Corona Effect Influence on the Lightning Performance of Overhead Distribution Lines
Abstract
:1. Introduction
2. The Corona Effect
3. Implementation of Corona Discharge
4. Corona Effect Influence on the Lightning Performance
- A counter n is initialized to 0.
- A large number of events, able to guarantee the convergence of the Monte-Carlo procedure (here 10,000), is generated. Each one is characterized by a stroke location extracted from a uniform distribution, peak current and front duration extracted from the log-normal distributions proposed in Reference [1]. Please note that the channel-base current is assumed to be the typical Heidler’s first stroke waveform with variable front duration [23].
- For each event, the maximum voltage is compared with the line CFO. If it is greater than 1.5 CFO [1], the counter n is increased by one.
- Once all the considered events have been evaluated, the total number of dangerous events n is obtained and the number of flashovers per year per 100 km of line is computed according to References [1,7]where is the ground flash density expressed as number of flashes per square kilometer per year ad is the maximum value of the y-coordinate where the events are extracted. According to Reference [1], is a function of the CFO and it is computed through the extended Rusck’s formula [25], choosing as lightning current the maximum value () obtainable from the probabilistic density function.where is the ground conductivity.
5. Sensitivity Analysis
5.1. Surface Conditions
5.2. Conductor Diameter
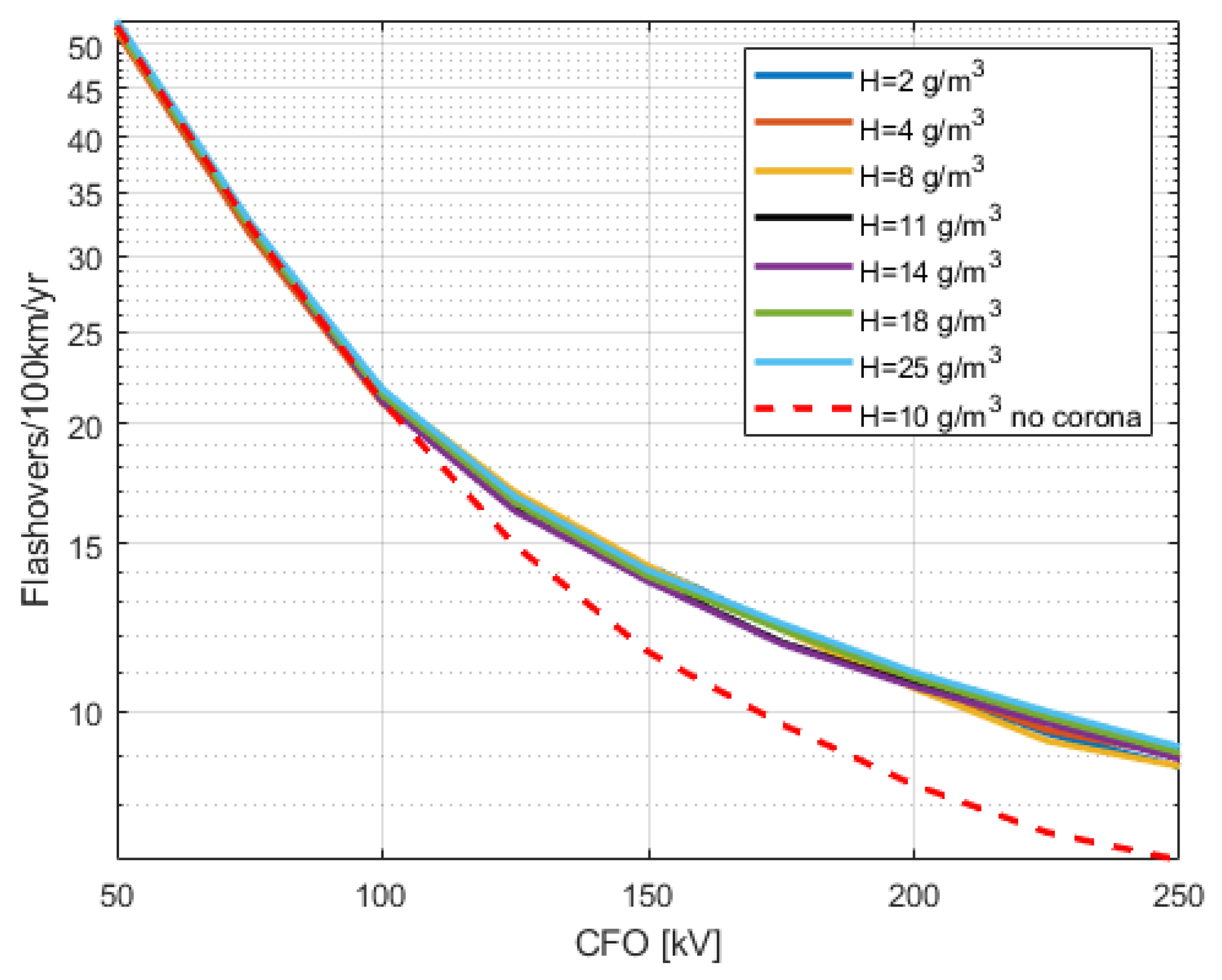
5.3. Air Humidity
6. Conclusions
Author Contributions
Funding
Conflicts of Interest
Abbreviations
| CFO | Critical Flashover | 
| EGM | Electro-Geometric Model | 
| FDTD | Finite Difference Time Domain | 
| GFD | Ground Flash Density | 
| LIOV | Lightning-Induced OverVoltages | 
| Probabilistic Density Function | 
References
- IEEE Guide for Improving the Lightning Performance of Electric Power Overhead Distribution Lines; IEEE: Piscataway, NJ, USA, 2010; pp. 1–70.
- Hileman, A. Insulation coordination for power systems. IEEE Power Eng. Rev. 1999, 19, 43. [Google Scholar] [CrossRef]
- Rusck, S. Induced Lightning Over-Voltages on Power-Transmission Lines with Special Reference to the Over-Voltage Protection of Low Voltage Networks; Transactions of the Royal Intitute of Technology: Stockholm, Sweden, 1958. [Google Scholar]
- Paulino, J.O.S.; Barbosa, C.F.; Lopes, I.J.S.; Boaventura, W.d.C. An Approximate Formula for the Peak Value of Lightning-Induced Voltages in Overhead Lines. IEEE Trans. Power Deliv. 2010, 25, 843–851. [Google Scholar] [CrossRef]
- Brignone, M.; Delfino, F.; Procopio, R.; Rossi, M.; Rachidi, F. Evaluation of power system lightning performance, part I: Model and Numerical Solution Using the Pscad-Emtdc platform. IEEE Trans. Electromagn. Compat. 2016, 59, 137–145. [Google Scholar] [CrossRef]
- Brignone, M.; Delfino, F.; Procopio, R.; Rossi, M.; Rachidi, F. Evaluation of power system lightning performance—Part II: Application to an overhead distribution network. IEEE Trans. Electromagn. Compat. 2016, 59, 146–153. [Google Scholar] [CrossRef]
- Borghetti, A.; Nucci, C.A.; Paolone, M. An improved procedure for the assessment of overhead line indirect lightning performance and its comparison with the IEEE Std. 1410 method. IEEE Trans. Power Deliv. 2006, 22, 684–692. [Google Scholar] [CrossRef]
- Nucci, C. The lightning induced over-voltage (LIOV) code. In Proceedings of the 2000 IEEE Power Engineering Society Winter Meeting. Conference Proceedings (Cat. No. 00CH37077), Singapore, 23–27 January 2000; IEEE: Piscataway, NJ, USA, 2000; Volume 4, pp. 2417–2418. [Google Scholar]
- Brignone, M.; Mestriner, D.; Procopio, R.; Piantini, A.; Rachidi, F. Evaluation of the mitigation effect of the shield wires on lightning induced overvoltages in mv distribution systems using statistical analysis. IEEE Trans. Electromagn. Compat. 2017, 60, 1400–1408. [Google Scholar] [CrossRef]
- Nucci, C.A. A survey on Cigré and IEEE procedures for the estimation of the lightning performance of overhead transmission and distribution lines. In Proceedings of the 2010 Asia-Pacific International Symposium on Electromagnetic Compatibility, Beijing, China, 12–16 April 2010; IEEE: Piscataway, NJ, USA, 2010; pp. 1124–1133. [Google Scholar]
- Napolitano, F.; Tossani, F.; Borghetti, A.; Nucci, C.A. Lightning performance assessment of power distribution lines by means of stratified sampling monte carlo method. IEEE Trans. Power Deliv. 2018, 33, 2571–2577. [Google Scholar] [CrossRef]
- Nucci, C.A.; Guerrieri, S.; De Barros, M.C.; Rachidi, F. Influence of corona on the voltages induced by nearby lightning on overhead distribution lines. IEEE Trans. Power Deliv. 2000, 15, 1265–1273. [Google Scholar] [CrossRef]
- Yu, Z.; Zhu, T.; Wang, Z.; Lu, G.; Zeng, R.; Liu, Y.; Luo, J.; Wang, Y.; He, J.; Zhuang, C. Calculation and experiment of induced lightning overvoltage on power distribution line. Progress on Lightning Research and Protection Technologies. Electr. Power Syst. Res. 2016, 139, 52–59. [Google Scholar] [CrossRef]
- Agrawal, A.K.; Price, H.J.; Gurbaxani, S.H. Transient Response of Multiconductor Transmission Lines Excited by a Nonuniform Electromagnetic Field. IEEE Trans. Electromagn. Compat. 1980, EMC-22, 119–129. [Google Scholar] [CrossRef]
- Noda, T. Development of A Transmission-Line Model Considering the Skin and Corona Effects for Power Systems Transient Analysis. Ph.D. Thesis, Doshisha University, Tokyo, Japan, 1996. [Google Scholar]
- Thang, T.H.; Baba, Y.; Nagaoka, N.; Ametani, A.; Takami, J.; Okabe, S.; Rakov, V.A. A simplified model of corona discharge on overhead wire for FDTD computations. IEEE Trans. Electromagn. Compat. 2011, 54, 585–593. [Google Scholar] [CrossRef]
- Thang, T.H.; Baba, Y.; Nagaoka, N.; Ametani, A.; Itamoto, N.; Rakov, V.A. FDTD simulations of corona effect on lightning-induced voltages. IEEE Trans. Electromagn. Compat. 2013, 56, 168–176. [Google Scholar] [CrossRef]
- Brignone, M.; Mestriner, D.; Procopio, R.; Rossi, M.; Piantini, A.; Rachidi, F. EM Fields Generated by a Scale Model Helical Antenna and Its Use in Validating a Code for Lightning-Induced Voltage Calculation. IEEE Trans. Electromagn. Compat. 2019, 61, 778–787. [Google Scholar] [CrossRef]
- Brignone, M.; Ginnante, E.; Mestriner, D.; Ruggi, L.; Procopio, R.; Piantini, A.; Rachidi, F. Evaluation of lightning-induced overvoltages on a distribution system: Validation of a dedicated code using experimental results on a reduced-scale model. In Proceedings of the 2017 IEEE International Conference on Environment and Electrical Engineering and 2017 IEEE Industrial and Commercial Power Systems Europe (EEEIC/I CPS Europe), Milan, Italy, 6–9 June 2017; pp. 1–6. [Google Scholar]
- Cooray, G.V. The Lightning Flash; IET: Stevenage, UK, 2003. [Google Scholar]
- Hartmann, G. Theoretical Evaluation of Peek’s Law. IEEE Trans. Ind. Appl. 1984, IA-20, 1647–1651. [Google Scholar] [CrossRef]
- Bousiou, E.I.; Mikropoulos, P.N.; Zagkanas, V.N. Corona inception field of typical overhead line conductors under variable atmospheric conditions. Electr. Power Syst. Res. 2020, 178, 106032. [Google Scholar] [CrossRef]
- Heidler, F.; Cvetic, J.M.; Stanic, B.V. Calculation of lightning current parameters. IEEE Trans. Power Deliv. 1999, 14, 399–404. [Google Scholar] [CrossRef]
- Anderson, J. Lightning Performance of Transmission Lines; Electric Power Research Institute: Palo Alto, CA, USA, 1981. [Google Scholar]
- Darveniza, M. A practical extension of Rusck’s formula for maximum lightning-induced voltages that accounts for ground resistivity. IEEE Trans. Power Deliv. 2006, 22, 605–612. [Google Scholar] [CrossRef]
- Kuffel, J.; Kuffel, P. High Voltage Engineering Fundamentals; Elsevier: Amsterdam, The Netherlands, 2000. [Google Scholar]







| Length [m] | Height [m] | Conductor Diameter [mm] | 
|---|---|---|
| 1000 | 10 | 10 | 
| CFO [kV] | Enhancement Due to Lossy Ground [%] | Enhancement Due to Corona [%] | 
|---|---|---|
| 50 | 166.58 | 0 | 
| 100 | 185.39 | 0 | 
| 150 | 97.50 | 19.03 | 
| 200 | 50.61 | 27.27 | 
| 250 | 24.93 | 27.79 | 
| CFO | ||||
|---|---|---|---|---|
| 50 | ||||
| 100 | ||||
| 150 | ||||
| 200 | ||||
| 250 | 
| CFO | a | b | |
|---|---|---|---|
| 100 | 0.95 | ||
| 150 | 0.98 | ||
| 200 | 0.92 | ||
| 250 | 0.90 | 
© 2020 by the authors. Licensee MDPI, Basel, Switzerland. This article is an open access article distributed under the terms and conditions of the Creative Commons Attribution (CC BY) license (http://creativecommons.org/licenses/by/4.0/).
Share and Cite
Mestriner, D.; Brignone, M. Corona Effect Influence on the Lightning Performance of Overhead Distribution Lines. Appl. Sci. 2020, 10, 4902. https://doi.org/10.3390/app10144902
Mestriner D, Brignone M. Corona Effect Influence on the Lightning Performance of Overhead Distribution Lines. Applied Sciences. 2020; 10(14):4902. https://doi.org/10.3390/app10144902
Chicago/Turabian StyleMestriner, Daniele, and Massimo Brignone. 2020. "Corona Effect Influence on the Lightning Performance of Overhead Distribution Lines" Applied Sciences 10, no. 14: 4902. https://doi.org/10.3390/app10144902
APA StyleMestriner, D., & Brignone, M. (2020). Corona Effect Influence on the Lightning Performance of Overhead Distribution Lines. Applied Sciences, 10(14), 4902. https://doi.org/10.3390/app10144902
 
        


 
       