Abstract
Ionic liquids (ILs) are considered to be a new type of solvent due to their low vapor pressure, some unique properties and are expected to be used widely in the following days. Given their water solubility, stable chemical structure, and biological toxicity, ILs probably reach aquatic environments and become long-term pollutants. We studied the fate of benzothiazolium-based ionic liquids catalyzed by UV-H2O2 in water. Due to the synergistic effect of UV and H2O2, the degradation efficiency can be significantly improved compared to any of them alone. Fitting results showed that the degradation reaction follows pseudo-first-order kinetics and reaction rate constants with hydroxyl radicals ranging from 0.0005 s−1 to 0.0529 s−1. The experimental data showed that satisfactory results can be obtained at a temperature of 45 ℃, an initial concentration of ionic liquid of 0.1 M, and a hydrogen peroxide concentration of 0.1 M. We also explored the effects of chloride ions and pH on degradation reactions. In an appropriate situation, the degradation yield of [C4Bth]PF6 could achieve 97% in 60 min and 99% in 90 min. The UV-H2O2 combination process could provide an effective technique for the treatment of benzothiazolium-based ionic liquids in wastewater.
1. Introduction
Ionic liquids (ILs) are considered to be good substitutes for organic solvents with low vapor pressure and low flammability [1] and are widely used in various fields [2,3]. However, their toxicity has been paid more attention in recent years [4,5]. Benzothiazole ILs have been synthesized and have wide applications in synthesis [6], extraction [7], and separation [8,9]. It has been shown that benzothiazole ILs have toxic effects on zebrafish, especially in acidic environments [10]. Most ILs are relatively stable and toxic, so the efficiency of natural degradation is very low [11,12]. ILs are likely to become persistent pollutants and cause long-term damage to the ecological environment if discharged without treatment. There are few studies on the degradation of benzothiazole ILs. Therefore, it is of great significance to study methods for their effective treatment in wastewater.
The recovery methods of ILs in wastewater include extraction [13], adsorption [14,15], and membrane separation [16,17], but these methods cannot completely remove low-concentration ILs in wastewater. Degradation is considered to be an available method for the low-concentration ILs [18,19]. At present, there are many degradation methods, such as photodegradation [19,20], chemical oxidation [21,22], electrochemical oxidation [23,24], biodegradation [25], and thermal decomposition [26]. Thermal decomposition and biodegradation have certain limitations due to stable chemical structure and toxicity of ILs [12]. Electrochemical oxidation avoids the use of oxidants, but it is often necessary to add a suitable electrolyte into the aqueous IL solution to increase the conductivity of the solution, while electrolyte electrolysis may cause secondary contamination [27]. At present, photodegradation [28] and chemical oxidation are the most concerned methods for IL degradation. Previous studies have shown that photocatalysis can effectively degrade ILs. Complete degradation of ionic liquids (organic cations: BMIM and EMIM; inorganic anions: BF4−, PF6−, and Br−) can be achieved by combining hydrothermal and photocatalytic treatment [19]. Dye-sensitized photocatalysts (DCQ-TiO2/SiO2) have also been used to degrade imidazolium-based ionic liquids. The experimental results show that the synthesized photocatalyst has higher activity. Under the experimental conditions, the degradation rate of [BMIM]Br reached 95% at 180 minutes, and the photodegradation intermediate was identified as a harmless and easily biodegradable component [29]. Photocatalytic degradation is much faster than natural degradation (half-lives of IL cations ranged from 32 ± 4 to 135 ± 25 days) [11].
In this study, low concentrations of benzothiazole ILs aqueous solutions were used as experimental objects for exploring a simple and effective method for the treatment of these ILS. Influence conditions of the degradation process and the degradation kinetics were studied.
2. Materials and Methods
All chemicals involved in this paper were at least analytically pure. The methanol used in HPLC was chromatographic grade and purchased from Chengdu Kelong Chewed Reagent Factory (Chengdu, China). Sodium chloride and sodium hydroxide were purchased from Chengdu Chron Chemicals Co., Ltd. (Chengdu, China). Benzothiazole was purchased from Shanghai Titan Technology Co., Ltd. (Shanghai, China). Potassium hexafluorophosphate, sodium tetrafluoroborate, 1-bromo-n-propane, 1-bromo-n-butane, 1-bromopentane, and 1-bromo-n-hexane were purchased from Shanghai Aladdin Biochemical Technology Co., Ltd. (Shanghai, China). The synthesis method and purity of benzothiazolium-based ILs are shown in Figures S1 and S2. Dichloromethane, silver nitrate, and absolute ethanol were purchased from Chengdu Kelong Chemical Reagent Factory.
The experimental equipment for ultraviolet photocatalytic degradation of benzothiazole IL was an XH-300UL microwave ultrasonic ultraviolet photocatalytic synthesizer from Beijing Xianghu Technology Development Co., Ltd (Beijing, China). The UV wavelength used in the experiments was 365 nm, power was 250 W, and illumination was 5 mW cm−2. The light intensity was measured by its own ultraviolet radiation meter. In all experiments, we fixed the wavelength and intensity of ultraviolet light to explore the effect of other conditions on degradation response. The pH meter was supplied by Shanghai Yulong Instrument Co., Ltd. (Shanghai, China). The vacuum drying oven was provided by Gongyi Yuhua Instrument Co., Ltd. (Henan, China). The pure water machine was purchased from Sichuan Ulpure Technology Co., Ltd. (Chengdu, China) and the model of the pure water machine is UPH-I-10T.
The kinetic constant was obtained by simulating the concentration versus time function, and the kinetic rate constants under different conditions were compared.
HPLC analysis was performed using an LC system (Shimadzu, Kyoto, Japan) equipped with an LC-20AT pump and an HCT-360 LC column cooler/heater (Hengao Tech & Dev, Tianjin, China) coupled to an SPD-M20A PDA detector working at 278 nm. Separation was carried out using a Symmetry C18 column (Waters, Massachusetts, USA) of 4.6 × 250 mm, 5 μm, and thermostated at 30 ℃ using a 40/60 (v/v methanol: water) mixture as mobile phase with a flow-rate of 1 mL min. Class-VP workstation (Shimadzu, Kyoto, Japan) was used for data acquisition.
3. Results
3.1. Degradation Process Kinetics
We studied the degradation kinetics of benzothiazole ILs, which can reflect the change of ionic liquid concentration over time. Consequently, we can estimate the average half-life of ILs in aqueous solution and compare the degradation rates under different conditions intuitively. The calculation results are shown in Figure 1. It can be seen from the curve of the concentration of the reactants over time that the degradation reaction follows the pseudo-first-order kinetics and can be expressed in Equation (1). The rate constants for all cases are shown in Table S1.
ln(c/c0) = kt,
Figure 1.
Kinetic simulation of degradation of benzothiazole ILs; [C4BthPF6] = 0.1 mM, t = 45 °C, pH = 5.06, [H2O2] = 100 mM.
3.2. Effect of the Concentration of Hydrogen Peroxide on Degradation
Hydrogen peroxide is the main hydroxyl radical provider, so its initial concentration will naturally affect the degradation efficiency. An appropriate amount of hydrogen peroxide was added to the solution. The obtained results are shown in Figure 2. When the concentration of H2O2 is between 50 mM and 100 mM, the higher the concentration of H2O2, and the faster the [C4Bth]PF6 degrades. When the concentration of H2O2 is in the range of 100 mM to 150 mM, the concentration of H2O2 continues to increase and the degradation yield decreases. [C4Bth]PF6 has the fastest degradation rate when the concentration of H2O2 is 100 mM and the half-life of ionic liquids is 12 min. Continuing to increase the concentration of hydrogen peroxide does not always increase the yield of degradation because excessive concentration of hydrogen peroxide often leads to the "automatic scavenging reaction" as shown in the following equations (Equations (2)–(5)), which leads to the removal of oxidized hydroxyl radicals [30].
H2O2 + hv → 2·OH,
H2O2 + ·OH → HO2· + H2O,
HO2 + ·OH→O2 + H2O,
HO2· → O2·− + H+,
Figure 2.
Effect of concentration of hydrogen peroxide (a); effect of concentration of hydrogen peroxide (b) on kinetic constant; [C4BthPF6] = 0.1 mM, t = 45 ℃, pH = 5.06.
Therefore, considering both degradation efficiency and economy, a suitable initial concentration of hydrogen peroxide is 100 mM.
3.3. Effect of Initial Concentration of ILs on Degradation
As mentioned above, the reaction is a first-order kinetic reaction, and half-life of ILs should not be related to the initial concentration of the reactant. However, under fixed illumination intensity, ionic liquids can also absorb a part of ultraviolet light, which leads to the reduction of ultraviolet absorption of hydrogen peroxide. The final result is a reduction in the reaction rate. Therefore, we investigated the effect of ionic liquid concentration on the degradation rate. IL solutions of 0.05, 0.10, 0.15, and 0.20 mM were prepared. Experiments were carried out in the condition of 100 mM hydrogen peroxide and 45 ℃. Experimental results showed that the degradation yield gradually decreased with the increase of the concentration of IL. It can be seen from Figure 3 that when the IL concentration is less than 0.1 mM, the IL degradation yield is less increased. When the concentration is greater than 0.1 mM, the degradation yield is decreased more. Therefore, the 0.10 mM could be considered as an optimum initial IL concentration.
Figure 3.
Effect of concentration of initial concentration of ionic liquids (ILs) on degradation (a); effect of initial concentration of ILs (b) on kinetic constant; t = 45 ℃, pH = 5.06, [H2O2] = 100 mM.
3.4. Effect of Temperature on Degradation
On the basis of the Vant Hoff rule, the higher the temperature is, the higher the reaction rate will be. In this paper, the activity of hydroxyl radicals does increase with the rise of temperature, but hydrogen peroxide, which produces hydroxyl radicals, decomposes into oxygen and water more quickly, resulting in a decrease in the concentration of hydroxyl radicals. The degradation of 0.1 mM [C4Bth]PF6 was investigated in the condition of 100 mM H2O2 and pH 5.06 for different temperatures 25 ℃, 35 ℃, 45 ℃, 55 ℃, and 65 ℃. The experimental results are shown in Figure 4. The IL degradation yield increases with the increase of temperature when the system temperature is lower than 45 ℃. When the temperature is greater than 45 ℃, the situation is reversed.
Figure 4.
Effect of temperature on degradation (a); effect of temperature (b) on kinetic constant; [C4BthPF6] = 0.1 mM, pH = 5.06, [H2O2] = 100 mM.
3.5. Effect of Chloride Ion Concentration on Degradation
Chloride ions can react with hydroxyl radicals to form chlorine-containing inorganic radical ions (Equations (6)–(10)). The chlorine-containing radical ion can further generate chlorine radicals. The reactivity of chlorine radicals is much smaller than that of hydroxyl radicals. Chloride ions and chlorine radicals further generate dichloro radicals. Finally, the generated chlorine molecules terminate the transfer of free radicals [31]. Chloride ions are widely found in ocean and river water and also in industrial wastewaters, so the effect of chloride ion concentration on oxidative degradation was considered in this study.
Different concentration levels of NaCl were added to an aqueous solution containing 0.1 mM IL and 100 mM H2O2 to make chloride anion concentrations of 0.001 M, 0.01 M, and 0.1 M. The photo-assisted oxidation reaction was carried out in a water bath at a temperature of 45 ℃. The results are shown in Figure 5a, where it can be seen from the figure that the chloride ion had a significant inhibitory effect on the degradation of benzothiazole ILs and the degradation efficiency was significantly reduced when the concentration of chloride ion was only 0.001 M. The mechanism by which chloride ions inhibit the degradation reaction was as follows:
Cl− + ·OH → HOCl·−,
HOCl·− + H+ → Cl· + H2O,
Cl· + Cl− → Cl2·−,
2Cl2·− → 2Cl− + Cl2 (aq),
2Cl· → Cl2,
Figure 5.
Effect of chloride ion concentration on degradation (a) and carbon chain length of ILs (b) on degradation; [IL] = 0.1 mM, t = 45 ℃, [H2O2] = 100 mM.
3.6. Effect of Length of Side Chain on Degradation
ILs of different carbon chain lengths were prepared into aqueous solutions of 0.1 mM concentration. The degradation was investigated in the condition of hydrogen peroxide 100 mM and 45 ℃. As can be seen from Figure 5b, the degradation yields of the four ILs are sorted from fast to slow: [C4Bth]PF6 > [C6Bth]PF6 > [C5Bth]PF6 > [C3Bth]PF6 and the yield of degradation is not directly related to the length of the carbon chain.
3.7. Effect of Initial pH of IL Solution on Degradation
The pH of the [C4Bth]PF6 aqueous solution was adjusted to 1, 3, 5.06 (natural pH), 7, 9, and 11. The result is shown in Figure 6. The experimental results show that when the pH is in the lower interval (pH = 1~7), the higher the pH, the faster the IL degradation yield. In contrast, when the pH is in a high range (pH = 7 to 11), the higher the pH, the slower the degradation yield. In fact, changes in pH produce two relative effects. On the one hand, at higher pH, the H2O2 molar absorption coefficient is larger, which is conducive to promoting the reaction and producing •OH. On the other hand, it is also possible to remove •OH by the following reaction.
HO2− + ·OH → HO2· + OH−,
Figure 6.
Effect of pH on degradation; [IL] = 0.1 mM, t = 45 ℃, [H2O2] = 100 mM.
When the pH is at a higher level (pH = 7~11), the removal yield of •OH is greater than the production yield, and the ILs degradation efficiency is reduced. Therefore, a neutral or weakly acidic solution is more suitable for the UV-H2O2 oxidative degradation reaction. When the concentration of [C4Bth] PF6 is 0.1 mM, its value of pH is 5.06, which is weakly acidic, and the pH is not further adjusted in consideration of the economy. However, according to the existing literature, in the process of photocatalytic degradation of ILs by UV-H2O2, alkaline solution is more favorable for this process than an acidic solution. In the process of pH changing from acid to alkaline, the degradation rate of ionic liquid rises in a straight line. The degradation rate first increased slowly, then decreased, and then increased rapidly. The degradation rate of methylimidazolium ILs under natural pH is much lower than that under alkaline conditions [30], but the degradation rate of benzothiazolium ILs may be different from that of methylimidazolium ILs.
3.8. Photodegradation Reaction Kinetics
In this paper, we examined seven factors that may have impacts on the degradation rate and they are hydrogen peroxide concentration, ionic liquid concentration, temperature, pH, side chain length, and chloride ion concentration. Combined with the degradation rate constant and the half-life of the ionic liquid, we found that the ionic liquid concentration (c0), temperature (T), and hydrogen peroxide concentration (G) have a clear mathematical relationship with the rate constant within a certain range, and the rest of the conditions are not. Therefore, the power exponent equation (Equation (12)) is used to represent the change of ILs content over time during degradation. The specific calculation methods are shown in Figure S3.
k = f(G, c0, T) = εGac0bTc,
We perform a regression analysis of the rate constant k and the hydrogen peroxide concentration (50~150 mM) to obtain the relationship between k and hydrogen peroxide concentration(G).
k = k1Ga,
lnk = lnk1 + alnG,
In Equation (13), k1 and a are constants. When the concentration of hydrogen peroxide is in the range of 50~100 mM, ln k is plotted on the abscissa and ln G is plotted on the ordinate. We can calculate the values of k1 and a.
k = 0.02260G0.1900,
Similar to the above method of calculation, when the IL concentration is in the range of 0.05 to 0.20 mM, the values of k and b can be calculated as follows:
k = 0.0071c0−0.8063,
When the temperature is between 25 and 45 ℃, the values of k and T can be calculated as follows:
k = 0.00369T0.7037,
In this paper, the total reaction kinetic constant could be expressed by a power exponential equation (Equation (18)). When pH = 5.06, T = 45 ℃, G = 100 mM, and c0 = 0.1 M; the value of ε can be found to be 2.44 × 10−4. Therefore, the general equation can be written as
k = 2.44 × 10−4G0.1900c0−0.8063T0.7037,
The influence of three factors on the degradation of benzothiazole ILs from strong to weak was: initial concentration of IL (c0) > temperature (T) > concentration of hydrogen peroxide (G). Moreover, hydrogen peroxide concentration, temperature, and degradation rate constant are positively correlated, while ionic liquid concentration is negatively correlated.
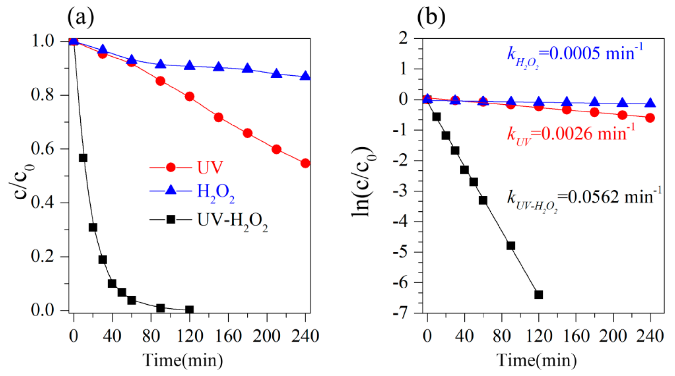
3.9. Effect of Different Degradation Methods on Kinetic Constant
The degradation catalyzed with a UV light, a hydrogen peroxide alone, and a combination of UV and hydrogen peroxide are compared (the obtained results are shown in Figure 7). It can be seen from the kinetic constant that the combination (kUV-H2O2 = 0.0562 min−1, t1/2 = 12 min) is much greater than that of anyone alone (kUV = 0.00 26min−1, t1/2 = 266 min, kH2O2 = 0.0005 min−1, t1/2 = 1386 min), which means the UV-H2O2 system is much more efficient. This is because UV can promote the conversion of hydrogen peroxide to hydroxyl radicals (Equation (2)).
Figure 7.
Effect of different methods (a) on degradation; effect of different methods (b) on the rate constant of degradation kinetics; [C4BthPF6] = 0.1 mM, t = 45 ℃, pH = 5.06, [H2O2] = 100 mM.
4. Conclusions
The degradation of benzothiazole ILs in wastewater could be achieved satisfactorily with UV, H2O2, and UV-H2O2. The degradation reaction in the UV-H2O2 system exhibits the most efficiency and accords a pseudo-first-order kinetic. The influence of three main factors on the degradation from strong to weak was: initial concentration of IL, temperature, and amount of oxidant. In addition, the anion property of ILs has a significant effect on the degradation and chloride ion in the reaction environment and can significantly reduce the degradation yield. This study could prove an alternative way to treat low concentrations of benzothiazole ILs in wastewater.
Supplementary Materials
The following are available online at https://www.mdpi.com/2076-3417/10/3/894/s1. Figure S1. The synthesis procedure of benzothiazole-based ionic liquids; Figure S2. HPLC chromatogram of six benzothiazolium-based ionic liquids; Figure S3. Effect of concentration of ILs on degradation (a); Effect of concentration of ILs on kinetic constant (b); Degradation kinetic constants corresponding to different concentrations of ILs (c); Linear fit of lnk and lnc0 (d); Table S1. Degradation rate constant k under different conditions.
Author Contributions
Conceptualization, H.S. and M.Z.; methodology, H.Z. and Y.S.; validation, J.G., H.Z., and X.W.; formal analysis, J.G.; writing—original draft preparation, J.G.; writing—review and editing, H.S.; visualization, S.Y.; supervision, M.Z. All authors have read and agreed to the published version of the manuscript.
Funding
This research received no external funding.
Conflicts of Interest
The authors declare no conflicts of interest.
References
- Rogers, R.D.; Seddon, K.R. CHEMISTRY: Ionic Liquids—Solvents of the Future? Science 2003, 302, 792–793. [Google Scholar] [CrossRef]
- Sowmiah, S.; Srinivasadesikan, V.; Tseng, M.-C.; Chu, Y.-H. On the Chemical Stabilities of Ionic Liquids. Molecules 2009, 14, 3780–3813. [Google Scholar] [CrossRef]
- Nagy, B.; Bakos, I.; Geissler, E.; László, K. Water-Ionic Liquid Binary Mixture Tailored Resorcinol-Formaldehyde Carbon Aerogels without Added Catalyst. Materials 2019, 12, 4208. [Google Scholar] [CrossRef]
- Richardson, S.D.; Ternes, T.A. Water analysis: Emerging contaminants and current issues. Anal. Chem. 2011, 83, 4614–4648. [Google Scholar] [CrossRef]
- Calza, P.; Vione, D.; Fabbri, D.; Aigotti, R.; Medana, C. Imidazolium-based ionic liquids in water: Assessment of photocatalytic and photochemical transformation. Environ. Sci. Technol. 2015, 49, 10951–10958. [Google Scholar] [CrossRef] [PubMed]
- Barhdadi, R.; Maekawa, H.; Comminges, C.; Troupel, M. Catalytic electrosynthesis in ionic liquid: Performance of nickel–(2,2′-bipyridine) complexes for production of aryl propan-2-ones. Chem. Soc. Jpn. 2009, 82, 1510–1513. [Google Scholar] [CrossRef]
- Ma, S.; Funaki, K.; Miyazaki, A.; Muramatsu, A.; Kanie, K. Ionic Liquids with Amino Moieties: Selective and Reversible Extraction/Back-Extraction for Platinum-Group Metal Ions from Aqueous Solutions. Chem. Lett. 2017, 46, 1422–1425. [Google Scholar] [CrossRef]
- Feng, X.; Song, H.; Dong, B.; Yang, Y.; Yao, S. Sequential extraction and separation using ionic liquids for stilbene glycoside and anthraquinones in polygonum multiflorum. J. Mol. Liq. 2017, 241, 27–36. [Google Scholar] [CrossRef]
- Torralba-Calleja, E.; Skinner, J.; Gutiérrez-Tauste, D. CO2 capture in ionic liquids: A review of solubilities and experimental methods. J. Chem. 2013, 2013, 1–16. [Google Scholar] [CrossRef]
- Chen, Y.; Luo, Y.; Yang, X.; Yao, S.; Song, H. Toxic effect of benzothiazole ionic liquids on antioxidation mechanism of zebrafish. Chem. Ind. Eng. Proc. 2016, 35, 2. [Google Scholar]
- Pati, S.G.; Arnold, W.A. Photochemical transformation of four ionic liquid cation structures in aqueous solution. Environ. Sci. Technol. 2017, 51, 11780–11787. [Google Scholar] [CrossRef] [PubMed]
- Jordan, A.; Gathergood, N. Biodegradation of ionic liquids—A critical review. Chem. Soc. Rev. 2015, 44, 8200–8237. [Google Scholar] [CrossRef] [PubMed]
- Scurto, A.M.; Aki, S.N.V.K.; Brennecke, J.F. Carbon dioxide induced separation of ionic liquids and water. Chem. Commun. 2003, 5, 572–573. [Google Scholar] [CrossRef] [PubMed]
- Palomar, J.; Lemus, J.; Gilarranz, M.A.; Rodriguez, J.J. Adsorption of ionic liquids from aqueous effluents by activated carbon. Carbon 2009, 47, 1846–1856. [Google Scholar] [CrossRef]
- Li, X.; Li, S.; Wang, F.; Xi, H.; Wang, L. Adsorption of [bmim]cl ionic liquid by acid—Modified bentonite. Chinese. J. Chem. Eng. 2007, 58, 1489–1493. [Google Scholar]
- Liu, X.; Wang, W. The application of nanofiltration technology in recovery of ionic liquids from spinning wastewater. AMM 2012, 178–181, 499–502. [Google Scholar] [CrossRef]
- Haerens, K.; Van Deuren, S.; Matthijs, E.; Van der Bruggen, B. Challenges for recycling ionic liquids by using pressure driven membrane processes. Green Chem. 2010, 12, 2182. [Google Scholar] [CrossRef]
- Li, X.; Zhao, J.; Li, Q.; Wang, L.; Tsang, S.C. Ultrasonic chemical oxidative degradations of 1,3-dialkylimidazolium ionic liquids and their mechanistic elucidations. Dalton Trans. 2007, 19, 1875. [Google Scholar] [CrossRef]
- Itakura, T.; Hirata, K.; Aoki, M.; Sasai, R.; Yoshida, H.; Itoh, H. Decomposition and removal of ionic liquid in aqueous solution by hydrothermal and photocatalytic treatment. Environ. Chem. Lett. 2009, 7, 343–345. [Google Scholar] [CrossRef]
- Esplugas, S.; Giménez, J.; Contreras, S.; Pascual, E.; Rodrıguez, M. Comparison of different advanced oxidation processes for phenol degradation. Water Res. 2002, 36, 1034–1042. [Google Scholar] [CrossRef]
- Siedlecka, E.M.; Mrozik, W.; Kaczyński, Z.; Stepnowski, P. Degradation of 1-butyl-3-methylimidazolium chloride ionic liquid in a fenton-like system. J. Hazard. Mater. 2008, 154, 893–900. [Google Scholar] [CrossRef] [PubMed]
- Siedlecka, E.M.; Stepnowski, P. The effect of alkyl chain length on the degradation of alkylimidazolium- and pyridinium-type ionic liquids in a fenton-like system. Environ. Sci. Pollut. R. 2009, 16, 453–458. [Google Scholar] [CrossRef] [PubMed]
- Kroon, M.C.; Buijs, W.; Peters, C.J.; Witkamp, G. Decomposition of ionic liquids in electrochemical processing. Green Chem. 2006, 8, 241–245. [Google Scholar] [CrossRef]
- Siedlecka, E.M.; Stolte, S.; Gołębiowski, M.; Nienstedt, A.; Stepnowski, P.; Thöming, J. Advanced oxidation process for the removal of ionic liquids from water: The influence of functionalized side chains on the electrochemical degradability of imidazolium cations. Sep. Purif. Technol. 2012, 101, 26–33. [Google Scholar] [CrossRef]
- Stolte, S.; Abdulkarim, S.; Arning, J.; Blomeyer-Nienstedt, A.; Bottin-Weber, U.; Matzke, M.; Ranke, J.; Jastorff, B.; Thoming, J. Primary biodegradation of ionic liquid cations, identification of degradation products of 1-methyl-3-octylimidazolium chloride and electrochemical wastewater treatment of poorly biodegradable compounds. Green Chem. 2008, 10, 214–224. [Google Scholar] [CrossRef]
- Mahrova, M.; Conte, M.; Roman, E.; Nevshupa, R. Critical insight into mechanochemical and thermal degradation of imidazolium-based ionic liquids with alkyl and monomethoxypoly(ethylene glycol) side chains. J. Phys. Chem. C 2014, 118, 22544–22552. [Google Scholar] [CrossRef]
- Bocos, E.; González-Romero, E.; Pazos, M.; Sanromán, M.A. Application of electro-fenton treatment for the elimination of 1-butyl-3-methylimidazolium triflate from polluted water. Chem. Eng. J. 2017, 318, 19–28. [Google Scholar] [CrossRef]
- Reinosa, J.J.; Docio, C.M.Á.; Ramírez, V.Z.; Lozano, J.F.F. Hierarchical nano zno-micro tio2 composites: High uv protection yield lowering photodegradation in sunscreens. Ceram Int. 2018, 44, 2827–2834. [Google Scholar] [CrossRef]
- Huang, L.; Yu, Y.; Fu, C.; Guo, H.; Li, X. Photocatalytic degradation of imidazolium ionic liquids using dye sensitized tio2-sio2 composites. J. Roy. Soc. Med. 2017, 51, 32120–32125. [Google Scholar] [CrossRef]
- Boutiti, A.; Zouaghi, R.; Bendjabeur, S.E.; Guittonneau, S.; Sehili, T. Photodegradation of 1-hexyl-3-methylimidazolium by uv/h2o2 and uv/tio2: Influence of ph and chloride. J. Photochem. Photobiol. A 2017, 336, 164–169. [Google Scholar] [CrossRef]
- Li, X.; Li, F. Study of au/au(3+)-tio2 photocatalysts toward visible photooxidation for water and wastewater treatment. Environ. Sci. Technol. 2001, 35, 2381–2387. [Google Scholar] [CrossRef] [PubMed]
© 2020 by the authors. Licensee MDPI, Basel, Switzerland. This article is an open access article distributed under the terms and conditions of the Creative Commons Attribution (CC BY) license (http://creativecommons.org/licenses/by/4.0/).






