Numerical Modeling of Particles Separation Method Based on Compound Electric Field
Abstract
1. Introduction
2. Atmospheric Particulate Matter Separation Principle
3. Dynamic Model Based on Composite Electric Field Separation Method
4. Results and Discussion
4.1. Dynamic Response of Different Electric Field Intensity in the Accelerating Region
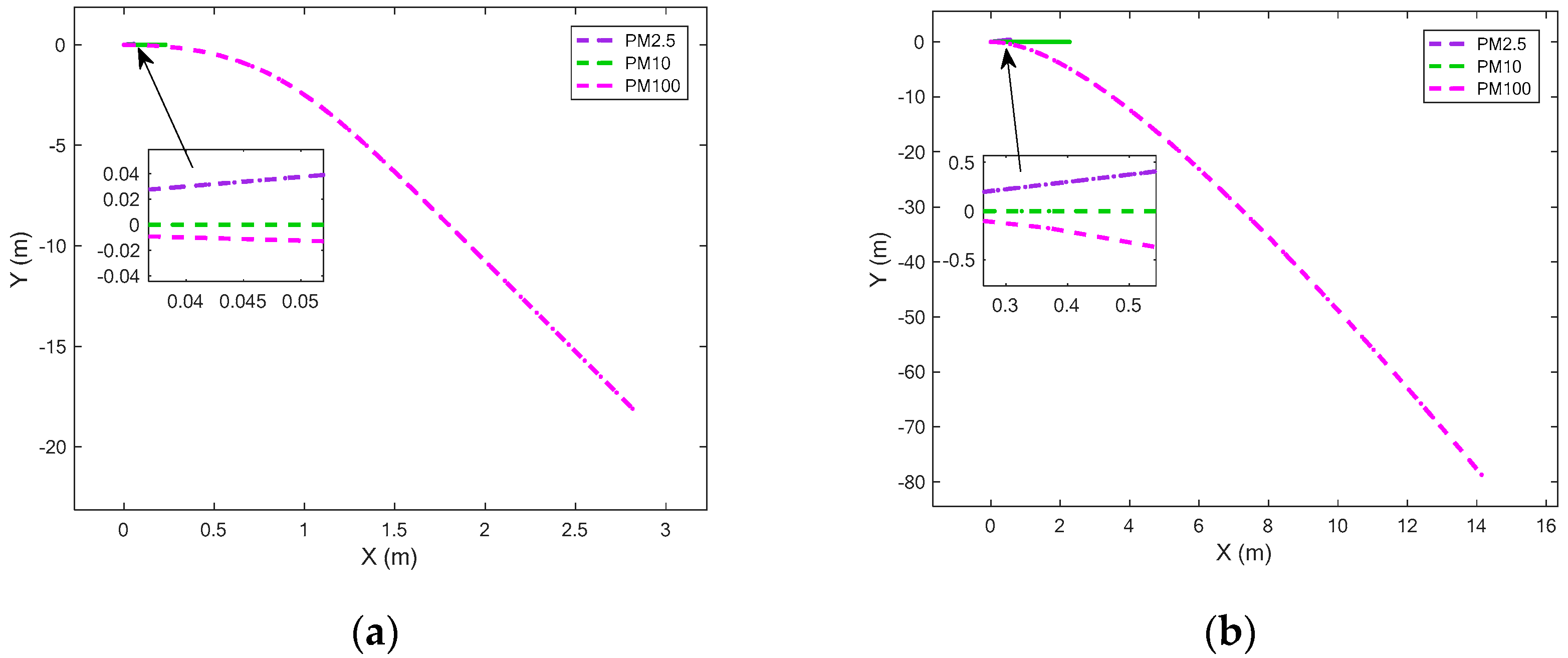
4.2. Dynamic Response of Different Electric Field Intensity in the Separation Region
4.3. Dynamic Response of Different Drag Force in the Separation Region
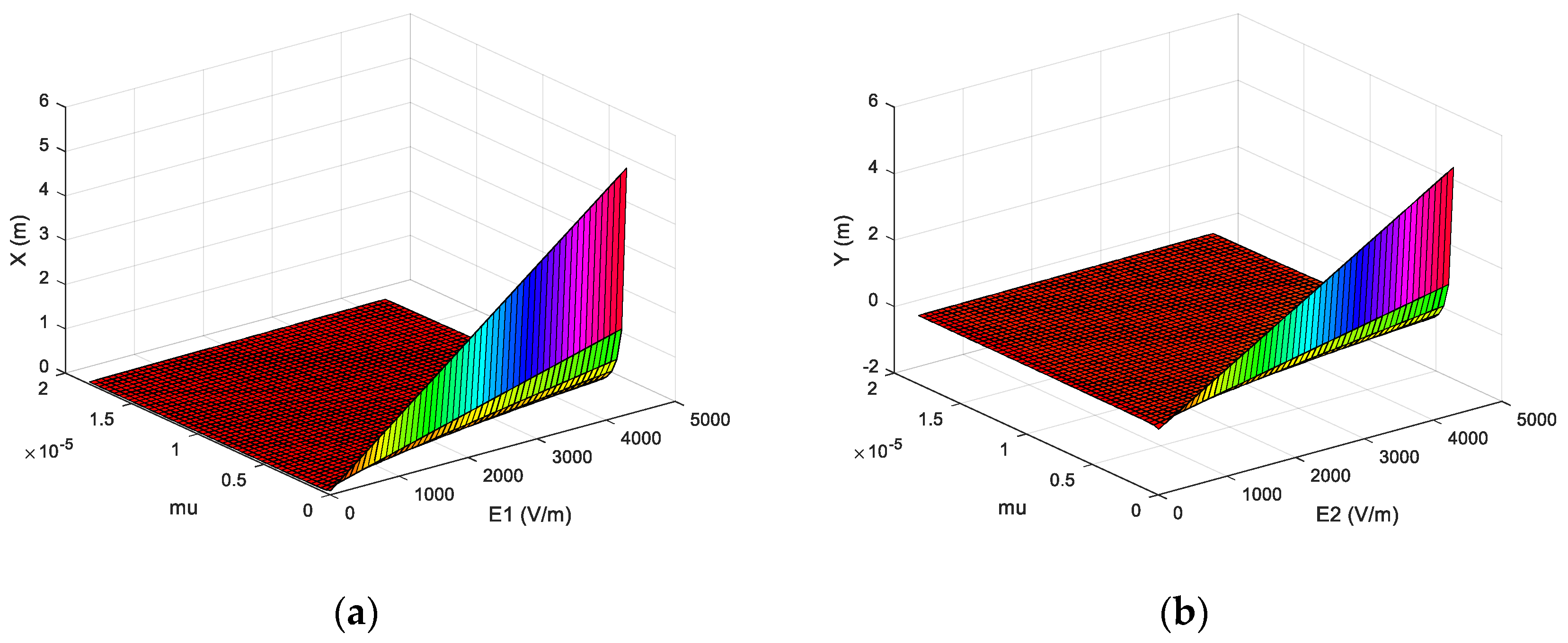
4.4. Dynamic Response of Electric Field and Drag Force in the Separation Region
5. Conclusions
- In the acceleration room, the velocity of atmospheric particles increases with the increase in particle diameter, and increases with the increase in electric field strength. Particles can pass through the acceleration room faster. The displacement of the particles in the Y-axis direction is negligible and does not affect the subsequent separation movement.
- In the separation room, when the composite electric field changes, the displacement of particles in the Y-axis direction gradually increases from a negative displacement to a positive displacement as the electric field strength increases, which provides the basics of the separation. When the drag coefficient changes, there will be a sudden increase in displacement.
- When the drag coefficient and the combined electric field work together, as the particle diameter increases, the Y-direction displacement assumes a “bow” shape that twists from negative to positive displacement. As the drag coefficient decreases, the shape becomes more prominent. The electric field strength affects the separation direction of the particles.
Author Contributions
Funding
Acknowledgments
Conflicts of Interest
References
- Jacobson, M.C.; Hansson, H.-C.; Noone, K.J.; Charlson, R.J. Organic atmospheric aerosols: Review and state of the science. Rev. Geophys. 2000, 38, 267–294. [Google Scholar] [CrossRef]
- Esworthy, R. Air Quality: EPA’s 2013 Changes to the Particulate Matter (PM) Standard; Congressional Research Service Reports: Washington, DC, USA, 2015. [Google Scholar]
- Chiang, C.-T. Design of a High-Sensitivity Ambient Particulate Matter 2.5 Particle Detector for Personal Exposure Monitoring Devices. IEEE Sens. J. 2017, 18, 165–169. [Google Scholar] [CrossRef]
- Marinov, M.B.; Hensel, S.; Ganev, B.; Nikolov, G. Performance evaluation of low-cost particulate matter sensors. In Proceedings of the 26th International Science Conference Electronics (ET), Sozopol, Bulgaria, 12–15 September 2017; pp. 1–4. [Google Scholar]
- Kim, K.-H.; Kabir, E.; Kabir, S. A review on the human health impact of airborne particulate matter. Environ. Int. 2015, 74, 136–143. [Google Scholar] [CrossRef] [PubMed]
- Meo, S.A.; Memon, A.N.; Sheikh, S.A.; Rouq, F.A.; Usmani, A.M.; Hassan, A.; Arian, S.A. Effect of environmental air pollution on type 2 diabetes mellitus. Eur. Rev. Med. Pharmacol. Sci. 2015, 19, 123–128. [Google Scholar] [PubMed]
- Basu, R.; Harris, M.; Sie, L.; Malig, B.; Broadwin, R.; Green, R. Effects of fine particulate matter and its constituents on low birth weight among full-term infants in California. Environ. Res. 2014, 128, 42–51. [Google Scholar] [CrossRef] [PubMed]
- Buggiano, V.; Petrillo, E.; Allo, M.; Lafaille, C.; Redal, M.A.; Alghamdi, M.A.; Khoder, M.; Shamy, M.; Muñoz, M.J.; Kornblihtt, A.R. Effects of airborne particulate matter on alternative pre-mRNA splicing in colon cancer cells. Environ. Res. 2015, 140, 185–190. [Google Scholar] [CrossRef] [PubMed]
- World Health Organization. Quantifying Environmental Health Impacts. Available online: http://www.who.int/quantifying_ehimpacts/news_events/en/ (accessed on 14 November 2017).
- AirNow. Available online: https://airnow.gov (accessed on 20 December 2016).
- Air Quality Data—Central Pollution Control Board. Available online: http://cpcb.nic.in/RealTimeAirQualityData.php (accessed on 20 December 2016).
- Air Pollution—European Environment Agency. Available online: https://www.eea.europa.eu/themes/air/intro (accessed on 20 December 2016).
- Symonds, J.P.; Reavell, K.S.J.; Olfert, J.S.; Campbell, B.W.; Swift, S.J. Diesel soot mass calculation in real-time with a differential mobility spectrometer. J. Aerosol Sci. 2007, 38, 52–68. [Google Scholar] [CrossRef]
- Wang, J.; Storey, J.; Domingo, N.; Huff, S.; Thomas, J.; West, B. Studies of Diesel Engine Particle Emissions During Transient Operations Using an Engine Exhaust Particle Sizer. Aerosol Sci. Technol. 2006, 40, 1002–1015. [Google Scholar] [CrossRef]
- Schrobenhauser, R.; Strzoda, R.; Fleischer, M.; Hartmann, A.; Amann, M.-C. Detection of the mass of fine particulate matter using light scattering and inertial filtering in a miniaturized sensor setup. Meas. Sci. Technol. 2014, 25, 035103. [Google Scholar] [CrossRef]
- Dong, M.; Iervolino, E.; Santagata, F.; Zhang, G.; Zhang, G. Integrated Virtual Impactor Enabled PM2.5Sensor. IEEE Sens. J. 2017, 17, 2814–2821. [Google Scholar] [CrossRef]
- Manikonda, A.; Zikova, N.; Hopke, P.K.; Ferro, A.R. Laboratory assessment of low-cost PM monitors. J. Aerosol Sci. 2016, 102, 29–40. [Google Scholar] [CrossRef]
- Lombardo, L.; Parvis, M.; Angelini, E.; Grassini, S. An Optical Sampling System for Distributed Atmospheric Particulate Matter. IEEE Trans. Instrum. Meas. 2019, 68, 2396–2403. [Google Scholar] [CrossRef]
- Liu, B.; Chen, X.; Cai, H.; Ali, M.M.; Tian, X.; Tao, L.; Yang, Y.; Ren, T.; Bo, L.; Xiao, C.; et al. Surface acoustic wave devices for sensor applications. J. Semicond. 2016, 37, 21001. [Google Scholar] [CrossRef]
- Wasisto, H.S.; Merzsch, S.; Waag, A.; Uhde, E.; Salthammer, T.; Peiner, E. Airborne engineered nanoparticle mass sensor based on a silicon resonant cantilever. Sens. Actuators B Chem. 2013, 180, 77–89. [Google Scholar] [CrossRef]
- Wasisto, H.S.; Merzsch, S.; Waag, A.; Uhde, E.; Salthammer, T.; Peiner, E. Portable cantilever-based airborne nanoparticle detector. Sens. Actuators B Chem. 2013, 187, 118–127. [Google Scholar] [CrossRef]
- Mariani, L.; Pastore, F.; Pezze, M. Dynamic analysis for diagnosing integration faults. IEEE Trans. Softw. Eng. 2011, 37, 486–508. [Google Scholar] [CrossRef]
- Wei, Y.; Liu, S. Numerical analysis of the dynamic behavior of a rotor-bearing-brush seal system with bristle interference. J. Mech. Sci. Technol. 2019, 33, 3895–3903. [Google Scholar] [CrossRef]
- Mehdizadeh, E.; Kumar, V.; Wilson, J.C.; Pourkamali, S. Inertial Impaction on MEMS Balance Chips for Real-Time Air Quality Monitoring. IEEE Sens. J. 2017, 17, 2329–2337. [Google Scholar] [CrossRef]
- Jiang, F.; Liu, S.; Xin, S.; Zhang, H. Electromagnetic Nondestructive Testing Model and Surface Magnetic Field Analysis for Circumferential Cracks on Metal Rod. J. Nondestruct. Eval. Diagn. Progn. Eng. Syst. 2019, 2, 1–17. [Google Scholar] [CrossRef]
- Kim, Y.H.; Maeng, J.-Y.; Park, D.; Jung, I.-H.; Hwang, J.; Kim, Y.-J. Micromachined cascade virtual impactor with a flow rate distributor for wide range airborne particle classification. Appl. Phys. Lett. 2007, 91, 43512. [Google Scholar] [CrossRef]
- Chen, L.-J.; Ho, Y.-H.; Hsieh, H.H.; Huang, S.-T.; Lee, H.-C.; Mahajan, S. ADF: An Anomaly Detection Framework for Large-Scale PM2.5 Sensing Systems. IEEE Internet Things J. 2017, 5, 559–570. [Google Scholar] [CrossRef]
- Wang, Y.; Wang, Y.; Chen, D.; Liu, X.; Wu, C.; Xie, J. A Miniature System for Separation and Detection of PM Based on 3-D Printed Virtual Impactor and QCM Sensor. IEEE Sens. J. 2018, 18, 6130–6137. [Google Scholar] [CrossRef]
- Zhang, Y.; Chang, Y.; Lv, G.; Ma, W.; He, Y.; Xie, G. Separation of Silicon from Coarse Al-Si Melts under Alternating Electromagnetic Field with Varying Frequencies. Silicon 2020. [Google Scholar] [CrossRef]
- Guo, K.; Lv, Y.; He, L.; Luo, X.; Zhao, J. Experimental study on the effect of spatial distribution and action order of electric field and magnetic field on oil-water separation. Chem. Eng. Process. Process Intensif. 2019, 145, 107658. [Google Scholar] [CrossRef]
- White, H.J. Industrial Electrostatic Precipitation; Addison-Wesley: Reading, MA, USA, 1963; pp. 21–56. [Google Scholar]
- Davies, C.N. Definitive equations for the fluid resistance of spheres. Proc. Phys. Soc. 1945, 57, 259–270. [Google Scholar] [CrossRef]

















| Parameters | Size |
|---|---|
| vacuum dielectric constant | F/m |
| unit charge | qε = 1.6 × 10−19 C |
| Boltzmann constant | k = 1.38 × 10−23 J/K |
| absolute temperature | T = 298.15 K |
| relative dielectric constant | ε = 5 |
| air density | ρg = 1.1691 kg/m3 |
| particle density | ρp = 1.5 × 103 kg/m3 |
| dynamic viscosity | μ = 1.86 × 10−5 N·s/m2 |
| the initial velocity | V0 = 0.001 m/s |
| PM100-10 | PM10 | PM2.5 | PM1 | PM10-2.5 |
|---|---|---|---|---|
| 8.02 μg/m3 | 4.98 μg/m3 | 4.83 μg/m3 | 4.25 μg/m3 | 0.15 μg/m3 |
© 2020 by the authors. Licensee MDPI, Basel, Switzerland. This article is an open access article distributed under the terms and conditions of the Creative Commons Attribution (CC BY) license (http://creativecommons.org/licenses/by/4.0/).
Share and Cite
Wang, M.; Zou, J.; Zhang, H.; Wei, Y.; Liu, S. Numerical Modeling of Particles Separation Method Based on Compound Electric Field. Appl. Sci. 2020, 10, 5999. https://doi.org/10.3390/app10175999
Wang M, Zou J, Zhang H, Wei Y, Liu S. Numerical Modeling of Particles Separation Method Based on Compound Electric Field. Applied Sciences. 2020; 10(17):5999. https://doi.org/10.3390/app10175999
Chicago/Turabian StyleWang, Min, Junchen Zou, Hongli Zhang, Yuan Wei, and Shulin Liu. 2020. "Numerical Modeling of Particles Separation Method Based on Compound Electric Field" Applied Sciences 10, no. 17: 5999. https://doi.org/10.3390/app10175999
APA StyleWang, M., Zou, J., Zhang, H., Wei, Y., & Liu, S. (2020). Numerical Modeling of Particles Separation Method Based on Compound Electric Field. Applied Sciences, 10(17), 5999. https://doi.org/10.3390/app10175999

