Featured Application
The paper not only provides method and theoretical guidance for the preparation of long-term stable high-performance hybrid nanofluids, but also gives support for their efficient applications in phase change cold energy storage.
Abstract
Thermal ice storage has gained a lot of interest due to its ability as cold energy storage. However, low thermal conductivity and high supercooling degree have become major issues during thermal cycling. For reducing the cost and making full use of the advantages of the graphene oxide–Al2O3, this study proposes heat transfer enhancement of thermal ice storage using novel hybrid nanofluids of aqueous graphene oxide–Al2O3. Thermal conductivity of aqueous graphene oxide–Al2O3 nanofluid was measured experimentally over a range of temperatures (0–70 °C) and concentrations. Thermal conductivity of ice mixing with the hybrid nanoparticles was tested. The influences of pH, dispersant, ultrasonic power and ultrasonic time on the stability of the hybrid nanofluids were examined. A new model for the effective thermal conductivity of the hybrid nanofluids considering the structure and Brownian motion was proposed. The results showed that pH, dispersant, ultrasonic power level and ultrasonication duration are important factors affecting the stability of the hybrid nanofluids tested. The optimum conditions for stability are pH = 11, 1% SDS, 375 W ultrasonic power level and 120 min ultrasonic application time. The thermal conductivity of hybrid nanofluids increases with the increase of temperature and mass fraction of nanoparticles. A newly proposed thermal conductivity model considering the nanofluid structure and Brownian motion can predict the thermal conductivity of hybrid nanofluids reasonably well.
1. Introduction
Thermal ice storage is a very important kind of phase change cold energy storage, which can be used in the solar and wind energy system to reduce the fluctuations in the energy flow. The ice storage system not only can run fluently under a decoupled source–load condition, but can reduce maximum output power, average power and energy consumption by 20–40% in comparison with conventional systems in centralized and decentralized environments [1]. The thermal ice storage is also employed in heating, ventilation and air conditioning (HVAC) cooling, food processing, chemical reactions or pharmaceutical processing, inlet air cooling of turbine and district cooling plant [2].
As one type of phase change material (PCM), ice storage, however, has higher supercooling degree and lower thermal conductivity that reduce heat transfer performance. A high supercooling degree leads to reduced performance of the PCM thermal energy storage system because of the requirement of a large operating temperature range [3]. Fortunately, many researchers found that addition of nanoparticles not only enhance the thermal conductivity, but also reduce the supercooling degree, and improve the heat transfer performance greatly [4]. Nonetheless, the stability of the nanoparticles suspended in base fluids during the thermal cycling is becoming a key problem.
Colloidal suspensions containing dispersed metal or nonmetal nanoparticles are called nanofluids, which are widely used in several heat transfer or performance improvement areas such as solar energy collectors [5,6,7,8,9,10,11,12,13], phase change energy storage [14,15], micro- and power electronics [16], magnetic refrigeration [17,18], diesel or biodiesel fuels [19,20], ventilation and air conditioning systems [21], reactors in power generating plants, cancer treatment therapy, metallurgical operations and combustion engines [22,23,24]. Nanofluids can be divided into two categories according to the types of nanoparticles. One is a single nanofluid formed by a single nanoparticle and base liquids, and the other is a hybrid nanofluid formed by mixing multiple nanoparticles and base liquids. Hybrid nanofluid is a solid–liquid mixture formed by dispersing two or more different nanoparticles suspended in a liquid, which displays enhanced thermophysical properties and rheological characteristics compared to mono nanoparticles nanofluid due to a synergistic effect [25]. Properly selected hybrid nanofluids can not only have higher thermal conductivity than single-phase nanofluids, but also have better properties such as less mechanical resistance, better stability and lower cost. These superior characteristics make them particularly attractive for applications in many heat transfer areas [22,23]. However, there are still several challenges that have impeded the development of this field as concluded in many review articles [23,24,25,26,27,28,29,30,31,32,33,34], such as disagreement in results of various researchers on the same types of nanofluids; preparation of long-term, stable and homogeneous nanofluids; a lack of theoretical understanding of the mechanisms accountable for variety in properties and high cost of the hybrid nanoparticles. In particular, stability of nanofluids is an essential characteristic that impacts greatly the thermophysical properties and rheological characteristics as well as their field applications. Surfactants have been used to keep good dispersibility of nanofluids. However, surfactants may impact the thermal conductivity and viscosity of the hybrid nanofluid as well [35]. Among various nanomaterials used in nanofluids, graphene oxide (GO) is hydrophilic, has a superior dispersion stability and high thermal conductivity and can significantly reduce the degree of supercooling of water in phase change thermal storage [36,37,38,39,40,41], but the preparation technology is complex and expensive. Nano-Al2O3 is a common metal oxide material and is widely used in various nanofluids because the Al2O3 nanofluid has lower viscosity and better rheological behavior as compared to other particles such as copper oxide [42,43,44]. Moreover, nano-Al2O3 has obvious advantages such as high thermal conductivity, cheap and safe [45,46,47,48]. For example, nanofluids of aluminum oxide can enhance thermal conductivity from 0.3% to 38% with a particle size range from 5 to 80 nm [49,50,51]. Moreover, the supercooling degree of water is reduced under the combined effect of ultrasound and aluminum oxide nanoparticles. A 63.7% reduction in the supercooling degree of water can be obtained at Al2O3 nanoparticle concentration of 0.2 wt % with the proper ultrasonic intensity [52]. However, long-term stability of aqueous Al2O3 is not as good as that of graphene oxide.
To reduce the cost and make full use of the advantages of the two materials, our study prepares a novel aqueous Al2O3 and GO nanosheet hybrid nanofluid for thermal ice storage as we have done in our previous work about its specific heat [53]. The thermal conductivity and stability under thermal cycles of the hybrid nanofluid are investigated, the thermal conductivity of the ice mixed with the hybrid nanoparticles is tested, and a new thermal conductivity model of the hybrid nanofluids considering the influence of Brownian and construction is proposed, which presents the theoretical understanding of the mechanisms responsible for the enhancement of thermal conductivity.
2. Experimental Apparatus and Procedure
The GO–Al2O3 hybrid nanofluids were created by the two-step method [54] using sodium dodecyl sulfonate (SDS) as a surfactant. Different masses of the graphene oxide nanoplatelet (purity ≥99 wt %, number of layers <10, from Shenzhen Turing Evolution Technology Co., Ltd.) and nano-Al2O3 (content ≥ 99.99%, average particle size (30 ± 5 nm)) were fully dispersed in deionized water (DW). High-powered ultrasonication was used to disperse nanoparticles. Sodium hydroxide solution was used to adjust the pH.
The hybrid nanomaterials were analyzed and characterized by an X-ray diffractometer (Model: XRD Ultima IV). WGZ-2000 turbidity meter (indication error of ±3% F.S and repeatability ≤0.5%, from Shanghai Xinrui Instrument Co., Ltd. China) was used to test the absorbance of nanofluids with time. It can measure the degree of scattering or attenuation of light generated by insoluble particulate matter suspended in water or a transparent liquid, and quantitatively characterize the content of these suspended particulate matter with NTU (Nephelometric Turbidity Unit) as the turbidity unit.
The transient hot wire method has been regarded as the most accurate method as well as the primary method for determination of thermal conductivity of a fluid and solid. The method has become a standard method in many countries [55,56,57]. Thermal conductivity is measured by a TC3000E transient hot wire instrument (Xiaxi Electronic Technology Co., Ltd. Xi’an, China), which has been employed widely by many researchers [58,59,60]. The instrument works according to transient hot-wire method that complies with standards of ASTM C1113, ASTM D5930, GB/T 10297, and GB/T 11205. A water bath with an accuracy of ± 0.05 °C was employed to control temperature.
X-Ray Diffraction (XRD) is very useful to show the crystal structure [61], the hybrid nanomaterials are characterized by XRD as indicated in Figure 1. It can be seen that the diffraction peak at 2θ = 11.06° was the characteristic peak of graphene oxide (001) [62]; the diffraction peak at 2θ = 25.57°, 35.15°, 37.77°, 43.35°, 52.55°, 57.51°, 68.21° and 77.2° is the crystal phase of α- Al2O3 (012), (104), (110), (113), (024), (116), (300) and (119), respectively, which is consistent with the standard α-Al2O3 spectrum [63].
Figure 1.
XRD of hybrid nanomaterials.
Figure 2 and Figure 3 are scanning electron microscope (SEM) for the hybrid nanoparticles dispersion in the base solution for 120 min and 30 min of ultrasonication, respectively. The results showed that Al2O3 nanoparticles of about 40 nm distribute homogeneously on the graphene oxide nanosheets when vibrated for 120 min using ultrasonic. However, a large number of nanoparticles aggregate together under 30 min of ultrasonication, which indicates poor dispersion of the nanoparticles.
Figure 2.
SEM for hybrid nanoparticles dispersion in base solution (ultrasonic 120 min) (a) 20.00K × 200 nm; (b) 30.00K × 300 nm; (c) 10.00K × 1 μm and (d) 5.00K × 2 μm.
Figure 3.
SEM for hybrid nanoparticles dispersion in base solution (ultrasonic 30 min) (a) 20.00K × 200 nm; (b) 20.00K × 200 nm; (c) 5.00K × 1 μm and (d) 2.00K × 2 μm.
3. Results and Discussion
3.1. Effect of Different Factors on the Stability of the Hybrid Nanofluids
According to the theory of electrostatic stabilization and steric stabilization [64], nanofluids stability is affected greatly by many factors such as the pH, surfactants and ultrasonic power and time. In the following parts, the aforesaid factors are investigated.
3.1.1. Influence of pH
The pH of nanofluids is usually adjusted to increase the charges on the surface of the nanoparticles, which keeps the surface potential of the nanoparticles away from isoelectric point so as to enhance the electrostatic repulsion and stability of the nanofluids. The pH adjustment is suitable for electrostatic stabilization mechanism of colloidal particles that can be described by the DLVO (Derjaguin, Landau, Verwey and Overbeek) theory, i.e., the total interaction between electrostatic stabilized particles is the combination of van der Waals attraction and electrostatic repulsion [64].
Hybrid nanofluids of 0.1% mass fraction with pH = 3, 7, and 11 were prepared and ultrasonically dispersed for 60 min. Figure 4 and Figure 5 show, respectively, the condition of the nanofluids after one and seven days. The hybrid nanofluid with pH = 3 has completely precipitated after 7 days, and the hybrid nanofluid with pH = 7 had a large amount of precipitation, while the hybrid nanofluid with pH = 11 had no obvious change and showed very good stability. The same trend is observed for bottom precipitation, as shown in Figure 5. The pH had a great influence on the stability of the hybrid nanofluid, and the hybrid nanofluid of pH = 11 was shown to have the best stability. This is mainly due to the fact that Al2O3 nanoparticles hydrate to produce hydroxyl groups, and the hydroxyl groups dissociate to charge the surface of the nanoparticles [65]. There are many hydrophilic acidic functional groups on the surface of the graphene oxide nanoparticles, which have strong ability to adsorb anions. Under alkaline conditions, a large amount of OH− ions were continuously adsorbed on the surfaces of Al2O3 and GO nanoparticles to form double electric layers around the nanoparticles, which produced repulsive forces between the particles and prevent agglomeration and precipitation caused by collision between particles. Moreover, larger electrostatic repulsion also increased the distance between particles, which decreased van der Waals attraction and, thus, reduced the probability of particles agglomerating and sedimentation, and further improved the stability of the nanofluids [66].
Figure 4.
Photos of 0.1 wt % hybrid nanofluids after: (a) 1 day and (b) 7 days.
Figure 5.
Bottom precipitation of 0.1 wt % hybrid nanofluid at different pH after 7 days.
3.1.2. Influence of Dispersant
One of the dispersing mechanisms for nanofluid stabilization is steric stabilization, which can be attained by the addition of a dispersant [64]. In order to enhance the stability of the nanofluid, polymer chains are attached to charged particle surfaces or polyelectrolyte chains are attached onto uncharged particle surfaces to form a steric barrier between nanoparticles to screen the interparticle van der Waals attraction [67,68]. Compared to electrostatic stabilization, steric stabilization has many advantages [64]:
(1) It is widely used in various dispersion systems as a thermodynamic stabilization method;
(2) It is applicable to high concentration of nanoparticles and it redisperses the temporarily aggregated particles;
(3) The dispersion is not sensitive to categories of electrolyte;
(4) It shows good compatibility for simultaneously dispersing hybrid particles within the same base fluid. SDS, a hydrophilic anionic surfactant with good penetration and dispersion, which has superior compatibility with anions and no-ions, was used in this study. The hybrid nanofluid of 0.1 wt % (mass ratio of GO and Al2O3 is 1:1), pH = 11, was ultrasonically dispersed for 90 min, and a different fraction of SDS was added. Figure 6 shows the state of the hybrid nanofluid.
Figure 6.
Photos of the hybrid nanofluid samples with 0.05 wt % (left side) and without (right side) SDS after: (a) 3 days and (b) 30 days.
It shows good compatibility for simultaneously dispersing hybrid particles within the same base fluid. SDS, a hydrophilic anionic surfactant with good penetration and dispersion, which has superior compatibility with anions and no-ions, was used in this study. The hybrid nanofluid of 0.1 wt % (mass ratio of GO and Al2O3 was 1:1), pH = 11, was ultrasonically dispersed for 90 min, and a different fraction of SDS was added. Figure 6 shows the state of the hybrid nanofluid samples with (left side) and without (right side) SDS after 3 and 30 days. It can be seen that after 30 days, the hybrid nanofluid without dispersant had more sediments and a faded color. In comparison, the hybrid nanofluid with dispersant SDS had neither obvious agglomeration nor color change. It is clearly shown that the SDS can keep the nanofluid stable for a relatively long time.
For quantitative analysis of the stability, the absorbance of the hybrid nanofluid was measured with time using the WGZ-2000 turbidity meter. At some intervals after preparation of the nanofluid, 4 mL of the upper layer of the nanofluid was taken and diluted three times with deionized water, and the absorbance was sequentially measured. The absorbance reduction ratio (ARR) was defined as:
A0 and An are the initial absorbance and the nth hour absorbance of each nanofluid, respectively. Figure 7 indicates the influence of different concentration of SDS on ARR. It was found that the nanofluid’s absorbance decreased rapidly (ARR increases) in the first four days, then decreased slowly after (slower ARR increase), as can be seen in Figure 7a. The stability of the hybrid nanofluid was improved greatly with the addition of proper amount of SDS. Moreover, the absorbance increased (ARR decreased) at first, then decreased (ARR increased) with the addition of the SDS fraction of above 1% as shown in Figure 7b. This is due to SDS being attached on the surface of nanoparticles to form double electric layers that increase the distance between nanoparticles, which in turn decrease the van der Waals attraction potential. The particles can be completely shielded by anti-ions with a suitable increase of SDS, and the two electric layers are in electrostatic equilibrium by repulsive force, which keep good stability of the nanofluid [68,69]. However, if the SDS amount surpasses the critical micelles concentration (CMC), surfactant monomers can join up together to form micelles via the hydrophilic group instead of attaching on the surface of nanoparticle. These strongly charged micelles could repel the charged nanoparticles and prompt nanoparticles to agglomerate [70,71,72].
Figure 7.
Relation between absorbance reduction ratio and time with different concentration of SDS.
3.1.3. Influence of Ultrasonic Power
The absorbance was measured at different ultrasonic power for the hybrid nanofluid sample and graphene oxide aqueous nanofluid, at pH = 11, 0.1% nanoparticle concentration, 1% SDS and ultrasonic dispersion of 120 min. The relation between ARR and ultrasonic power is shown in Figure 8 and Figure 9.
Figure 8.
Relation between absorbance reduction ratio of the hybrid nanofluid and ultrasonic power in 7 days.
Figure 9.
Relation between the absorbance reduction ratio of GO aqueous nanofluid and ultrasonic power in 7 days.
Figure 8a shows rapid decrease in hybrid nanofluid absorbance in the first four days, indicated by the rapid increase of ARR, and relatively stable absorbance afterwards. Moreover, the absorbance firstly increased, then decreased as ultrasonic power increased, as can be inferred from Figure 8b. The results indicate that the stability of the hybrid nanofluid reached optimum at 375 W of ultrasonic power, where the ARR was 17.16% lower than that at 450 W after 7 days. This is because the ultrasonic cavitation became stronger as ultrasonic power increased, which reduced the size of the nanoparticles and increased the spacing distance between the nanoparticles by the electrostatic and steric mechanism. The van der Waals attraction between nanoparticles is thus reduced, which hinders agglomeration and enhances the stability of the hybrid nanofluid. However, when the ultrasonic power is larger than the optimum value, it leads surfactant monomers to form micelles rather than attaching on the surface of nanoparticle. The intensity and frequency of nanoparticle collision increased greatly, and colliding nanoparticles generated larger agglomerates and precipitates.
For the GO nanofluid shown in Figure 9, the influence of ultrasonic power on the stability was consistent with the trend of the GO–Al2O3 hybrid nanofluids. Nevertheless, the ARR of the GO nanofluid was lower than that of the hybrid nanofluid, which means higher absorbance and better stability of GO nanofluid as compared to the stability of the hybrid nanofluid, which was slightly reduced with the addition of the alumina nanoparticles.
3.1.4. Influence of Ultrasonic Time
The absorbance was studied at different ultrasonic time for the hybrid nanofluid sample and graphene oxide aqueous nanofluid, at pH = 11, 0.1% nanoparticle concentration, 1% SDS and ultrasonic power of 375 W. The relationship between ARR and ultrasonic time is shown in Figure 10 and Figure 11.
Figure 10.
Relation between absorbance reduction ratio of the hybrid nanofluid and ultrasonic time in 7 days.
Figure 11.
Relationship between the absorbance reduction rate of the GO nanofluid and time.
It can be seen from Figure 10 that the trend of change in ARR with holding time and ultrasonic time was similar to that of ultrasonic power; a decrease in absorbance (ARR increases) in the first 4 days, and stable afterwards. From Figure 10b, it can be inferred that the stability of the hybrid nanofluid was optimal at 120 min of ultrasonic time, where the ARR was 29.65% lower than that at 30 min after 7 days. This is due to the fact that the ultrasonic cannot completely break the agglomerates when ultrasonic time is short. As the ultrasonic time increases, there is enough time to smash agglomerates into smaller nanoparticles, and the nanoparticles can maintain suitable spacing under the coaction of dispersants and ions in the nanofluid, so that the van der Waals force keeps balance with electrostatic repulsion. However, when the ultrasonic time is longer than the optimal value, similar to the influence of ultrasonic power, it produces surfactant micelles, and simultaneously increases the frequency of nanoparticle collision greatly, leading to agglomeration and precipitation. In comparison with ARR of the GO nanofluid shown in Figure 11, the ultrasonic time had a different influence on the graphene oxide nanofluid; the longer ultrasonic time the better the stability of the nanofluid, because the GO nanosheet was hydrophilic and had superior dispersion stability in water, so even longer ultrasonic time could not form large agglomerates and sediment.
3.1.5. Influence of Thermal Cycling
The absorbance was measured, as shown in Figure 12, with different numbers of thermal cycle of solidification and melting for the hybrid nanofluid sample at pH = 11, 0.1% nanoparticle concentration, 1% SDS, ultrasonic power 300 W and ultrasonic time of 120 min.
Figure 12.
Influence of thermal cycling on the absorbance of the hybrid nanofluid.
The absorbance of hybrid nanofluids decreased slightly before the 6th cycle, and stayed stable afterwards, with an overall decrease of 6.2% at the 10th cycle as compared with the initial absorbance. This is mainly because some aggregation and deposition occurred as the balance between the van der Waals attraction and electrostatic repulsion was broken by crystallization and melting. Nevertheless, the decrease in stability was slight, owing to the screen function of dispersants surrounding the nanoparticles.
3.2. Thermal Conductivity of the Hybrid Nanofluids
3.2.1. Reliability Verification
In order to verify the accuracy of the experimental system, the thermal conductivity of deionized water was measured from 0 to 70 °C. Experimental results shown in Figure 13 are compared with reference values [73]. The maximum error was 1.12%, which was used as experimental uncertainty shown in the corresponding figures. The enhancement in thermal conductivity and the uncertainty of thermal conductivity enhancement of the hybrid nanofluid are defined as in our previous work [54] by Equations (2) and (3) respectively:
where knf and kbf are the thermal conductivity of the nanofluid and base fluid, respectively.
Figure 13.
Comparison of experimental and reference values of the thermal conductivity of deionized water.
The uncertainty of the thermal conductivity enhancement of the nanofluids was calculated by
where and are uncertainty of knf and kbf, respectively.
3.2.2. Effect of Mass Fraction of the Nanoparticle
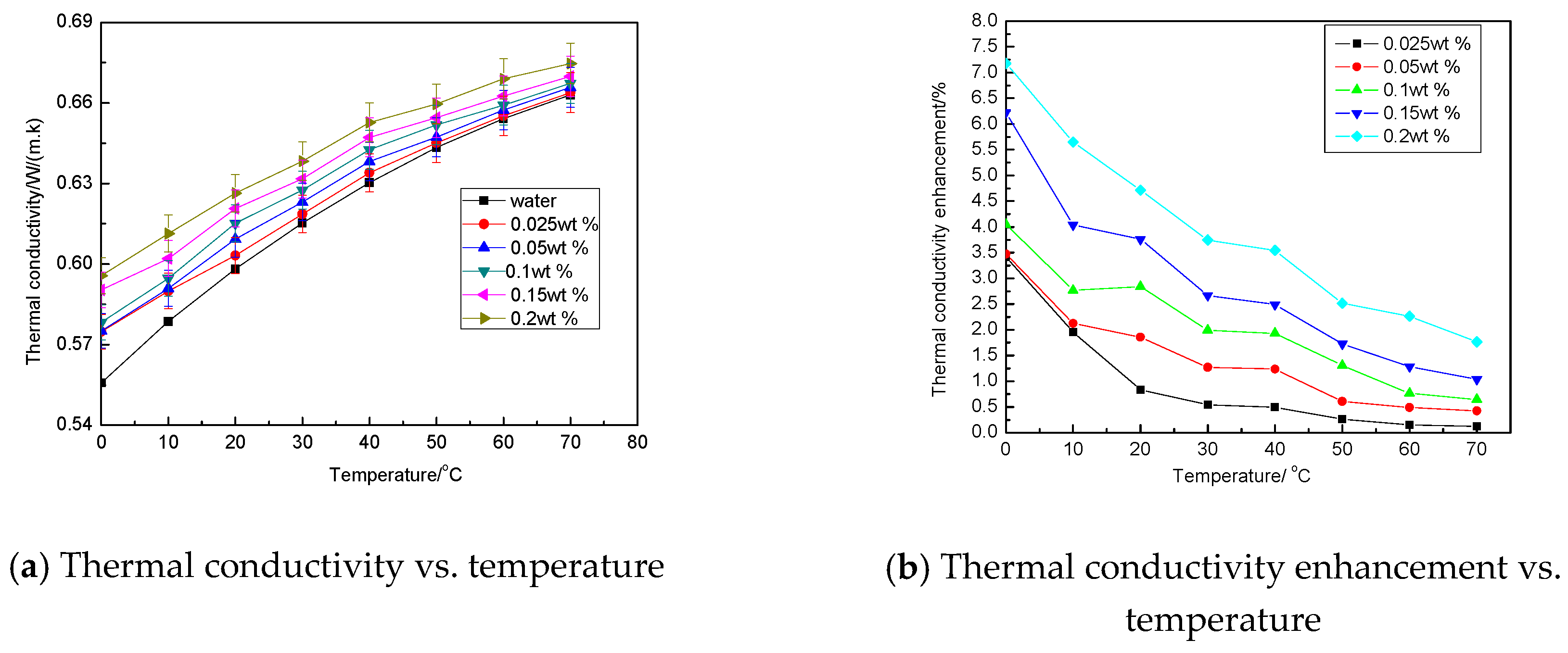
Figure 14 shows the influence of mass fraction of nanoparticle on thermal conductivity of the hybrid nanofluid. It indicates that the thermal conductivity of the hybrid nanofluid increased with the mass fraction of the nanoparticles in the range of 0–0.2%. Moreover, the influence of the mass fraction on thermal conductivity enhancement at a lower temperature was more significant than at a high temperature. At 0 °C, the thermal conductivity of 0.2 wt % hybrid nanofluids increased by 7.2% as compared to the base fluid, and the thermal conductivity enhancement of 0.2 wt % was about 2.1 times larger than that of 0.025 wt %. At a higher temperature, 70 °C, the thermal conductivity of 0.2 wt % hybrid nanofluid increased by 1.76% as compared to the base fluid, and the thermal conductivity enhancement was 14.7 times that of the 0.025 wt % hybrid nanofluid. It shows that the nanoparticle mass fraction had a significant influence on the thermal conductivity of the hybrid nanofluid, owing to the fact that thermal conductivities of GO and Al2O3 nanoparticles were larger than that of deionized water. The liquid molecules on the surface of the nanoparticles form ordered structure, which acts as a thermal bridge between the fluid and the solid particles, resulted in a higher thermal conductivity and enhanced energy transfer within the system. Meanwhile, Brownian motion of nanoparticles caused microconvection in the liquid, which enhanced the energy transfer.
Figure 14.
Influence of the mass fraction on thermal conductivity.
3.2.3. Effect of Temperature
Thermal conductivity of the hybrid nanofluid increased with temperature, as displayed in Figure 15, which was consistent with the trend of thermal conductivity of deionized water with temperature. Moreover, the thermal conductivity enhancement of the hybrid nanofluid decreased with increasing temperature. The thermal conductivity enhancement at 0 °C was 28.5 times that at 70 °C for 0.025 wt %, while the thermal conductivity enhancement at 0 °C was 4 times that at 70 °C for 0.2 wt %. This means that the influence of temperature on the thermal conductivity enhancement was more significant at a lower concentration, even though a higher concentration led to a higher thermal conductivity enhancement. This can be attributed to the fact that Brownian motion and thermal diffusion of nanoparticles increased as the temperature increased.
Figure 15.
Influence of temperature on thermal conductivity.
3.2.4. Comparison of Thermal Conductivity of GO Nanofluid with the Hybrid Nanofluid
The thermal conductivity of aqueous GO nanofluid is measured at the same mass fraction and temperature as the GO–Al2O3 hybrid nanofluid, as shown in Figure 16. It displays a similar trend and thermal conductivity values, suggesting the potential benefit for using less GO and reducing the cost of the hybrid nanofluid.
Figure 16.
Comparison of thermal conductivity of the GO nanofluid with the hybrid nanofluid.
3.2.5. Fitting of Thermal Conductivity of the Hybrid Nanofluid
There are many correlations for the thermal conductivity of hybrid nanofluids considering the influence of temperature and volume fraction of nanoparticles [23].
Mohammad et al. [74] proposed a formula as Equation (4) for thermal conductivity of DWCNT-ZnO/water-EG hybrid nanofluids,
where T is temperature in °C and is the volume fraction.
Arash et al. [75] used Equation (5) for thermal conductivity of multiwalled carbon nanotube (MWCNT)-Fe3O4/EG hybrid nanofluids:
Equation (6) was proposed by Masoud et al. [76] for thermal conductivity of MgO-f-MWCNT/EG at 25–50 °C, volume fraction of 0.05%–0.6%.
Hamid et al. [77] studied thermal conductivity of SiO2-TiO2 (60:40)/water and EG (60:40), and proposed a formula as Equation (7) for temperature range of 30 to 70 °C, volume fraction 0–3%.
Esfahani et al. [78] investigated thermal conductivity of ZnO-Ag/water from 25 to 50 °C, volume fraction 0.125%–2%, and proposed Equation (8).
Equation (9) is the Maxwell model [79], which was developed based on the thermal conductivity of solid suspensions in liquids. It is a base correlation to predict the thermal conductivity of nanofluids [5].
The Takebi model [80] provided correlations for the thermal conductivity of hybrid nanofluid shown in Equation (11), which should have extensive applicability because it is based on the principle of Maxwell model and mixture rule that
Then
The comparison between experimental data and calculated values using the Takebi model is shown in Figure 17. The values of properties of the nanomaterials used in Equation (11) are listed in Table 1. The intrinsic thermal conductivity of GO was different for various fabrication processes and measurement methods [81], but it had very little influence on the fitting results even for 1000–3000 W/(m·K) using Equation (11) due to the low concentration of nanoparticles. Figure 17 shows that the relative error was larger at a lower temperature, with a maximum relative error of 6.5%.
Figure 17.
Comparison of calculated and experimental values of thermal conductivity coefficient model.
Table 1.
Nanomaterials properties.
Regression Equation (12) was obtained considering the influence of temperature and mass fraction.
where is the mass fraction, from 0.025% to 0.2%; T is the temperature in °C, ranging from 0 to 70 °C and a, b, c, d, e and g are the parameters fitted by experiment data, as shown in Table 2. The relationship between volume fraction and mass fraction of the particles can be obtained according to the following equation:
where and are the density of the base fluid and density of the nanoparticle, respectively.
Table 2.
Parameters used in regression Equation (12).
Figure 18 displays the fitted values calculated by the regression Equation (12) and experimental data. The maximum relative error was 0.5% and R-square was 0.996. Compared with the Takebi model [80] for thermal conductivity of hybrid nanofluids, Equation (12) can provide a more accurate prediction for the thermal conductivity of water-based GO–Al2O3 hybrid nanofluids, but it cannot reflect any mechanisms that explain the reason behind thermal conductivity enhancement.
Figure 18.
Comparison of fitted values and experimental data.
3.2.6. Mechanism Model of Thermal Conductivity of the Hybrid Nanofluid
Many researchers found [54,83] that suspended nanoparticles enhance the energy transfer of nanofluids in two ways: the first is static effective thermal conductivity, which can be modeled according to the effective medium theory [84]; the second is the stochastic motions of the nanoparticles and the interfacial interactions between particles and the liquid molecules. Assuming that the two mechanisms can be separated, the total effective heat transfer in the nanofluidic suspension can be written as follows [85]:
Al2O3 is a spherical particle, thus, its static thermal conductivity can be established by the H-C model [86], which introduces the influence of particle shape on thermal conductivity. The model is as follows:
where n is an empirical shape factor, and n is 3 for spherical particles. is the effective thermal conductivity of the Al2O3 nanofluid.
Considering the effect of thickness t, length L, interfacial thermal resistance Rk and average flatness ratio η, the effective thermal conductivity of the GO nanofluid, , was calculated as Equation (16) [54,87]:
For the enhancement of thermal conductivity by random motion of nanoparticles, especially in lower viscosity liquid, Equation (17) was employed by Xuan et al. [88] considering the effects of viscosity, temperature and properties of nanoparticles on thermal conductivity.
ρnp and Cp,np are the density and specific thermal capacity of nanoparticles, respectively, μ is the viscosity of the base fluid, kB is the Boltzmann constant, T is the Kelvin temperature and rc is the mean radius of gyration of the cluster. For spherical Al2O3 nanoparticles, rc is the radius. For the GO nanosheet, as in our previous study [54], rc is approximated to half of the equivalent diameter of the nanosheet.
Non-spherical particles volume vnon-sph can be deemed as theoretical spherical particles that have the same volumes as the non-spherical particles [89].
Combining the influence of static thermal conductivity and Brownian motion of the hybrid nanofluid, a new thermal conductivity model of the Al2O3-GO hybrid nanofluid, was developed as Equation (19):
where is the volume fraction of Al2O3 nanoparticle in the total hybrid nanoparticles. Subscript 1 and 2 are for Al2O3 and GO, respectively. The exact values for L, t, η and Rk are fitted based on the experimental data. According to our previous research work [54], the range of L, t, η and Rk can be determined as: L ∊ (8 × 10−6, 6 × 10−5), t ∊ (1.6 × 10−9, 6 × 10−8), η ∊ (0.2, 0.8) and Rk ∊ (1 × 10−10, 1 × 10−6). The fitting results are shown in Table 3 when R-square was at the maximum with 95% confidence bounds. Moreover, L was approximately 20 μm according to SEM, t was about 5 nm as reported by the supplier. The values of the four parameters could be determined as L = 2.167 × 10−5 m, t = 6.312 × 10−9 m, η = 0.3211 and Rk = 3.113 × 10−9 m2Kw−1.
Table 3.
The fitting values of η, Rk, L, t and R-square.
It is demonstrated that Rk of the GO–Al2O3 aqueous hybrid nanofluid was less than 1.5 × 10−8 m2kw−1 of graphene and water interfacial thermal resistance [54]. This is because GO had better hydrophilicity and better wettability at the solid–liquid interface, which led to a lower interfacial thermal resistance. On the other hand, the interaction between the GO nanosheet and Al2O3 nanoparticles might change the properties of the interface and reduce the interfacial thermal resistance. Figure 19 compares the calculated results using the new model with the experimental data; the average error was 0.18%, and the maximum deviation was 3.8% at 0 °C. The main reason is that the model underestimates the influence of Brownian motion at a lower temperature, as many researchers [83] found the temperature dependence of this model () is still small and presents little agreement with several experimental studies, which means that the impact of Brownian motion is greater than that obtained in this work.
Figure 19.
Comparison of new hybrid model values and experimental data.
3.3. Thermal Conductivity of Ice Containing the Hybrid Nanoparticles
The thermal conductivity of ice mixed with the hybrid nanoparticles may be different from that of pure ice. The thermal conductivity enhancement of the ice as functions of temperature and the mass fraction of hybrid nanoparticles is shown in Figure 20, and the standard thermal conductivity of ice refers to [90]. The thermal conductivity enhancement of ice follows a different behavior in comparison with that of the hybrid nanofluids. It seems that the low mass fraction of hybrid nanoparticles can enhance the thermal conductivity with an enhancement increase of about 8% at 0.025%, −10 °C. This is probably because the addition of hybrid nanoparticles changes the collective vibrations of atoms in the crystal lattice, and affects the transfer of phonons. However, only three plots were achieved at each temperature because of the influence of coronavirus, further research should be carried out to give more definite relations between mass fraction and the thermal conductivity enhancement.
Figure 20.
Influence of temperature and mass fraction of hybrid nanoparticles on the thermal conductivity enhancement of ice mixing with the hybrid nanoparticles.
4. Conclusions
Aqueous GO–Al2O3 hybrid nanofluids used in thermal ice storage were prepared and characterized. The influences of pH, dispersant, ultrasonic power and ultrasonic time on the stability of hybrid nanofluids were quantitatively analyzed. The thermal conductivities of the hybrid nanofluids were measured and correlated with temperature and concentration. Thermal conductivity of ice containing the hybrid nanoparticles was tested. A new model for the effective thermal conductivity of the hybrid nanofluids considering the structure and Brownian motion was proposed. The key results of this study were as follows:
(1) The optimal conditions for stability of the aqueous GO–Al2O3 hybrid nanofluids (mass fraction of GO: Al2O3 = 1:1) were: pH = 11, 1% SDS, ultrasonic power of 375 W and ultrasonication time of 120 min.
(2) With the increase in temperature and the mass fraction of the nanoparticles, thermal conductivity of the hybrid nanofluid increased. The influence of mass fraction on the thermal conductivity enhancement at a lower temperature was greater than that at a high temperature. At 0 °C, the thermal conductivity of 0.2 wt % hybrid nanofluids increased by 7.1% as compared to that of the base fluid, which means that this hybrid nanofluid had a potential advantage to enhance heat transfer performance.
(3) The nanoparticle mass fraction had a significant influence on the thermal conductivity of the hybrid nanofluid. The influence of temperature on thermal conductivity enhancement at a lower concentration was larger, even though at a higher concentration there was greater thermal conductivity enhancement.
(4) Comparison of thermal conductivity of the GO nanofluid with the hybrid nanofluid displays similar thermal conductivity. Using less GO in the hybrid nanofluid could reduce the cost of the hybrid nanofluid. Moreover, a low mass fraction of hybrid nanoparticles could enhance the thermal conductivity of ice.
(5) The correlation generated for thermal conductivity of the hybrid nanofluid provided an accurate prediction of the thermal conductivity of water-based GO–Al2O3 hybrid nanofluids. The new model for thermal conductivity of hybrid nanofluid shows the influence of thickness, length, flat rate and the interface thermal resistance of the graphene oxide, particle radius of Al2O3, fluid viscosity, temperature and Brownian motion. Results presented in this study gave a better understanding of the influence of various important factors on the enhancement of thermal conductivity of hybrid nanofluids.
Author Contributions
Y.G., A.P.S. and A.S.M. conceived and designed the experiments; J.A., Y.X. and J.L. performed the experiments; Y.G., J.A., Y.X. and J.L. analyzed the data; Y.G., Z.Y., L.W., A.P.S. and A.S.M. wrote and revised the paper. All authors have read and agreed to the published version of the manuscript.
Funding
This study was supported by National Natural Science Foundation of China (51306060); Key Research and Development and Promotion Project in Henan province -Science and Technology (International Cooperation) (182102410087); Innovative Research Team (in Science and Technology) in University of Henan Province (19IRTSTHN011); Special Support Plan for High-level Talents of Henan Province-“ZHONGYUAN Thousand Talent Program” (ZYQR201810075).
Acknowledgments
Y. G. G. acknowledges Mine Multiphysics research group at the Department of Mining and Materials Engineering, McGill University, Montreal, Quebec Canada.
Conflicts of Interest
The authors declare no conflict of interest.
Nomenclature
| A0 | initial absorbance |
| An | nth hour absorbance |
| ARR | absorbance reduction ratio |
| Cp | specific thermal capacity |
| equivalent diameter | |
| k | thermal conductivity |
| kB | Boltzmann constant |
| L | length |
| n | empirical shape factor |
| T | temperature |
| t | thickness |
| RK | interfacial thermal resistance |
| rc | mean radius of gyration of the cluster |
| vnon-sph | non-spherical particles volume |
Greek Symbols
| η | average flatness ratio |
| μ | viscosity of base fluid |
| ρ | density |
| σ | uncertainty |
| volume fraction | |
| mass fraction |
Subscripts
| Brown | Brownian motion |
| bf | base fluid |
| E | enhancement |
| EMT | effective medium theory |
| eff | effective |
| hnf | hybrid nanofluid |
| nf | nanofluid |
| np1 | No.1 nanoparticle |
| np2 | No.2 nanoparticle |
| p | particle |
References
- Siddhartha, B.M. Ice based energy storage integration with solar PV power plants for cooling energy. J. CPRI 2016, 12, 297–316. [Google Scholar]
- Li, S.-F.; Liu, Z.-H.; Wang, X.-J. A comprehensive review on positive cold energy storage technologies and applications in air conditioning with phase change materials. Appl. Energy 2019, 255, 113667. [Google Scholar] [CrossRef]
- Philip, N.; Dheep, G.R.; Sreekumar, A. Cold thermal energy storage with lauryl alcohol and cetyl alcohol eutectic mixture: Thermophysical studies and experimental investigation. J. Energy Storage 2020, 27, 101060. [Google Scholar] [CrossRef]
- Liu, Y.; Gao, Y.; Wang, J.; Geng, S.; Su, C.; Peng, Q. Nucleation mechanism of nanofluid drops under acoustic levitation. Appl. Therm. Eng. 2018, 130, 40–48. [Google Scholar]
- Tayyab, R.S.; Hafiz, M.A. Applications of hybrid nanofluids in solar energy, practical limitations and challenges: A critical review. Sol. Energy 2019, 183, 173–203. [Google Scholar]
- Radzi, A.R.; Nor, A.C.; Syahrullail, S. Recent progress on concentrating direct absorption solar collector using nanofluids. J. Therm. Anal. Calorim. 2019, 137, 903–922. [Google Scholar]
- He, Y.; Hu, Y.; Li, H. An Ag@TiO2/ethylene glycol/water solution as a nanofluid-based beam splitter for photovoltaic/thermal applications in cold regions. Energy Convers. Manag. 2019, 198, 111838. [Google Scholar] [CrossRef]
- Evangelos, B.; Christos, T.; Nikolaos, N. Nanofluid-Based hybrid PV. Energy Convers. Manag. 2019, 198, 111831. [Google Scholar]
- Seyed, R.M.; Meysam, K.; Ehsan, E.B.; David, W. Coupled thermal-optical numerical modeling of PV/T module-Combining CFD approach and two-band radiation DO model. Energy Convers. Manag. 2019, 198, 111781. [Google Scholar]
- Mohammad, H.; Ali, S.; Mohammad, S.; Mohammad, P.F. Optimization and parametric analysis of a nanofluid based photovoltaic thermal system: 3D numerical model with experimental validation. Energy Convers. Manag. 2018, 160, 93–108. [Google Scholar]
- Omar, Z.S.; Ashraf, N.A.; Dimitrios, C.K.; Eiyad, A.N. Four-Way coupling of particle-wall and colloidal particle-particle interactions in direct absorption solar collectors. Energy Convers. Manag. 2019, 195, 7–20. [Google Scholar]
- Shi, L.; He, Y.; Wang, X.; Hu, Y. Recyclable photo-thermal conversion and purification systems via Fe3O4@TiO2 nanoparticles. Energy Convers. Manag. 2018, 171, 272–278. [Google Scholar] [CrossRef]
- Carlos, C.; Diego, V.; Carolina, A.; Patricio, A.B.; José, C.; Humberto, P. About the relevance of particle shape and graphene oxide on the behavior of direct absorption solar collectors using metal based nanofluids under different radiation intensities. Energy Convers. Manag. 2019, 181, 247–257. [Google Scholar]
- Nazir, H.; Batool, M.; Osorio, F.J.B.; Isaza-Ruiz, M.; Xu, X.; Vignarooban, K.; Phelan, P.; Inamuddin; Kannan, A.N.M. Recent developments in phase change materials for energy storage applications: A review. Int. J. Heat Mass Transf. 2019, 129, 491–523. [Google Scholar] [CrossRef]
- Abdelrazik, A.S.; Al-Sulaiman, F.A.; Saidur, R.; Ben-Mansour, R. Evaluation of the effects of optical filtration and nanoPCM on the performance of a hybrid photovoltaic-thermal solar collector. Energy Convers. Manag. 2019, 195, 139–156. [Google Scholar] [CrossRef]
- Mehdi, B.; Saeed, H. Electronics cooling with nanofluids: A critical review. Energy Convers. Manag. 2018, 172, 438–456. [Google Scholar]
- Rodrigues, C.; Dias, M.M.; Martins, L.; Silva, D.J.; Araújo, J.P.; Oliveira, J.C.; Pereira, A.M.; Ventura, J. A magnetically-activated thermal switch without moving parts. Energy Convers. Manag. 2019, 197, 111881. [Google Scholar] [CrossRef]
- Ibai, M.; Steven, R.; Sébastien, P.; Jonathan, B.; Hakim, N. Exergy Analysis of a Parallel-Plate Active Magnetic Regenerator with Nanofluids. Entropy 2017, 19, 464. [Google Scholar]
- Manzoore, E.M.S.; Nik-Nazri, N.G.; Kalam, M.A.; Badruddin, I.A.; Banapurmath, N.R.; Naveed, A. The effect of nano-additives in diesel-biodiesel fuel blends: A comprehensive review on stability, engine performance and emission characteristics. Energy Convers. Manag. 2018, 178, 146–177. [Google Scholar] [CrossRef]
- Örs, I.; Sarıkoç, S.; Atabani, A.E.; Ünalan, S.; Akansu, S.O. The effects on performance, combustion and emission characteristics of DICI engine fuelled with TiO2 nanoparticles addition in diesel/biodiesel/n-butanol blends. Fuel 2018, 234, 177–188. [Google Scholar] [CrossRef]
- Karimi, A.; Afrand, M.J. Numerical study on thermal performance of an air-cooled heat exchanger: Effects of hybrid nanofluid, pipe arrangement and cross section. Energy Convers. Manag. 2018, 164, 615–628. [Google Scholar] [CrossRef]
- Hooman, Y.; Nurin, W.B.; Samira, G.; Seyed, F.S.S.; Abdullah, A.A.; Mohamad, A.B.A. Convective heat transfer enhancement with graphene nanoplatelet/platinum hybrid nanofluid. Int. Commun. Heat Mass Transf. 2017, 88, 120–125. [Google Scholar]
- Gupta, M.; Singh, V.; Kumar, S.; Kumar, S.; Dilbaghi, N.; Said, Z. Up to date review on the synthesis and thermophysical properties of hybrid nanofluids. J. Clean. Prod. 2018, 190, 169–192. [Google Scholar] [CrossRef]
- Hajatzadeh Pordanjani, A.; Aghaklani, S.; Afrand, M.; Mahmoudi, B.; Mahian, O.; Wongwises, S. An updated review on application of nanofluids in heat exchangers for saving energy. Energy Convers. Manag. 2019, 198, 111886. [Google Scholar] [CrossRef]
- Babu, J.R.; Kumar, K.K.; Rao, S.S. State-Of-Art review on hybrid nanofluids. Renew. Sustain. Energy Rev. 2017, 77, 551–565. [Google Scholar] [CrossRef]
- Sarkar, J.; Ghosh, P.; Adil, A. A review on hybrid nanofluids: Recent research, development and applications. Renew. Sustain. Energy Rev. 2015, 43, 164–177. [Google Scholar] [CrossRef]
- Sidik, N.A.C.; Adamu, I.M.; Jamil, M.M.; Kefayati, G.; Mamat, R.; Najafi, G. Recent progress on hybrid nanofluids in heat transfer applications: A comprehensive review. Int. Commun. Heat Mass Transf. 2016, 78, 68–79. [Google Scholar] [CrossRef]
- Ramezanizadeh, M.; Nazari, M.A.; Ahmadi, M.A.; Lorenzini, G.; Pop, I. A review on the applications of intelligence methods in predicting thermal conductivity of nanofluids. J. Therm. Anal. Calorim. 2019, 138, 827–843. [Google Scholar] [CrossRef]
- Minea, A.A.; El-Maghlany, W.M. Influence of hybrid nanofluids on the performance of parabolic trough collectors in solar thermal systems: Recent findings and numerical comparison. Renew. Energy 2018, 120, 350–364. [Google Scholar] [CrossRef]
- Sidik, N.A.C.; Jamil, M.M.; Japar, W.M.A.A.; Adamu, I.M. A review on preparation methods, stability and applications of hybrid nanofluids. Renew. Sustain. Energy Rev. 2017, 80, 1112–1122. [Google Scholar] [CrossRef]
- Sundar, L.S.; Sharma, K.V.; Singh, M.K.; Sousa, A. Hybrid nanofluids preparation, thermal properties, heat transfer and friction factor—A review. Renew. Sustain. Energy Rev. 2017, 68, 185–198. [Google Scholar] [CrossRef]
- Sajid, M.U.; Ali, H.M. Thermal conductivity of hybrid nanofluids: A critical review. Int. J. Heat Mass Transf. 2018, 126, 211–234. [Google Scholar] [CrossRef]
- Babar, H.; Sajid, M.U.; Ali, H.M. Viscosity of hybrid nanofluids: A critical review. Therm. Sci. 2019, 23, 1713–1754. [Google Scholar] [CrossRef]
- Sezer, N.; Atieh, M.A.; Koç, M. A comprehensive review on synthesis, stability, thermophysical properties, and characterization of nanofluids. Powder Technol. 2019, 344, 404–431. [Google Scholar] [CrossRef]
- Choi, C.; Yoo, H.S.; Oh, J.M. Preparation and heat transfer properties of nanoparticle-in-transformer oil dispersions as advanced energy-efficient coolants. Curr. Appl. Phys. 2008, 8, 710–712. [Google Scholar] [CrossRef]
- Ijam, A.; Saidur, R.; Ganesan, P.; Golsheikh, A.M. Stability, thermo-physical properties, and electrical conductivity of graphene oxide-deionized water/ethylene glycol based nanofluid. Int. J. Heat Mass Transf. 2015, 87, 92–103. [Google Scholar] [CrossRef]
- Zhang, H.Y.; Wang, S.X.; Lin, Y.X.; Feng, M.; Wu, Q. Stability, thermal conductivity, and rheological properties of controlled reduced graphene oxide dispersed nanofluids. Appl. Therm. Eng. 2017, 119, 132–139. [Google Scholar] [CrossRef]
- Jing, F.; Yixin, L.; Pengjv, M.; Yongkun, G.; Shichao, G.; Bing, C.; Junkun, T.; Liu, Y. Supercooling and heterogeneous nucleation in acoustically levitated deionized water and graphene oxide nanofluids droplets. Exp. Therm. Fluid Sci. 2019, 103, 143–148. [Google Scholar] [CrossRef]
- Esfahani, M.R.; Languri, E.M.; Nunna, M.R. Effect of particle size and viscosity on thermal conductivity enhancement of graphene oxide nanofluid. Int. Commun. Heat Mass Transf. 2016, 76, 308–315. [Google Scholar] [CrossRef]
- Mohammad, A.N.; Roghayeh, G.; Mohammad, H.A. Experimental investigation of graphene oxide nanofluid on heat transfer enhancement of pulsating heat pipe. Int. Commun. Heat Mass 2018, 91, 90–94. [Google Scholar]
- Bahiraei, M.; Heshmatian, S. Graphene family nanofluids: A critical review and future research directions. Energy Convers. Manag. 2019, 196, 1222–1256. [Google Scholar] [CrossRef]
- Agarwal, R.; Verma, K.; Agrawal, N.K.; Singh, R. Sensitivity of thermal conductivity for Al2O3 nanofluids. Exp. Therm. Fluid Sci. 2017, 80, 19–26. [Google Scholar] [CrossRef]
- Kumar, N.; Sonawane, S.S.; Sonawane, S.H. Experimental study of thermal conductivity, heat transfer and friction factor of Al2O3 based nanofluid. Int. Commun. Heat Mass Transf. 2018, 90, 1–10. [Google Scholar] [CrossRef]
- Xie, Y.D.; Kocaefe, D.; Kocaefe, Y.; Cheng, J.; Liu, W. The Effect of Novel Synthetic Methods and Parameters Control on Morphology of Nano-alumina Particles. Nanoscale Res. Lett. 2016, 11, 259. [Google Scholar] [CrossRef] [PubMed]
- Mahmudul, H.A.; Sedong, K.; Junhyo, K.; Jungpil, N.; Sunchul, H.; Byeongkeun, C.; Hanshik, C.; Hyomin, J. Forced Convective Heat Transfer of Aqueous Al2O3 Nanofluid Through Shell and Tube Heat Exchanger. J. Nanosci. Nanotechnol. 2018, 18, 1730–1740. [Google Scholar]
- Charab, A.A.; Movahedirad, S.; Norouzbeigi, R. Thermal conductivity of Al2O3 + TiO2/water nanofluid: Model development and experimental validation. Appl. Therm. Eng. 2017, 119, 42–51. [Google Scholar] [CrossRef]
- Abdullah, M.; Malik, S.R.; Iqbal, M.H.; Sajid, M.M.; Shad, N.A.; Hussain, S.Z.; Razzaq, W.; Javed, Y. Sedimentation and Stabilization of Nano-Fluids with Dispersant. Colloid Surf. A 2018, 554, 86–92. [Google Scholar] [CrossRef]
- Said, Z.; Saidur, R.; Rahim, N.A. Energy and exergy analysis of a flat plate solar collector using different sizes of aluminium oxide based nanofluid. J. Clean. Prod. 2016, 133, 518–530. [Google Scholar] [CrossRef]
- Saleemi, M.; Vanapalli, S.; Nikkam, N.; Toprak, M.S.; Muhammed, M. Classical behavior of alumina (Al2O3) nanofluids in antifrogen N with experimental evidence. J. Nanomater. 2015, 2015, 1–6. [Google Scholar] [CrossRef]
- Ezzat, A.W.; Hassan, I.M. Investigation of Alumina Nano Fluid Thermal Conductivity. Int. J. Comput. Appl. 2014, 102, 15–23. [Google Scholar] [CrossRef]
- Issa, R.J. Effect of nanoparticles size and concentration on thermal and rheological properties of Al2O3-water nanofluids. In Proceedings of the World Congress on Momentum, Prague, Czech Republic, 4–5 April 2016; pp. 1–7. [Google Scholar]
- Cui, W.; Jia, L.S.; Chen, Y.; Li, Y.; Li, J.; Mo, S. Supercooling of Water Controlled by Nanoparticles and Ultrasound. Nanoscale Res. Lett. 2018, 13, 145. [Google Scholar] [CrossRef] [PubMed]
- Gao, Y.G.; Xi, Y.; Zhenzhong, Y.; Sasmito, A.P.; Mujumdar, A.S.; Wang, L. Experimental investigation of specific heat of aqueous graphene oxide Al2O3 hybrid nanofluid. Therm. Sci. 2019, 381. [Google Scholar] [CrossRef]
- Gao, Y.G.; Wang, H.C.; Sasmito, A.P.; Mujumdar, A.S. Measurement and modeling of thermal conductivity of graphene nanoplatelet water and ethylene glycol base nanofluids. Int. J. Heat Mass Transf. 2018, 123, 97–109. [Google Scholar] [CrossRef]
- Marsha, A.P.; Philip, R.C. Thermal conductivity measurements of particulate materials. J. Geophys. Res. 1997, 102, 6535–6549. [Google Scholar]
- Klarsfield, S.; Maglic, E.K. Compendium of Thermophysical Properties Measurement Methods; Springer: Berlin/Heidelberg, Germany, 1984. [Google Scholar]
- Nagamani, G.; Raghavendra, R.K. Design and development of embedded system for the measurement of thermal conductivity of liquids by transient hot wire method. Sens. Transducers J. 2011, 129, 42–56. [Google Scholar]
- Zhang, Y.; Liu, L.; Li, K.L.; Hou, D.; Wang, J. Enhancement of energy utilization using nanofluid in solar powered membrane distillation. Chemosphere 2018, 212, 554–562. [Google Scholar] [CrossRef]
- Zeng, J.; Xuan, Y.M. Enhanced solar thermal conversion and thermal conduction of MWCNTSiO2/Ag binary nanofluids. Appl. Energy 2018, 212, 809–819. [Google Scholar] [CrossRef]
- Wang, W.J.; Zhang, X.; Xin, C.Y.; Rao, Z. An experimental study on thermal management of lithium ion battery packs using an improved passive method. Appl. Therm. Eng. 2018, 134, 163–170. [Google Scholar] [CrossRef]
- Parveen, N.; Ansari, S.A.; Ansari, M.O.; Singh, A. Manganese dioxide nanorods intercalated reduced graphene oxide nanocomposite toward high performance electrochemical supercapacitive electrode materials. J. Colloid Interface Sci. 2017, 506, 613–619. [Google Scholar] [CrossRef]
- Johra, F.T.; Lee, J.-W.; Jung, W.-G. Facile and safe graphene preparation on solution based platform. J. Ind. Eng. Chem. 2014, 20, 2883–2887. [Google Scholar] [CrossRef]
- Li, Z.; Wu, K.Y.; Cao, J.; Wang, Y. Controlled synthesis of α-Al2O3 via the hydrothermal-pyrolysis method. IOP Conf. Ser. Mater. Sci. Eng. 2017, 207, 12004. [Google Scholar] [CrossRef]
- Fan, Y. Dispersion stability of thermal nanofluids (review). Prog. Nat. Sci. Mater. 2017, 27, 531–542. [Google Scholar]
- Zhang, K. Preparation, Characterization and Applications of Functionality Inorganics/Organics Composite Particles. Ph.D. Thesis, Sichuan University, Chengdu, China, 2005. [Google Scholar]
- Wang, X.J.; Zhu, D.S.; Li, X.F. Effects of pH on stability and thermal conductivity of Al2O3-H2O nanonuids. J. Funct. Mater. 2007, 38, 3140–3143. [Google Scholar]
- Somasundaran, P.; Markovic, B.; Krishnakumar, S.; Yu, X. Handbook of Surface and Colloid Chemistry; CRC Press: Boca Raton, FL, USA, 1997. [Google Scholar]
- Russel, W.B.; Saville, D.A.; Schowalter, W.R. Colloidal Dispersions; Cambridge University Press: Cambridge, UK, 1989. [Google Scholar]
- Bao, C.C.; Pi, Z.B. Effect of surfactant on stability of CdSSe-H2O nanofluids. Chem. Eng. Equip. 2012, 7, 32–36. [Google Scholar]
- Al-Anssari, S.; Arif, M.; Wang, S.; Barifcani, A.; Iglauer, S. Stabilising nanofluids in saline environments. J. Colloid Interface Sci. 2017, 508, 222–229. [Google Scholar] [CrossRef]
- Iglesias, G.R.; Wächter, W.; Ahualli, S.; Glatter, O. Interactions between large colloids and surfactants. Soft Matter 2011, 7, 4619. [Google Scholar] [CrossRef]
- Tadros, T.F. Applied Surfactants: Principles and Applications; Wiley-Vch: Weinheim, Germany, 2006. [Google Scholar]
- American Society of Heating, Refrigerating and Air-Conditioning Engineers. ASHRAE Handbook Fundamentals; American Society of Heating, Refrigerating and Air-Conditioning Engineers: Peachtree Corners, GA, USA, 2001. [Google Scholar]
- Esfe, M.H.; Yan, W.-M.; Akbari, M.; Karimipour, A.; Hassani, M. Experimental study on thermal conductivity of DWCNT-ZnO/water-EG nanofluids. Int. Commun. Heat Mass Transf. 2015, 68, 248–251. [Google Scholar] [CrossRef]
- Harandi, S.S.; Karimipour, A.; Afrand, M. An experimental study on thermal conductivity of f-MWCNTs-Fe3O4/EG hybrid nanofluid: Effects of temperature and concentration. Int. Commun. Heat Mass 2016, 76, 171–177. [Google Scholar] [CrossRef]
- Afrand, M. Experimental study on thermal conductivity of ethylene glycol containing hybrid nano-additives and development of a new correlation. Appl. Therm. Eng. 2017, 110, 1111–1119. [Google Scholar] [CrossRef]
- Hamid, K.A.; Azmi, W.H.; Nabil, M.F.; Mamat, R. Improved thermal conductivity of TiO2-SiO2 hybrid nanofluid in ethylene glycol and water mixture. IOP Conf. Ser. Mater. Sci. Eng. 2017, 257, 12067. [Google Scholar] [CrossRef]
- Esfahani, N.N.; Toghraie, D.; Afrand, M. A new correlation for predicting the thermal conductivity of ZnO-Ag (50%–50%)/water hybrid nanofluid: An experimental study. Powder Technol. 2018, 323, 367–373. [Google Scholar] [CrossRef]
- Maxwell, J.C. A TREATISE on Electricity and Magnetism; Clarendon Press (Oxford): Cambridge, UK, 1873; Volume 1. [Google Scholar]
- Takabi, B.; Salehi, S. Augmentation of the Heat Transfer Performance of a Sinusoidal Corrugated Enclosure by Employing Hybrid Nanofluid. Adv. Mech. Eng. 2014, 6, 147059. [Google Scholar] [CrossRef]
- Khan, M.F.S.; Alexander, A.B. Thermal properties of graphene and multilayer graphene: Applications in thermal interface materials. Solid State Commun. 2012, 152, 1331–1340. [Google Scholar]
- Im, H.; Kim, J. Thermal conductivity of a graphene oxide-carbon nanotube hybrid/epoxy composite. Carbon 2012, 50, 5429–5440. [Google Scholar] [CrossRef]
- Wang, X.-Q.; Mujumdar, A.S. Heat transfer characteristics of nanofluids: A review. Int. J. Therm. Sci. 2007, 46, 1–19. [Google Scholar] [CrossRef]
- Nan, C.-W. Physics of inhomogeneous inorganic materials. Prog. Mater. Sci. 1993, 37, 1–116. [Google Scholar] [CrossRef]
- Xuan, Y.M. An overview on nanofluids and applications. Sci. Sin. Technol. 2014, 44, 269–279. [Google Scholar] [CrossRef]
- Hamilton, R.L.; Crosser, O. Thermal Conductivity of Heterogeneous Two-Component Systems. Ind. Eng. Chem. Fundam. 1962, 1, 187–191. [Google Scholar] [CrossRef]
- Chu, K.; Li, W.-S.; Tang, F.-L. Flatness-Dependent thermal conductivity of graphene-based composites. Phys. Lett. A 2013, 377, 910–914. [Google Scholar] [CrossRef]
- Xuan, Y.M.; Li, Q.; Hu, W. Aggregation structure and thermal conductivity of nanofluids. AIChE J. 2003, 49, 1038–1043. [Google Scholar] [CrossRef]
- Shukla, K.N.; Koller, T.M.; Rausch, M.H.; Fröba, A.P. Effective thermal conductivity of nanofluids—A new model taking into consideration Brownian motion. Int. J. Heat Mass Transf. 2016, 99, 532–540. [Google Scholar] [CrossRef]
- Waite, W.F.; Gilbert, L.Y.; Winters, W.J.; Mason, D.H. Estimating thermal diffusivity and specific heat from needle probe thermal conductivity data. Rev. Sci. Instrum. 2006, 77, 044904. [Google Scholar] [CrossRef]
© 2020 by the authors. Licensee MDPI, Basel, Switzerland. This article is an open access article distributed under the terms and conditions of the Creative Commons Attribution (CC BY) license (http://creativecommons.org/licenses/by/4.0/).



















