Influences of Sub-Atmospheric Pressure on Upward Flame Spread over Flexible Polyurethane Foam Board with Multiple Inclinations
Abstract
1. Introduction
2. Experiments
3. Results and Analysis
3.1. Upward Flame Spreading Behavior with Different Orientations
- (1)
- Melting flow combustion by high temperature molten fuel, owing to the thermoplastic-like FPU material selected, could bring heat and mass from upper to lower position through a rapid path, and also might make fire development worse as the secondary ignition source.
- (2)
- Flash burning in partial surfaces appeared intermittently, which was induced by the continuous lean decomposed gas (and some fuel vapor with small molecules) generated from the deep side of the “burnout” zone. As the customized FPU material is modified with clay bulk and special foaming agent, char-residue was formed along the surface after combustion, which would prevent the fuel board from complete burnout. Lean combustible gas or vapor would be released by smoldering, although pyrolysis front had already passed. Moreover, the porous structure of FPU will be helpful in gas release from depth, which has potential to be ignited by flame, hot plume or even melting flow combustion to turn into flash burning.
3.2. Pyrolysis Boundary Evolution and Burning Characteristics
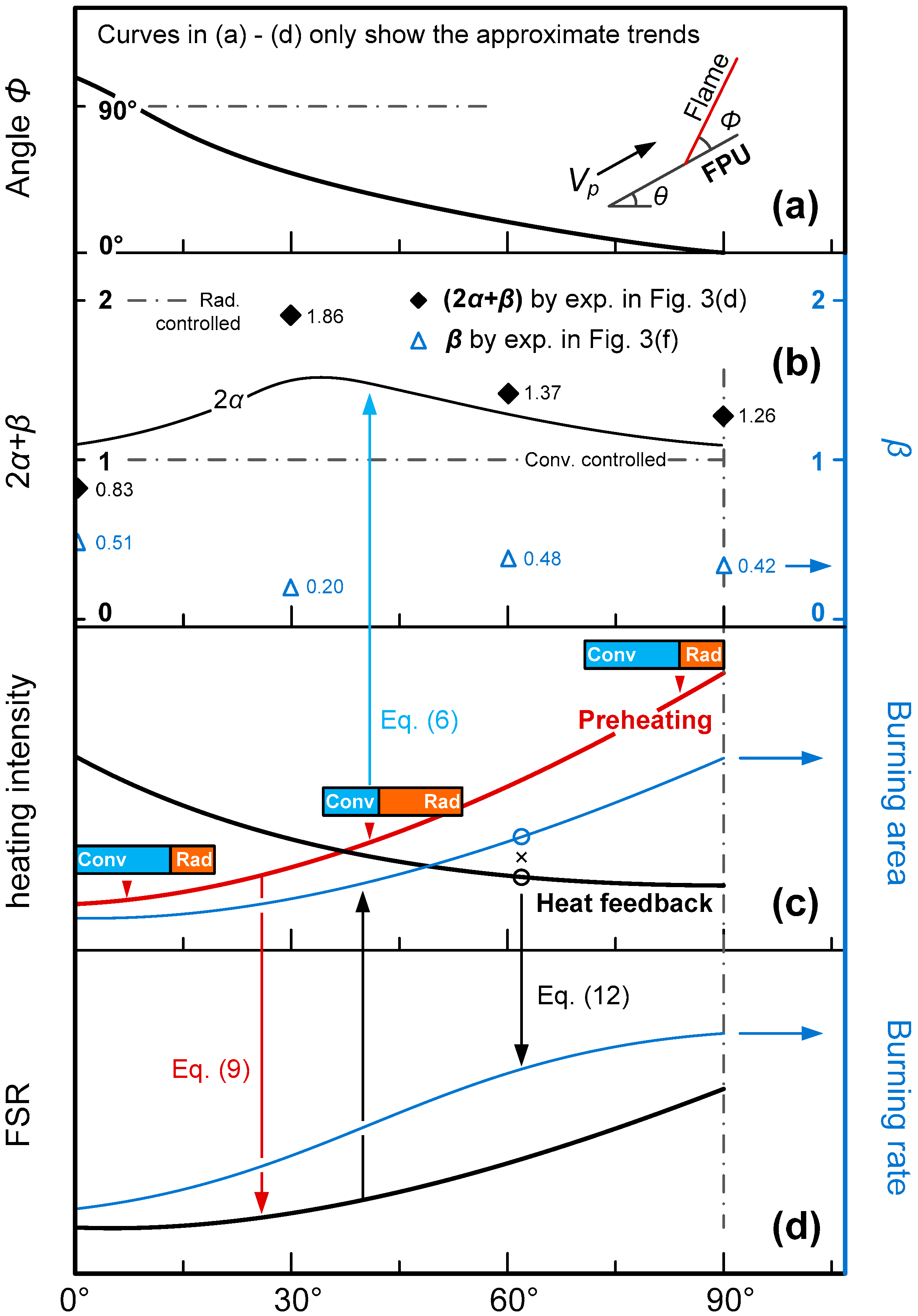
3.3. Coupling Effects of Pressure and Inclination on Upward Flame Spread
- (1)
- For horizontal (0°) flame spread, the preheated zone is definitely under convection control by the classical theory described above. Likewise, the preheated zone is almost immersed in flame for vertical (90°) spread; the convection between hot fire plume and fuel surface should also dominate the preheating mechanism (similar to pyrolysis zone). In these periods, is believed to approach 1/2.
- (2)
- However, for upward spread with certain inclination, radiation will be enhanced obviously due to stretched flame length and increasing radiation configuration factor owing to flame tilt, which might promote the ratio of radiation in preheating to make larger subsequently.
3.4. Discussion
4. Closing
Author Contributions
Funding
Acknowledgments
Conflicts of Interest
Nomenclature
| Specific heat of fuel (J g−1 K−1) | |
| Gravity (m s−2) | |
| Flame length (m) | |
| Burning rate (g s−1) | |
| Air pressure (kPa) | |
| Convection and radiation preheating flux from fire (W m−2) | |
| Convection and radiation heat feedback from fire (W m−2) | |
| Conduction preheating flux from FPU (W m−2) | |
| Preheating heat flux to pyrolysis zone (W m−2) | |
| Burning area (m2) | |
| Ignition temperature (K) | |
| Ambient temperature (K) | |
| Velocity of air entrainment (m s−1) | |
| Flame spread rate (m s−1) | |
| w | Width of fuel board (m) |
| Distance of pyrolysis zone (m) | |
| Pressure index of preheating flux | |
| Pressure index of flame length | |
| Length of preheat zone (cm) | |
| Angle of inclination (°) | |
| Density (kg m−3) | |
| Subscripts | |
| 0 | Normal pressure |
| d | Decreased pressure |
| dw | Downward |
| Fire or flame | |
| uw | Upward |
| Ambient | |
References
- De Ris, J.L.; Kanury, A.M.; Yuen, M.C. Pressure modeling of fires. Proc. Combust. Inst. 1973, 14, 1033–1042. [Google Scholar] [CrossRef]
- De Ris, J.L.; Wu, P.K.; Heskestad, G. Radiation fire modeling. Proc. Combust. Inst. 2000, 28, 2751–2759. [Google Scholar] [CrossRef]
- Li, Z.H.; He, Y.P.; Zhang, H.; Wang, J. Combustion characteristics of n-heptane and wood crib fires at different altitude. Proc. Combust. Inst. 2009, 32, 2481–2488. [Google Scholar] [CrossRef]
- Zhang, Y.; Ji, J.; Wang, Q.S.; Huang, X.J.; Wang, Q.H.; Sun, J.H. Prediction of the critical condition for flame acceleration over wood surfacewith different sample orientations. Combust. Flame 2012, 159, 2999–3002. [Google Scholar] [CrossRef]
- Ma, X.; Tu, R.; Cheng, X.D.; Zhu, S.G.; Ma, J.W.; Fang, T.Y. Experimental study of thermal behavior of insulation material rigid polyurethane in parallel, symmetric, and adjacent building façade constructions. Polymers 2018, 10, 1104. [Google Scholar] [CrossRef]
- Zhou, Y.; Bu, R.W.; Yi, L.; Sun, J.H. Heat transfer mechanism of concurrent flame spread over rigidpolyurethane foam: Effect of ambient pressure and inclined angle. Int. J. Therm. Sci. 2020, 155, 106403. [Google Scholar] [CrossRef]
- Wieser, D.; Jauch, P.; Willi, U. The influence of high altitude on fire detector test fires. Fire Saf. J. 1997, 29, 195–204. [Google Scholar] [CrossRef]
- Ma, X.; Tu, R.; Ding, C.; Zeng, Y.; Xu, L.; Fang, T.Y. Experimental study on thermal safety of flexible polyurethane at various facade inclined structures under low ambient pressure condition. Eng. Struct. 2018, 176, 11–19. [Google Scholar] [CrossRef]
- Tu, R.; Ma, X.; Zeng, Y.; Zhou, X.J.; He, L.; Fang, T.Y.; Fang, J. Coupling effects of pressure and inclination on downward flame spread over flexible polyurethane foam board. Build. Environ. 2019, 164, 106339. [Google Scholar] [CrossRef]
- Zhang, Y.; Huang, X.J.; Wang, Q.S.; Ji, J.; Sun, J.H.; Yin, Y. Experimental study on the characteristics of horizontal flame spread over XPSsurface on plateau. J. Hazard. Mater. 2011, 189, 34–39. [Google Scholar] [CrossRef]
- Huang, X.J.; Zhao, J.; Tang, G.; Zhang, Y.; Sun, J.H. Effects of altitude and inclination on the flame structure over the insulation material PS based on heat and mass transfer. Int. J. Heat Mass Tran. 2015, 90, 1046–1055. [Google Scholar] [CrossRef]
- Hu, L.H.; Zhang, Y.S.; Yoshioka, K.; Izumo, H.; Fujita, O. Flame spread over electric wire with high thermal conductivitymetal core at different inclinations. Proc. Combust. Inst. 2015, 35, 2607–2614. [Google Scholar] [CrossRef]
- Drysdale, D.D.; Macmillan, A.J.R. Flame spread on inclined surfaces. Fire Saf. J. 1992, 18, 245–254. [Google Scholar] [CrossRef]
- Quintiere, J.G. The effects of angular orientation on flame spread over thin materials. Fire Saf. J. 2001, 36, 291–312. [Google Scholar] [CrossRef]
- Huang, X.; Gollner, M.J. Correlations for evaluation of flame spread over an inclined fuel surface. Fire Saf. Sci. 2014, 11, 222–233. [Google Scholar] [CrossRef]
- Gollner, M.J.; Huang, X.; Cobian, J.; Rangwala, A.; Williams, F. Experimental study ofupward flame spread of an inclined fuel surface. Proc. Combust. Inst. 2013, 34, 2531–2538. [Google Scholar] [CrossRef]
- Gong, J.H.; Zhou, X.D.; Li, J.; Yang, L.Z. Effect of finite dimension on downwardflame spread over PMMA slabs: Experimental and theoretical study. Int. J. Heat Mass Tran. 2015, 91, 225–234. [Google Scholar] [CrossRef]
- Tu, R.; Ma, X.; Zeng, Y.; Zhou, X.J.; Zhang, Q.X.; Wang, J.W.; Fang, J. Influences of sub-atmospheric pressure on downward flame spread overtypical insulation material with parallel glass curtain wall structure in underground buildings. Tunn. Undergr. Sp. Technol. 2020, 103, 103509. [Google Scholar] [CrossRef]
- Xie, W.; Desjardin, P.E. An embedded upward flame spread model using 2D direct numerical simulations. Combust. Flame 2009, 156, 522–530. [Google Scholar] [CrossRef]
- Zukoski, E.E.; Cetegen, B.M.; Kubota, T. Visible structure of buoyant diffusionflames. Proc. Combust. Inst. 1985, 20, 361–366. [Google Scholar] [CrossRef]
- Williams, F.A. Mechanisms of fire spread. Proc. Combust. Inst. 1977, 16, 1281–1294. [Google Scholar] [CrossRef]
- Hamins, A.; Yang, J.C.; Kashiwagi, T. A Global Model for Predicting the Burning Rates of Liquid Pool Fires, NISTIR 6381; National Institute of Standards and Technology: Gaithersburg, MD, USA, 1999. [Google Scholar]
- Zhou, Y.; Gong, J.H.; Jiang, L.; Chen, C.K. Orientation effect on upward flame propagation over rigid polyurethane foam. Int. J. Therm. Sci. 2018, 132, 86–95. [Google Scholar] [CrossRef]




© 2020 by the authors. Licensee MDPI, Basel, Switzerland. This article is an open access article distributed under the terms and conditions of the Creative Commons Attribution (CC BY) license (http://creativecommons.org/licenses/by/4.0/).
Share and Cite
Tu, R.; Ma, X.; Zeng, Y.; Zhou, X.; Zhang, Q. Influences of Sub-Atmospheric Pressure on Upward Flame Spread over Flexible Polyurethane Foam Board with Multiple Inclinations. Appl. Sci. 2020, 10, 7117. https://doi.org/10.3390/app10207117
Tu R, Ma X, Zeng Y, Zhou X, Zhang Q. Influences of Sub-Atmospheric Pressure on Upward Flame Spread over Flexible Polyurethane Foam Board with Multiple Inclinations. Applied Sciences. 2020; 10(20):7117. https://doi.org/10.3390/app10207117
Chicago/Turabian StyleTu, Ran, Xin Ma, Yi Zeng, Xuejin Zhou, and Qixing Zhang. 2020. "Influences of Sub-Atmospheric Pressure on Upward Flame Spread over Flexible Polyurethane Foam Board with Multiple Inclinations" Applied Sciences 10, no. 20: 7117. https://doi.org/10.3390/app10207117
APA StyleTu, R., Ma, X., Zeng, Y., Zhou, X., & Zhang, Q. (2020). Influences of Sub-Atmospheric Pressure on Upward Flame Spread over Flexible Polyurethane Foam Board with Multiple Inclinations. Applied Sciences, 10(20), 7117. https://doi.org/10.3390/app10207117

