Melatonin Sources in Sheep Rumen and Its Role in Reproductive Physiology
Simple Summary
Abstract
1. Introduction
2. Materials and Methods
2.1. Animal Feeding and Management
2.2. Sample Collection and Establishment of Subacute Rumen Acidosis (SARA) Model
2.3. Sample Pretreatment Before Determination
2.4. Hematoxylin and Eosin Staining
2.5. Transmission Electron Microscopy
2.6. Determination of GnRH, FSH, LH, P4, and E2 in Serum Using Enzyme-Linked Immunosorbent Assay
2.7. High-Performance Liquid Chromatography and Liquid Chromatography-Mass Spectrometry
2.8. Total RNA Extraction and RT-qPCR
2.9. Western Blotting
2.10. Detection and Data Analysis of Rumen Microbial Diversity
2.11. Culture of Rumen Microorganisms In Vitro
2.12. Statistical Analysis
3. Results
3.1. Melatonin Content Changes in Feed and Rumen
3.2. The Establishment and Verification of the SARA Model
3.3. Changes in Rumen Microflora and Analysis of Melatonin Relationship with Microorganisms
3.4. In Vitro Culture of Rumen Microorganisms
3.5. Expression of Melatonin Synthetases and Its Receptors in Rumen Wall
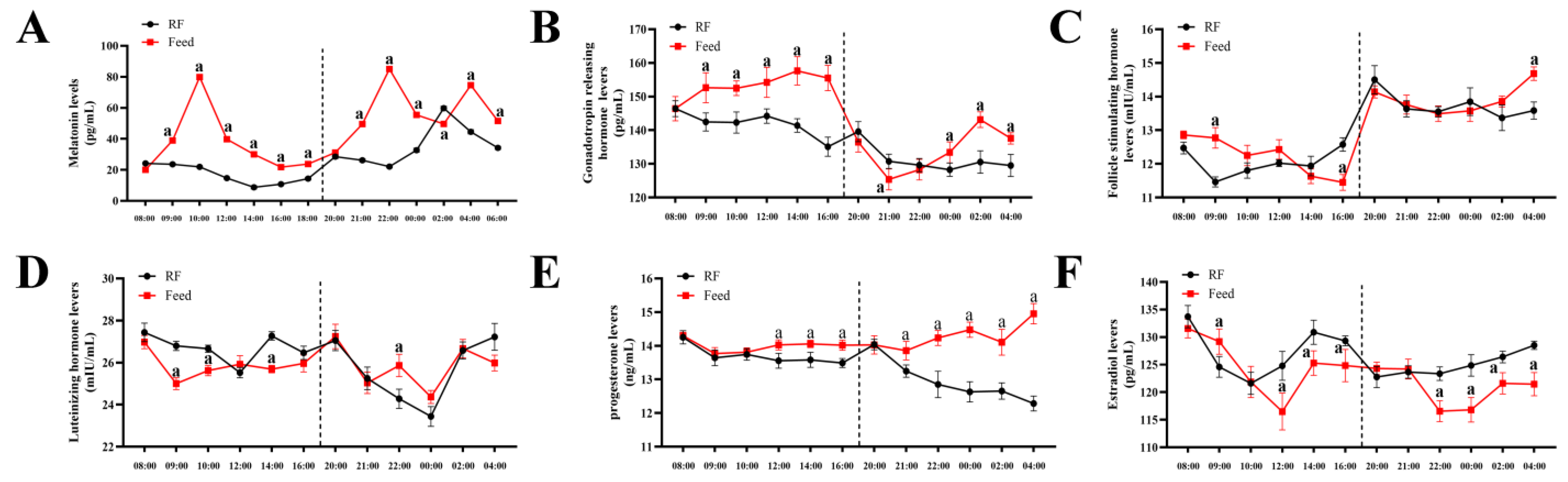
3.6. Fluctuation in Melatonin and Reproduction-Related Hormones After Feeding
3.7. Correlation Between Feeding and Restricted Feeding on Hormones in Blood
4. Discussion
5. Conclusions
Supplementary Materials
Author Contributions
Funding
Institutional Review Board Statement
Informed Consent Statement
Data Availability Statement
Conflicts of Interest
References
- Reiter, R.J.; Mayo, J.C.; Tan, D.-X.; Sainz, R.M.; Alatorre-Jimenez, M.; Qin, L. Melatonin as an Antioxidant: Under Promises but over Delivers. J. Pineal Res. 2016, 61, 253–278. [Google Scholar] [CrossRef] [PubMed]
- Vasey, C.; McBride, J.; Penta, K. Circadian Rhythm Dysregulation and Restoration: The Role of Melatonin. Nutrients 2021, 13, 3480. [Google Scholar] [CrossRef] [PubMed]
- Lerner, A.B.; Case, J.D.; Mori, W.; Wright, M.R. Melatonin in Peripheral Nerve. Nature 1959, 183, 1821. [Google Scholar] [CrossRef]
- Olcese, J.M. Melatonin and Female Reproduction: An Expanding Universe. Front. Endocrinol. 2020, 11, 85. [Google Scholar] [CrossRef] [PubMed]
- Tordjman, S.; Chokron, S.; Delorme, R.; Charrier, A.; Bellissant, E.; Jaafari, N.; Fougerou, C. Melatonin: Pharmacology, Functions and Therapeutic Benefits. Curr. Neuropharmacol. 2017, 15, 434–443. [Google Scholar] [CrossRef] [PubMed]
- Raikhlin, N.T.; Kvetnoy, I.M.; Tolkachev, V.N. Melatonin May Be Synthesised in Enterochromaffin Cells. Nature 1975, 255, 344–345. [Google Scholar] [CrossRef] [PubMed]
- Konturek, S.J.; Brzozowski, T.; Konturek, P.C.; Zwirska-Korczala, K.; Reiter, R.J. Day/Night Differences in Stress-Induced Gastric Lesions in Rats with an Intact Pineal Gland or after Pinealectomy. J. Pineal Res. 2008, 44, 408–415. [Google Scholar] [CrossRef] [PubMed]
- Reiter, R.J.; Manchester, L.C.; Tan, D. Melatonin in Walnuts: Influence on Levels of Melatonin and Total Antioxidant Capacity of Blood. Nutrition 2005, 21, 920–924. [Google Scholar] [CrossRef] [PubMed]
- Zhao, D.; Yu, Y.; Shen, Y.; Liu, Q.; Zhao, Z.; Sharma, R.; Reiter, R.J. Melatonin Synthesis and Function: Evolutionary History in Animals and Plants. Front. Endocrinol. 2019, 10, 249. [Google Scholar] [CrossRef]
- Tan, D.-X.; Manchester, L.C.; Liu, X.; Rosales-Corral, S.A.; Acuna-Castroviejo, D.; Reiter, R.J. Mitochondria and Chloroplasts as the Original Sites of Melatonin Synthesis: A Hypothesis Related to Melatonin’s Primary Function and Evolution in Eukaryotes. J. Pineal Res. 2013, 54, 127–138. [Google Scholar] [CrossRef]
- Wu, X.; Schauss, A.G. Mitigation of Inflammation with Foods. J. Agric. Food Chem. 2012, 60, 6703–6717. [Google Scholar] [CrossRef]
- Bubenik, G.A.; Ball, R.O.; Pang, S.F. The Effect of Food Deprivation on Brain and Gastrointestinal Tissue Levels of Tryptophan, Serotonin, 5-Hydroxyindoleacetic Acid, and Melatonin. J. Pineal Res. 1992, 12, 7–16. [Google Scholar] [CrossRef] [PubMed]
- Al-Rawi, N.; Madkour, M.; Jahrami, H.; Salahat, D.; Alhasan, F.; BaHammam, A.; Al-Islam Faris, M. Effect of Diurnal Intermittent Fasting during Ramadan on Ghrelin, Leptin, Melatonin, and Cortisol Levels among Overweight and Obese Subjects: A Prospective Observational Study. PLoS ONE 2020, 15, e0237922. [Google Scholar] [CrossRef] [PubMed]
- Acuña-Castroviejo, D.; Escames, G.; Venegas, C.; Díaz-Casado, M.E.; Lima-Cabello, E.; López, L.C.; Rosales-Corral, S.; Tan, D.-X.; Reiter, R.J. Extrapineal Melatonin: Sources, Regulation, and Potential Functions. Cell Mol. Life Sci. 2014, 71, 2997–3025. [Google Scholar] [CrossRef] [PubMed]
- Bubenik, G.A.; Hacker, R.R.; Brown, G.M.; Bartos, L. Melatonin Concentrations in the Luminal Fluid, Mucosa, and Muscularis of the Bovine and Porcine Gastrointestinal Tract. J. Pineal Res. 1999, 26, 56–63. [Google Scholar] [CrossRef] [PubMed]
- Deusch, S.; Camarinha-Silva, A.; Conrad, J.; Beifuss, U.; Rodehutscord, M.; Seifert, J. A Structural and Functional Elucidation of the Rumen Microbiome Influenced by Various Diets and Microenvironments. Front. Microbiol. 2017, 8, 1605. [Google Scholar] [CrossRef] [PubMed]
- Huang, C.; Ge, F.; Yao, X.; Guo, X.; Bao, P.; Ma, X.; Wu, X.; Chu, M.; Yan, P.; Liang, C. Microbiome and Metabolomics Reveal the Effects of Different Feeding Systems on the Growth and Ruminal Development of Yaks. Front. Microbiol. 2021, 12, 682989. [Google Scholar] [CrossRef]
- Brulc, J.M.; Antonopoulos, D.A.; Miller, M.E.B.; Wilson, M.K.; Yannarell, A.C.; Dinsdale, E.A.; Edwards, R.E.; Frank, E.D.; Emerson, J.B.; Wacklin, P.; et al. Gene-Centric Metagenomics of the Fiber-Adherent Bovine Rumen Microbiome Reveals Forage Specific Glycoside Hydrolases. Proc. Natl. Acad. Sci. USA 2009, 106, 1948–1953. [Google Scholar] [CrossRef]
- Anderson, C.J.; Koester, L.R.; Schmitz-Esser, S. Rumen Epithelial Communities Share a Core Bacterial Microbiota: A Meta-Analysis of 16S rRNA Gene Illumina MiSeq Sequencing Datasets. Front. Microbiol. 2021, 12, 625400. [Google Scholar] [CrossRef]
- Bickhart, D.M.; Weimer, P.J. Symposium Review: Host-Rumen Microbe Interactions May Be Leveraged to Improve the Productivity of Dairy Cows. J. Dairy. Sci. 2018, 101, 7680–7689. [Google Scholar] [CrossRef]
- Ma, Y.; Jiao, J.; Fan, X.; Sun, H.; Zhang, Y.; Jiang, J.; Liu, C. Endophytic Bacterium Pseudomonas Fluorescens RG11 May Transform Tryptophan to Melatonin and Promote Endogenous Melatonin Levels in the Roots of Four Grape Cultivars. Front. Plant Sci. 2016, 7, 2068. [Google Scholar] [CrossRef] [PubMed]
- Morcillo-Parra, M.Á.; Beltran, G.; Mas, A.; Torija, M.-J. Effect of Several Nutrients and Environmental Conditions on Intracellular Melatonin Synthesis in Saccharomyces Cerevisiae. Microorganisms 2020, 8, 853. [Google Scholar] [CrossRef] [PubMed]
- Gao, J.; Xu, K.; Liu, H.; Liu, G.; Bai, M.; Peng, C.; Li, T.; Yin, Y. Impact of the Gut Microbiota on Intestinal Immunity Mediated by Tryptophan Metabolism. Front. Cell Infect. Microbiol. 2018, 8, 13. [Google Scholar] [CrossRef] [PubMed]
- Ouyang, J.; Wang, M.; Bu, D.; Ma, L.; Liu, F.; Xue, C.; Du, C.; Aboragah, A.; Loor, J.J. Ruminal Microbes Exhibit a Robust Circadian Rhythm and Are Sensitive to Melatonin. Front. Nutr. 2021, 8, 760578. [Google Scholar] [CrossRef] [PubMed]
- Zhao, Z.-X.; Yuan, X.; Cui, Y.-Y.; Liu, J.; Shen, J.; Jin, B.-Y.; Feng, B.-C.; Zhai, Y.-J.; Zheng, M.-Q.; Kou, G.-J.; et al. Melatonin Mitigates Oxazolone-Induced Colitis in Microbiota-Dependent Manner. Front. Immunol. 2021, 12, 783806. [Google Scholar] [CrossRef]
- Gao, T.; Wang, Z.; Dong, Y.; Cao, J.; Lin, R.; Wang, X.; Yu, Z.; Chen, Y. Role of Melatonin in Sleep Deprivation-Induced Intestinal Barrier Dysfunction in Mice. J. Pineal Res. 2019, 67, e12574. [Google Scholar] [CrossRef]
- Yin, J.; Li, Y.; Han, H.; Chen, S.; Gao, J.; Liu, G.; Wu, X.; Deng, J.; Yu, Q.; Huang, X.; et al. Melatonin Reprogramming of Gut Microbiota Improves Lipid Dysmetabolism in High-Fat Diet-Fed Mice. J. Pineal Res. 2018, 65, e12524. [Google Scholar] [CrossRef]
- Gao, T.; Wang, Z.; Dong, Y.; Cao, J.; Chen, Y. Melatonin-Mediated Colonic Microbiota Metabolite Butyrate Prevents Acute Sleep Deprivation-Induced Colitis in Mice. Int. J. Mol. Sci. 2021, 22, 11894. [Google Scholar] [CrossRef]
- Zhang, Y.; Lang, R.; Guo, S.; Luo, X.; Li, H.; Liu, C.; Dong, W.; Bao, C.; Yu, Y. Intestinal Microbiota and Melatonin in the Treatment of Secondary Injury and Complications after Spinal Cord Injury. Front. Neurosci. 2022, 16, 981772. [Google Scholar] [CrossRef]
- Liu, S.; Kang, W.; Mao, X.; Ge, L.; Du, H.; Li, J.; Hou, L.; Liu, D.; Yin, Y.; Liu, Y.; et al. Melatonin Mitigates Aflatoxin B1-Induced Liver Injury via Modulation of Gut Microbiota/Intestinal FXR/Liver TLR4 Signaling Axis in Mice. J. Pineal Res. 2022, 73, e12812. [Google Scholar] [CrossRef]
- Chuffa, L.G. de A.; Lupi, L.A.; Cucielo, M.S.; Silveira, H.S.; Reiter, R.J.; Seiva, F.R.F. Melatonin Promotes Uterine and Placental Health: Potential Molecular Mechanisms. Int. J. Mol. Sci. 2019, 21, 300. [Google Scholar] [CrossRef]
- Guan, S.; Xie, L.; Ma, T.; Lv, D.; Jing, W.; Tian, X.; Song, Y.; Liu, Z.; Xiao, X.; Liu, G. Effects of Melatonin on Early Pregnancy in Mouse: Involving the Regulation of StAR, Cyp11a1, and Ihh Expression. Int. J. Mol. Sci. 2017, 18, 1637. [Google Scholar] [CrossRef] [PubMed]
- Coelho, L.A.; Peres, R.; Amaral, F.G.; Reiter, R.J.; Cipolla-Neto, J. Daily Differential Expression of Melatonin-Related Genes and Clock Genes in Rat Cumulus-Oocyte Complex: Changes after Pinealectomy. J. Pineal Res. 2015, 58, 490–499. [Google Scholar] [CrossRef]
- Srinivasan, V.; Spence, W.D.; Pandi-Perumal, S.R.; Zakharia, R.; Bhatnagar, K.P.; Brzezinski, A. Melatonin and Human Reproduction: Shedding Light on the Darkness Hormone. Gynecol. Endocrinol. 2009, 25, 779–785. [Google Scholar] [CrossRef] [PubMed]
- DeNicolo, G.; Morris, S.T.; Kenyon, P.R.; Morel, P.C.H.; Parkinson, T.J. Melatonin-Improved Reproductive Performance in Sheep Bred out of Season. Anim. Reprod. Sci. 2008, 109, 124–133. [Google Scholar] [CrossRef] [PubMed]
- Yang, C.; Ran, Z.; Liu, G.; Hou, R.; He, C.; Liu, Q.; Chen, Y.; Liu, Y.; Wang, X.; Ling, C.; et al. Melatonin Administration Accelerates Puberty Onset in Mice by Promoting FSH Synthesis. Molecules 2021, 26, 1474. [Google Scholar] [CrossRef] [PubMed]
- Hardeland, R. Melatonin in Plants—Diversity of Levels and Multiplicity of Functions. Front. Plant Sci. 2016, 7, 198. [Google Scholar] [CrossRef]
- Hwang, O.J.; Back, K. Exogenous Gibberellin Treatment Enhances Melatonin Synthesis for Melatonin-Enriched Rice Production. Biomolecules 2022, 12, 198. [Google Scholar] [CrossRef] [PubMed]
- Bubenik, G.A.; Pang, S.F.; Cockshut, J.R.; Smith, P.S.; Grovum, L.W.; Friendship, R.M.; Hacker, R.R. Circadian Variation of Portal, Arterial and Venous Blood Levels of Melatonin in Pigs and Its Relationship to Food Intake and Sleep. J. Pineal Res. 2000, 28, 9–15. [Google Scholar] [CrossRef] [PubMed]
- Iriti, M.; Varoni, E.M. The Good Health of Bacchus: Melatonin in Grapes, the Unveiled Myth. LWT Food Sci. Technol. 2016, 65, 758–761. [Google Scholar] [CrossRef]
- Gorman, M.R. Temporal Organization of Pineal Melatonin Signaling in Mammals. Mol. Cell Endocrinol. 2020, 503, 110687. [Google Scholar] [CrossRef] [PubMed]
- Challet, E. The Circadian Regulation of Food Intake. Nat. Rev. Endocrinol. 2019, 15, 393–405. [Google Scholar] [CrossRef] [PubMed]
- Jiang, Y.; Dai, P.; Dai, Q.; Ma, J.; Wang, Z.; Hu, R.; Zou, H.; Peng, Q.; Wang, L.; Xue, B. Effects of the Higher Concentrate Ratio on the Production Performance, Ruminal Fermentation, and Morphological Structure in Male Cattle-Yaks. Vet. Med. Sci. 2022, 8, 771–780. [Google Scholar] [CrossRef] [PubMed]
- Ma, Y.; Zhang, Y.; Elmhadi, M.; Zhang, H.; Wang, H. Corrigendum: Thiamine Alleviates High-Concentrate-Diet-Induced Oxidative Stress, Apoptosis, and Protects the Rumen Epithelial Barrier Function in Goats. Front. Vet. Sci. 2022, 9, 859615. [Google Scholar] [CrossRef] [PubMed]
- Wu, Z.; Guo, Y.; Zhang, J.; Deng, M.; Xian, Z.; Xiong, H.; Liu, D.; Sun, B. High-Dose Vitamin E Supplementation Can Alleviate the Negative Effect of Subacute Ruminal Acidosis in Dairy Cows. Animals 2023, 13, 486. [Google Scholar] [CrossRef] [PubMed]
- Tsuchiya, Y.; Chiba, E.; Kimura, A.; Kawashima, K.; Hasunuma, T.; Kushibiki, S.; Kim, Y.-H.; Sato, S. Predicted Functional Analysis of Rumen Microbiota Suggested the Underlying Mechanisms of the Postpartum Subacute Ruminal Acidosis in Holstein Cows. J. Vet. Sci. 2023, 24, e27. [Google Scholar] [CrossRef]
- Sarmikasoglou, E.; Faciola, A.P. Ruminal Bacteria Lipopolysaccharides: An Immunological and Microbial Outlook. J. Anim. Sci. Biotechnol. 2022, 13, 41. [Google Scholar] [CrossRef]
- Luu, M.; Riester, Z.; Baldrich, A.; Reichardt, N.; Yuille, S.; Busetti, A.; Klein, M.; Wempe, A.; Leister, H.; Raifer, H.; et al. Microbial Short-Chain Fatty Acids Modulate CD8+ T Cell Responses and Improve Adoptive Immunotherapy for Cancer. Nat. Commun. 2021, 12, 4077. [Google Scholar] [CrossRef]
- Anderson, G.; Rodriguez, M.; Reiter, R.J. Multiple Sclerosis: Melatonin, Orexin, and Ceramide Interact with Platelet Activation Coagulation Factors and Gut-Microbiome-Derived Butyrate in the Circadian Dysregulation of Mitochondria in Glia and Immune Cells. Int. J. Mol. Sci. 2019, 20, 5500. [Google Scholar] [CrossRef]
- Portincasa, P.; Bonfrate, L.; Vacca, M.; De Angelis, M.; Farella, I.; Lanza, E.; Khalil, M.; Wang, D.Q.-H.; Sperandio, M.; Di Ciaula, A. Gut Microbiota and Short Chain Fatty Acids: Implications in Glucose Homeostasis. Int. J. Mol. Sci. 2022, 23, 1105. [Google Scholar] [CrossRef]
- Wang, Q.-J.; Guo, Y.; Yao, C.-Y.; Zhang, K.-H.; Li, Q.; Shan, C.-H.; Liu, P.; Wang, M.-Z.; Zhu, F.; An, L.; et al. Loss of Diurnal Behavioral Rhythms and Impaired Lipid Metabolism in Growing Pigs with Mistimed Feeding. FASEB J. 2021, 35, e21972. [Google Scholar] [CrossRef] [PubMed]
- Zhou, Y.; Chen, L.; Han, H.; Xiong, B.; Zhong, R.; Jiang, Y.; Liu, L.; Sun, H.; Tan, J.; Cheng, X.; et al. Taxifolin Increased Semen Quality of Duroc Boars by Improving Gut Microbes and Blood Metabolites. Front. Microbiol. 2022, 13, 1020628. [Google Scholar] [CrossRef] [PubMed]
- Ankrah, N.Y.D.; Barker, B.E.; Song, J.; Wu, C.; McMullen, J.G.; Douglas, A.E. Predicted Metabolic Function of the Gut Microbiota of Drosophila Melanogaster. mSystems 2021, 6, e01369-20. [Google Scholar] [CrossRef] [PubMed]
- Elgart, M.; Stern, S.; Salton, O.; Gnainsky, Y.; Heifetz, Y.; Soen, Y. Impact of Gut Microbiota on the Fly’s Germ Line. Nat. Commun. 2016, 7, 11280. [Google Scholar] [CrossRef] [PubMed]
- Zhang, J.; Yi, C.; Han, J.; Ming, T.; Zhou, J.; Lu, C.; Li, Y.; Wang, Z.; Su, X. Dose Effect of High-Docosahexaenoic Acid Tuna Oil on Dysbiosis in High-Fat Diet Mice. J. Sci. Food Agric. 2022, 102, 5531–5543. [Google Scholar] [CrossRef] [PubMed]
- Mager, L.F.; Burkhard, R.; Pett, N.; Cooke, N.C.A.; Brown, K.; Ramay, H.; Paik, S.; Stagg, J.; Groves, R.A.; Gallo, M.; et al. Microbiome-Derived Inosine Modulates Response to Checkpoint Inhibitor Immunotherapy. Science 2020, 369, 1481–1489. [Google Scholar] [CrossRef]
- MacEachern, S.J.; Keenan, C.M.; Papakonstantinou, E.; Sharkey, K.A.; Patel, B.A. Alterations in Melatonin and 5-HT Signalling in the Colonic Mucosa of Mice with Dextran-Sodium Sulfate-Induced Colitis. Br. J. Pharmacol. 2018, 175, 1535–1547. [Google Scholar] [CrossRef]
- Cipolla-Neto, J.; Amaral, F.G.; Soares, J.M.; Gallo, C.C.; Furtado, A.; Cavaco, J.E.; Gonçalves, I.; Santos, C.R.A.; Quintela, T. The Crosstalk between Melatonin and Sex Steroid Hormones. Neuroendocrinology 2022, 112, 115–129. [Google Scholar] [CrossRef]
- viviD, D.; Bentley, G.E. Seasonal Reproduction in Vertebrates: Melatonin Synthesis, Binding, and Functionality Using Tinbergen’s Four Questions. Molecules 2018, 23, 652. [Google Scholar] [CrossRef]
- Castle-Miller, J.; Bates, D.O.; Tortonese, D.J. Mechanisms Regulating Angiogenesis Underlie Seasonal Control of Pituitary Function. Proc. Natl. Acad. Sci. USA 2017, 114, E2514–E2523. [Google Scholar] [CrossRef]
- Sawalha, M.N.; Kridli, R.T.; Jawasreh, K.I.; Meza-Herrera, C.A. The Use of Melatonin and Progestagen-eCG to Initiate Reproductive Activity in Prepuberal Awassi Ewe Lambs. Trop. Anim. Health Prod. 2011, 43, 1345–1350. [Google Scholar] [CrossRef] [PubMed]
- Rosales Nieto, C.A.; Ferguson, M.B.; Macleay, C.A.; Briegel, J.R.; Martin, G.B.; Thompson, A.N. Selection for Superior Growth Advances the Onset of Puberty and Increases Reproductive Performance in Ewe Lambs. Animal 2013, 7, 990–997. [Google Scholar] [CrossRef] [PubMed]
- Pool, K.R.; Rickard, J.P.; de Graaf, S.P. Overcoming Neuroendocrine and Metabolic Barriers to Puberty: The Role of Melatonin in Advancing Puberty in Ewe Lambs. Domest. Anim. Endocrinol. 2020, 72, 106457. [Google Scholar] [CrossRef] [PubMed]
- Polkowska, J.; Cieślak, M.; Wańkowska, M.; Wójcik-Gładysz, A. The effect of short fasting on the hypothalamic neuronal system of kisspeptin in peripubertal female lambs. Anim. Reprod. Sci. 2015, 159, 184–190. [Google Scholar] [CrossRef] [PubMed]







| Genes | Primer Sequences (5′→3′) | Length (bp) | Accession No. |
|---|---|---|---|
| AANAT | F: CCCCCTGAATCTGGACGAG R: CACAGGGAGCCGATGATGAAGG | 141 | NM_001009461.1 |
| HIOMT | F: GCTCTTTATGCTCAGAAGGACTCAA R: ACAAGCTGATGGAACAGAGAACTG | 107 | NM_001306120.1 |
| MT1 | F: AGCACGAATTCCCTCTGCTA R: GAGCATCGGAACGATGAAAT | 183 | NM_001009725.1 |
| MT2 | F: AGGTCAAGGCGGAGAGCAA R: GCCACTTCTTCGGGGTCAA | 148 | NM_001130938.1 |
| β-actin | F: CCATTGAGCACGGCATTGT R: GCAGGGGTGTTGAAGGTCTC | 184 | U39357.2 |
Disclaimer/Publisher’s Note: The statements, opinions and data contained in all publications are solely those of the individual author(s) and contributor(s) and not of MDPI and/or the editor(s). MDPI and/or the editor(s) disclaim responsibility for any injury to people or property resulting from any ideas, methods, instructions or products referred to in the content. |
© 2024 by the authors. Licensee MDPI, Basel, Switzerland. This article is an open access article distributed under the terms and conditions of the Creative Commons Attribution (CC BY) license (https://creativecommons.org/licenses/by/4.0/).
Share and Cite
Niu, T.; Ding, Z.; Zeng, J.; Yan, Z.; Duan, H.; Lv, J.; Zhang, Y.; Zhang, L.; Hu, J. Melatonin Sources in Sheep Rumen and Its Role in Reproductive Physiology. Animals 2024, 14, 3451. https://doi.org/10.3390/ani14233451
Niu T, Ding Z, Zeng J, Yan Z, Duan H, Lv J, Zhang Y, Zhang L, Hu J. Melatonin Sources in Sheep Rumen and Its Role in Reproductive Physiology. Animals. 2024; 14(23):3451. https://doi.org/10.3390/ani14233451
Chicago/Turabian StyleNiu, Tian, Ziqiang Ding, Jianlin Zeng, Zhenxing Yan, Hongwei Duan, Jianshu Lv, Yong Zhang, Lihong Zhang, and Junjie Hu. 2024. "Melatonin Sources in Sheep Rumen and Its Role in Reproductive Physiology" Animals 14, no. 23: 3451. https://doi.org/10.3390/ani14233451
APA StyleNiu, T., Ding, Z., Zeng, J., Yan, Z., Duan, H., Lv, J., Zhang, Y., Zhang, L., & Hu, J. (2024). Melatonin Sources in Sheep Rumen and Its Role in Reproductive Physiology. Animals, 14(23), 3451. https://doi.org/10.3390/ani14233451

