Effects of Exogenous Tryptophan in Alleviating Transport Stress in Pearl Gentian Grouper (Epinephelus fuscoguttatus ♀ × E. lanceolatus ♂)
Simple Summary
Abstract
1. Introduction
2. Materials and Methods
2.1. Fish
2.2. Experimental Design
2.3. Sampling
2.4. Measurement
2.4.1. Water Quality Parameters
2.4.2. Antioxidant Enzyme Activity Analysis
2.4.3. Serum Biochemical Analysis
2.4.4. Mitochondrial Membrane Potential Measurement
2.4.5. Real-Time Quantitative PCR (qPCR)
2.5. Statistical Analysis
3. Results
3.1. Water Quality
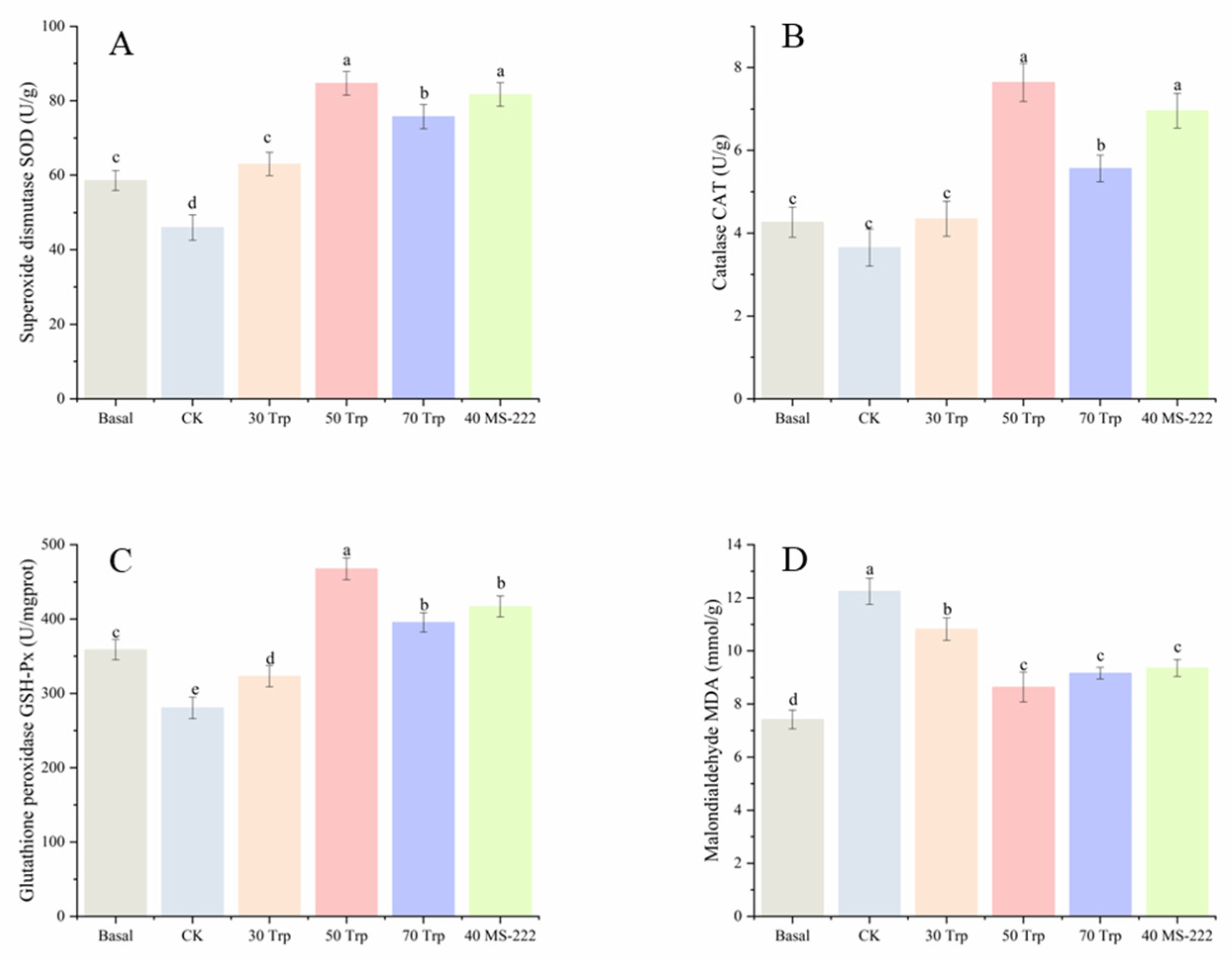
3.2. Oxidative Stress
3.3. Blood Biochemical Parameters
3.4. Mitochondrial Membrane Potential Analysis
3.5. Gene Expression
4. Discussion
5. Conclusions
Author Contributions
Funding
Institutional Review Board Statement
Informed Consent Statement
Data Availability Statement
Acknowledgments
Conflicts of Interest
References
- Purbosari, N.; Warsiki, E.; Syamsu, K.; Santoso, J. Natural versus synthetic anesthetic for transport of live fish: A review. Aquacult. Fish. 2019, 4, 129–133. [Google Scholar] [CrossRef]
- Stevens, C.H.; Croft, D.P.; Paull, G.C.; Tyler, C.R. Stress and welfare in ornamental fishes: What can be learned from aquaculture? J. Fish Biol. 2017, 91, 409–428. [Google Scholar] [CrossRef] [PubMed]
- Ouyang, M.Y.; Wen, B.; Ma, H.C.; Chen, C.; Gao, J.Z.; Zhang, Y.; Chen, Z.Z. Minimally invasive evaluation of the anaesthetic efficacy of MS-222 for ornamental discus fish using skin mucus biomarkers. Aquacult. Res. 2020, 51, 2926–2935. [Google Scholar] [CrossRef]
- Nascimento, H.D.; Crispim, B.D.; Francisco, L.F.V.; Merey, F.M.; Kummrow, F.; Viana, L.F.; Inoue, L.; Barufatti, A. Genotoxicity evaluation of three anesthetics commonly employed in aquaculture using Oreochromis niloticus and Astyanax lacustris. Aquacult. Rep. 2020, 17, 6. [Google Scholar] [CrossRef]
- Mirghaed, A.T.; Ghelichpour, M. Effects of anesthesia and salt treatment on stress responses, and immunological and hydromineral characteristics of common carp (Cyprinus carpio, Linnaeus, 1758) subjected to transportation. Aquaculture 2019, 501, 1–6. [Google Scholar] [CrossRef]
- Brandao, F.R.; Duncan, W.P.; Farias, C.F.S.; Souza, D.C.D.; de Oliveria, M.I.B.; Rocha, M.J.S.; Monteiro, P.C.; Majolo, C.; Chaves, F.C.M.; O’Sullivan, F.L.D.; et al. Essential oils of Lippia sidoides and Mentha piperita as reducers of stress during the transport of Colossoma macropomum. Aquaculture 2022, 560, 8. [Google Scholar] [CrossRef]
- Aydin, B.; Barbas, L.A.L. Sedative and anesthetic properties of essential oils and their active compounds in fish: A review. Aquaculture 2020, 520, 9. [Google Scholar] [CrossRef]
- Zhang, R.; Wu, G.T.; Wang, X.W.; Liu, L.L.; Li, H.J.; Zhu, J.Y.; Zhu, H. Potential benefits of exogenous neurotransmitters in alleviating transport stress in koi carp, Cyprinus carpio. Aquaculture 2022, 558, 7. [Google Scholar] [CrossRef]
- Calheiros, A.C.; Reis, R.P.; Castelar, B.; Cavalcanti, D.N.; Teixeira, V.L. Ulva spp. as a natural source of phenylalanine and tryptophan to be used as anxiolytics in fish farming. Aquaculture 2019, 509, 171–177. [Google Scholar] [CrossRef]
- Wu, F.; Liu, M.M.; Chen, C.; Chen, J.J.; Tan, Q.S. Effects of dietary gamma aminobutyric acid on growth performance, antioxidant status, and feeding-related gene expression of juvenile grass carp, Ctenopharyngodon idellus. J. World Aquac. Soc. 2016, 47, 820–829. [Google Scholar] [CrossRef]
- Yang, L.L.; Wu, P.; Feng, L.; Jiang, W.D.; Liu, Y.; Kuang, S.Y.; Tang, L.; Zhou, X.Q. Guanidinoacetic acid supplementation totally based on vegetable meal diet improved the growth performance, muscle flavor components and sensory characteristics of on-growing grass carp (Ctenopharygodon idella). Aquaculture 2021, 531, 11. [Google Scholar] [CrossRef]
- Martins, C.I.M.; Silva, P.I.M.; Costas, B.; Larsen, B.K.; Santos, G.A.; Conceiçao, L.E.C.; Dias, J.; Overli, O.; Höglund, E.; Schrama, J.W. The effect of tryptophan supplemented diets on brain serotonergic activity and plasma cortisol under undisturbed and stressed conditions in grouped-housed Nile tilapia Oreochromis niloticus. Aquaculture 2013, 400, 129–134. [Google Scholar] [CrossRef]
- Le Floc’h, N.; Seve, B. Biological roles of tryptophan and its metabolism: Potential implications for pig feeding. Livest. Sci. 2007, 112, 23–32. [Google Scholar] [CrossRef]
- Hoseini, S.M.; Pérez-Jiménez, A.; Costas, B.; Azeredo, R.; Gesto, M. Physiological roles of tryptophan in teleosts: Current knowledge and perspectives for future studies. Rev. Aquac. 2019, 11, 3–24. [Google Scholar] [CrossRef]
- Machado, M.; Azeredo, R.; Domingues, A.; Fernandez-Boo, S.; Dias, J.; Conceiçao, L.E.C.; Costas, B. Dietary tryptophan deficiency and its supplementation compromises inflammatory mechanisms and disease resistance in a teleost fish. Sci. Rep. 2019, 9, 15. [Google Scholar] [CrossRef]
- Wilson, R.P.; Allen, O.W., Jr.; Robinson, E.H.; Poe, W.E. Tryptophan and threonine requirements of fingerling channel catfish. J. Nutr. 1978, 108, 1595–1599. [Google Scholar] [CrossRef]
- Summers, C.H.; Winberg, S. Interactions between the neural regulation of stress and aggression. J. Exp. Biol. 2006, 209, 4581–4589. [Google Scholar] [CrossRef]
- Xue, C.; Li, G.L.; Zheng, Q.X.; Gu, X.Y.; Shi, Q.M.; Su, Y.S.; Chu, Q.F.; Yuan, X.; Bao, Z.Y.; Lu, J.; et al. Tryptophan metabolism in health and disease. Cell Metab. 2023, 35, 1304–1326. [Google Scholar] [CrossRef]
- Ahmed, I.; Ahmad, I.; Malla, B.A. Effects of dietary tryptophan levels on growth performance, plasma profile, intestinal antioxidant capacity and growth related genes in rainbow trout (Oncorhynchus mykiss) fingerlings. Aquaculture 2024, 585, 11. [Google Scholar] [CrossRef]
- Peixoto, D.; Carvalho, I.; Machado, M.; Aragao, C.; Costas, B.; Azeredo, R. Dietary tryptophan intervention counteracts stress-induced transcriptional changes in a teleost fish HPI axis during inflammation. Sci. Rep. 2024, 14, 16. [Google Scholar] [CrossRef]
- Oyarzún-Salazar, R.; Munoz, J.L.P.; Mardones, O.; Labbe, B.S.; Romero, A.; Nualart, D.; Vargas-Chacoff, L. Dietary melatonin and L-tryptophan supplementation counteracts the effects of acute stress in Salmo salar. Aquaculture 2022, 550, 15. [Google Scholar] [CrossRef]
- Lepage, O.; Tottmar, O.; Winberg, S. Elevated dietary intake of L-tryptophan counteracts the stress-induced elevation of plasma cortisol in rainbow trout (Oncorhynchus mykiss). J. Exp. Biol. 2002, 205, 3679–3687. [Google Scholar] [CrossRef] [PubMed]
- Fang, D.; Mei, J.; Xie, J.; Qiu, W.Q. The effects of transport stress (temperature and vibration) on blood biochemical parameters, oxidative stress, and gill histomorphology of pearl gentian groupers. Fishes 2023, 8, 21. [Google Scholar] [CrossRef]
- Barton, B.A.; Iwama, K. Physiological changes in fish from stress in aquaculture with emphasis on the response and effects of corticosteroids. Annu. Rev. Fish Dis. 1991, 1, 3–26. [Google Scholar] [CrossRef]
- Pickering, A.D.; Pottinger, T.G. Stress responses and disease resistance in salmonid fish: Effects of chronic elevation of plasma cortisol. Fish Physiol. Biochem. 1989, 7, 253–258. [Google Scholar] [CrossRef]
- Pickering, A.D. Rainbow trout husbandry: Management of the stress response. Aquaculture 1992, 100, 125–139. [Google Scholar] [CrossRef]
- Romero, M.L.; Butler, L.K. Endocrinology of stress. Int. J. Comp. Psychol. 2007, 20, 89–95. [Google Scholar] [CrossRef]
- Barton, B.A. Salmonid fishes differ in their cortisol and glucose responses to handling and transport stress. N. Am. J. Aqualcult. 2000, 62, 12–18. [Google Scholar] [CrossRef]
- Wu, S.M.; Chen, J.R.; Chang, C.Y.; Tseng, Y.J.; Pan, B.S. Potential benefit of I-Tiao-Gung (Glycine tomentella) extract to enhance ornamental fish welfare during live transport. Aquaculture 2021, 534, 13. [Google Scholar] [CrossRef]
- Mirghaed, A.T.; Ghelichpour, M.; Zargari, A.; Yousefi, M. Anaesthetic efficacy and biochemical effects of 1,8-cineole in rainbow trout (Oncorhynchus mykiss, Walbaum, 1792). Aquacult. Res. 2018, 49, 2156–2165. [Google Scholar] [CrossRef]
- Chatterjee, N.; Pal, A.K.; Das, T.; Mohammed, M.S.; Sarma, K.; Venkateshwarlu, G.; Mukherjee, S.C. Secondary stress responses in Indian major carps Labeo rohita, Catla catla and Cirrhinus mrigala fry to increasing packing densities. Aquacult. Res. 2006, 37, 472–476. [Google Scholar] [CrossRef]
- Jeney, Z.; Nemcsok, J.; Jeney, G.; Olah, J. Acute effect of sublethal ammonia concentrations on common carp (Cyprinus carpio L.). I. Effect of ammonia on adrenaline and noradrenaline levels in different organs. Aquaculture 1992, 104, 139–148. [Google Scholar] [CrossRef]
- Carmichael, G.; Tomasso, J.; Schwedler, T. Fish transportation. In Fish Hatchery Management, 2nd ed.; American Fisheries Society: Bethesda, MD, USA, 2001; pp. 641–660. [Google Scholar]
- Wedemeyer, B. Effects of rearing conditions on the health and physiological quality of fish in intensive culture. In Fish Stress and Health in Aquaculture; Cambridge University Press: Cambridge, UK, 1997. [Google Scholar]
- Koizumi, T.; Shirakura, H.; Kumagai, H.; Tatsumoto, H.; Suzuki, K.T. Mechanism of cadmium-induced cytotoxicity in rat hepatocytes: Cadmium-induced active oxygen-related permeability changes of the plasma membrane. Toxicology 1996, 114, 125–134. [Google Scholar] [CrossRef] [PubMed]
- Selvaraj, V.; Armistead, M.Y.; Cohenford, M.; Murray, E. Arsenic trioxide (As2O3) induces apoptosis and necrosis mediated cell death through mitochondrial membrane potential damage and elevated production of reactive oxygen species in PLHC-1 fish cell line. Chemosphere 2013, 90, 1201–1209. [Google Scholar] [CrossRef]
- Wang, W.H.; Dong, H.B.; Sun, Y.X.; Sun, C.Y.; Duan, Y.F.; Gu, Q.H.; Li, Y.; Xie, M.J.; Zhang, J.S. Immune and physiological responses of juvenile Chinese sea bass (Lateolabrax maculatus) to eugenol and tricaine methanesulfonate (MS-222) in gills. Aquacult. Rep. 2020, 18, 9. [Google Scholar] [CrossRef]
- Cao, J.; Mei, J.; Xie, J. Combined effects of hypoxia and ammonia-N exposure on the immune response, oxidative stress, tissue injury and apoptosis of hybrid grouper (Epinephelus fuscoguttatus ♀ × E. lanceolatus ♂). Environ. Sci. Pollut. Res. 2024, 31, 845–856. [Google Scholar] [CrossRef]
- Nandi, A.; Yan, L.J.; Jana, C.K.; Das, N. Role of catalase in oxidative stress- and age-associated degenerative diseases. Oxidative Med. Cell. Longev. 2019, 2019, 19. [Google Scholar] [CrossRef]
- Zhao, S.H.; Wang, X.H.; Li, Y.Y.; Lin, J.Q. Bioconcentration, metabolism, and biomarker responses in marine medaka (Oryzias melastigma) exposed to sulfamethazine. Aquat. Toxicol. 2016, 181, 29–36. [Google Scholar] [CrossRef]
- Hong, J.W.; Chen, X.; Liu, S.X.; Fu, Z.Y.; Han, M.Y.; Wang, Y.F.; Gu, Z.F.; Ma, Z.H. Impact of fish density on water quality and physiological response of golden pompano (Trachinotus ovatus) flingerlings during transportation. Aquaculture 2019, 507, 260–265. [Google Scholar] [CrossRef]
- Liu, X.L.; Xi, Q.Y.; Yang, L.; Li, H.Y.; Jiang, Q.Y.; Shu, G.; Wang, S.B.; Gao, P.; Zhu, X.T.; Zhang, Y.L. The effect of dietary Panax ginseng polysaccharide extract on the immune responses in white shrimp, Litopenaeus vannamei. Fish Shellfish Immunol. 2011, 30, 495–500. [Google Scholar] [CrossRef]
- Kim, H.Y.; Park, J.; Lee, K.H.; Lee, D.U.; Kwak, J.H.; Kim, Y.S.; Lee, S.M. Ferulic acid protects against carbon tetrachloride-induced liver injury in mice. Toxicology 2011, 282, 104–111. [Google Scholar] [CrossRef] [PubMed]
- Bols, N.C.; Brubacher, J.L.; Ganassin, R.C.; Lee, L.E.J. Ecotoxicology and innate immunity in fish. Dev. Comp. Immunol. 2001, 25, 853–873. [Google Scholar] [CrossRef] [PubMed]
- Katsori, A.M.; Palagani, A.; Bougarne, N.; Hadjipavlou-Litina, D.; Haegeman, G.; Vanden Berghe, W. Inhibition of the NF-kappa B signaling pathway by a novel heterocyclic curcumin analogue. Molecules 2015, 20, 863–878. [Google Scholar] [CrossRef]
- Scapigliati, G.; Buonocore, F.; Bird, S.; Zou, J.; Pelegrin, P.; Falasca, C.; Prugnoli, D.; Secombes, C.J. Phylogeny of cytokines:: Molecular cloning and expression analysis of sea bass Dicentrarchus labrax interleukin-1β. Fish Shellfish Immunol. 2001, 11, 711–726. [Google Scholar] [CrossRef]
- Bai, C.; Qi, X.; Wang, Z.D.; Wang, J.G.; Qiu, L.; Li, H.H.; Zu, X.Y.; Li, H.L.; Xiong, G.Q.; Liao, T. Effect of density stress on the physiological, biochemical, and immunological parameters of juvenile Pelteobagrus fulvidraco during simulated transportation. Aquacult. Rep. 2024, 34, 11. [Google Scholar] [CrossRef]
- Hoseini, S.M.; Yousefi, M.; Hoseinifar, S.H.; Van Doan, H. Cytokines’ gene expression, humoral immune and biochemical responses of common carp (Cyprinus carpio, Linnaeus, 1758) to transportation density and recovery in brackish water. Aquaculture 2019, 504, 13–21. [Google Scholar] [CrossRef]
- Caipang, C.M.A.; Berg, I.; Brinchmann, M.F.; Kiron, V. Short-term crowding stress in Atlantic cod, Gadus morhua L. modulates the humoral immune response. Aquaculture 2009, 295, 110–115. [Google Scholar] [CrossRef]
- Kim, R. Unknotting the roles of Bcl-2 and Bcl-xL in cell death. Biochem. Biophys. Res. Commun. 2005, 333, 336–343. [Google Scholar] [CrossRef]
- Kaushal, G.P.; Liu, L.; Kaushal, V.; Hong, X.M.; Melnyk, O.; Seth, R.; Safirstein, R.; Shah, S.V. Regulation of caspase-3 and-9 activation in oxidant stress to RTE by forkhead transcription factors, Bcl-2 proteins, and MAP kinases. Am. J. Physiol.-Ren. Physiol. 2004, 287, F1258–F1268. [Google Scholar] [CrossRef]
- Wei, M.C.; Zong, W.X.; Cheng, E.H.Y.; Lindsten, T.; Panoutsakopoulou, V.; Ross, A.J.; Roth, K.A.; MacCregor, G.R.; Thompson, C.B.; Korsmeyer, S.J. Proapoptotic BAX and BAK: A requisite gateway to mitochondrial dysfunction and death. Science 2001, 292, 727–730. [Google Scholar] [CrossRef]
- Bi, X.Y.; Liu, X.Z.; Bi, D.K.; Sun, Y.N. Identification of Caspase-6 and Caspase-7 from miiuy croaker and evolution analysis in fish. Fish Shellfish Immunol. 2018, 83, 406–409. [Google Scholar] [CrossRef] [PubMed]
- Wang, Y.; Xu, Y.Y.; Wang, H.H.; Xue, P.; Li, X.; Li, B.; Zheng, Q.M.; Sun, G.F. Arsenic induces mitochondria-dependent apoptosis by reactive oxygen species generation rather than glutathione depletion in Chang human hepatocytes. Arch. Toxicol. 2009, 83, 899–908. [Google Scholar] [CrossRef] [PubMed]





| Groups | Additives |
|---|---|
| Basal | No transportation; no additives |
| Control (CK) | Transport; no additives |
| 30 Trp | Transport; 30 mg/L Tryptophan |
| 50 Trp | Transport; 50 mg/L Tryptophan |
| 70 Trp | Transport; 70 mg/L Tryptophan |
| 40 MS-222 | Transport; 40 mg/L MS-222 |
| Groups | Additives | Amplification Efficiency (%) | bp |
|---|---|---|---|
| GAPDH | F: CATCACTGCCACCCAGAAGA R: GACAGCTTTAGCAGCACCAGTAGA | 98.7 | 293 |
| Bcl-2 | F: ATCGTAGGGCTTTTCGCTTTC R: CTCCCATCCTCTTTGGCTCTG | 95.5 | 235 |
| Bax | F: ACTGGGGAAGAATCATCGTG R: CGTCCTGAAGAAATCCAAACA | 96.7 | 155 |
| Caspase 3 | F: CGCAAAGAGTAGCGACGGA R: CGATGCTGGGGAAATTCAGAC | 94.1 | 106 |
| Caspase 9 | F: TTTTCCTGGTTATGTTTCGTGG | 96.9 | 135 |
| R: TTGCTTGTAGAGCCCTTTTGC | |||
| IL-10 | F: AAGCAAACGACGACTTGGACAC R: TTAGATTCCTGGTATCCTCCGTC | 94.2 | 249 |
| IL-1β | F: ATGAAAGTCTGACCGTCCTCCTG R: AACACGGCTTTGTCGTCTTTC | 95.6 | 118 |
Disclaimer/Publisher’s Note: The statements, opinions and data contained in all publications are solely those of the individual author(s) and contributor(s) and not of MDPI and/or the editor(s). MDPI and/or the editor(s) disclaim responsibility for any injury to people or property resulting from any ideas, methods, instructions or products referred to in the content. |
© 2024 by the authors. Licensee MDPI, Basel, Switzerland. This article is an open access article distributed under the terms and conditions of the Creative Commons Attribution (CC BY) license (https://creativecommons.org/licenses/by/4.0/).
Share and Cite
Cao, J.; Fang, D.; Qiu, W.; Xie, J. Effects of Exogenous Tryptophan in Alleviating Transport Stress in Pearl Gentian Grouper (Epinephelus fuscoguttatus ♀ × E. lanceolatus ♂). Animals 2024, 14, 3583. https://doi.org/10.3390/ani14243583
Cao J, Fang D, Qiu W, Xie J. Effects of Exogenous Tryptophan in Alleviating Transport Stress in Pearl Gentian Grouper (Epinephelus fuscoguttatus ♀ × E. lanceolatus ♂). Animals. 2024; 14(24):3583. https://doi.org/10.3390/ani14243583
Chicago/Turabian StyleCao, Jie, Dan Fang, Weiqiang Qiu, and Jing Xie. 2024. "Effects of Exogenous Tryptophan in Alleviating Transport Stress in Pearl Gentian Grouper (Epinephelus fuscoguttatus ♀ × E. lanceolatus ♂)" Animals 14, no. 24: 3583. https://doi.org/10.3390/ani14243583
APA StyleCao, J., Fang, D., Qiu, W., & Xie, J. (2024). Effects of Exogenous Tryptophan in Alleviating Transport Stress in Pearl Gentian Grouper (Epinephelus fuscoguttatus ♀ × E. lanceolatus ♂). Animals, 14(24), 3583. https://doi.org/10.3390/ani14243583

