Improved Anticancer Activity of the Malloapelta B-Nanoliposomal Complex against Lung Carcinoma
Abstract
Featured Application
Abstract
1. Introduction
2. Materials and Methods
2.1. Chemicals
2.2. Animals
2.3. MalB-Nanoliposome Preparation
2.3.1. Bangham Thin Film Method
2.3.2. Nanoliposomal Characterization
2.3.3. Encapsulated Efficiency
2.4. Cell Lines and Cell Culture
2.5. Cytotoxic Activities of malB-Conjugated Nanoliposomes
2.6. Clonogenic Inhibition of malB-Conjugated Nanoliposomes
2.7. Caspase 3 Inducible Activities of malB-Conjugated Nanoliposome
2.8. In Vivo Antitumor Activity
2.9. Statistical Analyses
3. Results
3.1. Preparation and Morphology of malB-Encapsulated Nanoliposomes
3.2. Compound Encapsulation by Nanoliposomes and Their Cytotoxicity
3.3. Inhibition of Colony Formation malB–Nanoliposome Complex
3.4. Caspase 3 Inductive Activities of malB and malB-Nanoliposome
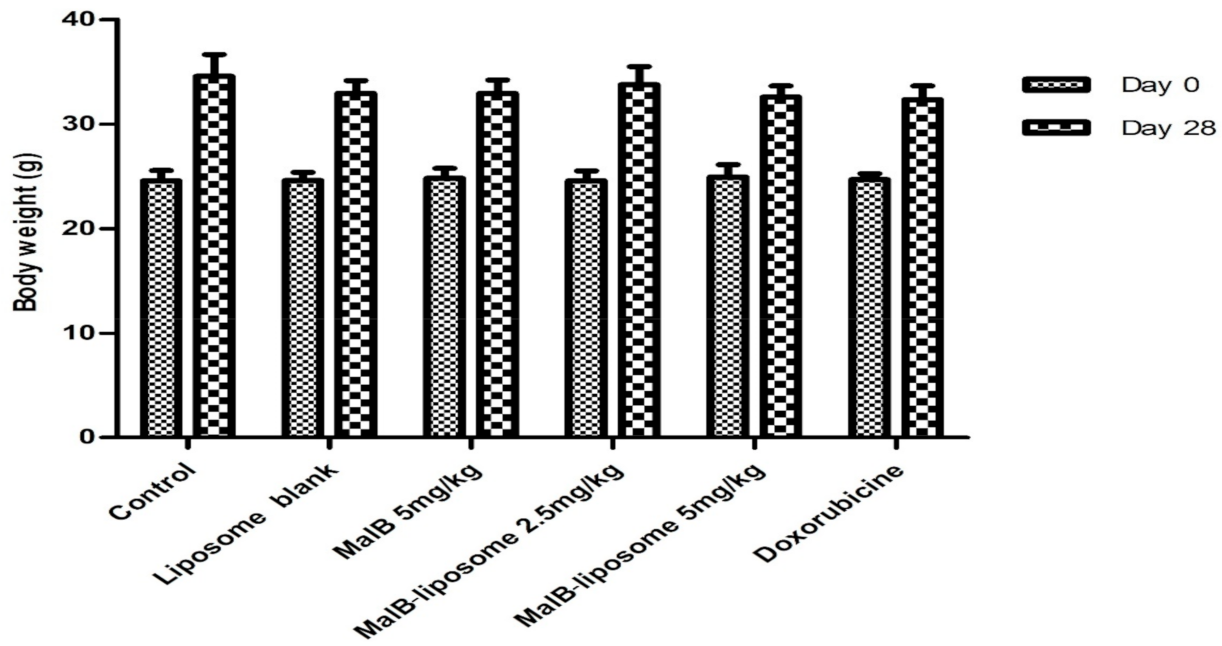
3.5. Tumor Inhibition Activity
4. Discussion
5. Conclusions
Author Contributions
Funding
Acknowledgments
Conflicts of Interest
References
- Bray, F.; Ferlay, J.; Soerjomataram, I.; Siegel, R.L.; Torre, L.A.; Jemal, A. Global cancer statistics 2018: GLOBOCAN estimates of incidence and mortality worldwide for 36 cancers in 185 countries. CA Cancer J. Clin. 2018, 68, 394–424. [Google Scholar] [CrossRef]
- Kim, J.S.; Cho, M.S.; Nam, J.H.; Kim, H.-J.; Choi, K.-W.; Ryu, J.-S. Prognostic impact of EGFR mutation in non-small-cell lung cancer patients with family history of lung cancer. PLoS ONE 2017, 12, e0177015. [Google Scholar] [CrossRef]
- Van Kiem, P.; Dang, N.H.; Bao, H.V.; Huong, H.T.; Van Minh, C.; Lee, J.J.; Kim, Y.H. New cytotoxic benzopyrans from the leaves ofMallotus apelta. Arch. Pharm. Res. 2005, 28, 1131–1134. [Google Scholar] [CrossRef]
- Van Luu, C.; Van Chau, M.; Lee, J.-J.; Jung, S.-H. Exploration of essential structure of malloapelta B for the inhibitory activity against TNF induced NF-κB activation. Arch. Pharmacal Res. 2006, 29, 840–844. [Google Scholar] [CrossRef]
- Nam, N.H.; Dang, N.H.; Van Kiem, P.; Van Chinh, L.; Binh, P.T.; La Dinh, M.; Van Minh, C. Study on benzopyrans and other isolated compounds from Mallotus apelta. J. Chem. 2007, 45, 111–121. [Google Scholar]
- Ma, J.; Shi, H.; Mi, C.; Li, H.L.; Lee, J.J.; Jin, X. Malloapelta B suppresses LPS-induced NF-κB activation and NF-κB-regulated target gene products. Int. J. Immunopharmacol. 2015, 24, 147–152. [Google Scholar] [CrossRef] [PubMed]
- Gurunathan, S.; Kang, M.-H.; Qasim, M.; Kim, J.-H. Nanoparticle-mediated combination therapy: Two-in-one approach for cancer. Int. J. Mol. Sci. 2018, 19, 3264. [Google Scholar] [CrossRef] [PubMed]
- ElBayoumi, T.A.; Torchilin, V.P. Current trends in liposome research. Methods Mol. Biol. 2010, 605, 1–27. [Google Scholar]
- Bangham, A.D.; Horne, R. Negative staining of phospholipids and their structural modification by surface-active agents as observed in the electron microscope. Adv. Drug Deliv. Rev. 1964, 8, 660-IN10. [Google Scholar] [CrossRef]
- Skehan, P.; Storeng, R.; Scudiero, D.; Monks, A.; McMahon, J.; Vistica, D.; Warren, J.T.; Bokesch, H.; Kenney, S.; Boyd, M.R. New colorimetric cytotoxicity assay for anticancer-drug screening. J. Natl. Cancer Inst. 1990, 82, 1107–1112. [Google Scholar] [CrossRef]
- Nobili, S.; Lippi, D.; Witort, E.; Donnini, M.; Bausi, L.; Mini, E.; Capaccioli, S. Natural compounds for cancer treatment and prevention. Pharmacol. Res. 2009, 59, 365–378. [Google Scholar] [CrossRef] [PubMed]
- Thao, D.T.; Phuong, D.T.; Trang, N.T.; Nga, N.T.; Chi, H.Y. Study the anticancer mechanism of the promissing compound 2B2D by using microarray technique. Vietnam J. Sci. Technol. 2012, 50, 267. [Google Scholar]
- Lomis, N.; Westfall, S.; Farahdel, L.; Malhotra, M.; Shum-Tim, D.; Prakash, S. Human serum albumin nanoparticles for use in cancer drug delivery: Process optimization and in vitro characterization. J. Nanomater. 2016, 6, 116. [Google Scholar] [CrossRef] [PubMed]
- Prathyusha, K.; Muthukumaran, M.; Krishnamoorthy, B. Liposomes as targetted drug delivery systems present and future prospectives: A review. J. Drug Deliv. Ther. 2013, 3, 195–201. [Google Scholar] [CrossRef]
- Lin, C.-M.; Li, C.-S.; Sheng, Y.-J.; Wu, D.T.; Tsao, H.-K. Size-dependent properties of small unilamellar vesicles formed by model lipids. Langmuir 2012, 28, 689–700. [Google Scholar] [CrossRef] [PubMed]
- Olusanya, T.O.; Haj Ahmad, R.R.; Ibegbu, D.M.; Smith, J.R.; Elkordy, A.A.J.M. Liposomal drug delivery systems and anticancer drugs. Molecules 2018, 23, 907. [Google Scholar] [CrossRef]
- Magin, R.L.; Hunter, J.M.; Niesman, M.R.; Bark, G.A. Effect of vesicle size on the clearance, distribution, and tumor uptake of temperature-sensitive liposomes. Cancer Drug Deliv. 1986, 3, 223–237. [Google Scholar] [CrossRef]
- Hosny, K.M. Ciprofloxacin as ocular liposomal hydrogel. AASP PharmSciTech 2010, 11, 241–246. [Google Scholar] [CrossRef]
- Tsotas, V.-A.; Mourtas, S.; Antimisiaris, S.G. Dexamethasone incorporating liposomes: Effect of lipid composition on drug trapping efficiency and vesicle stability. Drug Deliv. 2007, 14, 441–445. [Google Scholar] [CrossRef]
- Tabandeh, H.; Mortazavi, S.A. An investigation into some effective factors on encapsulation efficiency of alpha-tocopherol in MLVs and the release profile from the corresponding liposomal gel. Iran J. Pharm. Res. 2013, 12, 21. [Google Scholar]
- Epand, R.M.; Epand, R.F.; Maekawa, S. The arrangement of cholesterol in membranes and binding of NAP-22. Chem. Phys. Lipids 2003, 122, 33–39. [Google Scholar] [CrossRef]
- Porter, A.G.; Jänicke, R.U. Emerging roles of caspase-3 in apoptosis. Cell Death Differ. 1999, 6, 99–104. [Google Scholar] [CrossRef] [PubMed]
- Chang, H.Y.; Yang, X. Proteases for Cell Suicide: Functions and Regulation of Caspases. Microbiol. Mol. Biol. Rev. 2000, 64, 821–846. [Google Scholar] [CrossRef]
- Allen, T.M.; Cullis, P.R. Liposomal drug delivery systems: From concept to clinical applications. Adv. Drug Deliv. Rev. 2013, 65, 36–48. [Google Scholar] [CrossRef] [PubMed]
- De Smet, L.; Ceelen, W.; Remon, J.P.; Vervaet, C. Optimization of drug delivery systems for intraperitoneal therapy to extend the residence time of the chemotherapeutic agent. Sci. World J. 2013, 2013, 720858. [Google Scholar] [CrossRef] [PubMed]
- Al Shoyaib, A.; Archie, S.R.; Karamyan, V.T. Intraperitoneal Route of Drug Administration: Should it Be Used in Experimental Animal Studies? J. Pharm. Res. 2020, 37, 12. [Google Scholar] [CrossRef] [PubMed]
- Mirahmadi, N.; Babaei, M.; Vali, A.; Dadashzadeh, S. Effect of liposome size on peritoneal retention and organ distribution after intraperitoneal injection in mice. Int. J. Pharm. 2010, 383, 7–13. [Google Scholar] [CrossRef] [PubMed]
- Feng, J.; Iyer, A.; Seo, Y.; Broaddus, C.; Liu, B.; VanBrocklin, H.; He, J. Effects of size and targeting ligand on biodistribution of liposome nanoparticles in tumor mice. J. Nucl. Med. 2013, 54, 1339. [Google Scholar]
- Singhania, A.; Wu, S.Y.; McMillan, N.A. Effective delivery of PEGylated siRNA-containing lipoplexes to extraperitoneal tumours following intraperitoneal administration. J. Drug Deliv. 2011, 2011, 192562. [Google Scholar] [CrossRef]
- Mohamed, M.; Abu Lila, A.S.; Shimizu, T.; Alaaeldin, E.; Hussein, A.; Sarhan, H.A.; Szebeni, J.; Ishida, T. PEGylated liposomes: Immunological responses. Sci. Technol. Adv. Mater. 2019, 20, 710–724. [Google Scholar] [CrossRef]








| Types | DPPC (mg) | mPEG-Cholesterol (mg) | Cholesterol (mg) | malB (mg) | DCM (mL) |
|---|---|---|---|---|---|
| Formulation A | 4 | 1 | 0.50 | 0.50 | 10 |
| Formulation B | 4 | 1 | 0.75 | 0.25 | 10 |
| Formulation C | 4 | 1 | 0 | 0.25 | 10 |
| Formulation D | 4 | 1 | 0 | 0.50 | 10 |
| Blank | 4 | 1 | 0.75 | - | 10 |
| Types | Size (nm) | PDI | Zeta Potential (mV) | EE (%) |
|---|---|---|---|---|
| Formulation A | 130.53 ± 4.38 | 0.26 ± 0.04 | −2.02 ± 0.95 | 12.80 ± 1.55 |
| Formulation B | 101.53 ± 3.89 | 0.28 ± 0.03 | −0.52 ± 0.04 | 9.85 ± 0.21 |
| Formulation C | 76.98 ± 13.18 | 0.28 ± 0.04 | −5.53 ± 0.21 | 78.73 ** ± 9.52 |
| Formulation D | 124.41 ± 35.41 | 0.30 ± 0.03 | −2.70 ± 0.13 | 51.33 ** ± 6.53 |
| Blank | 119.70 ± 22.17 | 0.22 ± 0.02 | −2.80 ± 0.24 | - |
| Samples | IC50 Values (µM) | |||
|---|---|---|---|---|
| SK-LU-1 | LLC | CL141 | A549 | |
| MalB compound | 8.67 ± 0.89 | 9.59 ± 0.52 | 9.81 ± 0.81 | 10.35 ± 0.32 |
| MalB-nanoliposomes | 13.12 ± 1.47 | 12.35 ± 1.45 | 12.24 ± 1.38 | 11.86 ± 0.99 |
| Blank nanoliposomes | NA | NA | NA | NA |
| Groups | Mean Survival Time (Days) | % ILS |
|---|---|---|
| Control group (normal saline) | 30.20 ± 0.86 | - |
| Blank nanoliposome | 30.67 ± 0.80 | 1.56 |
| malB free (5 mg/kg b.w.) | 31.00 ± 0.84 | 2.65 |
| malB-nanoliposomes (2.5 mg/kg b.w.) | 31.20 ± 0.86 | 3.31 |
| malB-nanoliposomes (5 mg/kg b.w.) | 32.20 ± 0.97 | 6.62 |
| Doxorubicin (5 mg/kg b.w.) | 36.20 * ± 0.86 | 19.86 |
Publisher’s Note: MDPI stays neutral with regard to jurisdictional claims in published maps and institutional affiliations. |
© 2020 by the authors. Licensee MDPI, Basel, Switzerland. This article is an open access article distributed under the terms and conditions of the Creative Commons Attribution (CC BY) license (http://creativecommons.org/licenses/by/4.0/).
Share and Cite
Do, T.T.; Nguyen, T.N.; Do, T.P.; Nguyen, T.C.; Trieu, H.P.; Vu, P.T.T.; Le, T.A.H. Improved Anticancer Activity of the Malloapelta B-Nanoliposomal Complex against Lung Carcinoma. Appl. Sci. 2020, 10, 8148. https://doi.org/10.3390/app10228148
Do TT, Nguyen TN, Do TP, Nguyen TC, Trieu HP, Vu PTT, Le TAH. Improved Anticancer Activity of the Malloapelta B-Nanoliposomal Complex against Lung Carcinoma. Applied Sciences. 2020; 10(22):8148. https://doi.org/10.3390/app10228148
Chicago/Turabian StyleDo, Thi Thao, Thi Nga Nguyen, Thi Phuong Do, Thi Cuc Nguyen, Ha Phuong Trieu, Phuong Thi Thu Vu, and Tuan Anh Hoang Le. 2020. "Improved Anticancer Activity of the Malloapelta B-Nanoliposomal Complex against Lung Carcinoma" Applied Sciences 10, no. 22: 8148. https://doi.org/10.3390/app10228148
APA StyleDo, T. T., Nguyen, T. N., Do, T. P., Nguyen, T. C., Trieu, H. P., Vu, P. T. T., & Le, T. A. H. (2020). Improved Anticancer Activity of the Malloapelta B-Nanoliposomal Complex against Lung Carcinoma. Applied Sciences, 10(22), 8148. https://doi.org/10.3390/app10228148

