The Role of Triggers in Physical Activity among College Students: An Extended Model of the Theory of Planned Behavior
Abstract
1. Introduction
- Three types of triggers have a moderating effect on the relationship between BI and PA behavior.
- The TPBT model can significantly predict college students’ PA behavior and improve the interpretation rate of PA behavior.
2. Methods
2.1. Participants
2.2. Design and Procedure
2.3. Measures
2.4. Data Processing
3. Results
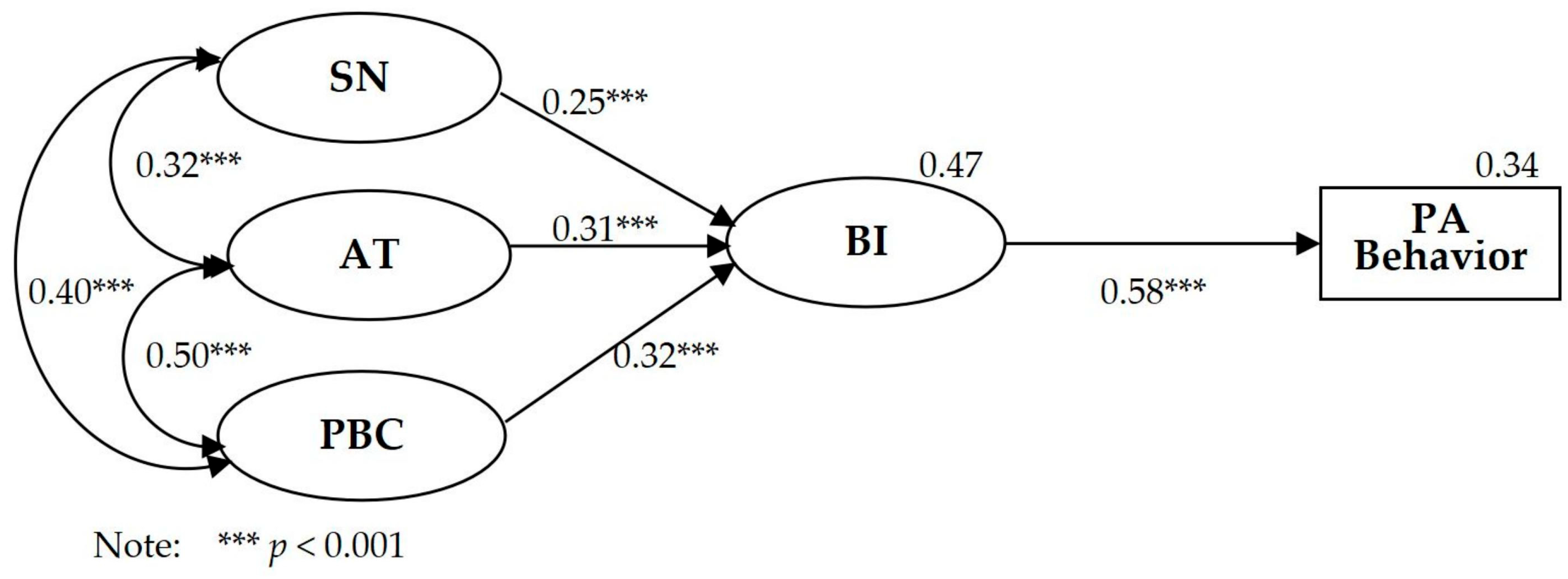
3.1. Prediction of College Students’ PA Behavior by TPB Model
3.2. Prediction of PA Behavior of College Students by TPB and Triggers Model
3.3. Moderating Effect of Triggers
3.3.1. Triggers Moderating Effect Test
3.3.2. Sparks, Signals, and Facilitators Moderating Effect Test
4. Discussion
4.1. The Moderating Effect of Triggers
4.2. Integrated Model of TPB and Triggers
5. Conclusions
Author Contributions
Funding
Institutional Review Board Statement
Informed Consent Statement
Data Availability Statement
Acknowledgments
Conflicts of Interest
References
- World Health Organization. WHO Guidelines on Physical Activity and Sedentary Behavior. 2020. Available online: https://www.who.int/publications/i/item/9789240015128 (accessed on 15 June 2022).
- Margulis, A.; Andrews, K.; He, Z.; Chen, W. The effects of different types of physical activities on stress and anxiety in college students. Curr. Psychol. 2021, 42, 5385–5391. [Google Scholar] [CrossRef]
- Feng, Y.J.; Mao, Z.X. High school students’ physical activity intention and behavior promotion strategies: The contribution of self-determination motivation to TPB. Sports Sci. 2014, 34, 64–69. [Google Scholar]
- Chinese National Sports General Administration. 2014 National Physique Monitoring Bulletin. 2015. Available online: http://sports.china.com.cn/quanminjianshen/quanminjianshenbaogao/detail1_2015_11/18/472339.html (accessed on 16 May 2021).
- Wang, M.Y.; Liu, J.; Wu, X.; Li, L.; Hao, X.D.; Shen, Q.; Huang, M.T.; Sun, R.H. A meta-analysis of the prevalence of depression among Chinese college students in recent 10 years. J. Hainan Med. Coll. 2020, 26, 686–693, 699. [Google Scholar]
- Xiu, X.; Qian, Q.; Wu, S. Mental health problems and associated factors among high school students in Shandong Province of China: A cross-sectional study. Int. J. Environ. Res. Public Health 2022, 19, 8478. [Google Scholar] [CrossRef] [PubMed]
- Luo, C.Y.; Yu, J.; Wang, P.F.; Liu, F.; Zhao, Y.; Hu, G.Q. A sampling survey of static behavior and related factors among adolescents in Shanghai. Shanghai J. Prev. Med. 2013, 25, 657–660. [Google Scholar]
- Xu, D.Y.; Qiao, Y.C. Analysis on the influencing factors of the disagreement between citizen’s physical exercise awareness and behavior. J. Xi’an Inst. Phys. Educ. 2020, 37, 750–757. [Google Scholar]
- Ajzen, I. Attitudes, Personality, and Behavior; Dorsey: Chicago, IL, USA, 1988. [Google Scholar]
- Shen, M.Y. Intervention Strategies for Exercise Behavior of Chinese Adults: The Integration of TPB and HAPA. Unpublished Ph.D. Dissertation, Beijing Sports University, Beijing, China, 2011. [Google Scholar]
- Chow, S.; Mullan, B. Predicting food hygiene: An investigation of social factors and past behavior in an extended model of the Health Action Process Approach. Appetite 2010, 54, 126–133. [Google Scholar] [CrossRef] [PubMed]
- Sheeran, P.; Conner, M.; Norman, P. Can the theory of planned behavior explain patterns of health behavior change? Health Psychol. 2001, 20, 12–19. [Google Scholar] [CrossRef] [PubMed]
- Conroy, D.E.; Elavsky, S.; Hyde, A.L.; Doerksen, S.E. The Dynamic Nature of Physical Activity Intentions: A Within-Person Perspective on Intention-Behavior Coupling. J. Sport Exerc. Psychol. 2011, 33, 807–827. [Google Scholar] [CrossRef]
- Sheeran, P. Intention-behavior relations: A conceptual and empirical review. Eur. Rev. Soc. Psychol. 2002, 12, 1–36. [Google Scholar] [CrossRef]
- Zhang, W.J.; Mao, Z.X. The relationship between youth sports activity intention and behavior: The mediating effect of action control and emotion. J. Beijing Sport Univ. 2016, 39, 81–87. [Google Scholar]
- Bogg, T.; Roberts, B.W. Conscientiousness and Health Behaviors: A Meta-Analysis. Psychol. Bull. 2004, 130, 887–919. [Google Scholar] [CrossRef] [PubMed]
- Hu, Y. The Interpretation and Intervention of Planning and Obstacle Self-Efficacy on the Process of Exercise Intention to Behavior. Unpublished Master’s Dissertation, Beijing Sport University, Beijing, China, 2008. [Google Scholar]
- Fogg, B.J. A behavior model for persuasive design. Persuasive Technology. In Proceedings of the Fourth International Conference, PERSUASIVE 2009, Claremont, CA, USA, 26–29 April 2009. [Google Scholar]
- Fogg, B.J. Fogg Behavior Model; Tianjin Science and Technology Press: Tianjin, China, 2021. [Google Scholar]
- Wall, R.; Devine-Wright, P.; Mill, G.A. Interactions between perceived behavioral control and personal-normative motives qualitative and quantitative evidence from a study of commuting-mode choice. J. Mix. Methods Res. 2008, 2, 63–86. [Google Scholar] [CrossRef]
- Kraft, P.; Rise, J.; Sutton, S.; Roysamb, E. Perceived difficulty in the theory of planned behavior: Perceived behavioral control or affective attitude? Br. J. Soc. Psychol. 2005, 44, 479–496. [Google Scholar] [CrossRef] [PubMed]
- Wang, Y.; Kang, H.-K. Development of a Physical Activity Triggers Questionnaire. Healthcare 2023, 11, 25. [Google Scholar] [CrossRef] [PubMed]
- Zhou, Y.Q. Application Research of Fogg Behavior Model in Mobile Internet Product Design. Unpublished Master’s Dissertation, Zhejiang University of Technology, Hangzhou, China, 2017. [Google Scholar]
- Cheek, C.; Piercy, K.; Grainger, S. Leaving Home. J. Appl. Gerontol. 2015, 34, 181–198. [Google Scholar] [CrossRef] [PubMed]
- Cai, W.W. Study on the Intervention Effect of Aerobic Exercise Program Based on COM-B Model on Insufficient Physical Activity in Elderly Patients with Chronic Diseases. Unpublished Master’s Dissertation, Bengbu Medical College, Bengbu, China, 2023. [Google Scholar]
- Li, N.H.; Wang, L.; Cao, B.W.; Wang, X.P.; Tian, F.; Fang, H.C.; Feng, R.S. Study on Physical activity intervention of college students with the help of WeChat platform: Based on self-determination theory. Fujian Sports Sci. Technol. 2023, 42, 93–99. [Google Scholar]
- Wang, F.B.H.; Wang, Y.C.; Tan, Z.H. Study on the Influence of Peer Support Behavior on Adolescents’ Physical Activity. China Sports Sci. Technol. 2018, 54, 18–24. [Google Scholar] [CrossRef]
- Li, X.L.; Gong, Y.J.; Yao, M.; Tang, D.H. The Influence of exercise Motivation on college students’ Social development: The mediating role of exercise persistence and the moderating role of social support. J. Beijing Sport Univ. 2018, 41, 79–87. [Google Scholar]
- Brown, C.E.; Richardson, K.; Halil-Pizzirani, B.; Atkins, L.; Yücel, M.; Segrave, R.A. Key influences on university students’ physical activity: A systematic review using the Theoretical Domains Framework and the COM-B model of human behaviour. BMC Public Health 2024, 24, 418. [Google Scholar] [CrossRef]
- Pan, L.X.; Zhao, J.G.; Ge, S.L. The influencing mechanism of female amateur runners’ participation behavior intention in marathon. J. Shanghai Univ. Sport 2020, 44, 84–94. [Google Scholar] [CrossRef]
- Yang, J.; Liu, Z.L.; Ji, T. The relationship between exercise intention and behavior of college students. J. Fujian Norm. Univ. 2020, 222, 131–141. [Google Scholar]
- Liang, D.Q. The stress level of college students and its relationship with physical exercise. Chin. J. Ment. Health 1994, 8, 5–6. [Google Scholar]
- Byrne, B.M.; Vijver, F.J.R.V.D. Testing for measurement and structural equivalence in large-scale cross-cultural studies: Addressing the issue of nonequivalence. Int. J. Test. 2010, 10, 107–132. [Google Scholar] [CrossRef]
- Zhang, M.; Hu, Y.; Hu, Y. The Influences of Socioeconomic Status on Parental Educational Expectations: Mediating and Moderating Effects. Sustainability 2023, 15, 12308. [Google Scholar] [CrossRef]
- Cohen, J. Statistical Power Analysis for the Behavioral Sciences, 2nd ed.; Lawrence Erlbaum Associates: Hillsdale, NJ, USA, 1988; pp. 20–26. [Google Scholar]
- Chen, A.H.; Liu, Q.F.; Li, H. Policy burden, strategic change, and State-owned enterprise innovation: Mechanism and empirical test. J. Yunnan Univ. Financ. Econ. 2023, 39, 77–93. [Google Scholar] [CrossRef]
- McDonald, R.P.; Ho, M.R. Principles and practice in reporting structural equation analysis. Psychol. Methods 2002, 7, 64–82. [Google Scholar] [CrossRef] [PubMed]
- Doral Fábregas, F.; Rodríguez Ardura, I.; Meseguer Artola, A. Models of structural equations in social science research: User experience in Facebook. Rev. Cienc. Soc. 2018, 24, 22–40. [Google Scholar]
- Wen, Z.L.; Hou, J.T.; Zhang, L. Comparison and Application of Moderating Effect and Mediation Effect. Acta Psychol. Sin. 2005, 37, 268–274. [Google Scholar]
- Petersen, J.M.; Prichard, I.; Kemps, E. A comparison of physical activity mobile apps with and without existing web-based social networking platforms: Systematic review. J. Med. Internet Res. 2019, 21, e12687. [Google Scholar] [CrossRef]
- Todorovic, J.; Terzic-Supic, Z.; Djikanovic, B.; Nesic, D.; Piperac, P.; Stamenkovic, Z. Can social media intervention improve physical activity of medical students? Public Health 2019, 174, 69–73. [Google Scholar] [CrossRef] [PubMed]
- Yang, J.; Chen, K.; Ji, L. The influence mechanism of exercise time on adolescents’ exercise commitment: The mediating role of exercise satisfaction and social support. J. Shanghai Univ. Phys. Educ. 2014, 38, 69–72. [Google Scholar]
- Yu, K.H.; Lu, Y.J.; Wu, Y.Z. Structural equation model analysis of influencing factors of college students’ exercise behavior. J. Phys. Educ. 2021, 28, 103–110. [Google Scholar]
- Cheng, H. Friend Support to improve college students’ aerobic fitness: The mediating role of physical activity and self-efficacy. Sports Sci. 2019, 40, 114–120. [Google Scholar] [CrossRef]
- Li, Y.M. The Relationship between Exercise Intention and Behavior: The Role of Planning, Self-Efficacy, and Social Support. Unpublished Master’s Dissertation, Beijing Sport University, Beijing, China, 2010. [Google Scholar]
- Huang, M.R.; Zhang, Y.P.; Sun, H.C. Research on Promoting Mechanism of College Students’ Sports life based on Social ecological model. J. Tianjin Univ. Phys. Educ. 2019, 34, 14–22. [Google Scholar] [CrossRef]
- Quinton, T.S.; Morris, B.; Barwood, M.J.; Conner, M.T. Promoting physical activity through text messages: The impact of attitude and goal priority messages. Health Psychol. Behav. Med. 2021, 9, 165–181. [Google Scholar] [CrossRef] [PubMed]
- Xu, Z.; Yan, C.H.; Hong, S.Y. Relationship between college students’ physical activity intention and behavior: The mediation role of planning and emotion. J. Shandong Inst. Phys. Educ. 2018, 34, 64–69. [Google Scholar]
- Plotnikoff, R.C.; Lubans, D.R.; Costigan, S.A.; Trinh, L.; Spence, J.C.; Downs, S.; McCargar, L. A test of the theory of planned behavior to explain physical activity in a large population sample of adolescents from Alberta, Canada. J. Adolesc. Health 2011, 49, 547–549. [Google Scholar] [CrossRef]
- Feng, Y.; Mao, Z.; Che, G. Construction of an intervention model for predicting physical activity behavior among college students: A combination of self-active machine and TPB extended model. J. Beijing Sport Univ. 2015, 38, 72–76. [Google Scholar] [CrossRef]
- Gomes, A.R.; Gonçalves, A.M.; Maddux, J.E.; Carneiro, L. The intention-behavior gap: An empirical examination of an integrative perspective to explain exercise behavior. Int. J. Sport Exerc. Psychol. 2018, 16, 607–621. [Google Scholar] [CrossRef]



| Variable | Classification | n |
|---|---|---|
| Sex | Male | 198 |
| Female | 398 | |
| Age | 17 | 9 |
| 18 | 152 | |
| 19 | 276 | |
| 20 | 129 | |
| 21 | 30 |
| Items | S | K |
|---|---|---|
| SN | −0.333 | −0.280 |
| AT | −0.255 | −1.119 |
| PBC | −0.145 | −0.946 |
| BI | −0.338 | −0.408 |
| Trigger | −0.070 | −0.890 |
| PA Behavior | 0.945 | −0.172 |
| Variable | SN | AT | PBC | BI | Trigger | PA Behavior | M | SD |
|---|---|---|---|---|---|---|---|---|
| SN | 1 | 4.25 | 1.190 | |||||
| AT | 0.286 ** | 1 | 4.35 | 1.160 | ||||
| PBC | 0.345 ** | 0.436 ** | 1 | 3.87 | 1.272 | |||
| BI | 0.362 ** | 0.491 ** | 0.499 ** | 1 | 4.22 | 1.283 | ||
| Triggers | −0.022 | 0.069 | 0.025 | 0.015 | 1 | 3.54 | 0.745 | |
| PA Behavior | 0.291 ** | 0.317 ** | 0.295 ** | 0.548 ** | 0.262 ** | 1 | 27.01 | 26.190 |
| χ2 | df | p | χ2/df | IFI | TLI | CFI | AGFI | RMSEA |
|---|---|---|---|---|---|---|---|---|
| 297.735 | 84 | 0.000 | 3.544 | 0.955 | 0.944 | 0.955 | 0.916 | 0.065 |
| χ2 | df | p | χ2/df | IFI | TLI | CFI | AGFI | RMSEA |
|---|---|---|---|---|---|---|---|---|
| 458.759 | 181 | 0.000 | 2.535 | 0.952 | 0.944 | 0.951 | 0.917 | 0.051 |
| Model | Unstandardized Coefficients | Standardized Coefficients | t | p | F | p | |||
|---|---|---|---|---|---|---|---|---|---|
| B | SE | β | |||||||
| PA behavior | (Constant) | 27.007 | 0.856 | 31.545 | 0.000 | 0.365 | 170.624 | 0.000 | |
| BI | 11.119 | 0.668 | 0.545 | 16.648 | 0.000 | ||||
| Triggers | 8.929 | 1.151 | 0.254 | 7.760 | 0.000 | ||||
| (Constant) | 26.936 | 0.835 | 32.260 | 0.000 | 0.397 | 130.140 | 0.000 | ||
| BI | 10.128 | 0.675 | 0.496 | 15.012 | 0.000 | ||||
| Triggers | 9.792 | 1.133 | 0.278 | 8.647 | 0.000 | ||||
| BI × Triggers | 5.020 | 0.893 | 0.187 | 5.619 | 0.000 | ||||
| Model | Unstandardized Coefficients | Standardized Coefficients | t | p | F | p | |||
|---|---|---|---|---|---|---|---|---|---|
| B | SE | β | |||||||
| PA behavior | (Constant) | 27.007 | 0.884 | 30.535 | 0.000 | 0.323 | 141.199 | 0.000 | |
| BI | 11.267 | 0.690 | 0.552 | 16.328 | 0.000 | ||||
| Spark | 4.156 | 0.952 | 0.148 | 4.367 | 0.000 | ||||
| (Constant) | 27.052 | 0.882 | 30.673 | 0.000 | 0.328 | 96.277 | 0.000 | ||
| BI | 10.972 | 0.701 | 0.538 | 15.644 | 0.000 | ||||
| Spark | 4.446 | 0.958 | 0.158 | 4.640 | 0.000 | ||||
| BI × Spark | 1.582 | 0.731 | 0.075 | 2.164 | 0.031 | ||||
| PA behavior | (Constant) | 27.007 | 0.872 | 30.967 | 0.000 | 0.341 | 153.670 | 0.000 | |
| BI | 11.191 | 0.680 | 0.548 | 16.451 | 0.000 | ||||
| Signal | 5.935 | 0.982 | 0.201 | 6.042 | 0.000 | ||||
| (Constant) | 27.003 | 0.858 | 31.461 | 0.000 | 0.363 | 112.513 | 0.000 | ||
| BI | 10.486 | 0.688 | 0.514 | 15.251 | 0.000 | ||||
| Signal | 6.321 | 0.971 | 0.214 | 6.513 | 0.000 | ||||
| BI × Signal | 3.359 | 0.747 | 0.152 | 4.498 | 0.000 | ||||
| PA behavior | (Constant) | 27.007 | 0.852 | 31.704 | 0.000 | 0.372 | 175.337 | 0.000 | |
| BI | 10.962 | 0.665 | 0.537 | 16.483 | 0.000 | ||||
| Facilitator | 8.300 | 1.015 | 0.266 | 8.174 | 0.000 | ||||
| (Constant) | 26.785 | 0.831 | 32.228 | 0.000 | 0.404 | 133.852 | 0.000 | ||
| BI | 10.051 | 0.668 | 0.492 | 15.054 | 0.000 | ||||
| Facilitator | 8.677 | 0.992 | 0.278 | 8.748 | 0.000 | ||||
| BI × Facilitator | 4.813 | 0.846 | 0.186 | 5.687 | 0.000 | ||||
Disclaimer/Publisher’s Note: The statements, opinions and data contained in all publications are solely those of the individual author(s) and contributor(s) and not of MDPI and/or the editor(s). MDPI and/or the editor(s) disclaim responsibility for any injury to people or property resulting from any ideas, methods, instructions or products referred to in the content. |
© 2024 by the authors. Licensee MDPI, Basel, Switzerland. This article is an open access article distributed under the terms and conditions of the Creative Commons Attribution (CC BY) license (https://creativecommons.org/licenses/by/4.0/).
Share and Cite
Wang, Y.; Kang, H.-K. The Role of Triggers in Physical Activity among College Students: An Extended Model of the Theory of Planned Behavior. Behav. Sci. 2024, 14, 328. https://doi.org/10.3390/bs14040328
Wang Y, Kang H-K. The Role of Triggers in Physical Activity among College Students: An Extended Model of the Theory of Planned Behavior. Behavioral Sciences. 2024; 14(4):328. https://doi.org/10.3390/bs14040328
Chicago/Turabian StyleWang, Yunbo, and Hyoung-Kil Kang. 2024. "The Role of Triggers in Physical Activity among College Students: An Extended Model of the Theory of Planned Behavior" Behavioral Sciences 14, no. 4: 328. https://doi.org/10.3390/bs14040328
APA StyleWang, Y., & Kang, H.-K. (2024). The Role of Triggers in Physical Activity among College Students: An Extended Model of the Theory of Planned Behavior. Behavioral Sciences, 14(4), 328. https://doi.org/10.3390/bs14040328

