environmental enrichment to address behavioral differences between wild and captive black-and-white ruffed lemurs (Varecia variegata). Am. J. Primatol. 2005, 66, 71–84. [Google Scholar] [CrossRef] [PubMed]
- Maloney, M.A.; Meiers, S.T.; White, J.; Romano, M.A. Effects of three Food Enrichment Items on the behavior of black lemurs (Eulemur macaco macaco) and ringtail lemurs (Lemur catta) at the Henson Robinson Zoo, Springfield, Illinois. J. Appl. Anim. Welf. Sci. 2006, 9, 111–127. [Google Scholar] [CrossRef] [PubMed]
- Shapiro, M.E.; Shapiro, H.G.; Ehmke, E.E. Behavioral responses of three lemur species to different food enrichment devices. Zoo Boil. 2018, 37, 146–155. [Google Scholar] [CrossRef]
- Fernandez, E.J.; Timberlake, W. Selecting and Testing Environmental Enrichment in Lemurs. Front. Psychol. 2019, 10, 1–12. [Google Scholar] [CrossRef] [PubMed]
- Baker, B.; Taylor, S.; Montrose, V.T. The effects of olfactory stimulation on the behavior of captive ring-tailed lemurs (Lemur catta). Zoo Biol. 2018, 37, 16–22. [Google Scholar] [CrossRef]
- Vaglio, S.; Kaburu, S.S.K.; Young, C.; Pearce, R.; Smith, S.; Tompkins, B.; Elwell, E.; Fontani, S.; Marliani, G.; Accorsi, P.A. Effects of scent enrichment on behavioural and physiological indicators of stress in zoo primates—A preliminary study on red-ruffed lemurs and Lar gibbons. Am. J. Primatol. 2020, 83, e23247. [Google Scholar] [CrossRef]
- Laméris, D.W.; Verspeek, J.; Depoortere, A.; Plessers, L.; Salas, M. Effects of Enclosure and Environmental Enrichment on the Behaviour of Ring-Tailed Lemurs (Lemur catta). J. Zool. Bot. Gard. 2021, 2, 12. [Google Scholar] [CrossRef]
- Vining, A.Q.; Nunn, C.L.; Samson, D.R. Enriched sleep environments lengthen lemur sleep duration. PLoS ONE 2021, 16, e0253251. [Google Scholar] [CrossRef]
- Lutz, C.K. Stereotypic behavior in nonhuman primates as a model for the human condition. ILAR J. 2014, 55, 284–296. [Google Scholar] [CrossRef]
- Jacobson, S.L.; Ross, S.R.; Bloomsmith, M.A. Characterizing abnormal behavior in a large population of zoo-housed chimpanzees: Prevalence and potential influencing factors. PeerJ 2016, 4, e2225. [Google Scholar] [CrossRef] [PubMed]
- Sclafani, V.; Norscia, I.; Antonacci, D.; Palagi, E. Scratching around mating: Factors affecting anxiety in wild Lemur catta. Primates 2012, 53, 247–254. [Google Scholar] [CrossRef] [PubMed]
- Zannella, A.; Norscia, I.; Stanyon, R.; Palagi, E. Testing yawning hypotheses in wild populations of two strepsirrhine species: Propithecus verreauxi and Lemur catta. Am. J. Primatol. 2015, 77, 1207–1215. [Google Scholar] [CrossRef] [PubMed]
- Troisi, A. Displacement activities as a behavioral measure of stress in nonhuman primates and human subjects. Stress 2002, 5, 47–54. [Google Scholar] [CrossRef]
- Ward, S.; Sherwen, S. Zoo animals. In Anthrozoology. Human-Animal Interactions in Domesticated and Wild Animals; Hosey, G., Melf, V., Eds.; Oxford University Press: Oxford, UK, 2019; pp. 81–103. [Google Scholar]
- Goodenough, A.E.; McDonald, K.; Moody, K.; Wheeler, C. Are “visitor fefects” overestmated? Behaviour in captive lemurs is mainly driven by co-variaton with time and weather. J. Zoo Aquar. Res. 2019, 7, 59–66. [Google Scholar]
- Hones, P.E.; Marin, C.M. Enrichment and aggression in primates. Neurosci. Biobehav. Rev. 2006, 30, 413–436. [Google Scholar] [CrossRef]
- Pereira, M.E.; Kappeler, P.M. Divergent systems of agonistic behaviour in lemurid primates. Behaviour 1997, 134, 225–274. [Google Scholar] [CrossRef]
- Lehner, P.N. Handbook of Ethological Methods, 2nd ed.; Cambridge University Press: Cambridge, NY, USA, 1998. [Google Scholar]
- Altmann, J. Observational study of behavior: Sampling methods. Behaviour 1974, 49, 227–266. [Google Scholar] [CrossRef]
- de Vries, H.; Stevens, J.M.; Vervaecke, H. Measuring and testing the steepness of dominance hierarchies. Anim. Behav. 2006, 71, 585–592. [Google Scholar] [CrossRef]
- Desmarais, B.A.; Harden, J.J. Testing for zero inflation in count models: Bias correction for the Vuong test. Stata J. 2013, 13, 810–835. [Google Scholar] [CrossRef]
- Dobson, A.J. An Introduction to Generalized Linear Models, 2nd ed.; Chapman and Hall/CRC Press: Boca Raton, FL, USA, 2002. [Google Scholar]
- Nagelkerke, N. A note on a general definition of the coefficient of determination. Biometrika 1991, 78, 691–692. [Google Scholar] [CrossRef]
- Cook, R.D. Testing predictor contributions in sufficient dimension reduction. Ann. Stat. 2004, 32, 1062–1092. [Google Scholar] [CrossRef]
- Barr, D.J.; Levy, R.; Scheepers, C.; Tily, H.J. Random effects structure for confirmatory hypothesis testing: Keep it maximal. J. Mem. Lang. 2013, 68, 255–278. [Google Scholar] [CrossRef] [PubMed]
- Bretz, F.; Hothorn, T.; Westfall, P. Multiple Comparisons Using R; Chapman and Hall/CRC Press: Boca Raton, FL, USA, 2010. [Google Scholar]
- R Core Team. R: A Language and Environment for Statistical Computing; R Foundation for Statistical Computing: Vienna, Austria, 2022; Available online: http://www.r-project.org/ (accessed on 13 June 2022).
- Sussman, R.W. An Ecological Study of Two Madagascan Primates: Lemur fulvus rufus (Audebert) and Lemur catta (Linnaeus). Ph.D. Thesis, Duke University, Durham, NC, USA, 1972. [Google Scholar]
- Sussman, R.W. Feeding Behavior of Lemur catta and Lemur fulvus. In Primate Ecology: Studies of Feeding and Ranging Behavior in Lemurs, Monkey and Apes; Clutton-Brock, T.H., Ed.; Accademic Press Inc.: New York, NY, USA, 1977; pp. 1–36. [Google Scholar]
- Keith-Lucas, T.; White, F.J.; Keith-Lucas, L.; Vick, L.G. Changes in behavior in free-ranging Lemur catta following release in a natural habitat. Am. J. Primatol. 1999, 47, 15–28. [Google Scholar] [CrossRef]
- Millette, J.B.; Sauther, M.L.; Cuozzo, F.P. Behavioral responses to tooth loss in wild ring-tailed lemurs (Lemur catta) at the Beza Mahafaly Special Reserve, Madagascar. Am. J. Phys. Anthropol. 2009, 140, 120–134. [Google Scholar] [CrossRef]
- Ellwanger, N.; Gould, L. Variations in behavioural patterns between Lemur catta groups living in different forest types: Implications for conservation. Endanger. Species Res. 2011, 14, 259–270. [Google Scholar] [CrossRef][Green Version]
- Savage, J.A. Home Range and Provisioning Use of Semi-Free -Ranging Ringtailed Lemurs (Lemur catta). Master’s Thesis, Georgia Southern University, Statesboro, GA, USA, 2005. [Google Scholar]
- Carlstead, K. Effects of captivity on the behavior of wild mammals. In Wild Mammals in Captivity: Principles and Techniques; University of Chicago Press: Chicago, IL, USA, 1996; pp. 317–333. [Google Scholar]
- Shepherdson, D. The animal’s perspective: Developing strategies for successful enrichment. In Proceedings of the AZA Annual Conference, Albuquerque, New Mexico, 14–18 September 1997; pp. 486–489. [Google Scholar]
- Gabriel, D.N. Ecological Flexibility in a Disturbed Landscape: An Assessment of the Behavioural and Health Ecology of Ring-Tailed Lemurs (Lemur catta) in Relation to Forest Fragmentation. Ph.D. Thesis, University of Victoria, Victoria, BC, Canada, 2013. [Google Scholar]
- Sauther, M.L. Resource competition in wild populations of ringtailed lemurs (Lemur catta): Implications for female dominance. In Lemur Social Systems and Their Ecological Basis; Kappeler, P.M., Ganzhorn, J.U., Eds.; Springer: Boston, MA, USA, 1993; pp. 135–152. [Google Scholar] [CrossRef]
- Pereira, M. Obsession with agonistic power. In Ringtailed Lemur Biology; Jolly, A., Sussman, R.W., Koyama, N., Rasamimanana, H., Eds.; Springer: Boston, MA, USA, 2006; pp. 245–270. [Google Scholar]
- Taylor, L.; Sussman, R.W. A preliminary study of kinship and social organization in a semi-free-ranging group of Lemur catta. Int. J. Primatol. 1985, 6, 601–614. [Google Scholar] [CrossRef]
- Sommerfeld, R.; Bauert, M.; Hillmann, E.; Stauffacher, M. Feeding enrichment by self-operated food boxes for white-fronted lemurs (Eulemur fulvus albifrons) in the Masoala exhibit of the Zurich Zoo. Zoo Biol. 2006, 25, 145–154. [Google Scholar] [CrossRef]
- Hoy, J.M.; Murray, P.J.; Tribe, A. Thirty years later: Enrichment practices for captive mammals. Zoo Biol. 2010, 29, 303–316. [Google Scholar] [CrossRef]
- Shepherdson, D.; Bemment, N.; Carman, M.; Reynolds, S. Auditory enrichment for Lar gibbons Hylobates lar at London Zoo. Int. Zoo Yearb. 1989, 28, 256–260. [Google Scholar] [CrossRef]
- Brent, L.; Weaver, O. The physiological and behavioral effects of radio music on singly housed baboons. J. Med. Primatol. 1996, 25, 370–374. [Google Scholar] [CrossRef] [PubMed]
- Howell, S.; Schwandt, M.; Fritz, J.; Roeder, E.; Nelson, C. A stereo music system as environmental enrichment for captive chimpanzees. Lab. Anim. 2003, 32, 31–36. [Google Scholar] [CrossRef] [PubMed]
- Wells, D.L.; Coleman, D.; Challis, M.G. A note on the effect of auditory stimulation on the behaviour and welfare of zoo-housed gorillas. Appl. Anim. Behav. Sci. 2006, 100, 327–332. [Google Scholar] [CrossRef]
- Robbins, L.; Margulis, S.W. The effects of auditory enrichment on gorillas. Zoo Biol. 2014, 33, 197–203. [Google Scholar] [CrossRef]
- Brent, L.; Belik, M. The response of group-housed baboons to three enrichment toys. Lab. Anim. 1997, 31, 81–85. [Google Scholar] [CrossRef]
- Pizzutto, C.S.; Nichi, M.; Sgai, M.G.F.G.; Corrêa, S.H.R.; Viau, P.; Beresca, A.M.; Alvarenga, C.; Barnabé, R.C.; Guimarães, M.A.B.V. Effect of environmental enrichment on behavioral and endocrine aspects of a captive orangutan (Pongo pygmaeus). LPN 2008, 47, 10–14. [Google Scholar]
- Nakamichi, M.; Koyama, N. Social relationships among ring-tailed lemurs (Lemur catta) in two free-ranging troops at Berenty Reserve, Madagascar. Int. J. Primatol. 1997, 18, 73–93. [Google Scholar] [CrossRef]
Publisher’s Note: MDPI stays neutral with regard to jurisdictional claims in published maps and institutional affiliations. |
© 2022 by the authors. Licensee MDPI, Basel, Switzerland. This article is an open access article distributed under the terms and conditions of the Creative Commons Attribution (CC BY) license (https://creativecommons.org/licenses/by/4.0/).






