Impact of Social Identity Complexity in Unfair Events on Intergroup Bias in Third-Party Fairness Maintenance
Abstract
1. Introduction
1.1. Ingroup Love and Outgroup Hate in Intergroup Bias
1.2. The Impact of Social Identity Complexity on Intergroup Bias
1.3. The Present Study
- (1)
- Can multiple identities of the two sides of unfair events reduce intergroup bias in third-party fairness maintenance?
- (2)
- If so, is this result achieved by reducing outgroup hate, ingroup love, or both?
- (3)
- If it is achieved by reducing ingroup love, does this enhance the punishment for ingroup violators, reduce compensation for ingroup victims, or both?
- (4)
- If it is achieved by reducing outgroup hate, does this reduce punishment for outgroup violators, enhance compensation for outgroup victims, or both?
2. Experiment One: Impact of Social Identity Complexity on Intergroup Bias in Third-Party Punishment
2.1. Participants
2.2. Procedure
2.2.1. Collect and Determine Social Identities
2.2.2. Grouping
2.2.3. Dictator Game
2.2.4. Third-Party Fairness Maintenance
2.3. Results
2.3.1. Group Identity Operation Test
2.3.2. Social Identity Complexity Operation Test
2.3.3. Punishment Frequency and Amount
3. Experiment Two: Impact of Social Identity Complexity on Intergroup Bias in Third-Party Compensation
3.1. Participants
3.2. Procedure
3.3. Results
3.3.1. Group Identity Operation Test
3.3.2. Social Identity Complexity Operation Test
3.3.3. Compensation Frequency and Amount
4. General Discussion
4.1. Impact of Social Identity Complexity on Intergroup Bias
4.2. Optimization of Third-Party Fairness Maintenance
4.3. Relationship between Ingroup Love and Outgroup Hate
5. Conclusions
Author Contributions
Funding
Institutional Review Board Statement
Informed Consent Statement
Data Availability Statement
Conflicts of Interest
References
- Fehr, E.; Fischbacher, U. The nature of human altruism. Nature 2003, 425, 785–791. [Google Scholar] [CrossRef] [PubMed]
- Leliveld, M.C.; Dijk, E.; Beest, I. Punishing and compensating others at your own expense: The role of empathic concern on reactions to distributive injustice. Eur. J. Soc. Psychol. 2012, 42, 135–140. [Google Scholar] [CrossRef]
- Delton, A.W.; Krasnow, M.M. The psychology of deterrence explains why group membership matters for third-party punishment. Evol. Hum. Behav. 2017, 38, 734–743. [Google Scholar] [CrossRef]
- Li, Z.; Hu, G.; Xu, L.; Rui, Y. Third-party fairness maintenance in five types of group relationships. Soc. Behav. Personal. Int. J. 2021, 49, 1–9. [Google Scholar] [CrossRef]
- Liu, Y.; Bian, X.; Hu, Y.; Chen, Y.; Li, X.; Di Fabrizio, B.D. Intergroup bias influences third-party punishment and compensation: In-group relationships attenuate altruistic punishment. Soc. Behav. Personal. Int. J. 2018, 46, 1397–1408. [Google Scholar] [CrossRef]
- Rabellino, D.; Morese, R.; Ciaramidaro, A.; Bara, B.G.; Bosco, F.M. Third-party punishment: Altruistic and anti-social behaviours in in-group and out-group settings. J. Cogn. Psychol. 2016, 28, 486–495. [Google Scholar] [CrossRef]
- Yudkin, D.A.; Rothmund, T.; Twardawski, M.; Thalla, N.; Van Bavel, J.J.J. Reflexive intergroup bias in third-party punishment. J. Exp. Psychol. Gen. 2016, 145, 1448–1459. [Google Scholar] [CrossRef]
- Tajfel, H.; Turner, J.C. The social identity theory of intergroup behavior. In The Psychology of Intergroup Relations; Worchel, S., Austin, W.G., Eds.; Nelson-Hall: Chicago, IL, USA, 1986; pp. 7–24. [Google Scholar]
- Baron, J. Confusion of group interest and self-interest in parochial cooperation on behalf of a group. J. Confl. Resolut. 2001, 45, 283–296. [Google Scholar] [CrossRef]
- Halevy, N.; Chou, E.Y.; Cohen, T.R.; Bornstein, G. Relative deprivation and intergroup competition. Group Process. Intergroup Relat. 2010, 13, 685–700. [Google Scholar] [CrossRef]
- Campbell, D.T. Ethnocentric and other altruistic motives. In Nebraska Symposium on Motivation; Levine, D., Ed.; University of Nebraska Press: Lincoln, OR, USA, 1965; Volume 3010, p. 283. [Google Scholar]
- Sherif, M. Common Predicament: Social Psychology of Intergroup Conflict and Cooperation; Houghton Mifflin: Boston, MA, USA, 1966; p. 32. [Google Scholar]
- Brewer, M.B. The psychology of prejudice: Ingroup love or outgroup hate? J. Soc. Issues 1999, 55, 429–444. [Google Scholar] [CrossRef]
- Bornstein, G.; Ben-Yossef, M. Cooperation in intergroup and single-group social dilemmas. J. Exp. Soc. Psychol. 1994, 30, 52–67. [Google Scholar] [CrossRef]
- Bornstein, G. Intergroup conflict: Individual, group, and collective interests. Personal. Soc. Psychol. Rev. 2003, 7, 129–145. [Google Scholar] [CrossRef] [PubMed]
- Halevy, N.; Bornstein, G.; Sagiv, L. ‘In-group love’ and “out-group hate” as motives for individual participation in intergroup conflict: A new game paradigm. Psychol. Sci. 2008, 19, 405–411. [Google Scholar] [CrossRef] [PubMed]
- Halevy, N.; Weisel, O.; Bornstein, G. ‘In-group love’ and “out-group hate” in repeated interaction between groups. J. Behav. Decis. Mak. 2012, 25, 188–195. [Google Scholar] [CrossRef]
- Weisel, O.; Böhm, R. ‘Ingroup love’ and “outgroup hate” in intergroup conflict between natural groups. J. Exp. Soc. Psychol. 2015, 60, 110–120. [Google Scholar] [CrossRef]
- Yamagishi, T.; Mifune, N. Social exchange and solidarity: In-group love or out-group hate? Evol. Hum. Behav. 2009, 30, 229–237. [Google Scholar] [CrossRef]
- Allport, G.W. The Nature of Prejudice; Addison-Wesley: Cambridge, MA, USA, 1954; pp. 40–45. [Google Scholar]
- Brewer, M.B.; Campbell, D.T. Ethnocentrism and intergroup attitudes: East African evidence. Contemp. Sociol. 1977, 6. [Google Scholar] [CrossRef]
- Schiller, B.; Baumgartner, T.; Knoch, D. Intergroup bias in third-party punishment stems from both ingroup favoritism and outgroup discrimination. Evol. Hum. Behav. 2014, 35, 169–175. [Google Scholar] [CrossRef]
- Roccas, S.; Brewer, M.B. Social identity complexity. Personal. Soc. Psychol. Rev. 2002, 6, 88–106. [Google Scholar] [CrossRef]
- Xin, S.; Xin, Z. Social identity complexity: Theories, methods and advances. Adv. Psychol. Sci. 2012, 20, 433–442. [Google Scholar] [CrossRef]
- Brewer, M.B.; Pierce, K.P. Social identity complexity and outgroup tolerance. Personal. Soc. Psychol. Bull. Soc. Personal. Soc. Psychol. 2005, 31, 428–437. [Google Scholar] [CrossRef] [PubMed]
- Schmid, K.; Hewstone, M.; Tausch, N.; Cairns, E.; Hughes, J. Antecedents and consequences of social identity complexity: Intergroup contact, distinctiveness threat, and outgroup attitudes. Personal. Soc. Psychol. Bull. 2009, 35, 1085–1098. [Google Scholar] [CrossRef]
- Xin, Z.; Xin, S. The influence of trustees’ social identity complexity on their trustworthiness. Acta Psychol. Sin. 2014, 46, 415–426. [Google Scholar] [CrossRef]
- Liu, Y.; Li, L.; Zheng, L.; Guo, X. Punish the perpetrator or compensate the victim? gain vs. loss context modulate third-Party altruistic behaviors. Front. Psychol. 2017, 8, 2066. [Google Scholar] [CrossRef] [PubMed]
- Hu, Y.; Strang, S.; Weber, B. Helping or punishing strangers: Neural correlates of altruistic decisions as third-party and of its relation to empathic concern. Front. Behav. Neurosci. 2015, 9, 24. [Google Scholar] [CrossRef]
- Knifsend, C.A.; Juvonen, J. The role of social identity complexity in inter-group attitudes among young adolescents. Soc. Dev. 2013, 22, 623–640. [Google Scholar] [CrossRef]
- Knifsend, C.A.; Juvonen, J. Social identity complexity, cross-ethnic friendships, and intergroup attitudes in urban middle schools. Child Dev. 2014, 85, 709–721. [Google Scholar] [CrossRef]
- Brewer, M.B. The social self: On being the same and different at the same time. Personal. Soc. Psychol. Bull. 1991, 17, 475–482. [Google Scholar] [CrossRef]
- Brewer, M.B. Social Identity Complexity and Acceptance of Diversity; Wiley-Blackwell: Hoboken, NJ, USA, 2010; pp. 12–33. [Google Scholar]
- Miller, K.P.; Brewer, M.B.; Arbuckle, N.L. Social identity complexity: Its correlates and antecedents. Group Process. Intergroup Relat. 2009, 12, 79–94. [Google Scholar] [CrossRef]
- He, G.; Li, S.; Liang, Z. Behavioral decision-making is nudging China toward the overall revitalization. Acta Psychol. Sin. 2018, 50, 803–813. [Google Scholar] [CrossRef]
- Boone, C.; Meng, C.; Velden, R. Individualism and Collectivism; Westview Press: Boulder, CO, USA, 1995; pp. 211–223. [Google Scholar]



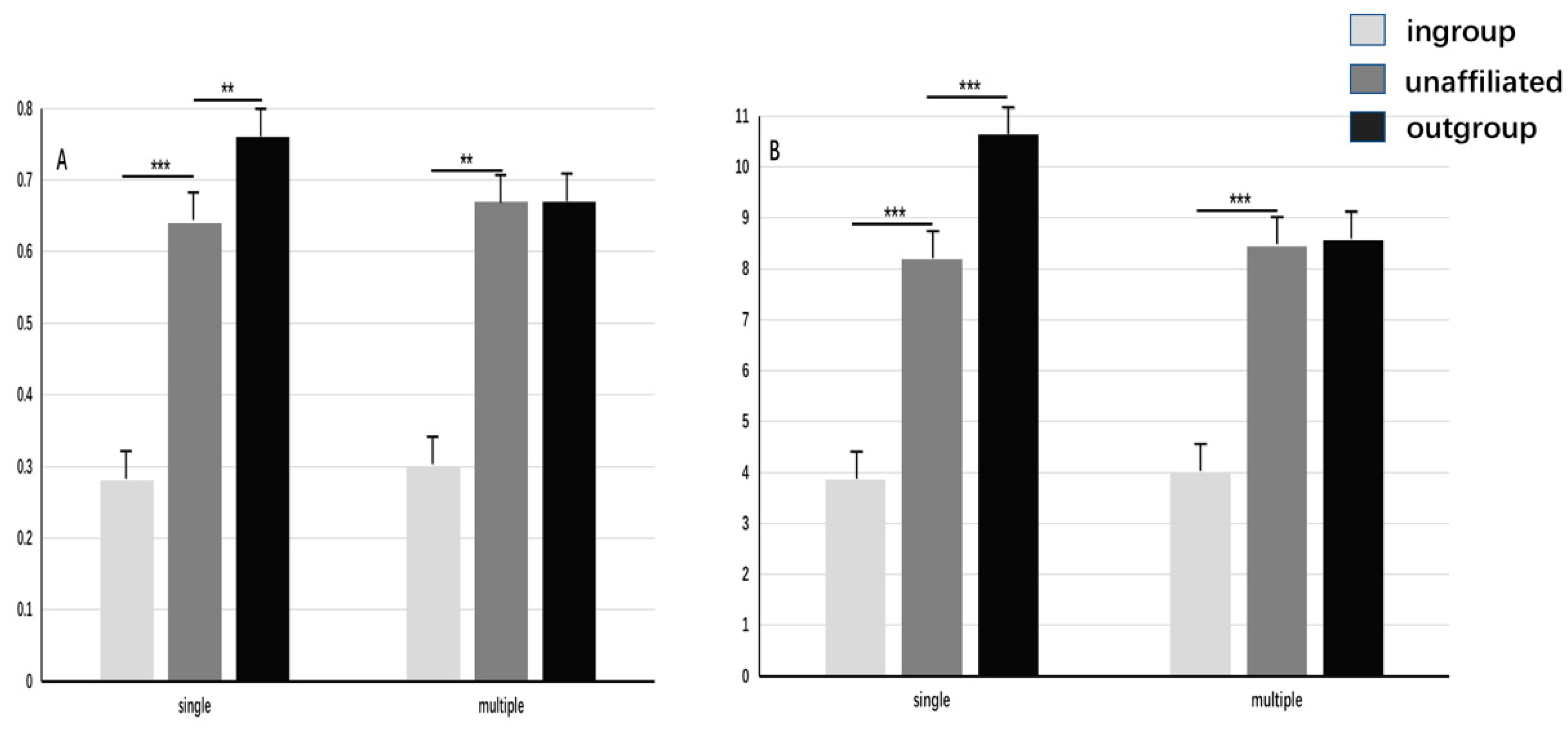
| Social Identity Complexity | Dictator’s Group Identity | Punishment Frequency | Punishment Amount |
|---|---|---|---|
| single | ingroup | 0.28 ± 0.18 | 3.85 ± 2.62 |
| unaffiliated | 0.64 ± 0.18 | 8.18 ± 2.78 | |
| outgroup | 0.76 ± 0.14 | 10.64 ± 2.17 | |
| multiple | ingroup | 0.30 ± 0.19 | 4.00 ± 2.36 |
| unaffiliated | 0.67 ± 0.18 | 8.43 ± 2.33 | |
| outgroup | 0.67 ± 0.20 | 8.56 ± 2.33 |
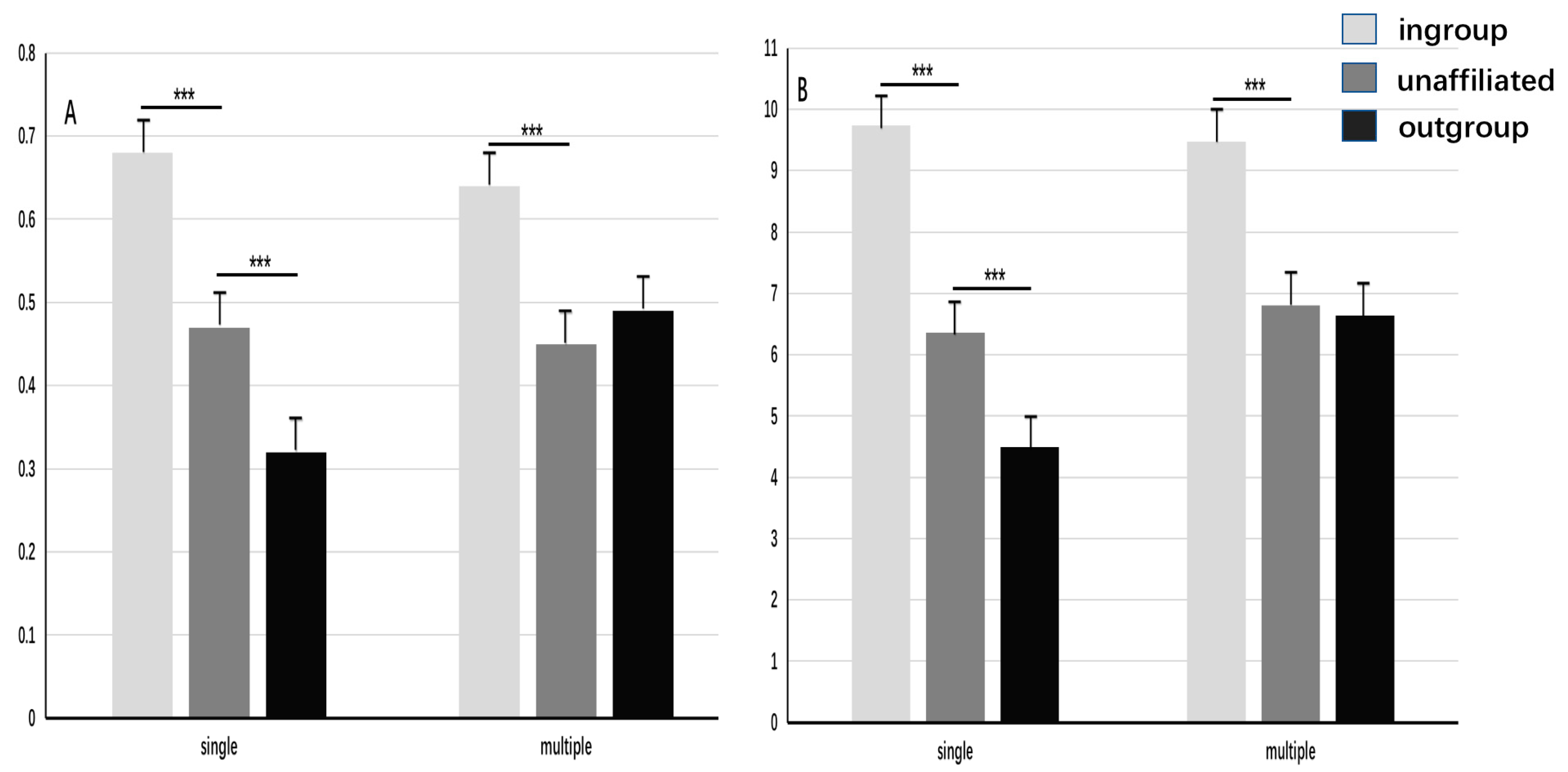
| Social Identity Complexity | Recipient’s Group Identity | Compensation Frequency | Compensation Amount |
|---|---|---|---|
| single | ingroup | 0.68 ± 0.17 | 9.73 ± 2.92 |
| unaffiliated | 0.47 ± 0.16 | 6.36 ± 2.34 | |
| outgroup | 0.32 ± 0.17 | 4.49 ± 2.44 | |
| multiple | ingroup | 0.64 ± 0.17 | 9.48 ± 2.46 |
| unaffiliated | 0.45 ± 0.19 | 6.81 ± 3.33 | |
| outgroup | 0.49 ± 0.18 | 6.64 ± 2.97 |
Disclaimer/Publisher’s Note: The statements, opinions and data contained in all publications are solely those of the individual author(s) and contributor(s) and not of MDPI and/or the editor(s). MDPI and/or the editor(s) disclaim responsibility for any injury to people or property resulting from any ideas, methods, instructions or products referred to in the content. |
© 2023 by the authors. Licensee MDPI, Basel, Switzerland. This article is an open access article distributed under the terms and conditions of the Creative Commons Attribution (CC BY) license (https://creativecommons.org/licenses/by/4.0/).
Share and Cite
Li, Z.; Hu, G.; Li, Q. Impact of Social Identity Complexity in Unfair Events on Intergroup Bias in Third-Party Fairness Maintenance. Behav. Sci. 2023, 13, 456. https://doi.org/10.3390/bs13060456
Li Z, Hu G, Li Q. Impact of Social Identity Complexity in Unfair Events on Intergroup Bias in Third-Party Fairness Maintenance. Behavioral Sciences. 2023; 13(6):456. https://doi.org/10.3390/bs13060456
Chicago/Turabian StyleLi, Zhuang, Gengdan Hu, and Qiangqiang Li. 2023. "Impact of Social Identity Complexity in Unfair Events on Intergroup Bias in Third-Party Fairness Maintenance" Behavioral Sciences 13, no. 6: 456. https://doi.org/10.3390/bs13060456
APA StyleLi, Z., Hu, G., & Li, Q. (2023). Impact of Social Identity Complexity in Unfair Events on Intergroup Bias in Third-Party Fairness Maintenance. Behavioral Sciences, 13(6), 456. https://doi.org/10.3390/bs13060456

