Application of Corrected Methods for High-Resolution XRF Core Scanning Elements in Lake Sediments
Abstract
1. Introduction
2. Description of the Calibration Methods
2.1. Normalized Median-Scaled (NMS) Calibration
2.2. Normalized Polynomial-Scaled (NPS) Calibration
2.3. Log-Ratio Calibration Equation (LRCE)
2.4. Multivariate Log-Ratio Calibration (MLC)
3. Materials and Analytical Methods
3.1. Cores
3.2. Sampling and Analyses
3.3. Data Processing
4. Results
4.1. Experimental Results
4.2. The Calibrated-XRF Results
5. Discussion
5.1. Comparative Performance of the Calibration Methods
5.2. Assessing the Influence of Sediment Properties on XRF-scan Elements within Lake Sediments
6. Conclusions
Author Contributions
Funding
Acknowledgments
Conflicts of Interest
Abbreviations
| XRF | X-ray fluorescence; |
| RDA | redundancy analyses; |
| GAM | generalized additive model; |
| ICP-MS | inductively coupled plasma mass spectrometry; |
| ICP-OES | inductively coupled plasma optical emission spectrometry; |
| EDP-XRF | energy dispersive polarization X-ray fluorescence; |
| WD-XRF | wavelength dispersive X-ray fluorescence; |
| NMS | normalized median-scaled; |
| NPS | normalized polynomial-scaled; |
| LRCE | log-ratio calibration equation; |
| MLC | multivariate log-ratio calibration; |
| alr | additive log-ratio transformation; |
| clr | centered log-ratio; |
| SRE | squared relative error; |
| MSRE | mean squared relative error. |
Appendix A
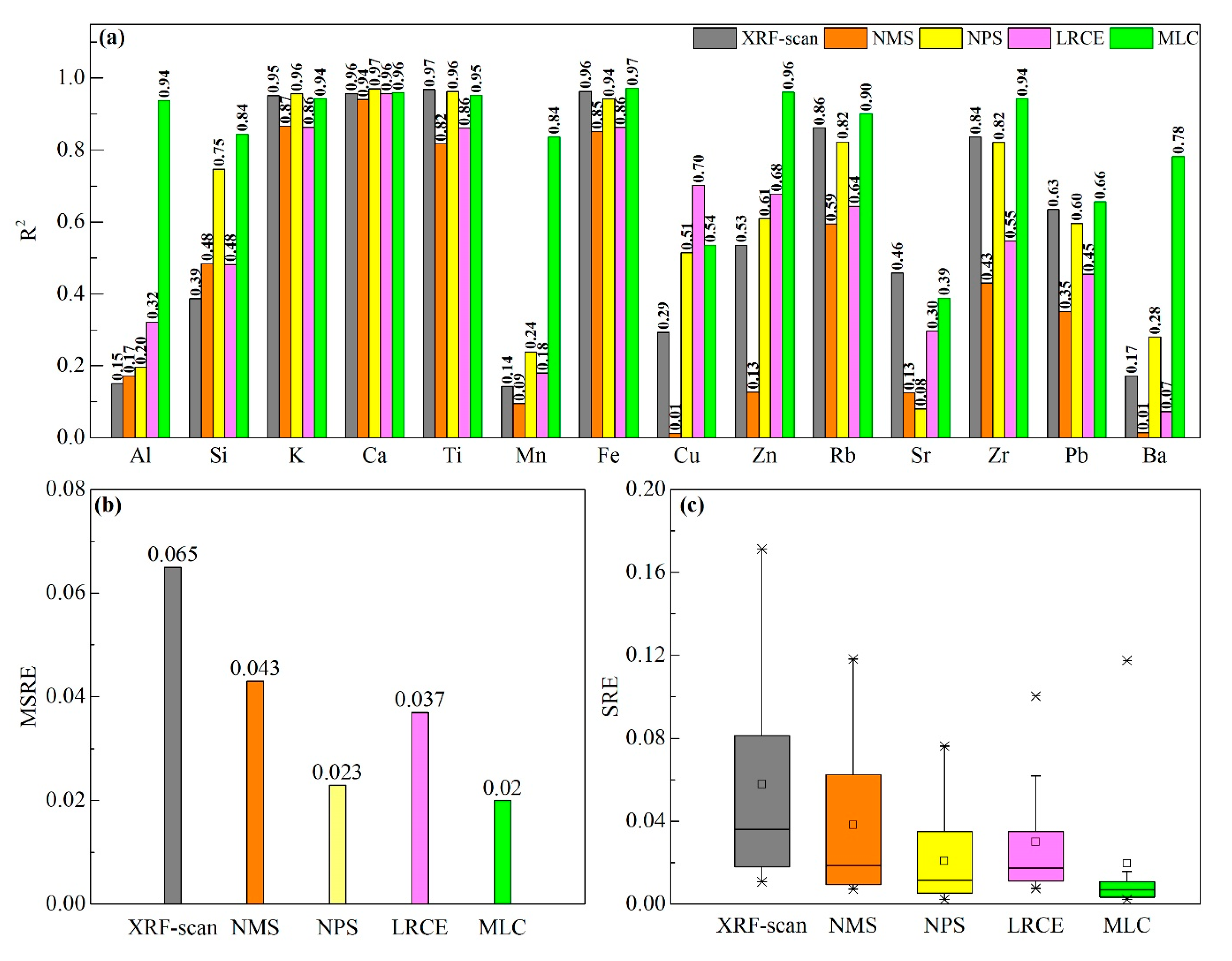
| Al | Si | K | Ca | Ti | Mn | Fe | Cu | Zn | Rb | Sr | Zr | Pb | Ba | |
|---|---|---|---|---|---|---|---|---|---|---|---|---|---|---|
| XRF-scan | 0.15 | 0.39 | 0.95 | 0.96 | 0.97 | 0.14 | 0.96 | 0.29 | 0.53 | 0.86 | 0.46 | 0.84 | 0.63 | 0.17 |
| NMS | 0.17 | 0.48 | 0.87 | 0.94 | 0.82 | 0.09 | 0.85 | 0.01 | 0.13 | 0.59 | 0.13 | 0.43 | 0.35 | 0.01 |
| NPS | 0.20 | 0.75 | 0.96 | 0.97 | 0.96 | 0.24 | 0.94 | 0.51 | 0.61 | 0.82 | 0.08 | 0.82 | 0.60 | 0.28 |
| LRCE | 0.32 | 0.48 | 0.86 | 0.96 | 0.86 | 0.18 | 0.86 | 0.70 | 0.68 | 0.64 | 0.30 | 0.55 | 0.45 | 0.07 |
| MLC | 0.94 | 0.84 | 0.94 | 0.96 | 0.95 | 0.84 | 0.97 | 0.54 | 0.96 | 0.90 | 0.39 | 0.94 | 0.66 | 0.78 |
| MSRE | Al | Si | K | Ca | Ti | Mn | Fe | Cu | Zn | Rb | Sr | Zr | Pb | Ba | |
|---|---|---|---|---|---|---|---|---|---|---|---|---|---|---|---|
| XRF-scan | 0.058 | 0.171 | 0.013 | 0.107 | 0.081 | 0.028 | 0.055 | 0.018 | 0.068 | 0.039 | 0.025 | 0.016 | 0.011 | 0.144 | 0.033 |
| NMS | 0.038 | 0.118 | 0.008 | 0.007 | 0.018 | 0.009 | 0.063 | 0.009 | 0.079 | 0.049 | 0.018 | 0.020 | 0.017 | 0.089 | 0.030 |
| NPS | 0.021 | 0.054 | 0.004 | 0.002 | 0.006 | 0.002 | 0.035 | 0.006 | 0.042 | 0.019 | 0.010 | 0.015 | 0.005 | 0.076 | 0.013 |
| LRCE | 0.030 | 0.100 | 0.008 | 0.012 | 0.011 | 0.008 | 0.062 | 0.009 | 0.025 | 0.021 | 0.017 | 0.018 | 0.014 | 0.082 | 0.035 |
| MLC | 0.020 | 0.011 | 0.002 | 0.006 | 0.009 | 0.003 | 0.009 | 0.003 | 0.117 | 0.005 | 0.008 | 0.016 | 0.003 | 0.079 | 0.006 |
References
- Jansen, J.H.F.; Gaast, S.J.V.D.; Koster, B.; Vaars, A.J. CORTEX, a shipboard XRF-scanner for element analyses in split sediment cores. Mar. Geol. 1998, 151, 143–153. [Google Scholar] [CrossRef]
- Croudace, I.W.; Rindby, A.; Rothwell, R.G. ITRAX: Description and evaluation of a new multi-function X-ray core scanner. Geol. Soc. Lond. Spec. Publ. 2006, 267, 51–63. [Google Scholar] [CrossRef]
- Rothwell, R.G.; Hoogakker, B.; Thomson, J.; Croudace, I.W.; Frenz, M. Turbidite emplacement on the southern Balearic Abyssal Plain (western Mediterranean Sea) during Marine Isotope Stages 1–3: An application of ITRAX XRF scanning of sediment cores to lithostratigraphic analysis. Geol. Soc. Lond. Spec. Publ. 2006, 267, 79–98. [Google Scholar] [CrossRef]
- Francus, P.; Lamb, H.; Nakagawa, T.; Marshall, M.; Brown, E.; Members, S.P. The potential of high-resolution X-ray fluorescence core scanning: Applications in paleolimnology. PAGES News 2009, 17, 93–96. [Google Scholar] [CrossRef]
- Kümmerer, V.; Drago, T.; Veiga-Pires, C.; Silva, P.F.; Magalhães, V.; Mena, A.; Lopes, A.; Rodrigues, A.I.; Schmidt, S.; Terrinha, P.; et al. Exploring Offshore Sediment Evidence of the 1755 CE Tsunami (Faro, Portugal): Implications for the Study of Outer Shelf Tsunami Deposits. Minerals 2020, 10, 731. [Google Scholar] [CrossRef]
- García-Giménez, R.; Frias, M.; Vigil De La Villa, R.; Martínez-Ramírez, S. Ca/Si and Si/Al Ratios of Metakaolinite-Based Wastes: Their Influence on Mineralogy and Mechanical Strengths. Appl. SCI-Basel 2018, 8, 480. [Google Scholar] [CrossRef]
- Chen, Q.; Kissel, C.; Govin, A.; Liu, Z.; Xie, X. Correction of interstitial water changes in calibration methods applied to XRF core-scanning major elements in long sediment cores: Case study from the South China Sea. Geochem. Geophy. Geosyst. 2016, 17, 1925–1934. [Google Scholar] [CrossRef]
- Tjallingii, R.; Röhl, U.; Kölling, M.; Bickert, T. Influence of the water content on X-ray fluorescence core-scanning measurements in soft marine sediments. Geochem. Geophy. Geosyst. 2007, 8, 1525–2027. [Google Scholar] [CrossRef]
- Lyle, M.; Olivarez Lyle, A.; Gorgas, T.; Holbourn, A.; Westerhold, T.; Hathorne, E.; Kimoto, K.; Yamamoto, S. Data report: Raw and normalized elemental data along the Site U1338 splice from X-ray fluorescence scanning. Proc. Integr. Ocean Drill. Program 2012, 320, 321. [Google Scholar] [CrossRef]
- Weltje, G.J.; Tjallingii, R. Calibration of XRF core scanners for quantitative geochemical logging of sediment cores: Theory and application. Earth Planet Sci. Lett. 2008, 274, 423–438. [Google Scholar] [CrossRef]
- Hennekam, R.; de Lange, G. X-ray fluorescence core scanning of wet marine sediments: Methods to improve quality and reproducibility of high-resolution paleoenvironmental records. Limnol. Oceanogr-Meth. 2012, 10, 991–1003. [Google Scholar] [CrossRef]
- Löwemark, L.; Chen, H.F.; Yang, T.N.; Kylander, M.; Yu, E.F.; Hsu, Y.W.; Lee, T.Q.; Song, S.R.; Jarvis, S. Normalizing XRF-scanner data: A cautionary note on the interpretation of high-resolution records from organic-rich lakes. J. Asian Earth Sci. 2011, 40, 1250–1256. [Google Scholar] [CrossRef]
- Kido, Y.; Koshikawa, T.; Tada, R. Rapid and quantitative major element analysis method for wet fine-grained sediments using an XRF microscanner. Mar. Geol. 2006, 229, 209–225. [Google Scholar] [CrossRef]
- Cappuccio, G.; Cibin, G.; Dabagov, S.; Di Filippo, A.; Piovesan, G.; Hampai, D.; Maggi, V.; Marcelli, A. Challenging X-ray Fluorescence Applications for Environmental Studies at XLab Frascati. Condens. Matter 2018, 3, 33. [Google Scholar] [CrossRef]
- Hennekam, R.; Jilbert, T.; Mason, P.R.D.; de Lange, G.J.; Reichart, G. High-resolution line-scan analysis of resin-embedded sediments using laser ablation-inductively coupled plasma-mass spectrometry (LA-ICP-MS). Chem. Geol. 2015, 403, 42–51. [Google Scholar] [CrossRef]
- Dunlea, A.G.; Murray, R.W.; Tada, R.; Alvarez Zarikian, C.A.; Anderson, C.H.; Gilli, A.; Giosan, L.; Gorgas, T.; Hennekam, R.; Irino, T.; et al. Intercomparison of XRF Core Scanning Results From Seven Labs and Approaches to Practical Calibration. Geochem. Geophy. Geosyst. 2020, 21. [Google Scholar] [CrossRef]
- Lei, G.; Zhang, H.; Chang, F.; Zhu, Y.; Li, C.; Xie, X.; Lei, Y.; Zhang, W.; Pu, Y. Comparison and correction of element measurements in lacustrine sedmients using X-ray fluorescence core-scanning with ICP-OES method: A case study of Zigetang Co. J. Lake Sci. 2011, 23, 287–294, (In Chinese with English abstract). [Google Scholar]
- Thomson, J.; Croudace, I.W.; Rothwell, R.G. A geochemical application of the ITRAX scanner to a sediment core containing eastern Mediterranean sapropel units. Geol. Soc. Lond. Spec. Publ. 2006, 267, 65–77. [Google Scholar] [CrossRef]
- Richter, T.O.; Van der Gaast, S.; Koster, B.; Vaars, A.; Gieles, R.; de Stigter, H.C.; De Haas, H.; van Weering, T.C. The Avaatech XRF Core Scanner: Technical description and applications to NE Atlantic sediments. Geol. Soc. Lond. Spec. Publ. 2006, 267, 39–50. [Google Scholar] [CrossRef]
- Chawchai, S.; Kylander, M.E.; Chabangborn, A.; Löwemark, L.; Wohlfarth, B. Testing commonly used X-ray fluorescence core scanning-based proxies for organic-rich lake sediments and peat. Boreas 2016, 45, 180–189. [Google Scholar] [CrossRef]
- Weltje, G.J.; Bloemsma, M.R.; Tjallingii, R.; Heslop, D.; Röhl, U.; Croudace, I.W. Prediction of Geochemical Composition from XRF Core Scanner Data: A New Multivariate Approach Including Automatic Selection of Calibration Samples and Quantification of Uncertainties. In Micro-XRF Studies of Sediment Cores: A Perspective on Capability and Application in the Environmental Sciences, 1st ed.; Croudace, I.W., Rothwell, R.G., Eds.; Springer: Dordrecht, The Netherlands, 2015; pp. 507–534. [Google Scholar]
- Jenkins, R. X-Ray Fluorescence Spectroscopy, 2nd ed.; Wiley: New York, NY, USA, 1999; p. 207. [Google Scholar]
- De Vries, J.L.; Vrebos, B. Quantification of infinitely thick specimens by XRF analysis. In Handbook of X-Ray Spectrometry, 2nd ed.; Grieken, R.V., Markowicz, A., Eds.; Marcel Dekker, Inc.: New York, NY, USA, 2002; pp. 341–405. [Google Scholar]
- Li, T.; Zhang, H.; Cai, M.; Chang, F.; Hu, J. The composition of carbonate matters in the sediments from Lake Fuxian and significance of paleoclimate and water level changes. Quat. Sci. 2019, 39, 642–654, (In Chinese with English abstract). [Google Scholar]
- Ge, L.; Lai, W.; Lin, Y. Influence of and correction for moisture in rocks, soils and sediments on in situ XRF analysis. X-Ray Spectrom. 2005, 34, 28–34. [Google Scholar] [CrossRef]
- Phedorin, M.A.; Goldberg, E.L. Prediction of absolute concentrations of elements from SR XRF scan measurements of natural wet sediments. Nucl. Instrum. Meth. A 2005, 543, 274–279. [Google Scholar] [CrossRef]
- Hastie, T.J.; Tibshirani, R.J. Generalized Additive Models, 1st ed.; CRC Press: Boca Raton, FL, USA, 1990; pp. 136–166. [Google Scholar]










Publisher’s Note: MDPI stays neutral with regard to jurisdictional claims in published maps and institutional affiliations. |
© 2020 by the authors. Licensee MDPI, Basel, Switzerland. This article is an open access article distributed under the terms and conditions of the Creative Commons Attribution (CC BY) license (http://creativecommons.org/licenses/by/4.0/).
Share and Cite
Zhang, X.; Zhang, H.; Chang, F.; Ashraf, U.; Peng, W.; Wu, H.; Liu, Q.; Liu, F.; Zhang, Y.; Duan, L. Application of Corrected Methods for High-Resolution XRF Core Scanning Elements in Lake Sediments. Appl. Sci. 2020, 10, 8012. https://doi.org/10.3390/app10228012
Zhang X, Zhang H, Chang F, Ashraf U, Peng W, Wu H, Liu Q, Liu F, Zhang Y, Duan L. Application of Corrected Methods for High-Resolution XRF Core Scanning Elements in Lake Sediments. Applied Sciences. 2020; 10(22):8012. https://doi.org/10.3390/app10228012
Chicago/Turabian StyleZhang, Xiaonan, Hucai Zhang, Fengqin Chang, Umar Ashraf, Wei Peng, Han Wu, Qi Liu, Fengwen Liu, Yun Zhang, and Lizeng Duan. 2020. "Application of Corrected Methods for High-Resolution XRF Core Scanning Elements in Lake Sediments" Applied Sciences 10, no. 22: 8012. https://doi.org/10.3390/app10228012
APA StyleZhang, X., Zhang, H., Chang, F., Ashraf, U., Peng, W., Wu, H., Liu, Q., Liu, F., Zhang, Y., & Duan, L. (2020). Application of Corrected Methods for High-Resolution XRF Core Scanning Elements in Lake Sediments. Applied Sciences, 10(22), 8012. https://doi.org/10.3390/app10228012

