Feasibility of Developing Sustainable Concrete Using Environmentally Friendly Coarse Aggregate
Abstract
1. Introduction
2. Research Significance
3. Experimental Procedure
3.1. Materials and Mix Design
3.2. Mixing, Casting, and Curing of Concrete
3.3. Testing
4. Results and Discussion
4.1. Aggregate Gradation
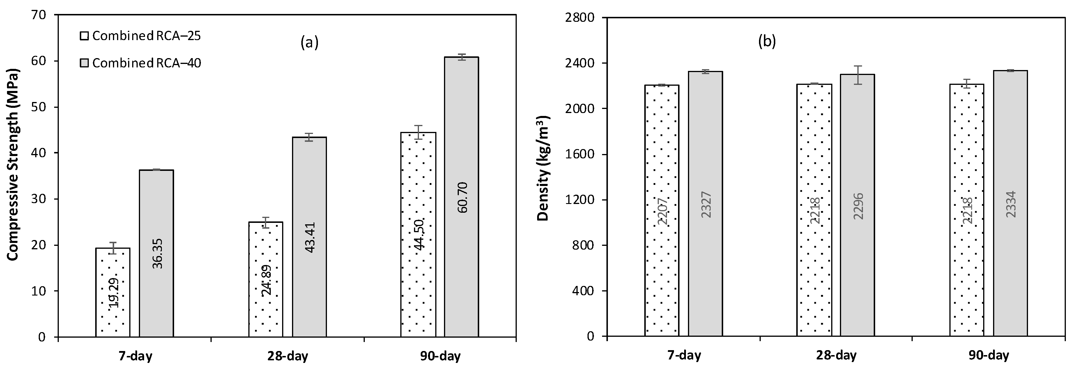
4.2. Mechanical Properties
4.3. Shrinkage and Permeation Charcteristics
4.4. Microstructure
4.5. Overview of Long Term Durability
5. Conclusions
- Compressive strength of combined RCA-25 and combined RCA-40 concretes increased from 19.29–44.50 MPa and 36.75–60.70 MPa from 7 to 90 days, respectively. This satisfied the specified 28-day design strength of exposure categories, A1/A2 (20/25 MPa) and B1/B2 (32/40 MPa) stated in Australian standards, AS3600.
- Aggregate grading of manufactured RCA matched with quarried aggregate increased the compressive strength of RCA concrete. This is due to aggregate packing density having a significant role in strength development.
- Both combined RCA-25 and combined RCA-40 concretes displayed comparable tensile strength and elastic modulus to an equivalent quarried coarse aggregate concrete of the same compressive strength. Experimentally observed flexural strength, splitting tensile strength, and elastic modulus are higher than the estimated values based on stated design equations in AS 3600, confirming that Australian standards can be used for the conservative design.
- Low water absorption coupled with high ultrasonic pulse velocity demonstrate that combined RCA concretes contain a dense microstructure and pore-structure free of large voids or cracks. This would be expected to prevent ingress of aggressive materials. The rough fracture surface of aggregate increased the bond between C-S-H gel matrix and RCA at ITZ.
- Combined RCA concretes display low drying shrinkage which is significantly lower than the maximum permitted value recommended by Australian standard.
Author Contributions
Funding
Acknowledgments
Conflicts of Interest
References
- Sebaibi, N.; Boutouil, M. Reducing energy consumption of prefabricated building elements and lowering the environmental impact of concrete. Eng. Struct. 2020, 213, 110594. [Google Scholar] [CrossRef]
- Hrabova, K.; Teply, B.; Vymazal, T. Sustainability assessment of concrete mixes. In Proceedings of the IOP Conference Series: Earth and Environmental Science, Ostrava, Czech Republic, 25–27 November 2019. [Google Scholar]
- Neville, A.M. Properties of Concrete, 4th Ed. ed; Pearson Education Limited: Harlow, UK, 1996; Standards updated to 2002. [Google Scholar]
- Bernhardt, D.; Reilly, J.F., II. Mineral Commodity Summaries (2019); US Geological Survey: Reston, VA, USA, 2019; Government Printing Office. [Google Scholar]
- Cement Concrete & Aggregates Australia. 2016. Available online: http://www.concrete.net.au/iMIS_Prod (accessed on 25 June 2020).
- Gunasekara, C.M. Influence of Properties of Fly Ash from Different Sources on the Mix Design and Performance of Geopolymer Concrete. Ph.D. Thesis, RMIT University, Melbourne, Australia, 2016. [Google Scholar]
- Meyer, C. The greening of the concrete industry. Cem. Concr. Compos. 2009, 31, 601–605. [Google Scholar] [CrossRef]
- Chen, C.; Habert, G.; Bouzidi, Y.; Jullien, A. Environmental impact of cement production: Detail of the different processes and cement plant variability evaluation. J. Clean. Prod. 2010, 18, 478–485. [Google Scholar] [CrossRef]
- Peng, J.X.; Huang, L.; Zhao, Y.B.; Chen, P.; Zeng, L. Modeling of carbon dioxide measurement on cement plants. Adv. Mater. Res. 2013, 610, 2120–2128. [Google Scholar] [CrossRef]
- Li, C.; Gong, X.Z.; Cui, S.P.; Wang, Z.H.; Zheng, Y.; Chi, B.C. CO2 emissions due to cement manufacture. Mater. Sci. Forum 2011, 685, 181–187. [Google Scholar] [CrossRef]
- Huntzinger, D.N.; Eatmon, T.D. A life-cycle assessment of Portland cement manufacturing: Comparing the traditional process with alternative technologies. J. Clean. Prod. 2009, 17, 668–675. [Google Scholar] [CrossRef]
- Dirgantara, R.; Gunasekara, C.; Law, D.W.; Molyneaux, T.K. Suitability of Brown Coal Fly Ash for Geopolymer Production. J. Mater. Civ. Eng. 2017, 29, 04017247. [Google Scholar] [CrossRef]
- Nwakaire, C.M.; Yap, S.P.; Onn, C.C.; Yuen, C.W.; Ibrahim, H.A. Utilisation of recycled concrete aggregates for sustainable highway pavement applications; a review. Constr. Build. Mater. 2020, 235, 117444. [Google Scholar] [CrossRef]
- Jiménez, L.F.; Domínguez, J.A.; Vega-Azamar, R.E. Carbon footprint of recycled aggregate concrete. Adv. Civ. Eng. 2018, 12. [Google Scholar] [CrossRef]
- Khodr, M.; Law, D.W.; Gunasekara, C.; Setunge, S.; Brkljaca, R. Compressive strength and microstructure evolution of low calcium brown coal fly ash-based geopolymer. J. Sust. Cement-Based Mater. 2019, 9, 17–34. [Google Scholar] [CrossRef]
- Tam, V.W.Y.; Soomro, M.; Evangelista, A.C.J. A review of recycled aggregate in concrete applications (2000–2017). Constr. Build. Mater. 2018, 172, 272–292. [Google Scholar] [CrossRef]
- UNEP. Global Waste Management Outlook; UN: Osaka, Japan, 2016. [Google Scholar]
- Service Contract on Management of Construction And Demolition Waste—SR1. Final Report Task 2, E.C.D. ENV, Editor. 2011, Bio Intelligence Service. p. 1–240. Available online: https://op.europa.eu/en/publication-detail/-/publication/0c9ecefc-d07a-492e-a7e1-6d355b16dde4 (accessed on 24 June 2020).
- Pickin, J.; Randell, P. Australian National Waste Report 2016. Available online: https://www.environment.gov.au/system/files/resources/d075c9bc-45b3-4ac0-a8f2-6494c7d1fa0d/files/national-waste-report-2016.pdf (accessed on 26 June 2020).
- USEPA. Advancing Sustainable Materials Management: 2014 Fact Sheet; United States Environmental Protection Agency, Office of Land and Emergency Management: Washington, DC, USA, 2016.
- Yang, H.; Xia, J.; Thompson, J.R.; Flower, R.J. Urban construction and demolition waste and landfill failure in Shenzhen, China. Waste Manag. 2017, 63, 393–396. [Google Scholar] [CrossRef] [PubMed]
- Solid Waste and Hazardous Waste in Thailand; National Statistical Office: Bangkok, Thailand, 2012.
- Baloyi, O.; Sehaswana, D.; Maringa, M.; Sibande, J.; Oelofse, S.; Schubert, M.; Swanepoel, H.; Godfrey, L.; Wakaba, L.; Muswema, A.; et al. National Waste Information Baseline Report; Department of Environmental Affairs of South Africa: Pretoria, South Africa, 2012. [Google Scholar]
- Marzouk, M.; Azab, S. Environmental and economic impact assessment of construction and demolition waste disposal using system dynamics. Resour. Conserv. Recycl. 2014, 82, 41–49. [Google Scholar] [CrossRef]
- Annual Review, European Aggregate Association (UEPG). 2015–2016. Available online: http://www.uepg.eu/uploads/Modules/Publications/uepg-ar2016-17_32pages_v04_small.pdf (accessed on 24 June 2020).
- Evangelista, L.; de Brito, J. Mechanical behaviour of concrete made with fine recycled concrete aggregates. Cement Concrete Compos. 2007, 29, 397–401. [Google Scholar] [CrossRef]
- Pacheco-Torgal, F.; Ding, Y. Handbook of Recycled Concrete and Demolition Waste; Elsevier: Amsterdam, The Netherlands, 2013. [Google Scholar]
- Rodríguez-Robles, D.; García-González, J.; Juan-Valdés, A.; Morán-del Pozo, J.M.; Guerra-Romero, M.I. Effect of mixed recycled aggregates on mechanical properties of recycled concrete. Mag. Concr. Res. 2015, 67, 247–256. [Google Scholar] [CrossRef]
- Yang, J.; Du, Q.; Bao, Y. Concrete with recycled concrete aggregate and crushed clay bricks. Constr. Build. Mater. 2011, 25, 1935–1945. [Google Scholar] [CrossRef]
- Martínez-Lage, I.; Martínez-Abella, F.; Vázquez-Herrero, C.; Pérez-Ordóñez, J.L. Properties of plain concrete made with mixed recycled coarse aggregate. Constr. Build. Mater. 2012, 37, 171–176. [Google Scholar] [CrossRef]
- Debieb, F.; Kenai, S. The use of coarse and fine crushed bricks as aggregate in concrete. Constr. Build. Mater. 2008, 22, 886–893. [Google Scholar] [CrossRef]
- López-Uceda, A.; Ayuso, J.; López, M.; Jimenez, J.R.; Agrela, F.; Sierra, M.J. Properties of non-structural concrete made with mixed recycled aggregates and low cement content. Materials 2016, 9, 74. [Google Scholar] [CrossRef]
- Silva, R.V.; De Brito, J.; Dhir, R.K. The influence of the use of recycled aggregates on the compressive strength of concrete: A review. Eur. J. Environ. Civ. Eng. 2015, 19, 825–849. [Google Scholar] [CrossRef]
- Dhir, R.K.; Limbachiya, M.C.; Leelawat, T. BS 5328; BS 882. Suitability of recycled concrete aggregate for use in bs 5328 designated mixes. Proc. Inst. Civ. Eng. Struct. Build. 1999, 134, 257–274. [Google Scholar] [CrossRef]
- Xiao, J.; Li, W.; Poon, C. Recent studies on mechanical properties of recycled aggregate concrete in China—A review. Sci. China Technol. Sci. 2012, 55, 1463–1480. [Google Scholar] [CrossRef]
- Wang, H.L.; Wang, J.J.; Sun, X.Y.; Jin, W.L. Improving performance of recycled aggregate concrete with superfine pozzolanic powders. J. Cent. South Univ. 2013, 20, 3715–3722. [Google Scholar] [CrossRef]
- Xie, J.; Huang, L.; Guo, Y.; Li, Z.; Fang, C.; Li, L.; Wang, J. Experimental study on the compressive and flexural behaviour of recycled aggregate concrete modified with silica fume and fibres. Constr. Build. Mater. 2018, 178, 612–623. [Google Scholar] [CrossRef]
- Poon, C.; Kou, S. Effects of fly ash on mechanical properties of 10-year-old concrete prepared with recycled concrete aggregates. In Proceedings of the 2nd International Conference on Waste Engineering Management, ICWEM 2010, Shanghai, China, 13 October 2010; pp. 46–59. [Google Scholar]
- Ferrari, G.; Miyamoto, M.; Ferrari, A. New sustainable technology for recycling returned concrete. Constr. Build. Mater. 2014, 67, 353–359. [Google Scholar] [CrossRef]
- Kou, S.-C.; Zhan, B.-J.; Poon, C.-S. Feasibility study of using recycled fresh concrete waste as coarse aggregates in concrete. Constr. Build. Mater. 2011, 28, 549–556. [Google Scholar] [CrossRef]
- Wang, R.; Zhang, Y.X. Recycling fresh concrete waste: A review. Struct. Concr. 2018, 19, 1939–1955. [Google Scholar] [CrossRef]
- Kazaz, A.; Ulubeyli, S. Current Methods for the Utilization of the Fresh Concrete Waste Returned to Batching Plants. Proced. Eng. 2016, 161, 42–46. [Google Scholar] [CrossRef]
- AS 3600 (2018) Concrete Structures, 3rd ed.; Australian Standard Limited: Sydney, Australia, 2018.
- Thomas, D.; Hogan, M.; Shi, J. Manufactured Coarse Aggregate from Wet Concrete. International Publication No. WO 2017/132730; A1 World Intellectual Property Organization. 2017(PCT/AU2017/050086), 10 August 2017. [Google Scholar]
- ASTM C150/C150M-18, in Standard Specification for Portland Cement; ASTM International: West Conshohocken, PA, USA, 2018.
- AS 1141.21, Methods for Sampling and Testing Aggregates Aggregate Crushing Value; Standards Australia: Sydney, Australia, 1997; pp. 1–11.
- VicRoads Standards RC 371.03, Test Method for Aggregate Impact Value; VicRoads: Melbourne, Australia, 2013.
- AS 1141.23, Methods for Sampling and Testing Aggregates Los Angeles Value; Standards Australia Limited: Sydney, Australia, 2009.
- AS 1141.4, Methods for Sampling and Testing Aggregates Bulk Density of Aggregate; Standards Australia Limited: Sydney, Australia, 2000; pp. 1–10.
- ASTM C127, Standard Test Method for Relative Density (Specific Gravity) and Absorption of Coarse Aggregate; ASTM International: West Conshohocken, PA, USA, 2015.
- VicRoads Standards RC 253.01. Determination of Aggregate Moisture Content and Estimated Free Water (Using Microwave or Hot Plate); VicRoads: Melbourne, Australia, 2013. [Google Scholar]
- AS 1012.3.1:2014, Methods of Testing Concrete, Determination of Properties Related to the Consistency of Concrete—Slump Test; Standards Australia Limited: Sydney, Australia, 2014; p. 6.
- AS 1012.12.2-1998 (R2014), Methods of Testing Concrete Determination of Mass Per Unit Volume of Hardened Concrete—Water Displacement Method; Standards Australia Limited: Sydney, Australia, 2014; p. 3.
- AS 1012.9:2014, Methods of testing concrete Compressive strength tests—Concrete, mortar and grout specimens; Standards Australia Limited: Sydney, Australia, 2014; p. 11.
- AS 1012.17-1997 (R2014), Methods of testing concrete Determination of the static chord modulus of elasticity and Poisson’s ratio of concrete specimens; Standards Australia Limited: Sydney, Australia, 1997; p. 15.
- AS 1012.21-1999 (R2014), Methods of testing concrete—Determination of water absorption and apparent volume of permeable voids in hardened concrete; Standards Australia Limited: Sydney, Australia, 1999.
- AS 1012.11-2000, Methods of testing concrete—Determination of the modulus of rupture; Standards Australia Limited: Sydney, Australia, 2000; pp. 1–5.
- AS 1012.13:2015, Method 13: Determination of the Drying Shrinkage of Concrete for Samples Prepared in the Field or in the Laboratory, in Methods of Testing Concrete; Standards Australia Limited: Sydney, Australia, 2015.
- AS 1012.8.1:2014, Methods of Testing Concrete Method for Making and Curing Concrete—Compression and Indirect Tensile Test Specimens; Standards Australia Limited: Sydney, Australia, 2014; p. 10.
- ASTM C597, Standard Test Method for Pulse Velocity through Concrete; ASTM International: West Conshohocken, PA, USA, 2009.
- Etxeberria, M.; Vázquez, E.; Marí, A.; Barra, M. Influence of amount of recycled coarse aggregates and production process on properties of recycled aggregate concrete. Cem. Concrete Res. 2007, 37, 735–742. [Google Scholar] [CrossRef]
- AS 3600 (2009). Concrete Structures; Standards Australia Limited: Sydney, Australia, 2009; pp. 1–208.
- Raphael, J.M. Tensile strength of concrete. Concrete Int. Mag. 1984, 81, 158–165. [Google Scholar]
- Warner, R.F.; Rangan, B.V.; Hall, A.S. Reinforced Concrete; Addison Wesley Longman: Melbourne, Australia, 1998. [Google Scholar]
- Kim, H.; Goulias, D.G. Shrinkage behavior of sustainable concrete with crushed returned concrete aggregate. J. Mater. Civ. Eng. 2015, 27, 04014204. [Google Scholar] [CrossRef]
- Rendell, F.; Jauberthie, R.; Grantham, M. Deteriorated Concrete: Inspection and Physicochemical Analysis; Thomas Telford: London, UK, 2002. [Google Scholar]
- VicRoads. Test Methods for the Assessment of Durability of Concrete; VicRoads: Melbourne, Australia, 2007. [Google Scholar]
- Scrivener, K.L.; Crumbie, A.K.; Laugesen, P. The interfacial transition zone (ITZ) between cement paste and aggregate in concrete. Interface Sci. 2004, 12, 411–421. [Google Scholar] [CrossRef]
- Garbacz, A.; Garboczi, E.J. Ultrasonic Evaluation Methods Applicable to Polymer Concrete Composites; US Department of Commerce, Technology Administration, National Institute of Standards and Technology: Gaithersburg, MD, USA, 2003.
- Kou, S.-C.; Poon, C.-S. Effect of the quality of parent concrete on the properties of high performance recycled aggregate concrete. Constr. Build. Mater. 2015, 77, 501–508. [Google Scholar] [CrossRef]
- Liu, M.Y.J.; Alengaram, U.J.; Jumaat, M.Z.; Mo, K.H. Evaluation of thermal conductivity, mechanical and transport properties of lightweight aggregate foamed geopolymer concrete. Energy Build. 2014, 72, 238–245. [Google Scholar] [CrossRef]
- Puertas, F.; Palacios, M.; Manzano, H.; Dolado, J.S.; Rico, A.; Rodríguez, J. A model for the CASH gel formed in alkali-activated slag cements. J. Eur. Ceram. Soc. 2011, 31, 2043–2056. [Google Scholar] [CrossRef]
- Broomfield, J.P. Corrosion of Steel in Concrete: Understanding, Investigation and Repair; CRC Press: Boca Raton, FL, USA, 2006. [Google Scholar]







| Material | By Weight (%) | |||||||||||
|---|---|---|---|---|---|---|---|---|---|---|---|---|
| SiO2 | Al2O3 | Fe2O3 | CaO | P2O5 | TiO2 | MgO | K2O | SO3 | MnO | Na2O | * LOI | |
| Cement | 22.5 | 4.5 | 0.4 | 66.3 | 0.67 | 0.20 | 0.51 | 0.15 | 2.8 | 0.10 | 0.17 | 1.7 |
| Concrete Type | Design Strength | Mix Notation | Cement (kg) | Sand (kg) | Aggregate (kg) | Water (kg) | Water/Cement Ratio | Superplasticizer |
|---|---|---|---|---|---|---|---|---|
| BCA concrete | 25 MPa | BCA-25 | 300 | 910 | 1015 | 150 | 0.5 | 2.7 |
| 40 MPa | BCA-40 | 400 | 800 | 1015 | 160 | 0.4 | 3.6 | |
| RCA Concrete | 25 MPa | RCA-25 | 300 | 910 | 843 | 150 | 0.5 | 3.6 |
| 40 MPa | RCA-40 | 400 | 800 | 843 | 160 | 0.4 | 4.8 | |
| Combined RCA Concrete | 25 MPa | Combined RCA-25 | 300 | 910 | 895 | 150 | 0.5 | 3.3 |
| 40 MPa | Combined RCA-40 | 400 | 800 | 860 | 160 | 0.4 | 4.4 |
| Aggregate Property | RCA-25 | RCA-40 | Basalt Aggregate | Standard |
|---|---|---|---|---|
| Aggregate crushing value | 35.5% | 30.4% | 21.2% | AS 1141.21 [46] |
| Aggregate impact value | 36.1% | 31.2% | 21.6% | VicRoads–RC 371.03 [47] |
| Los Angeles abrasion value | 22.4% | 25.7% | 32.7% | AS 1141.23 [48] |
| Oven dry density | 2250 kg/m3 | 2250 kg/m3 | 2650 kg/m3 | AS 1141.4 [49] |
| Water absorption | 6.85% | 6.55% | 1.45% | ASTM C127 [50] |
| Moisture content | 4.30% | 4.15% | 0.85% | VicRoads–RC 253.01 [51] |
| Concrete Type | Design Strength | Mix Notation | Compressive Strength (MPa) | |
|---|---|---|---|---|
| 7-day | 28-day | |||
| BCA concrete | 25 MPa | BCA-25 | 19.15 ± 2.06 | 26.47 ± 1.27 |
| 40 MPa | BCA-40 | 32.49 ± 2.92 | 42.15 ± 1.14 | |
| RCA Concrete | 25 MPa | RCA-25 | 15.07 ± 0.76 | 19.50 ± 1.83 |
| 40 MPa | RCA-40 | 27.34 ± 1.95 | 32.28 ± 2.06 | |
| Combined RCA Concrete | 25 MPa | Combined RCA-25 | 18.40 ± 0.86 | 25.85 ± 0.45 |
| 40 MPa | Combined RCA-40 | 34.07 ± 1.30 | 41.10 ± 1.75 | |
© 2020 by the authors. Licensee MDPI, Basel, Switzerland. This article is an open access article distributed under the terms and conditions of the Creative Commons Attribution (CC BY) license (http://creativecommons.org/licenses/by/4.0/).
Share and Cite
Gunasekara, C.; Seneviratne, C.; Law, D.W.; Setunge, S. Feasibility of Developing Sustainable Concrete Using Environmentally Friendly Coarse Aggregate. Appl. Sci. 2020, 10, 5207. https://doi.org/10.3390/app10155207
Gunasekara C, Seneviratne C, Law DW, Setunge S. Feasibility of Developing Sustainable Concrete Using Environmentally Friendly Coarse Aggregate. Applied Sciences. 2020; 10(15):5207. https://doi.org/10.3390/app10155207
Chicago/Turabian StyleGunasekara, Chamila, Charitha Seneviratne, David W. Law, and Sujeeva Setunge. 2020. "Feasibility of Developing Sustainable Concrete Using Environmentally Friendly Coarse Aggregate" Applied Sciences 10, no. 15: 5207. https://doi.org/10.3390/app10155207
APA StyleGunasekara, C., Seneviratne, C., Law, D. W., & Setunge, S. (2020). Feasibility of Developing Sustainable Concrete Using Environmentally Friendly Coarse Aggregate. Applied Sciences, 10(15), 5207. https://doi.org/10.3390/app10155207

