Next Article in Journal
The Origin of Phthalates in Algae: Biosynthesis and Environmental Bioaccumulation
Previous Article in Journal
Assessing Ecological Gains: A Review of How Arthropods, Bats and Birds Benefit from Green Roofs and Walls
 
 
Font Type:
Arial Georgia Verdana
Font Size:
Aa Aa Aa
Line Spacing:
Column Width:
Background:
Article

Heavy Metal Accumulation in Three Varieties of Mustard Grown under Five Soil Management Practices

Division of Environmental Studies, College of Agriculture, Community and the Sciences, Kentucky State University, Frankfort, KY 40601, USA
*
Author to whom correspondence should be addressed.
Environments 2024, 11(4), 77; https://doi.org/10.3390/environments11040077
Submission received: 5 March 2024 / Revised: 29 March 2024 / Accepted: 7 April 2024 / Published: 11 April 2024

Abstract

Heavy metal pollution represents a global health issue. Different methods and technologies are adopted to mitigate the problem of heavy metal pollution. Phytoremediation has been gaining attention as an environmentally friendly method to remediate this problem. The purpose of this research is to explore the effectiveness of phytoremediation in agricultural settings to assess the effect of five soil management practices (chicken manure, sewage sludge, leaf compost, cow manure, and vermicompost) on Cd, Cu, Mo, Ni, Pb, and Zn accumulation in the mustard (leaves and pods) of three mustard Brassica juncea varieties (black mustard, yellow mustard, and mighty mustard). The accumulation in mustard was quantified using the Inductively Coupled Plasma Optical Emission Spectrometer (ICP-OES). The results showed that the bioaccumulation factor (BAF) of the three mustard varieties exceeded one (BAF > 1) for Cd and Mo. It indicates that mustard is a good accumulator of Cd and Mo, whereas BAF values for Cu, Pb, Ni, and Zn were less than one (BAF < 1). The accumulated Cu, Mo, Ni, and Zn levels were below the allowable limit, whereas the Cd and Pb levels were beyond the limit. This result indicates that the investigated mustard varieties can be grown on heavy metal polluted sites for Cd and Mo phytoremediation purposes, but care is needed with regard to Cd and Mo toxicity.

1. Introduction

Metal ions in trace amounts are essential for growing plants. However, higher concentrations can represent a serious health issue. Heavy metals such as Cd, Mo, Cu, Ni, Pb, and Zn are hazardous to the environment and can negatively impact human and animal health due to their persistence in the environment for long periods. Accumulation of toxic elements in low concentrations generally does not harm plant yield. However, the excessive levels can be detrimental to plant yield and health. High heavy metal accumulation in plant tissues can disrupt growth and development and can lead to reduced yields or plant death. They can also deform plants and weaken their resistance to diseases and pests. It also diminishes the efficiency of photosynthesis by reducing the assimilative surface area through necrotic spots. If the heavy metal content in fodder and crops exceeds the tolerance limit, it can lead to poisoning symptoms in animals and humans [1].
The gap is small between the essentiality and toxicity of elements in the human body. Elements such as Cu and Zn are essential in small amounts but can be toxic if their concentration is higher than required. Heavy metals such as Cd and Pb can affect human health severely if they are present in low concentrations in the human body. The concept in toxicology is that prolonged exposure to any chemicals can be detrimental [2]. Cd exposure is related to various types of cancer, including lung, breast, prostate, nasopharynx, pancreas, liver, and kidney cancers [3]. Likewise, higher levels of Pb in the bloodstream influence the behavior, cognitive performance, postnatal growth, and pubertal development of infants and children. In adults, exposure to Pb can lead to cardiovascular and central nervous system problems, along with complications related to the kidneys and fertility [4]. Copper toxicity commonly triggers gastrointestinal (GI) complications such as stomach discomfort, vomiting, anorexia, hematemesis, melena, jaundice, and erosive gastropathy [5]. Zinc is non-toxic, particularly when ingested orally. However, increased intake of zinc can lead to symptoms of overt toxicity, epigastric pain, nausea, vomiting, and fatigue [6]. Nickel shows health effects such as lung fibrosis, lung cancer, heart diseases, nasal effects, and epigenetic effects [7]. Moreover, the accumulation of these heavy metals results in damage to various body systems including the nervous, skeletal, endocrine, immune, and circulatory systems [8,9].
There are different techniques for the mitigation of heavy metal pollution in soil. Among them, phytoremediation is the emerging technique that uses plants to clean the soil environment by extracting, accumulating, and removing contaminants from the substrates (soil, air, and water) through biological processes. These remove heavy metals, radionuclides, and organic contaminants, among other pollutants (such as polynuclear aromatic hydrocarbons, polychlorinated biphenyls, and pesticides) from soil. Bioaccumulation refers to the active transfer of chemicals or compounds (such as metals) from the environment to the tissues of living organisms via metabolic processes. The ratio of metal content in plants to total metal content in the soil is known as the Bioaccumulation Factor (BAF). The chemicals or compounds can be heavy metals, pesticides, mycotoxins, and persistent organic pollutants [10]. This method has gained attention as an affordable and environmentally friendly alternative to traditional remediation methods [11].
Numerous plant species are researched for their potential in phytoremediation [12]. Among these, Brassica juncea shows good promise as a rapid and short-duration vegetable crop for heavy metal accumulation from contaminated soils. It is a commonly cultivated cool-season crop utilized in the manufacture of oil which has therapeutic qualities and can be used as a condiment. It is a heavy-metal-resistant plant that grows fast and generates large above-ground biomass. While black and yellow mustard can produce significant biomass, mighty mustard has relatively low biomass, but all three varieties are efficient metal translocators and are heavy-metal tolerant. Mustard can eliminate heavy metals such as Cu, Cd, Ni, Pb, and Zn from the soil solution and transport them toward the stem [13,14]. After accumulation, it can metabolize or complex its hyperaccumulated element into less toxic forms [15]. These attributes have led to extensive research aimed at evaluating its phytoremediation capacity. The study from Rahman et al. [16] found a higher accumulation of Pb and Cu in shoots of mustard, indicating its ability to uptake and translocate these metals. They found that mustard removed 31.62–35.6% of Pb and 27.92–32.2% of Cu from the industrially polluted soil and that it could be grown multiple times on a piece of land to remove both Pb and Cu from contaminated soil, making them suitable for repeated accumulation.
Soil amendment is another method to remediate soil polluted with heavy metals [17,18]. Natural organic materials such as biochar, plant extracts, compost, and sewage sludge are a few examples of soil amendments. These amendments have their unique qualities and typical remedial methods. They can immobilize heavy metals by precipitation, complexation, ion exchange, and adsorption [18,19]. Sharma and Nagpal [20] indicated that soil amendments remediate contaminated agricultural fields and minimize potential human health risks of metals in food. Liu et al. [21] found that compost application in Cd-contaminated soils can effectively immobilize Cd in soils. It reduces the phytotoxicity of Cd and improves the growth of crops. Farmyard manure in soil has been found to significantly decrease Cd and Pb content in Amaranth (Amaranthus oleracea L.), with higher levels of FYM leading to a reduction in Cd and Pb accumulation [22].
Heavy metals such as Cu, Cd, Ni, Pb, Mo, and Zn are commonly found in contaminated soil and cause significant environmental degradation and pose health hazards due to their toxic properties. These metals are often highly bioavailable, meaning they can be readily taken up by plants and other organisms, leading to bioaccumulation and biomagnification in the food chain [23,24,25]. Further, heavy metals such as Cd, Pb, and Ni are of particular concern due to their toxicity to humans and other organisms when they accumulate in food crops. These concerns have led to these heavy metals becoming the subject of study in the agricultural field.
This study delves more into the concept of phytoremediation and examines the effect of commonly used soil amendments on the buildup of Cu, Cd, Pb, Ni, Mo, and Zn in the leaves and pods of three varieties (black mustard, mighty mustard, and yellow mustard) of mustard. The research on the heavy metals (Cd, Cu, Ni, Pb, Mo, and Zn) is not entirely new; however, the specific combination of three varieties of mustard and five different soil amendments adds a new perspective to the study of bioremediation. Further, previous research has focused on one or two types of heavy metals, while this study examines a comprehensive range of heavy metals. Also, the interaction between different mustard varieties and soil amendments with respect to heavy metal accumulation provides an understanding of how agricultural practices can influence environmental outcomes.

2. Materials and Methods

2.1. Field Experimental Design

A split block design was used for the experiment. The field consisted of 18 plots (3 replicates × 6 treatments).
The measurement of each plot was 0.93 m × 0.93 m. Five distinct soil amendments were utilized: sewage sludge procured from the Metropolitan Sewer District, Louisville, KY, USA, vermicompost sourced from Wiggle Worm Soil Builder, Avenue Union Grove, WI, USA, cow manure obtained from Lowe’s, Frankfort, KY, USA, chicken manure acquired from Alltech Chicken Facility, Lexington, KY, USA and leaf compost supplied by C & R Mulch, Lexington, KY, USA. The native soil was used as a control treatment which was Bluegrass–Maury Silty Loam, comprising 56% silt, 38% clay, and 6% sand. The investigation area had no agricultural history or significant human activities that could have affected the soil properties. The soil referred to in the research study comes from the investigation area itself. Table 1 shows the characteristics of native soil and soil amendments used in the research.

2.2. Cultivation Practices

The application of soil amendments was at 5% N to avoid differences in mustard yield attributable to variability in N content in soil amendments (Table 2). Each amendment was applied to the native soil up to a depth of 15 cm in the topsoil, except for the control. For control treatments, three plots were tilled and used as a comparative reference. Three varieties of mustard Brassica juncea, i.e., mighty mustard, black mustard, and yellow mustard, obtained from Johnny’s selected seeds (Albion, ME, USA) were directly sown in the prepared field on 3 July 2023, at a depth of 0.5 inches, maintaining a 2 ft. spacing between rows and individual plants. Uniform irrigation was provided through a drip irrigation system, and weed management was conducted as per the guidelines outlined in Vegetable Production Guide for Commercial Growers [26]. Throughout the cultivating season, the mustard underwent three applications of the insecticide esfenvalerate (Asana XL sourced from Valent Biosciences, Libertyville, IL, USA) at a rate of 0.42 L ha−1 at weekly intervals to control insect populations.

2.3. Soil Sampling and Data Collection

For the plant samples, three random mustard plants were collected from each of the 18 experimental plots at harvest time (3 October 2022). Soil residues were removed from the collected plant parts and washed with deionized water to eliminate any attached soil particles. The collected pods and leaves were subsequently dried and weighed. For the soil samples, soil from each of the 18 experimental plots was collected from the topsoil of a 15 cm column using a soil core sampler equipped with a plastic liner (Clements Associates, Newton, IA, USA) at harvest time. Soil and plant tissue samples underwent air-drying in an oven set at 65 °C for 48 h. Post drying, plant and soil samples were ground using a mortar and pestle and sieved through a non-metal sieve to achieve a particle size of 2 mm. The plant samples were then re-dried in an oven to achieve a constant weight and were finally stored in plastic bags for further analysis [27].

2.4. Metal Analysis

For plant sample digestion, concentrated nitric acid (HNO3) of trace metal grade was used. A total of 5 mL of conc. HNO3 was added to 0.5 g of each dry sample powder. The mixture then underwent digestion on a Digi block digestion system at 95 °C for 1.5 h. Then, digestion was done again with 4 mL of 30% hydrogen peroxide (H2O2) for 30 min. The resultant was diluted with deionized water to a volume of 50 mL [28,29]. Metal concentrations were quantified using an Inductively Coupled Plasma Optical Emission Spectrometer (ICP-OES) in standard mode following the SW-846 EPA 6010 B method [30]. Calibration of the equipment was attained by multi-element standard (TruQ 500 mL, PerkinElmer). Concentrations of 0 ppm, 1 ppm, 20 ppm, 50 ppm, and 100 ppm of the analytical standard were used for working dilutions. The calibration curves were created using these working dilutions. The acceptable outcome was kept under the margin of 10%. Three replicates were used for each sample. The arithmetic mean was calculated for the result with a mean difference under 5%. The Instrument Detection Limits (IDL) were determined as 0.0027 mg kg−1 for Cd, 0.0054 mg kg−1 for Cu, 0.014 mg kg−1 for Mo, 0.048 mg kg−1 for Ni, 0.042 mg kg−1 for Pb, and 0.0018 mg kg−1 for Zn.

2.5. Bioaccumulation Factor (BAF)

The following equation by Ekere et al. [31] was used to determine the bioaccumulation factor of heavy metals:
B A F = T o t a l   h e a v y   m e t a l   c o n c e n t r a t i o n   i n   p l a n t s T o t a l   h e a v y   m e t a l s   c o n c e n t r a t i o n   i n   s o i l
where BAF ≤ 0.1 indicates low accumulation, 0.1 < BAF ≤ 1 indicates moderate accumulation, and BAF > 1 indicates high accumulation.

2.6. Statistical Analysis

The collected data underwent statistical analysis in the form of analysis of variance (ANOVA). The basic assumption was that the soil treatments would impact the accumulation of heavy metals in the mustard. The Shapiro–Wilk test was used to check the normality of the data in R [32]. The MultcompView package was used to compare the means among the treatments. R programming language was used for statistical computing and analysis [33].

3. Results and Discussions

3.1. Total Heavy Metal Concentrations in Soil and Mustard

The results showed variation in the total metal concentration available in each soil amendment (Table 3). The concentration of total heavy metals in mustard (average of three varieties) was in the increasing order of Ni < Cd < Pb < Mo < Cu < Zn. Mustard absorbed the highest concentration of Cd and Zn from the sewage sludge-amended soil. The absorption of Cu and Mo was highest from the vermicompost-amended soil. The absorption of Ni was the highest from the chicken manure-amended soil. Likewise, the absorption of Pb was highest from the cow manure-amended soil. The concentration of total heavy metals in the soil was in the increasing order of Cd < Mo < Cu < Ni < Pb < Zn. For soil, leaf compost had the highest concentration of available Cd. Chicken manure had the highest available Cu, Mo, Pb, and Zn concentrations.
Further, it was observed that the absorption of total heavy metals in mustard tissues was considerably lower than the total concentrations present in the soil, except for Cd and Mo (Table 4). The table also shows that the bioaccumulation of total heavy metals in mustard was higher for elements that are also micronutrients for crops, such as Cu and Zn.
The results indicate that the concentrations of total heavy metals in mustard tissues were within the permissible limits set by FAO & WHO [34] for all heavy metals except for Cd and Pb (Table 3). The average total concentration of Cd in mustard was 0.42 mg kg−1, surpassing the permissible limit of 0.10 mg kg−1. Similarly, the mean total concentration of Pb in mustard was 0.46 mg kg−1, exceeding the allowable limit of 0.30 mg kg−1. This result suggests that mustard with a metal concentration above the permissible limit may pose Cd and Pb toxicity risks for humans.
A study from Tatu et al. [35] revealed that mustard plants grown in heavy-metal-contaminated soil accumulated very high levels of Cu, Pb, and Zn in their roots, stems, and leaves. The levels of these metals in the plant tissues surpassed the concentrations found in the soil. Johnson et al. [36] reported that B. juncea was notably efficient in the phytoextraction of copper and exhibited the capacity for the accumulation of other metals, such as Cd, Ni, Pb, and Zn, from the soil, thus concurring with the results from the present study.
This study shows no consistent pattern in the absorption of heavy metals. Different factors have contributed to this inconsistent pattern. The biochemical properties of elements such as Cd and Zn affect their accumulation. Some metals are absorbed more than others under similar soil conditions. The total concentration of bioavailable elements in the soil impacts plant uptake. However, physiological barriers against heavy metals are limited and can weaken under high heavy metal concentrations. Plants play a crucial role in metal transfer from plants to animal and human organisms, especially for metals harmful to higher organisms, e.g., Cd, Zn, and Pb. Soil properties such as pH and composition affect metal bioavailability and mobility. Light acidic soils have contamination risks compared to neutral pH heavy soils [37].
Further, soil amendments used in this research are rich in organic matter. Organic matters make complex ion formation in the soil that impacts the uptake of heavy metals such as Cd, Pb, and Zn. Studies show different levels of heavy metal accumulation in plants where Cd accumulation is generally low. Soil organic matter content affects Cd uptake, while Pb tends to form complex ions that limit mobility in the soil. Zn accumulates the most in plants owing to its high solubility and mobility in the soil. This is due to the complex ion formation and organic matter interactions, especially in areas with municipal waste additions [38].

3.2. Quantification of the BAF Values

The result also showed that BAF values for Cd and Mo were greater than 1 (BAF > 1), while values for Cu, Pb, Ni, and Zn were lower than 1 (BAF < 1). According to Satpathy et al. [39], when BCF < 1 or BAF = 1, the plant absorbs heavy metals for the metabolism process but does not accumulate them in its parts. However, when BCF > 1, the plant absorbs and accumulates the heavy metals in its parts. Accordingly, this study shows that mustard absorbs Cu, Pb, Ni, and Zn without accumulating these heavy metals, whereas it not only absorbs Cd and Mo but also accumulates them in its tissues.
The soil amended with cow manure had the highest BAF for Pb in both mighty and yellow mustard. Soil amended with vermicompost had the highest BAF value for Pb in the black mustard. The soil amended with leaf compost had the highest BAF for Mo in both mighty and black mustard. The soil amended with chicken manure had the highest BAF for Ni in the mighty mustard. Soil amended with sewage sludge had the highest BAF value for Ni in the yellow mustard. The soil amended with sewage sludge had the highest BAF for Zn in both mighty and yellow mustard. Soil amended with cow manure had the highest BAF value for Zn in the black mustard. This variability is due to the diverse responses of plant communities to heavy metals present in soil amendments which depend on their capacity to accumulate and detoxify from various heavy metals [40].
The results also reveal that all three varieties of mustard had the highest BAF values for Cu absorbed from the soil amended with vermicompost and Cd absorbed from the soil amended with sewage sludge. In addition to these two soil amendments and heavy metals, there were variations in the levels of BAF values among the different mustard varieties examined, as well as among the soil amendments and specific types of heavy metals (Figure 1, Figure 2, Figure 3 and Figure 4).
Comparing the results of this study with the existing literature shows contradictory results. Amin et al. [41] found that mustard can be a good phytoextractor of Cd (BCF > 1) and a poor accumulator of Pb (BCF < 1). The findings from Vasile et al. [42] suggest that mustard can accumulate bioavailable metals such as Cd and Ni and block Pb in the soil. However, Clemente et al. [14] found that the metal phytoextraction capacity of B. juncea was ineffective for accumulation when grown in contaminated soil.
Plants show different absorption patterns for heavy metals in the soil. The absorption process is not only determined by elemental concentration. Roots play a vital role in the absorption process in the soil. The roots absorb water and dissolved minerals to provide essential nutrients and minerals to the plants. Roots can also absorb heavy metals that help protect the plant shoots. The absorption and movement of heavy metals within plants such as mustard depend on factors including type of metal, its functions with respect to mustard, and its ability to form complexes with sap components [43,44].
The application of soil amendments to contaminated soils influences the availability, uptake, and translocation of Cd, Cu, Mo, Ni, Pb, and Zn by mustard plants. This influence could be due to alterations in the soil physicochemical properties. Soil amendments such as sewage sludge, manure, or compost can alter the soil characteristics by impacting metal speciation. These properties include pH levels, ionic strength, the presence of ligands, and the presence of micro- and nanometer colloidal particles [45]. These parameters are interdependent and can impact the uptake of heavy metals by plants. The increased pH in the soil due to amendments can increase the soil’s sorption capacity for cationic metals, aiding in their immobilization. Amendments can raise the pH of the soil, which can increase the sorption capacity of the soil for cationic ions and help immobilize them. Humic substances in soil amendments can form metal chelates that influence the cycles of most metals and reduce their bioavailability in the soil. These amendments can transform labile fractions of highly mobile metals into more stable and less mobile compounds. This transformation reduces their uptake and decreases their accumulation in cultivated plants [46].
The bioaccumulation of heavy metals in plants is a complex process influenced by various factors. Some of them are soil properties, amendment quality, application levels, plant species, rhizosphere biochemistry, and the chelating actions of competing metals. The application of soil amendments also has the potential to impact the structure and diversity of the microbial community. The bioavailability of heavy metals in the soil undergoes reduction by insoluble or soluble complexes formation with organic compounds. Consequently, soil amendments reduce the availability of potentially toxic heavy metals in the soil, thereby mitigating their plant uptake [43,47]. This study used three varieties of mustard whose absorption pattern might have affected the results. The five soil amendments also interact differently with the soil, affecting both bioavailability and uptake of heavy metals.

4. Conclusions

This study concludes that phytoremediation can mitigate heavy metal pollution. Several factors influence phytoremediation: plant species, genotype, and type of soil amendments. If the Bioaccumulation Factor for heavy metals exceeds one (BAF > 1), the plants absorb and accumulate heavy metals in their tissues. If BAF is lower than one (BAF < 1), then plants only absorb heavy metals but do not accumulate them.
The Bioaccumulation Factor (BAF) for heavy metals in all three varieties of mustard was found to exceed one (BAF > 1) for Cd and Mo, indicating that mustard is a good accumulator of Cd and Mo. Mustard absorbed Cu (4.610 mg kg−1), Mo (0.015 mg kg−1), Ni (0.397 mg kg−1), and Zn (32.184 mg kg−1) in concentrations below the allowable limits, while Cd (0.42 mg kg−1) and Pb (0.463 mg kg−1) concentrations following absorption exceeded the permissible limit. This results in the possibility of Cd and Pb toxicity when mustard is cultivated under similar field conditions and then consumed. One should be careful to avoid Cd and Pb toxicity resulting from the consumption of food crops grown in soil with Cd and Pb concentrations above the permissible limit.
Further, this study concludes that bioaccumulation of heavy metals depends on the varieties of the plants as well as on the response of the plants to the application of different soil amendments. The soil amended with sewage sludge was found to be good for accumulating Cd and Zn, the soil amended with vermicompost was found to be good for Cu accumulation, leaf compost was found to be a good soil amendment for Mo accumulation, and cow manure was found to be a good soil amendment for Pb accumulation. Similarly, the yellow mustard was good for the accumulation of Cd, Cu, Pb, and Zn, the mighty mustard was good for the accumulation of Mo, and the black mustard was good for the accumulation of Ni. Therefore, the study suggests that growers need to test the soil before soil amendment application and choose the soil amendments and mustard varieties suited for the heavy metal accumulation that requires remediation.
This study provides insights into the role of crops in both phytoremediation and food production. The study shows that mustard can accumulate metals below the permissible limit, thus allowing its use for consumption. This approach can lead to sustainable food production and the detoxification of the environment. Mustard can accumulate high levels of Cd and Pb while maintaining low levels of Cu, Mo, Ni, and Zn from the soil. This low level is why mustard can be used for phytoremediation. However, further research is needed to fully explore the phytoremediation capabilities of mustard for other toxic heavy metals. It is also necessary to investigate soil-related aspects such as the correlation between soil pH and the metal uptake process by plants. This integrated approach addresses environmental concerns and ensures the safety of food products, presenting a distinctive dimension to research in this field.

Author Contributions

Conceptualization, A.N. and G.F.A.; formal analysis, A.N.; methodology, A.N. and G.F.A.; writing—original draft, A.N.; writing—review & editing, G.F.A., F.N.B., T.C.W., B.R.G. and B.N. All authors have read and agreed to the published version of the manuscript.

Funding

This research project was funded by a grant from the United States Department of Agriculture, National Institute of Food and Agriculture (USDA/NIFA) to the Kentucky State University under the agreement # KYX-10-23-80P Accession 7005611 to Kentucky State University.

Data Availability Statement

The original contributions presented in the study are included in the article, further inquiries can be directed to the corresponding author (anjan.nepal@kysu.edu).

Acknowledgments

We appreciate Eric Turley, Zachary Scott, and the farm staff at Kentucky State University for their support during farm works.

Conflicts of Interest

The authors declare no conflict of interest.

References

  1. Pikuła, D. Effect of the Degree of Soil Contamination with Cd, Zn, Cu and Zn on Its Content in the Forder Crops and Mobility in the Soil Profile. In Soil Contamination-Recent Advances and Future Perspectives; IntechOpen: London, UK, 2023. [Google Scholar] [CrossRef]
  2. Najeeb, U.; Ahmad, W.; Zia, M.H.; Zaffar, M.; Zhou, W. Enhancing the lead phytostabilization in wetland plant Juncus effusus L. through somaclonal manipulation and EDTA enrichment. Arab. J. Chem. 2017, 10, S3310–S3317. [Google Scholar] [CrossRef]
  3. Genchi, G.; Sinicropi, M.S.; Lauria, G.; Carocci, A.; Catalano, A. The effects of cadmium toxicity. Int. J. Environ. Res. Public Health 2020, 17, 3782. [Google Scholar] [CrossRef] [PubMed]
  4. Kumar, A.; Kumar, A.; MMS, C.P.; Chaturvedi, A.K.; Shabnam, A.A.; Subrahmanyam, G.; Yadav, K.K. Lead toxicity: Health hazards, influence on food chain, and sustainable remediation approaches. Int. J. Environ. Res. Public Health 2020, 17, 2179. [Google Scholar] [CrossRef]
  5. Gamakaranage, C.S.S.K.; Rodrigo, C.; Weerasinghe, S.; Gnanathasan, A.; Puvanaraj, V.; Fernando, H. Complications and management of acute copper sulphate poisoning; a case discussion. J. Occup. Med. Toxicol. 2011, 6, 34. [Google Scholar] [CrossRef]
  6. Hambidge, K.M.; Krebs, N.F. Zinc Deficiency: A Special Challenge1. J. Nutr. 2010, 137, 1101–1105. [Google Scholar] [CrossRef] [PubMed]
  7. Genchi, G.; Carocci, A.; Lauria, G.; Sinicropi, M.S.; Catalano, A. Nickel: Human Health and Environmental Toxicology. Int. J. Environ. Res. Public Health 2020, 17, 679. [Google Scholar] [CrossRef]
  8. Lamas, G.; Navas-Acien, A.; Mark, D. Heavy Metals, Cardiovascular Disease, and the Unexpected Benefits of Chelation Therapy. J. Am. Coll. Cardiol. 2016, 67, 2411–2418. [Google Scholar] [CrossRef] [PubMed]
  9. Ma, Y.; Egodawatta, P.; McGree, J.; Liu, A.; Goonetilleke, A. Human health risk assessment of heavy metals in urban stormwater. Sci. Total Environ. 2016, 557, 764–772. [Google Scholar] [CrossRef]
  10. Katagi, T. Bioconcentration, bioaccumulation, and metabolism of pesticides in aquatic organism. In Reviews of Environmental Contamination and Toxicology; Springer: New York, NY, USA, 2010; Volume 204, pp. 1–321. [Google Scholar] [CrossRef]
  11. Sharma, J.K.; Kumar, N.; Singh, N.P.; Santal, A.R. Phytoremediation technologies and its mechanism for removal of heavy metal from contaminated soil: An approach for a sustainable environment. Front. Plant Sci. 2023, 14, 78. [Google Scholar] [CrossRef]
  12. Bhuiyan, M.S.U.; Min, S.R.; Jeong, W.J.; Sultana, S.; Choi, K.S.; Lee, Y.; Liu, J.R. Overexpression of atatm3 in Brassica juncea confers enhanced heavy metal tolerance and accumulation. Plant Cell Tissue Organ Cult. 2011, 107, 69–77. [Google Scholar] [CrossRef]
  13. Liu, D.; Jiang, W.; Liu, C.; Xin, C.; Hou, W. Uptake and accumulation of lead by roots, hypocotyls and shoots of Indian mustard [Brassica juncea (L.)]. Bioresour. Technol. 2000, 71, 273–277. [Google Scholar] [CrossRef]
  14. Clemente, R.; Walker, D.J.; Bernal, M.P. Uptake of heavy metals and As by Brassica juncea grown in a contaminated soil in Aznalcóllar (Spain): The effect of soil amendments. Environ. Pollut. 2005, 138, 46–58. [Google Scholar] [CrossRef] [PubMed]
  15. Hall, J.L. Cellular mechanisms for heavy metal detoxification and tolerance. J. Exp. Bot. 2002, 53, 1–11. [Google Scholar] [CrossRef] [PubMed]
  16. Rahman, M.M.; Azirun, S.M.; Boyce, A.N. Enhanced accumulation of copper and lead in amaranth (Amaranthus paniculatus), Indian mustard (Brassica juncea) and sunflower (Helianthus annuus). PLoS ONE 2013, 8, e62941. [Google Scholar] [CrossRef] [PubMed]
  17. Lwin, C.S.; Seo, B.H.; Kim, H.U.; Owens, G.; Kim, K.R. Application of soil amendments to contaminated soils for heavy metal immobilization and improved soil quality—A critical review. Soil Sci. Plant Nutr. 2018, 64, 156–167. [Google Scholar] [CrossRef]
  18. Wang, F.; Zhang, S.; Cheng, P.; Zhang, S.; Sun, Y. Effects of soil amendments on heavy metal immobilization and accumulation by maize grown in a multiple-metal-contaminated soil and their potential for safe crop production. Toxics 2020, 8, 102. [Google Scholar] [CrossRef] [PubMed]
  19. Wang, Y.; Li, R.; Liu, W.; Cheng, L.; Jiang, Q.; Zhanga, Y. Exploratory of immobilization remediation of hydroxyapatite (HAP) on lead-contaminated soils. Environ. Sci. Pollut. Res. 2019, 26, 26674–26684. [Google Scholar] [CrossRef] [PubMed]
  20. Sharma, A.; Nagpal, A.K. Soil amendments: A tool to reduce heavy metal uptake in crops for production of safe food. Rev. Environ. Sci. Bio/Technol. 2018, 17, 187–203. [Google Scholar] [CrossRef]
  21. Liu, L.; Chen, H.; Cai, P.; Liang, W.; Huang, Q. Immobilization and phytotoxicity of Cd in contaminated soil amended with chicken manure compost. J. Hazard. Mater. 2009, 163, 563–567. [Google Scholar] [CrossRef] [PubMed]
  22. Alamgir, M.; Kibria, M.G.; Islam, M. Effects of farmyard manure on cadmium and lead accumulation in Amaranth (Amaranthus oleracea L.). J. Soil Sci. Environ. Manag. 2011, 2, 237–240. [Google Scholar]
  23. Adriano, D.C. Trace Elements in Terrestrial Environments: Biogeochemistry, Bioavailability, and Risks of Metals, 2nd ed.; Springer: New York, NY, USA, 2001. [Google Scholar]
  24. Desaules, A. Critical evaluation of soil contamination assessment methods for trace metals. Sci. Total Environ. 2012, 426, 120–131. [Google Scholar] [CrossRef] [PubMed]
  25. Schmidt, U. Enhancing phytoextraction: The effect of chemical soil manipulation on mobility, plant accumulation, and leaching of heavy metals. J. Environ. Qual. 2003, 32, 1939–1954. [Google Scholar] [CrossRef]
  26. Pfeufer, E.; Bessin, R.; Wright, S.; Strang, J. Vegetable Production Guide for Commercial Growers; College of Agriculture, Food and Environment Cooperative Extension Service, University of Kentucky: Lexington, KY, USA, 2018; pp. 44–48. [Google Scholar]
  27. Antonious, G.F.; Kochhar, T.S.; Coolong, T. Yield, quality, and concentration of seven heavy metals in cabbage and broccoli grown in sewage sludge and chicken manure amended soil. J. Environ. Sci. Health Part A 2012, 47, 1955–1965. [Google Scholar] [CrossRef] [PubMed]
  28. Matejovic, I.; Durackova, A. Comparison of microwave digestion, wet and dry mineralization, and solubilization of plant samples for determination of calcium, magnesium, potassium, phosphorus, sodium, iron, zinc, copper, and manganese. Commun. Soil Sci. Plant Anal. 1994, 25, 1277–1288. [Google Scholar] [CrossRef]
  29. Lee, J.; Park, Y.S.; Lee, D.Y. Fast and green microwave-assisted digestion with diluted nitric acid and hydrogen peroxide and subsequent determination of elemental composition in brown and white rice by ICP-MS and ICP-OES. LWT 2023, 173, 11435. [Google Scholar] [CrossRef]
  30. Environmental Protection Agency. Method 6010b Inductively Coupled Plasma Atomic Emission Spectrometry. Revision 2; 1996. Available online: https://www.epa.gov/sites/default/files/documents/6010b.pdf (accessed on 20 February 2024).
  31. Ekere, N.R.; Ugbor, M.C.J.; Ihedioha, J.N.; Ukwueze, N.N.; Abugu, H.O. Ecological and potential health risk assessment of heavy metals in soils and food crops grown in abandoned urban open waste dumpsite. J. Environ. Health Sci. Eng. 2020, 18, 711–721. [Google Scholar] [CrossRef] [PubMed]
  32. Shapiro, S.S.; Wilk, M.B. An analysis of variance test for normality (complete samples). Biometrika 1965, 52, 591–611. [Google Scholar] [CrossRef]
  33. R Core Team. R: A Language and Environment for Statistical Computing; R Foundation for Statistical Computing: Vienna, Austria, 2023; Available online: https://www.R-project.org/ (accessed on 25 February 2024).
  34. ALINORM 01/12A; Food Additives and Contaminants—Joint Codex Alimentarius Commission, FAO/WHO Food Standards Program. FAO: Rome, Italy; WHO: Geneva, Switzerland, 2014; p. 1289.
  35. Tatu, G.L.A.; Vladut, N.V.; Voicea, I.; Vanghele, N.A.; Pruteanu, M.A. Removal of heavy metals from contaminated soil using phytoremediation. In Proceedings of the MATEC Web of Conferences, Petrosani, Romania, 3 October 2019; EDP Sciences: Les Ulis, France, 2020; Volume 305, p. 00061. [Google Scholar] [CrossRef][Green Version]
  36. Johnson, A.; Gunawardana, B.; Singhal, N. Amendments for enhancing copper uptake by Brassica juncea and Lolium perenne from solution. Int. J. Phytoremediation 2009, 11, 215–234. [Google Scholar] [CrossRef]
  37. Radulescu, C.; Stihi, C.; Popescu, I.V.; Dulama, I.D.; Chelarescu, E.D.; Chilian, A. Heavy metal accumulation and translocation in different parts of Brassica oleracea L. Rom. J. Phys. 2013, 58, 1337–1354. [Google Scholar]
  38. Satpathy, D.; Reddy, M.V.; Dhal, S.P. Risk assessment of heavy metals contamination in paddy soil, plants, and grains (Oryza sativa L.) at the East Coast of India. BioMed Res. Int. 2014, 2014, 545473. [Google Scholar] [CrossRef]
  39. Nepal, A.; Antonious, G.F.; Gyawali, B.R.; Webster, T.C.; Bebe, F. Assessing the Bioaccumulation of Heavy Metals in Cabbage Grown under Five Soil Amendments. Pollutants 2024, 4, 58–71. [Google Scholar] [CrossRef]
  40. Swain, A.; Singh, S.K.; Mohapatra, K.K.; Patra, A. Sewage sludge amendment affects spinach yield, heavy metal bioaccumulation, and soil pollution indexes. Arab. J. Geosci. 2021, 14, 717. [Google Scholar] [CrossRef]
  41. Amin, H.; Arain, B.A.; Jahangir, T.M.; Abbasi, M.S.; Amin, F. Accumulation and distribution of lead (Pb) in plant tissues of guar (Cyamopsis tetragonoloba L.) and sesame (Sesamum indicum L.): Profitable phytoremediation with biofuel crops. Geol. Ecol. Landsc. 2018, 2, 51–60. [Google Scholar]
  42. Vasile, G.-G.; Tenea, A.-G.; Dinu, C.; Iordache, A.M.M.; Gheorghe, S.; Mureseanu, M.; Pascu, L.F. Bioavailability, Accumulation and Distribution of Toxic Metals (As, Cd, Ni and Pb) and Their Impact on Sinapis alba Plant Nutrient Metabolism. Int. J. Environ. Res. Public Health 2021, 18, 12947. [Google Scholar] [CrossRef] [PubMed]
  43. Lee, S.B.; Lee, Y.B.; Lee, C.H.; Hong, C.O.; Kim, P.J.; Yu, C. Characteristics of boron accumulation by fly ash application in paddy soil. Bioresour. Technol. 2008, 99, 5928–5932. [Google Scholar] [CrossRef]
  44. Hussain, Z.; Alam, M.; Khan, M.A.; Asif, M.; Shah, M.A.; Khan, S.; Nawab, J. Bioaccumulation of potentially toxic elements in spinach grown on contaminated soils amended with organic fertilizers and their subsequent human health risk. Arab. J. Geosci. 2020, 13, 945. [Google Scholar] [CrossRef]
  45. Uchimiya, M.; Bannon, D.; Nakanishi, H.; McBride, M.B.; Williams, M.A.; Yoshihara, T. Chemical speciation, plant uptake, and toxicity of heavy metals in agricultural soils. J. Agric. Food Chem. 2020, 68, 12856–12869. [Google Scholar] [CrossRef] [PubMed]
  46. Elbehiry, F.; Elbasiouny, H.; Ali, R. Enhanced Immobilization and Phytoremediation of Heavy Metals in Landfill Contaminated Soils. Water Air Soil Pollut. 2020, 231, 204. [Google Scholar] [CrossRef]
  47. Kabata-Pendias, A. Soil–plant transfer of trace elements—An environmental issue. Geoderma 2004, 122, 143–149. [Google Scholar] [CrossRef]
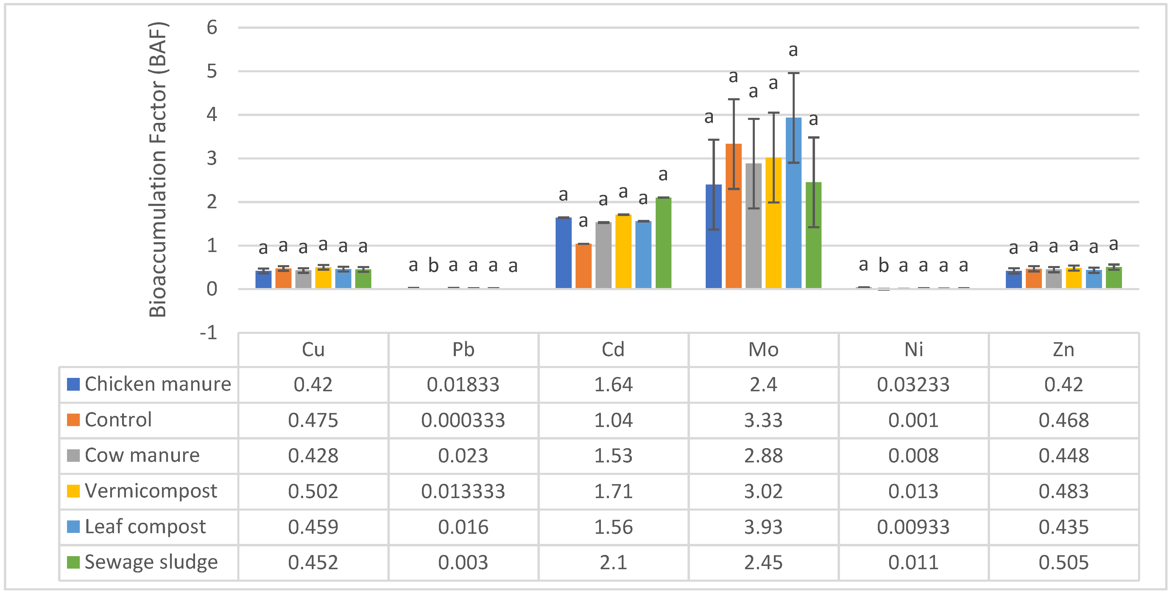
Figure 1. BAF values of total heavy metals in the mighty mustard grown under different soil amendments. Bars accompanied by different letter(s) within each graph are significantly different (p ≤ 0.05). The analysis was conducted by using MultcompView package in R version 4.3.3 [33].
Figure 1. BAF values of total heavy metals in the mighty mustard grown under different soil amendments. Bars accompanied by different letter(s) within each graph are significantly different (p ≤ 0.05). The analysis was conducted by using MultcompView package in R version 4.3.3 [33].
Environments 11 00077 g001
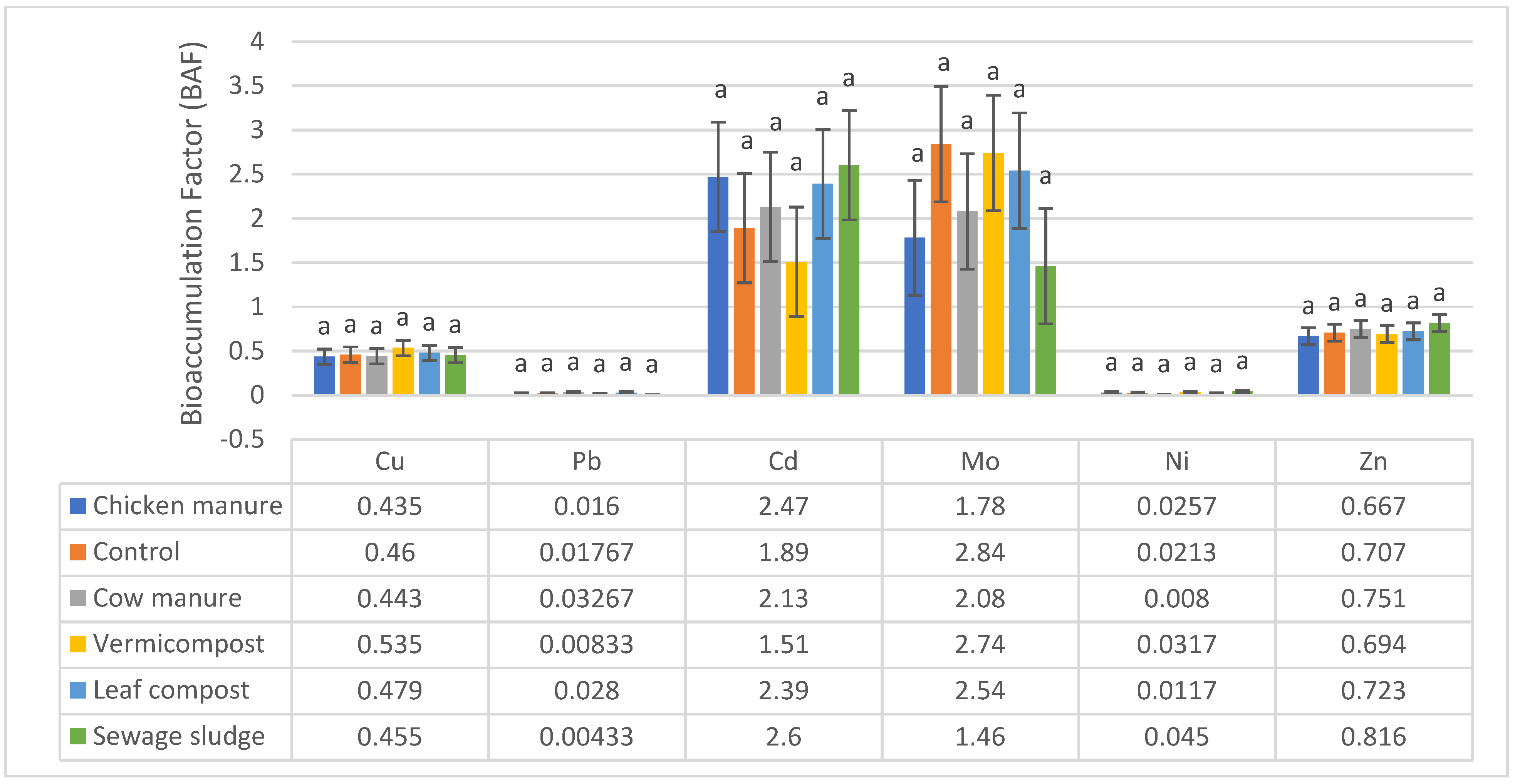
Figure 2. BAF values of total heavy metals in the black mustard grown under different soil amendments. Bars accompanied by different letter(s) within each graph are significantly different (p ≤ 0.05). The analysis was conducted using MultcompView package in R version 4.3.3 [33].
Figure 2. BAF values of total heavy metals in the black mustard grown under different soil amendments. Bars accompanied by different letter(s) within each graph are significantly different (p ≤ 0.05). The analysis was conducted using MultcompView package in R version 4.3.3 [33].
Environments 11 00077 g002
Figure 3. BAF values of total heavy metals in the yellow mustard grown under different soil amendments. Bars accompanied by different letter(s) within each graph are significantly different (p ≤ 0.05). The analysis was conducted using MultcompView package in R version 4.3.3 [33].
Figure 3. BAF values of total heavy metals in the yellow mustard grown under different soil amendments. Bars accompanied by different letter(s) within each graph are significantly different (p ≤ 0.05). The analysis was conducted using MultcompView package in R version 4.3.3 [33].
Environments 11 00077 g003
Figure 4. BAF values of the average from three mustard varieties grown under different soil amendments. Bars accompanied by different letter(s) within each graph are significantly different (p ≤ 0.05). The analysis was conducted using MultcompView package in R version 4.3.3 [33].
Figure 4. BAF values of the average from three mustard varieties grown under different soil amendments. Bars accompanied by different letter(s) within each graph are significantly different (p ≤ 0.05). The analysis was conducted using MultcompView package in R version 4.3.3 [33].
Environments 11 00077 g004
Table 1. Properties of the native soil (control) and the soil amendments used in the research (Harold Bension Research and Demonstration Farm of Kentucky State University, Frankfort, KY).
Table 1. Properties of the native soil (control) and the soil amendments used in the research (Harold Bension Research and Demonstration Farm of Kentucky State University, Frankfort, KY).
Soil ParametersCow ManureSewage SludgeLeaf CompostVermicompostChicken ManureNative Soil (Control)
N (%)1.86 b0.58 c0.32 c1.50 b4.23 a0.15 c
P (%)0.74 ab0.32 b0.25 b1.27 a0.80.17 c
K (%)1.25 a0.24 b0.28 b0.56 ab0.5 ab0.26 b
C (%)26.2 a3.7 c3.8 c12.2 b17.8 b1.6 c
OM (%)5.7 a3.2 b7.5 a7.6 a6.3 a2.6 b
C/N ratio14.08 a6.4 c11.9 b8.13 bc4.21 c10.6 b
pH7.95 a8.4 a7.4 a5.71 a6.15 a6.8 a
Cd (mg kg−1)0.22 a0.23 a0.19 a0.23 a0.24 a0.23 a
Cu (mg kg−1)9.23 a9.63 a10.2 a9.8 a9.9 a10.17 a
Mo (mg kg−1)0.66 a0.78 a0.74 a0.74 a0.84 a0.64 a
Ni (mg kg−1)15.8 a16.4 a17.1 a16.2 a18.4 a17.5 a
Pb (mg kg−1)27.9 a28.12 a28.1 a28.7 a30.7 a31.2 a
Zn (mg kg−1)52.5 b57.8 a59.3 a60.9 a63.4 a59.5 a
Each value represents an average of three replicates. Values with different letters are significantly different at the 0.05 probability (OM = organic matter, C/N = carbon to nitrogen ratio).
Table 2. Soil amendments and their application rate in the experimental plots.
Table 2. Soil amendments and their application rate in the experimental plots.
Soil AmendmentsRate (g m−2)
Vermicompost (Vermi.)1120.52
Sewage sludge (SS)224.54
Chicken manure (CM)1022.57
Cow manure (Cow)1937.5
Leaf compost (Leaf)322.92
Table 3. Total heavy metal concentration in soil and mustard extracted by HNO3 in mg kg−1.
Table 3. Total heavy metal concentration in soil and mustard extracted by HNO3 in mg kg−1.
Soil AmendmentsTotal Metal Content in Mustard (Mean of Three Varieties)Total Metal Content in Soil (Mean of Three Replicates)
NiCdPbMoCuZnCdMoCuNiPbZn
Leaf compost0.204 ± 0.13 b0.48 ± 0.2 a0.493 ± 0.16 b2.06 ±0.6 a4.49 ± 0.77 a30.2 ± 10.76 a0.263 ± 0.03 a0.747 ± 0.31 a10.46 ± 0.58 a18 ± 2.38 a29 ± 3.55 a60.3 ± 3.34 ab
Cow manure0.301 ± 0.14 b0.434 ± 0.12 a0.689 ± 0.54 a1.76 ± 0.51 a4.31 ± 0.73 a30.3 ± 12.02 a0.253 ± 0.03 a0.66 ± 0.1 a9.58 ± 0.58 a16.8 ± 0.92 a28.9 ± 2.65 a53.5 ± 3.34 b
Chicken manure0.565 ± 0.51 a0.417 ± 0.28 a0.632 ± 0.33 a1.76 ± 0.6 a4.72 ±1.17 a32.9 ± 9.74 a0.25 ± 0.04 a0.84 ± 0.19 a10.98 ± 0.58 a18.7 ± 1.57 a32.7 ± 1.24 a66.4 ± 3.34 a
Vermicompost0.373 ± 0.32 b0.332 ± 0.17 a0.484 ± 0.16 b2.06 ± 0.49 a5.2 ± 2.00 a34.2 ± 9.3 a0.24 ± 0.03 a0.74 ± 0.06 a9.8 ± 0.58 a17.2 ± 0.87 a29.7 ± 1.12 a61.9 ± 3.34 ab
Sewage sludge0.47 ± 0.41 ab0.518 ± 0.21 a0.119 ± 0.11 c1.52 ± 0.41 a4.39 ± 0.45 a34.5 ± 10.99 a0.23 ± 0.04 a0.787 ± 0.127 a9.97 ± 0.58 a17.3 ± 0.4 a29.1 ± 0.53 a57.8 ± 3.34 ab
Control0.47 ± 0.13 ab0.338 ± 0.23 a0.363 ± 0.36 b1.86 ± 0.28 a4.58 ± 0.7 a30.9 ± 9.15 a0.26 ± 0.03 a0.673 ± 0.20 a10.06 ± 0.58 a17.5 ± 0.91 a30 ± 1.32 a57.7 ± 3.34 ab
Each value represents an average of three replicates. Values with different letters are significantly different at the 0.05 probability.
Table 4. Comparison with permissible standard of heavy metals by FAO and WHO [34].
Table 4. Comparison with permissible standard of heavy metals by FAO and WHO [34].
Heavy MetalsAllowable Limit in Soil (mg kg−1)Allowable Limit in Vegetables (mg kg−1)Total Metal Content in Soil from the Study (mg kg−1)Total Metal Content in Mustard from the Study (mg kg−1)
Cd30.10.2500.420
Zn3001005632.184
Cu100739.54.610
MoNANA0.6500.015
Pb1000.3300.463
Ni506716.50.397
NA = Not Available.
Disclaimer/Publisher’s Note: The statements, opinions and data contained in all publications are solely those of the individual author(s) and contributor(s) and not of MDPI and/or the editor(s). MDPI and/or the editor(s) disclaim responsibility for any injury to people or property resulting from any ideas, methods, instructions or products referred to in the content.

Share and Cite

MDPI and ACS Style

Nepal, A.; Antonious, G.F.; Bebe, F.N.; Webster, T.C.; Gyawali, B.R.; Neupane, B. Heavy Metal Accumulation in Three Varieties of Mustard Grown under Five Soil Management Practices. Environments 2024, 11, 77. https://doi.org/10.3390/environments11040077

AMA Style

Nepal A, Antonious GF, Bebe FN, Webster TC, Gyawali BR, Neupane B. Heavy Metal Accumulation in Three Varieties of Mustard Grown under Five Soil Management Practices. Environments. 2024; 11(4):77. https://doi.org/10.3390/environments11040077

Chicago/Turabian Style

Nepal, Anjan, George F. Antonious, Frederick N. Bebe, Thomas C. Webster, Buddhi R. Gyawali, and Basanta Neupane. 2024. "Heavy Metal Accumulation in Three Varieties of Mustard Grown under Five Soil Management Practices" Environments 11, no. 4: 77. https://doi.org/10.3390/environments11040077

APA Style

Nepal, A., Antonious, G. F., Bebe, F. N., Webster, T. C., Gyawali, B. R., & Neupane, B. (2024). Heavy Metal Accumulation in Three Varieties of Mustard Grown under Five Soil Management Practices. Environments, 11(4), 77. https://doi.org/10.3390/environments11040077

Note that from the first issue of 2016, this journal uses article numbers instead of page numbers. See further details here.

Article Metrics

Back to TopTop