Investigation on the Influences of Hygrothermal Aging on the Indentation Size Effects and Micro-Indentation Measurements of PMMA. Part I: Experimental Results
Abstract
1. Introduction
2. Experimental
2.1. Materials
2.2. Indentation Tests
3. Results
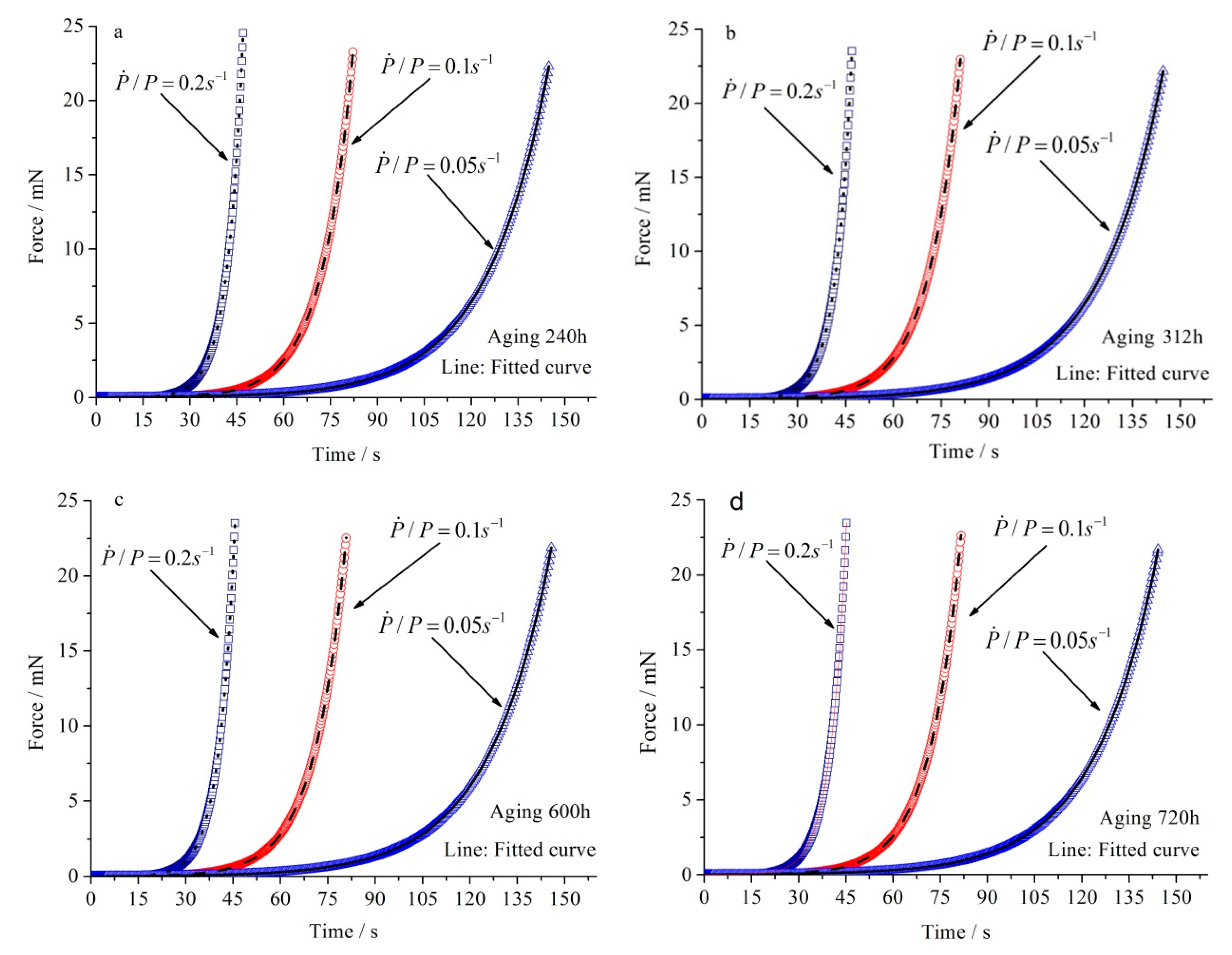
3.1. Load History During Loading Stage
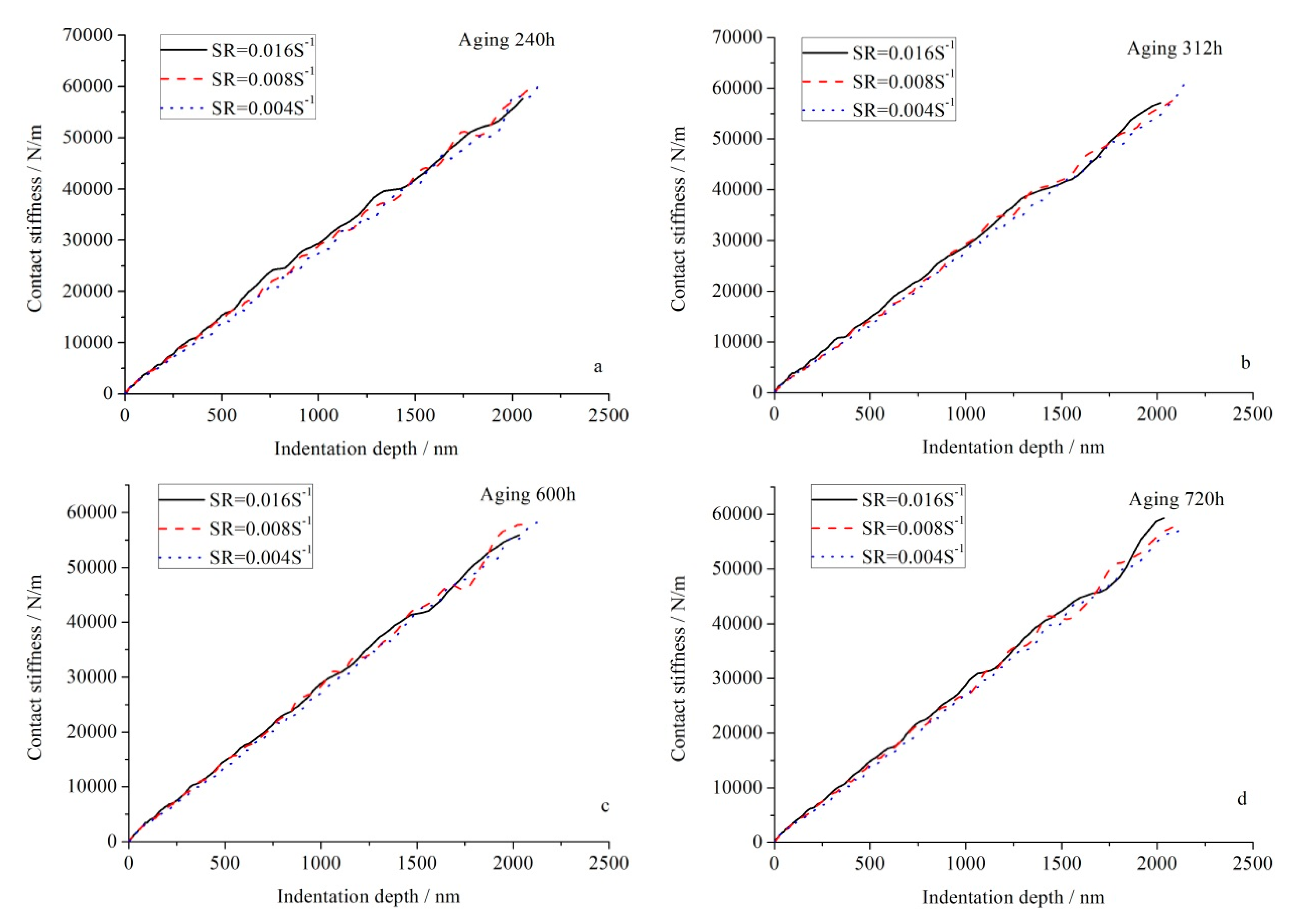
3.2. Indentation Strain Rate ()
3.3. Force-Depth Curve
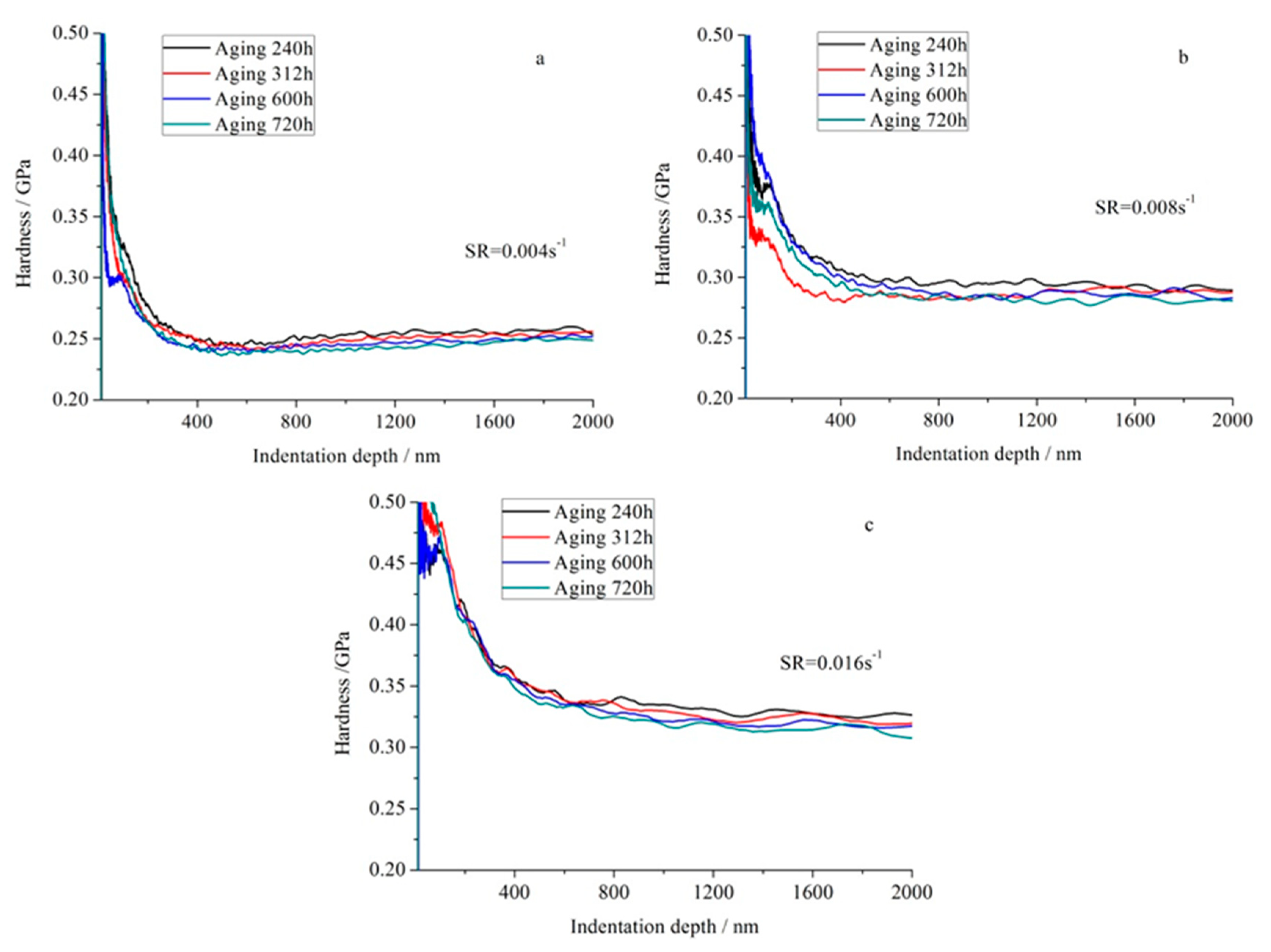
3.4. Indentation Elastic Modulus and Hardness
4. Discussions
5. Conclusions and Remarks
Author Contributions
Funding
Conflicts of Interest
References
- Lin, H.; Jin, T.; Lv, L.; Ai, Q. Indentation Size Effect in Pressure-Sensitive Polymer Based on A Criterion for Description of Yield Differential Effects and Shear Transformation-Mediated Plasticity. Polymers 2019, 11, 412. [Google Scholar] [CrossRef] [PubMed]
- Jin, T.; Zhou, Z.; Wang, Z.; Wu, G.; Liu, Z.; Shu, X. Quasi-static failure behaviour of PMMA under combined shear–compression loading. Polym. Test. 2015, 42, 181–184. [Google Scholar] [CrossRef]
- Prokopovich, P.; Köbrick, M.; Brousseau, E.; Perni, S. Potent antimicrobial activity of bone cement encapsulating silver nanoparticles capped with oleic acid. J. Biomed. Mater. Res. Part B Appl. Biomater. 2015, 103, 273–281. [Google Scholar] [CrossRef]
- Vallo, C.I.; Montemartini, P.E.; Fanovich, M.A.; Lopez, J.M.; Cuadrado, T.R. Polymethylmethacrylate-based bone cement modified with hydroxyapatite. J. Biomed. Mater. Res. 1999, 48, 150–158. [Google Scholar] [CrossRef]
- Jin, T.; Zhou, Z.; Wang, Z.; Wu, G.; Shu, X.; Liu, Z. Effects of strain rate on PMMA failure behavior. Appl. Phys. A 2016, 122. [Google Scholar] [CrossRef]
- Shirazi, H.A.; Ayatollahi, M.R.; Naimi-Jamal, M.R. Influence of hydroxyapatite nano-particles on the mechanical and tribological properties of orthopedic cement-based nano-composites measured by nano-indentation and nanoscratch experiments. J. Mater. Eng. Perform. 2015, 24, 3300–3306. [Google Scholar] [CrossRef]
- Su, X.Y.; Zhou, L.; Jing, L.; Wang, H. Experimental investigation and constitutive description of railway wheel/rail steels under medium-strain-rate tensile loading. J. Mater. Eng. Perform. 2020, 29, 2015–2025. [Google Scholar] [CrossRef]
- Jin, T.; Zhou, Z.; Qiu, J.; Wang, Z.; Zhao, D.; Shu, X.; Yan, S. Investigation on the yield behavior of AZ91 magnesium alloy. J. Alloy. Compd. 2018, 738, 79–88. [Google Scholar] [CrossRef]
- Jing, L.; Su, X.Y.; Zhao, L.M. The dynamic compressive behavior and constitutive modeling of D1 railway wheel steel over a wide range of strain rates and temperatures. Results Phys. 2017, 7, 1452–1461. [Google Scholar] [CrossRef]
- Jing, L.; Han, L.L.; Zhao, L.M.; Zhang, Y. The dynamic tensile behavior of railway wheel steel at high strain rates. Journal of Materials Engineering and Performance. J. Mater. Eng. Perform. 2016, 25, 4959–4966. [Google Scholar] [CrossRef]
- Wang, Z.; Qiu, J.; Shu, X.F.; Jin, T. Experimental study on the fracture behavior of AZ91D magnesium alloy under complex loading. Results Phys. 2020, 16, 102917. [Google Scholar] [CrossRef]
- Jing, L.; Su, X.Y.; Yang, F.; Ma, H.W.; Zhao, L.M. Compressive strain rate dependence and constitutive modeling of closed-cell aluminum foams with various relative densities. J. Mater. Sci. 2018, 53, 14739–14757. [Google Scholar] [CrossRef]
- Zhang, J.; Jin, T.; Wang, Z.; Zhao, L. Experimental investigation on yield behavior of PMMA under combined shear-compression loading. Results Phys. 2016, 6, 265–269. [Google Scholar] [CrossRef][Green Version]
- Qiu, J.; Jin, T.; Su, B.Y.; Shu, X.F.; Li, Z.Q. Experimental investigation on the yield behavior of PMMA. Polym. Bull. 2018, 75, 5535–5549. [Google Scholar] [CrossRef]
- Zhou, Z.; Su, B.; Wang, Z.; Li, Z.; Shu, X.; Zhao, L. Shear–compression failure behavior of PMMA at different loading rates. Mater. Lett. 2013, 109, 151–153. [Google Scholar] [CrossRef]
- Qiu, J.; Jin, T.; Su, B.Y.; Duan, Q.; Shu, X.F.; Liu, E.Q.; Li, X. A Criterion Describing the Dynamic Yield Behavior of PMMA. Macromol. Res. 2019, 27, 750–755. [Google Scholar] [CrossRef]
- Voyiadjis, G.; Malekmotiei, L.; Samadi-Dooki, A. Indentation size effect in amorphous polymers based on shear transformation mediated plasticity. Polymers 2018, 137, 72–81. [Google Scholar] [CrossRef]
- Abdeslam, S. Influence of silver inclusions on the mechanical behavior of Cu-Ag nanocomposite during nanoindentation: Molecular dynamics study. Results Phys. 2019, 15, 102672. [Google Scholar] [CrossRef]
- Pharr, G.; Herbert, E.; Gao, Y. The indentation size effect: A critical examination of experimental observations and mechanistic interpretations. Annu. Rev. Mater. Res. 2010, 40, 271–292. [Google Scholar] [CrossRef]
- Han, C. Influence of the molecular structure on indentation size effect in polymers. Mater. Sci. Eng. 2010, 527, 619–624. [Google Scholar] [CrossRef]
- Hsu, K.C.; Chen, J.Y.; Fang, T.H.; Lin, M.H. Size-dependent strength and interface-dominated deformation mechanisms of Cu/Zr multilayer nanofilms. Results Phys. 2018, 11, 684–689. [Google Scholar] [CrossRef]
- Nix, W.; Gao, H. Indentation size effects in crystalline materials: A law for strain gradient plasticity. J. Mech. Phys. Solids 1998, 46, 411–425. [Google Scholar] [CrossRef]
- Voyiadjis, G.Z.; Song, Y. Strain gradient continuum plasticity theories: Theoretical, numerical and experimental investigations. Int. J. Plast. 2019, 121, 21–75. [Google Scholar] [CrossRef]
- Prasitthipayong, A.; Vachhani, S.J.; Tumey, S.J.; Minor, A.M.; Hosemann, P. Indentation size effect in unirradiated and ion-irradiated 800H steel at high temperatures. Acta Mater. 2018, 144, 896–904. [Google Scholar] [CrossRef]
- Malekmotiei, L.; Samadi-Dooki, A.; Voyiadjis, G.Z. Nanoindentation Study of Yielding and Plasticity of Poly(methylmethacrylate. Macromolecules 2015, 48, 548–5357. [Google Scholar] [CrossRef]
- Zhou, Z.W.; Ma, W.; Zhang, S.J.; Du, H.M.; Mu, Y.H.; Li, G.Y. Multiaxial creep of frozen loess. Mech. Mater. 2016, 95, 172–191. [Google Scholar] [CrossRef]
- Zhou, Z.W.; Ma, W.; Zhang, S.J.; Mu, Y.H.; Li, G.Y. Experimental investigation of the path-dependent strength and deformation behaviours of frozen loess. Eng. Geol. 2020, 265, 105449. [Google Scholar] [CrossRef]
- Arruda, E.M.; Boyce, M.C.; Jayachandran, R. Effects of strain rate temperature and thermomechanical coupling on the finite strain deformation of glassy polymers. Mech. Mater. 1995, 19, 193–212. [Google Scholar] [CrossRef]
- Zhou, Z.; Ma, W.; Zhang, S.; Mu, Y.; Li, G. Effect of freeze-thaw cycles in mechanical behaviors of frozen loess. Cold Reg. Sci. Technol. 2018, 146, 9–18. [Google Scholar] [CrossRef]
- Farrokh, B.; Khan, A. A strain rate dependent yield criterion for isotropic polymers: Low to high rates of loading. Eur. J. Mech. Solids 2010, 29, 274–282. [Google Scholar] [CrossRef]
- Jin, T.; Zhou, Z.; Liu, Z.; Xiao, G.; Yuan, G.; Shu, X. Sensitivity of PMMA nanoindentation measurements to strain rate. J. Appl. Polym. Sci. 2015, 41896. [Google Scholar] [CrossRef]
- Oyen, M. Sensitivity of polymer nanoindentation creep measurements to experimental variables. Acta Mater. 2007, 55, 3633–3639. [Google Scholar] [CrossRef]
- Xiao, G.S. Mechanical Properties of Cured Isotropic Conductive Adhesive Investigated by Micro-Indentation. Ph.D. Thesis, Taiyuan University of Technology, Taiyuan, China, 13 June 2015. (In Chinese). [Google Scholar]
- Ma, Y.; Ye, J.; Peng, G.; Wen, D.; Zhang, T. Nanoindentation study of size effect on shear transformation zone size in a Ni-Nb metallic glass. Mater. Sci. Eng. A 2015, 627, 153–160. [Google Scholar] [CrossRef]
- Spaepen, F. A microscopic mechanism for steady state inhomogeneous flow in metallic glasses. Acta Meter. 1977, 25, 407–415. [Google Scholar] [CrossRef]
- Argon, A. Plastic deformation in metallic glasses. Acta Meter. 1979, 27, 47–58. [Google Scholar] [CrossRef]
- Poisl, W.; Oliver, W.; Fabes, B. The relationship between indentation and uniaxial creep in amorphous selenium. J. Mater. Res. 1995, 10, 2024–2032. [Google Scholar] [CrossRef]
- Schuh, C.; Nieh, T. A nanoindentation study of serrated flow in bulk metallic glasses. Acta Mater. 2003, 51, 87–99. [Google Scholar] [CrossRef]
- Schuh, C.; Lund, A.; Nieh, T. New regime of homogeneous flow in the deformation map of metallic glasses: Elevated temperature nanoindentation experiments and mechanistic modeling. Acta Mater. 2004, 52, 5879–5891. [Google Scholar] [CrossRef]
- Cheng, Y.T.; Cheng, C.M. Scaling, dimensilonal analysis and indentation measurements. Mater. Sci. Eng. R. 2004, 44, 91–149. [Google Scholar] [CrossRef]
- Lam, D.; Chong, A. Indentation model and strain gradient plasticity law for glassy polymers. J. Mater. Res. 1999, 14, 3784–3788. [Google Scholar] [CrossRef]












| (s−1) | Aging Time (h) | |||
|---|---|---|---|---|
| 240 | 312 | 600 | 720 | |
| 0.05 | 0.016 | 0.016 | 0.015 | 0.016 |
| 0.1 | 0.00627 | 0.00698 | 0.00698 | 0.00648 |
| 0.2 | 0.00204 | 0.00195 | 0.00258 | 0.00279 |
© 2020 by the authors. Licensee MDPI, Basel, Switzerland. This article is an open access article distributed under the terms and conditions of the Creative Commons Attribution (CC BY) license (http://creativecommons.org/licenses/by/4.0/).
Share and Cite
Lin, H.; Lv, L.; Jin, T. Investigation on the Influences of Hygrothermal Aging on the Indentation Size Effects and Micro-Indentation Measurements of PMMA. Part I: Experimental Results. Appl. Sci. 2020, 10, 5454. https://doi.org/10.3390/app10165454
Lin H, Lv L, Jin T. Investigation on the Influences of Hygrothermal Aging on the Indentation Size Effects and Micro-Indentation Measurements of PMMA. Part I: Experimental Results. Applied Sciences. 2020; 10(16):5454. https://doi.org/10.3390/app10165454
Chicago/Turabian StyleLin, Hui, Lin Lv, and Tao Jin. 2020. "Investigation on the Influences of Hygrothermal Aging on the Indentation Size Effects and Micro-Indentation Measurements of PMMA. Part I: Experimental Results" Applied Sciences 10, no. 16: 5454. https://doi.org/10.3390/app10165454
APA StyleLin, H., Lv, L., & Jin, T. (2020). Investigation on the Influences of Hygrothermal Aging on the Indentation Size Effects and Micro-Indentation Measurements of PMMA. Part I: Experimental Results. Applied Sciences, 10(16), 5454. https://doi.org/10.3390/app10165454
