Heavy Youngsters—Habitat and Climate Factors Lead to a Significant Increase in Body Weight of Wild Boar Females
Abstract
Simple Summary
Abstract
1. Introduction
2. Materials and Methods
2.1. Study Area
2.2. Data Collection
2.3. Statistical Analysis
3. Results
3.1. Overall Body Weight
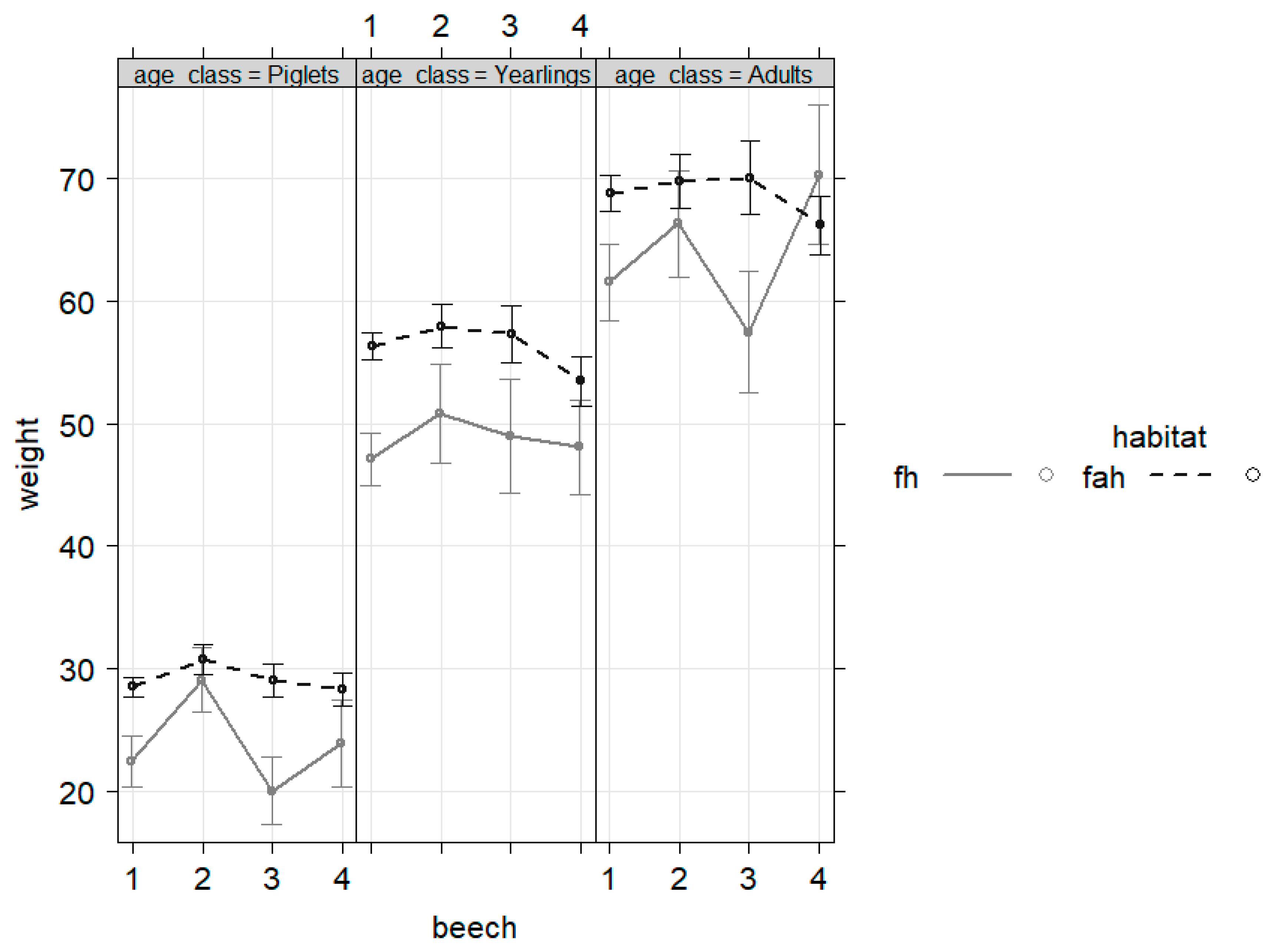
3.2. Effect of Habitat on Body Weight
3.3. Temporal Trends in Body Weight and External Factors
3.4. Predictors of Wild Boar Puberty
4. Discussion
5. Conclusions
Author Contributions
Funding
Institutional Review Board Statement
Informed Consent Statement
Data Availability Statement
Acknowledgments
Conflicts of Interest
References
- Uzal, A.; Nores, C. Endogenous and exogenous constraints in the population changes of wild boar (Sus scrofa Linnaeus, 1758). In Proceedings of the Wild Boar Research 2002, A Selection and Edited Papers from the “4th International Wild Boar Symposium”, Lousa, Portugal, 19–22 September 2002; pp. 83–98. [Google Scholar]
- Keuling, O.; Baubet, E.; Duscher, A.; Ebert, C.; Fischer, C.; Monaco, A.; Podgórski, T.; Prevot, C.; Ronnenberg, K.; Sodeikat, G.; et al. Mortality rates of wild boar Sus scrofa L. in central Europe. Eur. J. Wildl. Res. 2013, 59, 805–814. [Google Scholar] [CrossRef]
- Lombardini, M.; Vidus Rosin, A.; Murru, M.; Cinerari, C.E.; Meriggi, A. Reproductive and demographic parameters in Sardinian wild boar, Sus scrofa meridionalis. Folia Zool. 2014, 63, 301–307. [Google Scholar] [CrossRef]
- Massei, G.; Kindberg, J.; Licoppe, A.; Gacíc, D.; Šprem, N.; Kamler, J.; Baubet, E.; Hohmann, U.; Monaco, A.; Ozolinš, J.; et al. Wild boar populations up, numbers of hunters down? A review of trends and implications for Europe. Pest Manag. Sci. 2015, 71, 492–500. [Google Scholar] [CrossRef] [PubMed]
- Tack, J. Wild Boar (Sus scrofa) Populations in Europe: A Scientific Review of Population Trends and Implications for Management; European Landowners’ Organization: Brussels, Belgium, 2018; p. 56. [Google Scholar]
- Lewis, J.S.; Corn, J.L.; Mayer, J.J.; Jordan, T.R.; Farnsworth, M.L.; Burdett, C.L.; VerCauteren, K.C.; Sweeney, S.J.; Miller, R.S. Historical, current, and potential population size estimates of invasive wild pigs (Sus scrofa) in the United States. Biol. Invasions 2019, 21, 2373–2384. [Google Scholar] [CrossRef]
- Schley, L.; Roper, T.J. Diet of wild boar Sus scrofa in Western Europe, with particular reference to consumption of agricultural crops. Mammal Rev. 2003, 33, 43–56. [Google Scholar] [CrossRef]
- Baubet, E.; Bonefant, C.; Brandt, S. Diet of the wild boar in the French Alps. In Proceedings of the Wild Boar Research 2002, A Selection and Edited Papers from the “4th International Wild Boar Symposium”, Lousa, Portugal, 19–22 September 2002; pp. 101–114. [Google Scholar]
- Servanty, S.; Gaillard, J.M.; Ronchi, F.; Focardi, S.; Baubet, E.; Giménez, O. Influence of harvesting pressure on demographic tactics: Implications for wildlife management. J. Appl. Ecol. 2011, 48, 835–843. [Google Scholar] [CrossRef]
- Gamelon, M.; Douhard, M.; Baubet, E.; Gimenez, O.; Brandt, S.; Gaillard, J.-M. Fluctuating food resources influence developmental plasticity in wild boar. Biol. Lett. 2013, 9, 20130419. [Google Scholar] [CrossRef]
- Petrelli, S.; Buglione, M.; Maselli, V.; Troiano, C.; Larson, G.; Frantz, L.; Manin, A.; Ricca, E.; Baccigalupi, L.; Wright, D.; et al. Population genomic, olfactory, dietary, and gut microbiota analyses demonstrate the unique evolutionary trajectory of feral pigs. Mol. Ecol. 2022, 31, 220–237. [Google Scholar] [CrossRef]
- Gaillard, J.-M.; Brandt, S.; Jullien, J.-M. Body weight effect on reproduction of young Wild Boar females: A comparative analysis. Folia Zool. 1993, 42, 204–212. [Google Scholar]
- Boitani, L.; Trapanese, P.; Mattei, L.; Nonis, D. Demography of a wild boar (Sus scrofa, L.) population in Tuscany, Italy. Gibier Faune Sauvag. Game Wildlilfe 1995, 12, 109–132. [Google Scholar]
- Focardi, S.; Gaillard, J.M.; Ronchi, F.; Rossi, S. Survival of wild boars in a variable environment: Unexpected life-history variation in an unusual ungulate. J. Mammal. 2008, 89, 1113–1123. [Google Scholar] [CrossRef]
- Servanty, S.; Gaillard, J.M.; Toïgo, C.; Brandt, S.; Baubet, E. Pulsed resources and climate-induced variation in the reproductive traits of wild boar under high hunting pressure. J. Anim. Ecol. 2009, 78, 1278–1290. [Google Scholar] [CrossRef]
- Fonseca, C.; da Silva, A.A.; Alves, J.; Vingada, J.; Soares, A.M.V.M. Reproductive performance of wild boar females in Portugal. Eur. J. Wildl. Res. 2011, 57, 363–371. [Google Scholar] [CrossRef]
- Geisser, H.; Reyer, H.-U. The influence of food and temperature on population density of wild boar Sus scrofa in the Thurgau (Switzerland). J. Zool. Lond. 2005, 267, 89–96. [Google Scholar] [CrossRef]
- Kramer-Schadt, S.; Fernández, N.; Thulke, H.-H. Potential ecological and epidemiological factors affecting the persistence of classical swine fever in wild boar Sus scrofa populations. Mammal Rev. 2007, 37, 1–20. [Google Scholar] [CrossRef]
- Gortazar, C.; Ferroglio, E.; Hoefle, U.; Froelich, K.; Vicente, J. Diseases shared between wildlife and livestock: A European perspective. Eur. J. Wildl. Res. 2007, 53, 241–256. [Google Scholar] [CrossRef]
- Mur, L.; Boadella, M.; Martinez-Lopez, B.; Gallardo, C.; Gortazar, C.; Sanchez-Vizcaino, J.M. Monitoring of African Swine Fever in the Wild Boar Population of the Most Recent Endemic Area of Spain. Transbound. Emerg. Dis. 2012, 59, 526–531. [Google Scholar] [CrossRef]
- Sanchez-Vizcaino, J.M.; Mur, L.; Martinez-Lopez, B. African swine fever (ASF): Five years around Europe. Vet. Microbiol. 2013, 165, 45–50. [Google Scholar] [CrossRef]
- Herrero, J.; García-Serrano, A.; Couto, S.; Ortuño, V.M.; García-González, R. Diet of wild boar Sus scrofa L. and crop damage in an intensive agroecosystem. Eur. J. Wildl. Res. 2006, 52, 245–250. [Google Scholar] [CrossRef]
- Keuling, O.; Nahlik, A.; Fonseca, C. Wild boar research—A never ending story? Wildl. Biol. Pract. 2014, 10, i–ii. [Google Scholar]
- Fernández-Llario, P.; Maetos-Quesada, P. Body size and reproductive parameters in the wild boar Sus srofa. Acta Theriol. 1998, 43, 439–444. [Google Scholar] [CrossRef]
- Maillard, D.; Fournier, P. Timing and synchrony of births in the wild boar (Sus scrofa Linnaeus, 1758) in a Mediterranean habitat: The effect of food availability. In Proceedings of the Wild Boar Research 2002, A Selection and Edited Papers from the “4th International Wild Boar Symposium”, Lousa, Portugal, 19–22 September 2002; pp. 67–74. [Google Scholar]
- Fernández-Llarrio, P.; Carranza, J. Reproductive performance of the wild boar in a Mediterranean ecosystem under drought conditions. Ethol. Ecol. Evol. 2000, 12, 335–343. [Google Scholar] [CrossRef]
- Oja, R.; Kaasik, A.; Valdmann, H. Winter severity or supplementary feeding—Which matters more for wild boar? Acta Theriol. 2014, 59, 553–559. [Google Scholar] [CrossRef]
- Canu, A.; Scandura, M.; Merli, E.; Chirichella, R.; Bottero, E.; Chianucci, F.; Cutini, A.; Apollonio, M. Reproductive phenology and conception synchrony in a natural wild boar population. Hystrix It. J. Mamm. 2015, 26, 77–84. [Google Scholar] [CrossRef]
- Frauendorf, M.; Gethöffer, F.; Siebert, U.; Keuling, O. The influence of environmental and physiological factors on the litter size of wild boar (Sus scrofa) in an agriculture dominated area in Germany. Sci. Total Environ. 2016, 541, 877–882. [Google Scholar] [CrossRef]
- Kamieniarz, R.; Jankowiak, L.; Fratczak, M.; Panek, M.; Wojtczak, J.; Tryjanowski, P. The Relationship between Hunting Methods and the Sex, Age and Body Mass of Wild Boar Sus scrofa. Animals 2020, 10, 2345. [Google Scholar] [CrossRef]
- Brogi, R.; Chirichella, R.; Brivio, F.; Merli, E.; Bottero, E.; Apollonio, M. Capital-income breeding in wild boar: A comparison between two sexes. Sci. Rep. 2021, 11, 4579. [Google Scholar] [CrossRef]
- Gethöffer, F. Reproduktionsparameter und Saisonalität der Fortpflanzung des Wildschweins (Sus scrofa) in drei Untersuchungsgebieten Deutschlands. Ph.D. Thesis, Tierärztliche Hochschule, Hannover, Germany, 2005. [Google Scholar]
- Available online: https://www.dwd.de/DE/leistungen/klimadatendeutschland/klimadatendeutschland.html (accessed on 13 July 2021).
- Niedersachsen, L.f.S. Katasterfläche nach Nutzungsarten der Tatsächlichen Nutzung (ALKIS). 2021. Available online: https://www1.nls.niedersachsen.de/statistik/html/default.asp (accessed on 31 January 2023).
- Gethöffer, F.; Sodeikat, G.; Pohlmeyer, K. Reproductive parameters of wild boar (Sus scrofa) in three different parts of Germany. Eur. J. Wildl. Res. 2007, 53, 287–297. [Google Scholar] [CrossRef]
- Gethöffer, F.; Pfarrer, C.; Siebert, U. Histology confirms that macroscopic evaluation of ovaries is a valid method for the assessment of the reproductive status in wild boar. Theriogenology 2018, 113, 192–196. [Google Scholar] [CrossRef]
- McCullagh, P.; Nelder, J.A. Generalized Linear Models; Routledge: Oxfordshire, UK, 2019. [Google Scholar]
- Graham, M.H. Confronting multicollinearity in ecological multiple regression. Ecology 2003, 84, 2809–2815. [Google Scholar] [CrossRef]
- R CoreTeam. R: A Language and Environment for Statistical Computing; R Foundation for Statistical Computing: Vienna, Austria, 2021. [Google Scholar]
- Maistrelli, C.; Hüneke, H.; Langeheine, M.; Keuling, O.; Siebert, U.; Brehm, R. Precocious puberty in male wild boars: A possible explanation for the dramatic population increase in Germany and Europe. PeerJ 2021, 9, e11798. [Google Scholar] [CrossRef]
- Segura, A.; Acevedo, P.; Rodríguez, O.; Naves, J.; Obeso, J. Biotic and abiotic factors modulating wild boar relative abundance in Atlantic Spain. Eur. J. Wildl. Res. 2014, 60, 469–476. [Google Scholar] [CrossRef]
- Keuling, O.; Stier, N.; Roth, M. Impact of hunting and environmental factors on activity and spatial utilisation of wild boar Sus scrofa. In Proceedings of the Sixth International Symposium on Wild Boar (Sus scrofa) and Sub-Order Suiformes, Kykkos, Cyprus, 26–28 October 2006; p. 39. [Google Scholar]
- Guangshun, J.; Jianzhang, M.A.; Minghai, Z. Spatial Distribution of Ungulate Responses to Habitat Factors in Wandashan Forest Region, Northeastern China. J. Wildl. Manag. 2006, 70, 1470–1476. [Google Scholar] [CrossRef]
- Acevedo, P.; Escudero, M.A.; Munoz, R.; Gortázar, C. Factors affecting wild boar abundance across an environmental gradient in Spain. Acta Theriol. 2006, 51, 327–336. [Google Scholar] [CrossRef]
- Keuling, O.; Stier, N.; Lampe, T.; Ihde, J.; Roth, M. Where to sleep and why? Factors influencing the choice of daytime resting sites in wild boar (Sus scrofa). In Proceedings of the 5th International Wild Boar Symposium, Cracow, Poland, 6–7 September 2004. [Google Scholar]
- Virgós, E. Factors affecting wild boar (Sus scrofa) occurence in highly fragmented Mediterranean landscape. Can. J. Zool. 2002, 80, 430–435. [Google Scholar] [CrossRef]
- Massei, G.; Genov, P.V.; Staines, B.; Gorman, M.L. Factors influencing home range and activity of wild boar (Sus scrofa) in a Mediterranean costal area. J. Zool. Lond. 1997, 242, 411–423. [Google Scholar] [CrossRef]
- Laguna, E.; Barasona, J.A.; Vicente, J.; Keuling, O.; Acevedo, P. Differences in wild boar spatial behaviour among land uses and management scenarios in Mediterranean ecosystems. Sci. Total Environ. 2021, 796, 148966. [Google Scholar] [CrossRef]
- Vetter, S.G.; Puskas, Z.; Bieber, C.; Ruf, T. How climate change and wildlife management affect population structure in wild boars. Sci. Rep. 2020, 10, 72. [Google Scholar] [CrossRef]
- Bisi, F.; Chirichella, R.; Chianucci, F.; Von Hardenberg, J.; Cutini, A.; Martinoli, A.; Apollonio, M. Climate, tree masting and spatial behaviour in wild boar (Sus scrofa L.): Insight from a long-term study. Ann. For. Sci. 2018, 75, 46. [Google Scholar] [CrossRef]
- Scandura, M.; Iacolina, L.; Apollonio, M. Genetic diversity in the European wild boar Sus scrofa: Phylogeography, population structure and wild x domestic hybridization. Mammal Rev. 2011, 41, 125–137. [Google Scholar] [CrossRef]
- Šprem, N.; Salajpal, K.; Safner, T.; Đikić, D.; Jurić, J.; Curik, I.; Đikić, M.; Cubric-Curik, V. Genetic analysis of hybridization between domesticated endangered pig breeds and wild boar. Livest. Sci. 2014, 162, 1–4. [Google Scholar] [CrossRef]
- Mary, N.; Iannuccelli, N.; Petit, G.; Bonnet, N.; Pinton, A.; Barasc, H.; Faure, A.; Calgaro, A.; Grosbois, V.; Servin, B. Genome-wide analysis of hybridization in wild boar populations reveals adaptive introgression from domestic pig. Evol. Appl. 2022, 15, 1115–1128. [Google Scholar] [CrossRef] [PubMed]
- Iacolina, L.; Pertoldi, C.; Amills, M.; Kusza, S.; Megens, H.-J.; Bâlteanu, V.A.; Bakan, J.; Cubric-Curik, V.; Oja, R.; Saarma, U.; et al. Hotspots of recent hybridization between pigs and wild boars in Europe. Sci. Rep. 2018, 8, 17372. [Google Scholar] [CrossRef] [PubMed]
- Neumann, K.; Elbersen, B.S.; Verburg, P.H.; Staritsky, I.; Pérez-Soba, M.; de Vries, W.; Rienks, W.A. Modelling the spatial distribution of livestock in Europe. Landsc. Ecol. 2009, 24, 1207–1222. [Google Scholar] [CrossRef]
- Touzot, L.; Schermer, É.; Venner, S.; Delzon, S.; Rousset, C.; Baubet, É.; Gaillard, J.M.; Gamelon, M. How does increasing mast seeding frequency affect population dynamics of seed consumers? Wild boar as a case study. Ecol. Appl. 2020, 30, e02134. [Google Scholar] [CrossRef]
- Mallmann, A.L.; Arend, L.S.; Oliveira, G.S.; Mellagi, A.P.; Ulguim, R.R.; Bernardi, M.L.; Bortolozzo, F.P.; Knox, R.V. Effects of flush feeding strategy before breeding on reproductive performance of modern replacement gilts: Impacts on ovulation rate and litter traits. J. Anim. Sci. 2020, 98, skaa186. [Google Scholar] [CrossRef]
- Zeng, X.; Li, S.; Ye, Q.; Cai, S.; Quan, S.; Liu, L.; Zhang, S.; Chen, F.; Cai, C.; Wang, F. The Combined Use of Medium-and Short-Chain Fatty Acids Improves the Pregnancy Outcomes of Sows by Enhancing Ovarian Steroidogenesis and Endometrial Receptivity. Nutrients 2022, 14, 4405. [Google Scholar] [CrossRef]
- Leal, D.F.; Muro, B.B.; Nichi, M.; Almond, G.W.; Viana, C.H.; Vioti, G.; Carnevale, R.F.; Garbossa, C.A. Effects of post-insemination energy content of feed on embryonic survival in pigs: A systematic review. Anim. Reprod. Sci. 2019, 205, 70–77. [Google Scholar] [CrossRef]
- Forzieri, G.; Girardello, M.; Ceccherini, G.; Spinoni, J.; Feyen, L.; Hartmann, H.; Beck, P.S.A.; Camps-Valls, G.; Chirici, G.; Mauri, A.; et al. Emergent vulnerability to climate-driven disturbances in European forests. Nat. Commun. 2021, 12, 1081. [Google Scholar] [CrossRef]
- Olczak, K.; Nowicki, J.; Klocek, C. Pig behaviour in relaton to weather conditions—A review. Ann. Anim. Sci. 2015, 15, 601–610. [Google Scholar] [CrossRef]
- Lisovski, S.; Ramenofsky, M.; Wingfield, J.C. Defining the degree of seasonality and its significance for future research. Integr. Comp. Biol. 2017, 57, 934–942. [Google Scholar] [CrossRef] [PubMed]
- Maistrelli, C.; Schmicke, M.; Hoedemaker, M.; Siebert, U. An Approach for Investigating Sexual Maturity in Wild Boar Males: Testosterone and 17 beta-Estradiol Analysis. Animals 2022, 12, 2295. [Google Scholar] [CrossRef]






| Habitat | Piglets | Yearlings | Adults | Habitat Total |
|---|---|---|---|---|
| fh | 306 | 184 | 103 | 593 |
| fah | 1718 | 682 | 374 | 2.774 |
| total | 2024 | 866 | 477 | 3.367 |
| Variable | Measure/Explanation |
|---|---|
| Year | numerical (2003–2020) |
| Age class | three nominal levels: piglets, yearlings, adults |
| Habitat | two nominal levels: forested (fh), agricultural (fah) |
| Oak crop | four ordinal levels: (1–4) |
| Beech crop | four ordinal levels: (1–4) |
| Precipitation | monthly sum in mm |
| Temperature | monthly average (°C) |
| Hunting Index | wild boar annually shot per km2 |
Disclaimer/Publisher’s Note: The statements, opinions and data contained in all publications are solely those of the individual author(s) and contributor(s) and not of MDPI and/or the editor(s). MDPI and/or the editor(s) disclaim responsibility for any injury to people or property resulting from any ideas, methods, instructions or products referred to in the content. |
© 2023 by the authors. Licensee MDPI, Basel, Switzerland. This article is an open access article distributed under the terms and conditions of the Creative Commons Attribution (CC BY) license (https://creativecommons.org/licenses/by/4.0/).
Share and Cite
Gethöffer, F.; Keuling, O.; Maistrelli, C.; Ludwig, T.; Siebert, U. Heavy Youngsters—Habitat and Climate Factors Lead to a Significant Increase in Body Weight of Wild Boar Females. Animals 2023, 13, 898. https://doi.org/10.3390/ani13050898
Gethöffer F, Keuling O, Maistrelli C, Ludwig T, Siebert U. Heavy Youngsters—Habitat and Climate Factors Lead to a Significant Increase in Body Weight of Wild Boar Females. Animals. 2023; 13(5):898. https://doi.org/10.3390/ani13050898
Chicago/Turabian StyleGethöffer, Friederike, Oliver Keuling, Claudia Maistrelli, Tobias Ludwig, and Ursula Siebert. 2023. "Heavy Youngsters—Habitat and Climate Factors Lead to a Significant Increase in Body Weight of Wild Boar Females" Animals 13, no. 5: 898. https://doi.org/10.3390/ani13050898
APA StyleGethöffer, F., Keuling, O., Maistrelli, C., Ludwig, T., & Siebert, U. (2023). Heavy Youngsters—Habitat and Climate Factors Lead to a Significant Increase in Body Weight of Wild Boar Females. Animals, 13(5), 898. https://doi.org/10.3390/ani13050898

