Abstract
Imidophosphoric organic esters containing phosphoryl groups are potential polydentate ligands and promising extractants of rare-earth elements. For their preparation, a monophosphazene salt [PCl3=N−PCl3]+[PCl6]− and short phosphazene oligomers of the general formula [Cl–(PCl2=N)n–PCl3]+[PCl6]−, where n = 4–7, were synthesized via living cationic polymerization of Cl3P=NSiMe3 and used as starting compounds. All phosphazenes were reacted with 2-ethylhexanol to obtain the corresponding esters of imidophosphoric acids (EIPAs). The formation of imidophosphoric acids occurs due to the phosphazene-phosphazane rearrangement of –P(OR)2=N– or –P(OH)(OR)=N– units, where R = 2-ethylhexyl. The prepared EIPAs were characterized by 1H, 31P NMR, and MALDI-TOF analyses and their extractive capacity towards lanthanide ions in aqueous solutions of nitric acid was examined. The EIPAs are mixtures of mono-, di-, and trifunctional compounds of the type HxA, where x = 1–3, which can form chelate complexes of lanthanide ions [Ln(A)z], where z = 3–6, depending on the chain length. The longer chain EIPAs are more suitable for collective rare-earth elements extraction. A comparison of the extraction properties of the EIPAs with the industrially used polyalkylphosphonitrilic acid (PAPNA) was drawn.
1. Introduction
Organophosphorus compounds containing imido groups capable of forming neutral chelate complexes with certain metals are widely used as catalytic systems [1,2,3], biologically active [4], and luminescent metal complexes [5], and in metal extraction processes [6,7,8,9,10,11].
Synthetic approaches to various derivatives of imidophosphoric acids are widely represented [12,13,14], and the effectiveness of these compounds as rare-earth elements (REE) extractants is well established [14,15,16,17].
Several esters of imidophosphoric acids (EIPAs) with general formula {OP(OR)2}2NH, where R = Me, Et, n-Pr, i-Pr, n-Bu, n-Hex, n-Oct, –C2H4OC2H5, –C2H4F, –C2H4Cl, –CH(CH2Cl)2, –CH=CHCF2CF3, Ph, o-, m- and p-methylphenoxy groups, or containing mixed substituents {OP(OR’)2}NH{P(OR”)2O}, where R’ and R” correspond to Et and n-Bu, Me and Ph, Et and Ph, Ph and p-methylphenyl, were prepared and described [18]. However, most of these compounds are not even characterized by routine NMR spectroscopy or mass spectrometry.
The first short-chain EIPAs were prepared by reaction between diphenoxyphosphamide (PhO)2P(O)NH2 and phosphorus pentachloride with further successive treating of the resulting products with formic acid and alkali metal alkoxides or phenolates (Scheme 1) [19].
Scheme 1.
Imidophosphoric acid ester synthesis via Kirsanov reaction between diphenoxyphosphamide and PCl5 and further treating with formic acid and alkoxides or phenolates.
The simplest synthetic way to EIPAs is alcoholysis of imidodiphosphoric acid tetrachlorides (OPCl2)2NH with NaOR (R = alkyl, aryl) leading to the formation of the corresponding symmetrical esters [7,18]. Short-chain EIPAs can be prepared by direct reaction of trichlorophosphazodichlorophosphonyl (TCDP or dichlorophosphinylphosphorimidic trichloride) Cl3P=N–POCl2 with aliphatic alcohols using amine as an acceptor of HCl similarly as it usually used in aminophosphazene derivatives synthesis [20] or by treatment of the corresponding “pentaesters” with hydrochloric acid (Scheme 2) [21]. EIPAs with medium chain length or longer can be synthesized by the reaction of TCDP higher oligomer homologs with aliphatic alcohols or their alkoxides.
Scheme 2.
Synthesis of imidophosphoric acid esters by the reaction of TCDP with aliphatic alcohols (a) or by treatment of the corresponding “pentaesters” with hydrochloric acid (b).
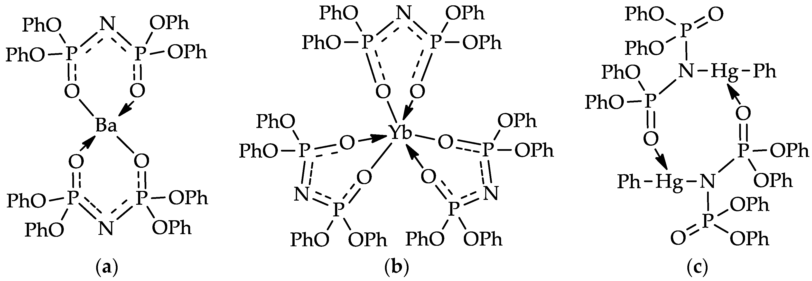
The short-chain EIPAs form metal complexes containing deprotonated {OP(OR)2}2N− ligands. The spatial structure of a complex depends on the chemical properties of a metal. Phosphonyl oxygen atoms coordination –P=O∙∙∙M∙∙∙O=P– takes place in the complexes of {OP(OPh)2}2NH with Na, Ba, Ca, Cu, Fe (Figure 1a) [22,23]. EIPAs also form lanthanide complexes similar to those with other metals (Figure 1b) [6,24]. However, reaction of {OP(OPh)2}2NH with phenylmercury hydroxide PhHgOH leads to formation of covalent N–Hg–Ph bonds along with coordination of one phosphonyl oxygen atom with a mercury atom of a neighboring molecule (in this case, a dimeric association in the crystal structure is observed, Figure 1c) [25].
Figure 1.
Various complexes of {OP(OPh)2}2NH with Ba (a), Yb (b) and Hg (c).
EIPAs represent a large and diverse class of organophosphorus compounds, which are widely used as REE extractants due to their ability to form metal complexes. Di-(2-ethylhexyl) phosphoric acid (D2EHPA) and 2-ethylhexyl phosphoric acid mono-2-ethylhexyl ester (EHEHPA) are the most thoroughly studied among them [26,27,28,29]. Since REE are poorly stripped from D2EHPA complexes, EHEHPA is considered to be a perspective alternative with greater selectivity to REE and the possibility of stripping at lower acidities. However, EHEHPA has lower extraction efficiency in comparison with D2EHPA. The use of extractant blends of D2EHPA with various agents also demonstrates some improvements in extraction and separation processes [30,31,32] but does not eliminate all drawbacks of the base extractant. Hence, an active search for new highly efficient extractants and accurate study of their extraction properties are still of utmost actuality.
EIPAs containing 2-ethylhexyloxy groups at phosphorus atoms form complexes with various metals and exhibit high selectivity in the separation of REE by extraction methods [33,34]. A study of extraction properties of EIPAs can reveal the effects of their structure, the chain length of various EIPAs homologs and multidentate coordination ability on the extractability of REE from acidic solutions. Molecular weight characteristics of EIPAs can be precisely defined at the preliminary stage due to the synthesis of linear chlorophosphazene salts via living cationic polymerization [35,36,37,38] since the further substitution of chlorine atoms by RO−-units does not change their chain length. The EIPAs chain length control allows studying the dependency of extractive capacity and selectivity on spacer length between terminal phosphonyl groups and the number of N–P=O fragments in extractant structure.
In this paper, we report on the results of the survey conducted to determine structural aspects and extractive capacity of imidophosphoric esters, synthesized by derivatization of linear phosphazenes of various chain lengths.
2. Materials and Methods
Materials. Phosphorus pentachloride (≥98% pure, Acros Organics, Geel, Belgium) was purified by vacuum sublimation. Ammonium sulfate (≥99% pure) and metallic sodium were obtained from Acros Organics and were used without further purification. Hexamethyldisilazane (HMDS), obtained from Penta-91, was purified under standard conditions and freshly distilled prior to use. 2-Ethylhexanol (99% pure, Acros Organics) was purified by distillation to remove water traces. 2,2,2-Trifluoroethanol (>95% pure, JSC “PIM-Invest”, Moscow, Russia) was freshly distilled prior to use. Polyalkylphosphonitrile acid (PAPNA, ≥99.8% pure) and RED-3 (≥98% pure, dearomatized extraction diluent, which is an oil hydrocarbon liquid of the C9-C13 fraction along with several n-alkanes) was provided by D.I. Mendeleev University of Chemical Technology of Russia and used as received. Ethylenediaminetetraacetic acid disodium salt dihydrate (>98.5% pure, Sigma-Aldrich, St. Louis, MO, USA), ascorbic acid (99% pure, Sigma-Aldrich), xylenol orange (99% pure, JSC “PCGroup”, Moscow, Russia) was used as received.
The initial REE compounds were Y, Pr oxides (>99.5% pure, JSC “Rushim”, Moscow, Russia), La, Ce, Nd, Sm, Gd, Dy, Yb nitrates (>99% pure, JSC “Rushim”), Ho chloride (>99% pure, JSC “Rushim”). Analysis of rare-earth elements for purity was carried out by comparing the results of titrimetric and gravimetric methods, as well as on Jobin Yvon 38P plasma spectrometer. Results of inductively coupled plasma spectroscopy analyses showed that the content of impurities in the REE salts did not exceed 0.01%. Corresponding metal oxides and chlorides were converted to nitrate form for extraction studies.
The solvents, dried according to standard procedures, were used in a freshly distilled form.
All glassware was dried in an oven or flame-dried under vacuum and cooled in the inert atmosphere before use. All reactions were performed using standard Schlenk techniques.
Equipment. The 31P, 13C, and 1H NMR spectra were recorded on a Bruker AM300 spectrometer at 121, 75, and 300 MHz, respectively. Mass spectra of MALDI-TOF were obtained on the “Bruker Auto Flex II” instrument.
The content of impurities in metal salts was estimated by ICP spectra recorded on the ICP Jobin Yvon 38P plasma spectrometer. The content of functional acidic groups in extractants was determined by potentiometric titration using a pH meter Mettler Toledo S400.
Trichlorophosphazodichlorophosphonyl (dichlorophosphinyl-phosphorimidic trichloride, TCDP) Cl3P=N–POCl2 was synthesized by the reaction of (NH4)2SO4 with PCl5 according to the procedure described in [39]. Purification was carried out by vacuum distillation, white crystals were obtained with Tm = 32–35 °C; 31P NMR (CDCl3): δP = −3.1 ppm (d, –Cl3P=N–), δP = −11.6 ppm (d, –P(=O)Cl2). Yield: 73%.
N-(trimethylsilyl)trichlorophosphoranimine Cl3P=NSiMe3 was synthesized as reported previously [40] by direct reaction of PCl5 and hexamethyldisilazane. Yield: 52%. 31P NMR (CDCl3): δP = −54.8 ppm (s); 1H NMR (CDCl3): δH = 0.16 ppm (d, J = 1 Hz); 13C NMR (CDCl3): δC = 1.9 ppm (d, J = 7 Hz, SiCH3).
Monochlorophosphazene salt (trichlorophosphazodichlorophosphonium hexachlorophosphate) [Cl3P=N–PCl3]+[PCl6]− was prepared by the reaction of Cl3P=NSiMe3 with PCl5. A solution of Cl3P=NSiMe3 (1.08 g, 4.80 mmol) in CH2Cl2 (20 mL) cooled to −55 °C was added dropwise to a solution of PCl5 (2 g, 9.59 mmol) in CH2Cl2 (50 mL) placed in a three-necked flask. The reaction mixture was allowed to warm to room temperature and stirred with a magnetic stirrer. The conversion of monomer to monophosphazene salt was monitored by 31P NMR spectrometry. After complete conversion, all volatiles were removed under vacuum. The resulting product was obtained as a white-colored crystalline solid. Yield: 2.37 g (93%). 31P NMR (CDCl3): δP = 21.5 ppm (s, –PCl3+), δP = –292.5 ppm (s, PCl6–).
Oligodichlorophosphazene [Cl–(PCl2=N)n–PCl3]+[PCl6]−, where n = 4–7, was synthesized via living cationic polymerization of Cl3P=NSiMe3. A solution of Cl3P=NSiMe3 (9.39 g, 48.02 mmol) in CH2Cl2 (30 mL) was added dropwise to a solution of PCl5 (2 g, 9.59 mmol) in CH2Cl2 (50 mL) cooled to 0 °C in a three-necked flask. The reaction mixture was allowed to warm to room temperature and stirred with a magnetic stirrer. After complete conversion, confirmed by 31P NMR spectroscopy, all volatiles were removed under reduced pressure. Resulting light-yellow transparent viscous liquid was obtained in 6.58 g 91% yield. According to MALDI-TOF, the distribution of phosphazene homologs in the final mixture was as follows: four (24%), five (39%), six (29%) and seven (7%) –P=N– units with impurities content of not more than 0.5%.
Triphenoxyphosphazodiphenoxyphosphonyl (PhO)3P=N–(PhO)2P=O, was purchased from Elortech, LLC and was used without purification, Tm = 73 °C, 31P NMR (CDCl3): δP = –15.6 ppm (d, –P=N–), δP = –21.7 ppm (d, –P=O).
Partial hydrolysis of [Cl3P=N–PCl3]+[PCl6]−. A three-necked flask equipped with a magnetic stirrer was loaded with a solution of [Cl3P=N–PCl3]+[PCl6]− (1 g, 1.88 mmol) in dichloromethane (50 mL). Then freshly distilled water (67.7 mg, 3.76 mmol) was added dropwise. The reaction mixture was stirred at room temperature for 1 h. The solvent was removed under reduced pressure and the resulting mixture was analyzed by 31P NMR spectroscopy and consisted of Cl3P=N–POCl2 and POCl3. 31P NMR (CDCl3): δP = −3.1 ppm (d, Cl3P=N–), δP = −11.6 ppm (d, –P(=O)Cl2), δP = 4.5 ppm (s, POCl3).
The reaction between [Cl3P=N–PCl3]+[PCl6]− and sodium trifluoroethylate was carried out similarly to the aforementioned partial hydrolysis of monophosphazene salt.
Synthesis of 2-ethylhexyl derivatives of imidophosphoric acids based on TCDP. A three-necked flask equipped with a magnetic stirrer and a reflux condenser with a CaCl2 tube was charged with a solution of TCDP (10.28 g, 0.038 mol) in dioxane (40 mL) and a solution of 2-ethylhexanol (29.8 g, 0.229 mol) in dioxane (50 mL). The reaction was carried out at 100 °C with stirring for 48 h with HCl purge with dry argon. At the end of the process, the solvent was distilled off using a rotary vacuum evaporator. The resulting liquid mass was dissolved in 150 mL of chloroform and repeatedly washed with distilled water in a separatory funnel. After vacuum distillation, the product was a clear, oily liquid with a yellow hue (21.1 g).
Synthesis of 2-ethylhexyl derivatives of imidophosphoric acids based on oligodichlorophosphazene. A three-necked flask equipped with a magnetic stirrer, a reflux condenser with calcium chloride tube, and under a positive flow of argon was successively loaded with a solution of oligodichlorophosphazene (4.37 g) in dioxane (20 mL) and a solution of 2-ethylhexanol (11.41 g) in dioxane (25 mL). The further process was carried out in a similar way as for TCDP. The product obtained was a clear oily yellowish liquid (8.04 g).
Determination of EIPAs and PAPNA extraction characteristics. The REE ions concentration in the initial and equilibrium aqueous phases was determined by the titrimetric method. A 250 mL conical flask was successively loaded with an aliquot of REE solution, 1% aqueous solution of ascorbic acid (2–3 drops), acetate buffer solution (20 mL, pH = 5.2–5.4), 1% aqueous solution of xylenol orange (3–5 drops) and diluted with water to 100 mL. The prepared solution was titrated with ethylenediaminetetraacetic acid disodium salt dihydrate solution (0.05 mol/L) until the color changed from violet to yellow.
Acetate buffer solution was prepared according to the following procedure: acetic acid (32 mL) was mixed with 25% ammonia solution (34 mL). Then it was diluted with distilled water to 1000 mL in a volumetric flask.
To calculate the concentration of metal ions in the aqueous phase the following Equation (1) was used:
where C1 is the concentration of metal ions in the aqueous phase, mol/L; C2 is the concentration of ethylenediaminetetraacetic acid disodium salt dihydrate, mol/L; V1 is the volume of an aliquot of the aqueous phase, ml; V2 is the volume of titrant spent on the experiment, ml.
C1 = C2·V2/V1,
The error in determining the concentration of REE ions in aqueous nitric acid solutions by complexometric titration does not exceed 3%.
The equilibrium concentration of REE ions in the organic phase was calculated from the difference in equilibrium concentrations (Equation (2)):
where Сorg is the equilibrium concentration of REE in the organic phase, mol/L; Cinitial is an initial concentration of REE in the aqueous phase, mol/L; Сaq is the equilibrium REE concentration in the aqueous phase, mol/L.
Соrg = Cinitial − Сaq,
Extraction efficiency can be estimated as Corg to Сinitial ratio. Conclusions about the formed complexes can be made from the ratios of initial extractant concentration to Corg [28].
The concentration of the extractant was determined by potentiometric titration with a solution of NaOH. A 100 mL glass beaker was successively loaded with an aliquot of the extractant and 50% aqueous solution of isopropanol (50 mL). Electrodes were placed in a prepared solution and titrated using a magnetic stirrer. Based on the obtained titrimetric data, a graph was plotted in E/V coordinates. The calculation of the concentration of extractant was performed according to Equation (3):
where Cext is the concentration of the extractant in the initial mixture, mol/l; VNaOH is the equivalent volume of a titrant solution corresponding to a jump in the titration curve, ml; CNaOH—titrant concentration, mol/L; Valiq is the volume of an aliquot of the extractant, ml.
Cext = VNaOH·CNaOH/Valiq,
The procedure of REE extraction with EIPA-1. 2 g (3.3 mmol) of EIPA-1 was dissolved in 10.5 mL of RED-3 solvent so that a final concentration of H+ ions = 0.3 mol/L. The system was stirred until complete dissolution of extractant. The ratio of aqueous and organic phases has always been 1:1. The extraction was carried out in disposable plastic tubes for 15 min on a shaker in a horizontal position. All REE ions were taken in 0.25–0.3 mol/L concentration and were extracted from 0.1M nitric acid aqueous solutions. After removal from the shaker, a clear separation of the phases was achieved in 5–15 min, depending on the process conditions. Aliquots of the organic and aqueous phases for analysis were taken directly from the tubes.
REE extractions with EIPA-2 and PAPNA were carried out similarly to the aforementioned procedure of extraction with EIPA-1 with all the same concentrations. All quantities (RED-3 solvent, REE ions, nitric acid, water) were calculated based on the initial concentration of H+ ions in extractants determined by potentiometric titration.
3. Results and Discussion
One of the most recognized 2-ethylhexyl derivatives of imidophosphoric acid used as extractant is polyalkylphosphonitrilic acid (PAPNA), but despite its widespread industrial use, generally in Eastern Europe countries, its structure has not been fully established and analytical data is almost absent. Scanty literary data about PAPNA chemical structure varies a lot (Figure 2) [33,34,41].
Figure 2.
Various polyalkylphosphonitrilic acid chemical structures according to different literary sources, n = 2–4; here and below, R is a 2-ethylhexyl radical.
Due to these differences in proposed structures, the relationship between the chemical structure of EIPAs and their effectiveness in REE extractive separation remains unclear.
Within our investigation, we carried out the syntheses of EIPAs in order to provide an exhaustive description of their molecular structures and determine their ability to complex formation with REE ions, as well as the possibilities for these ions separation.
Next, starting materials were used for synthesis of the desired EIPAs: TCDP as a model compound and linear oligodichlorophosphazene [Cl–(PCl2=N)n–PCl3]+[PCl6]−, where n = 4–7, as a substrate for the preparation of PAPNA analogue, with the same chain length according to the literature data [41]. The proposed reagents were considered to be prospective candidates for EIPAs preparation due to the possibility of well-known phosphazene-phosphazane rearrangement (PPR) in their units. The driving force of such an arrangement is the supposed high susceptibility of hydrogen or α-carbon atoms in phosphate-like groups, which are attacked by the most basic nitrogen atom of the main chain [42].
The occurrence of PPR and molecular structures of resulting isomers was determined by NMR analysis. MALDI-TOF mass spectrometry was additionally used for confirmation. PPR is observed already at 25 °C for various phosphazenes with hydroxyl groups at the phosphorus atoms. For mono-substituted hydroxy or alkoxy derivatives of TCDP, PPR leads to a significant change in the character of the signals in their 31P NMR spectra. Magnetically nonequivalent phosphorus atoms of hydroxyphosphazo (alkoxyphosphazo) and phosphonyl groups, initially characterized by two doublet signals, become magnetically equivalent with only one singlet in spectra after the rearrangement due to the formation of the second phosphonyl group.
In the products, containing 2-ethylhexyl substituents, the rearrangement proceeds very slowly at 25 °C. Moreover, as it can be seen from the 31P NMR spectrum (Figure S1) of the product obtained via TCDP and an excess of 2-ethylhexanol reaction at room temperature, the substitution of chlorine atoms itself is insignificant. In accordance with NMR data the main product is a mono-substituted non-rearranged derivative of TCDP (1), characterized with two doublet signals: at −0.2 ppm (phosphazenyl atom) and −11.2 ppm (phosphonyl atom). The temperature increase leads to the formation of products with a higher degree of chlorine atoms substitution as well as to PPR.
At elevated temperatures, PPR probability (70 °C and higher) approaches 100% even for the mono-substituted phosphazene and decreases slightly when all chlorine atoms in chlorophosphazene have been replaced by 2-ethylhexyl substituents. Thus, the resulting product of the reaction between 1 mol of TCDP and 0.75 mol of 2-ethylhexanol at 70 °C in dioxane is actually a mixture of the original TCDP and its mono-substituted derivative, tetrachlorodiphosphonyl-N-(2-ethylhexyl)-amine (2), which has a singlet signal at –5.2 ppm in the 31P NMR spectrum (Figure S2) due to the magnetic identity of the phosphorus nuclei. The formation of 2, in this case, occurs according to Scheme 3.
Scheme 3.
The synthetic route to mono-substituted tetrachlorodiphosphonyl-N-(2-ethylhexyl)amine from TCDP.
It should be noted that along with the PPR, short linear oligophosphazenes are susceptible to an adverse reaction of an attacking agent with α-carbon atoms of organic substituents, mainly those located at terminal units, resulting in the elimination of the side ether R–O–R and the formation of –O−Na+ fragments [43]. The subsequent replacement of the sodium atom by hydrogen during purification leads to the formation of –N=(RO)2P–OH groups, which proceeds further with PPR to yield the aminophosphonyl form –NH–(RO)2P=O.
To show the equivalence of the structures obtained by nucleophilic substitution of chlorine atoms in the TCDP molecule and linear oligophosphazene, the reaction of the model shortest monophosphazene [Cl3P=N–PCl3]+[PCl6]− was carried out and subsequent interaction of the latter with water and sodium alkoxide was studied. The composition of the reaction mixture was characterized by 31P NMR spectroscopy.
Partial hydrolysis of the phosphazene salt [Cl3P=N–PCl3]+[PCl6]− was carried out in dichloromethane media at room temperature. The molar ratio of phosphazene salt to H2O was 1:2 in order to replace one chlorine atom in the cation and to neutralize the counterion (Scheme 4).
Scheme 4.
Partial hydrolysis of [Cl3P=N–PCl3]+[PCl6]− phosphazene salt.
Hydrolysis leads to the ion pair destruction with the formation of the phosphorus oxychloride molecule. The system of doublets in the regions δP = −3.1 and −11.6 ppm in the 31P NMR spectrum explicitly characterizes TCDP. The absence of signals of TCDP hydrolysis by-products in the spectrum indicates lower reactivity of phosphazophosphonyl compared with the monophosphazene salt.
The same products (TCDP, POCl3) and trifluoroethyl chloride were yielded from the reaction of 1 mole of [Cl3P=N–PCl3]+[PCl6]− and 2 moles of sodium trifluoroethylate. In this case, the formation of the terminal phosphonyl group accompanied by trifluoroethyl chloride elimination (Scheme 5).
Scheme 5.
Terminal phosphonyl group formation as a result of linear phosphazene salt and sodium trifluoroethylate reaction.
Thus, the nucleophilic substitution of chlorine atoms in [Cl(PCl2=N)n–PCl3]+[PCl6]− oligomers with alkoxy fragments can be considered to be a method for the direct preparation of phosphazophosphonyls of a given length.
Scheme 6.
Synthesis of EIPA-1 from TCDP.
Scheme 7.
Synthesis of EIPA-2 from oligophosphazene [Cl–(PCl2=N)n–PCl3]+[PCl6]−.
31P NMR spectra of the 2-ethylhexyl derivatives of oligophosphazenes EIPA-1 and EIPA-2 (Figure 3a,b) both contain a set of signals at 0 ppm, although the structures of the spectra are different. The 31P NMR spectrum of EIPA-1 synthesized by TCDP with 2-ethylhexanol reaction (molar ratio 1:6) contains characteristic signals of three compounds (Figure 4): the singlet δP (CDCl3, 25 °C) = 1.05 ppm of tetrakis(2-ethylhexyloxy)diphosphonylamine (3), two doublet signals in the δP range from 0.3 to 0.5 ppm characterizing hydroxy-tris(2-ethylhexyloxy)diphosphonyl-N-(2-ethylhexyl)amine (4), and the singlet δP = 0.1 ppm of dihydroxy-bis(2-ethylhexyloxy)phosphonyl-N-(2-ethylhexyl)amine (5).
Figure 3.
31P NMR spectra of EIPA-1 (a), EIPA-2 (b) and PAPNA (c).
Figure 4.
Tri- and tetra-substituted derivatives of TCDP (R = 2-ethylhexyl radical).
A small, broad signal at 0 ppm in the 31P NMR spectrum of EIPA-2 showed a significant number of overlapping signals of the oligomers with different chain lengths. The significant broadening of the signals in the NMR spectra of PAPNA (Figure 3c) in comparison with EIPA-2 is obviously due to the wider molecular weight distribution of the first.
The MALDI-TOF mass spectrum of EIPA-1 (Figure 5) is in a good agreement with the chemical structures of the products described above, determined by 31P NMR spectroscopy.
Figure 5.
MALDI-TOF spectrum of the product from the reaction of TCDP with an excess of 2-ethylhexanol.
The main peaks with m/z 515 and 627 correspond to tri- (5) and tetra-substituted (3 and 4) derivatives of TCDP in protonated form, while the other peaks in the spectrum refer to complex dimer-type ions based on the represented molecules: 1029.1 ([5 + 5]H+), 1141.3 ([5 + {3 or 4}]H+, 1275.6 ([{3 or 4} + {3 or 4}] Na+). According to the results of MALDI-TOF mass spectrometry, EIPA-2 product represents a mixture of oligomeric imidophosphoric esters with 4, 5 and 6 phosphorus atoms in the main chain (Table 1).
Table 1.
Proposed chemical structures of 2-ethylhexyl esters of oligoimidophosphoric acids in EIPA-2.
Structures in Table 1 are given in accordance with the NMR spectroscopy data. Fragments of the phosphazene form –P(OR)2=N– are not excluded. MALDI-TOF analysis of the industrial extractant PAPNA shows the presence of shorter-chain oligomers (Table 2). The extraction capacity of EIPA-1, EIPA-2, and PAPNA as a reference sample, was estimated by change in REE ions concentration in the aqueous phase during extraction. The decrease in the concentration of REE ions in the aqueous phase is the result of their transition to the organic phase (RED-3 diluent was used). REE were extracted from nitric acid aqueous solutions (Cinitial = 0.25–0.3 mol/L, CHNO3 = 0.1 mol/L) using an organic solution of the corresponding extractant (Cext = 0.3 mol/L).
Table 2.
Proposed structures of compounds in the sample of PAPNA corresponding to the most intense peaks in the MALDI-TOF mass spectrum.
The extractant concentration in the organic phase corresponds to the concentration of H+ ions, which can be replaced by REE ions. A volume ratio of organic and aqueous phases was 1:1. It is clearly shown (Figure 6) that EIPA-1 and EIPA-2 compounds are characterized by higher extraction ability and lower selectivity than PAPNA during REE extraction.
Figure 6.
The dependence of REE concentration transferred to the organic phase during extraction by EIPA-1, EIPA-2 and PAPNA solutions (0.3 mol/L) on the atomic number of the element.
To confirm the participation of P–OH and NH groups in the complex formation and determine the role of P=O groups, the extraction ability of model triphenoxyphosphazodiphenoxyphosphonyl (PhO)3P=N–(PhO)2P=O containing only one P=O group was studied. It turns out that this compound extracts acids from aqueous solutions well, but does not extract REE in any quantities. Thus, the sole presence of functional fragments of the P=O type does not determine the extraction capacity towards REE in acidic conditions.
The calculation of the extractant and REE concentrations ratios studied in the organic phase after extraction (Table 3) showed a higher selectivity of EIPA-1: heavier elements are more easily transferred to the organic phase. The reason for this is the higher steric availability of large-diameter lanthanide atoms (Figure 7a, shows a complex with a tetra-substituted TCDP derivative). The proposed structure is generally recognized for the complexes of this type of compounds (with two phosphonyl groups) with a light group of REE [5,23]. The aforementioned extractant to REE concentrations ratio in the organic phase very accurately confirm the formation of complexes of precisely 3 EIPA molecules and 1 metal ion. A similar structure with phenyl substituents at phosphorus atoms was described by Efimova et al. [44]. The small size of the lanthanide atom presumably can lead to the formation of complexes containing up to 6 fragments of extractant molecules (Figure 7b), in which the formation of hydrogen bonds between P=O and H–N occurs. This is confirmed by the higher ratios of CEIPA-1: Corg with values of 5.03 for La and 5.08 for Ce (Table 3). Chen et al. previously described the analogous structure of the REE complex with 2-ethylhexylphosphonic acid mono-2-ethylhexyl ester [28].
Table 3.
Extraction properties of EIPAs. The ratio of extractant concentrations to REE in extracts depending on the atomic number of element.
Figure 7.
Proposed structures of EIPA lanthanide [Ln(A)3] (a) and [Ln(A)3] 3HA (b) complexes.
EIPA-2 compounds form complexes with metal salts through the –P(O)(OR)–NH– functional groups, the average number of which is 2–3 per 1 molecule (Table 1). Ratios CEIPA-2: Corg for different REE ions slightly differ and vary from 3 to 3.5 with the exception of Ho (ratio CEIPA-2: CHo = 4.00).
Taking into account that CEIPA-2 corresponds to the concentration of H+ ions, 3–4 EIPA-2 molecules can be combined with 1 REE ion depending on the number of phosphorus atoms in their chain. On average, only one functional group per molecule can participate in complex formation, while other functional groups tend to coordinate with each other in the organic phase.
The extraction of REE by EIPA-2 is a typical cation exchange process, expressed (with the exception of La and Ho) as follows: Ln3+ + 3HA = [Ln(A)3] + 3H+. The remaining functional –P(O)(OR)–NH– fragments not directly interacting with the REE ion and non-functional –P(O)(OR)–NR– fragments of these molecules are located in the outer sphere of the metal-containing complex. Thus, the properties of the complex will depend to a greater extent on fragments located in the outer sphere of the complex and to a lesser extent will be defined by the nature of the REE ion itself. As a result, the extraction selectivity of EIPA-2 is very weakly expressed with respect to certain REE ions. The organic phase is equally saturated with all metals. Metal concentration Corg after extraction is close to 0.1.
4. Conclusions
EIPAs can be prepared by reacting linear phosphazenes with alcohols of various structures, in particular, 2-ethylhexanol. The number of phosphorus-containing units in the chain does not change during the substitution of chlorine atoms in linear oligophosphazenes with 2-ethylhexyl groups. Therefore, the chain length of EIPAs can be set using the starting chlorophosphazene with the selected chain length. The chain length of the initial linear chlorophosphazenes can be easily adjusted due to the living cationic polymerization of Cl3P=NSiMe3.
Analysis of the chemical structure of compounds presented in the samples of polyalkylphosphonitrilic acid (PAPNA), EIPA-1 (Scheme 6) and EIPA-2 (Scheme 7) shows that the selectivity of PAPNA towards REE ions primarily depends on the presence of functional dihydroxyphosphonylamines with structures 5 and 6 (Table 2).
A significant content of non-functional fragments –P(O)(OR)–NR– along with functional –P(O)(OR)–OH or –P(O)(OR)–NH– groups in EIPAs contributes to a high collective extraction ability to REE. These fragments are observed mainly in EIPA-2 but also present in the PAPNA.
Oligomeric 2-ethylhexyl esters based on linear phosphazenes, considered to be PAPNA analogues, show a clearer ability to collective REE extraction. An increase in the chain length of the ester leads to a better extraction capacity towards light lanthanides, but a decrease in their selectivity.
Supplementary Materials
The following are available online at https://www.mdpi.com/2076-3417/10/4/1229/s1. Figure S1: The 31P NMR spectrum of the products prepared by the reaction of TCDP and 2-ethylhexanol (20% excess) at 22 °C in dioxane. Figure S2: The 31P NMR spectrum of the products prepared by the reaction of TCDP (1 mol) and 2-ethylhexanol (0.75 mol) at 70 °C in dioxane.
Author Contributions
Conceptualization, N.S.B., M.V.G., V.V.K.; Experiment design, synthesis and data analysis, N.S.B., A.S.E., A.A.B., and M.V.G.; Extraction investigation, O.A.S., M.D.R.; Resources and Materials, M.V.G., A.A.B., O.A.S.; Writing–original draft preparation, N.S.B.; Writing–review and editing, M.V.G., V.V.K., O.A.S. All authors have read and agreed to the published version of the manuscript.
Funding
This research was funded by the Ministry of Science and Higher Education of the Russian Federation in the framework of the Federal Target Program “Research and Developments in Priority Directions of the Scientific and Technological Complex of Russia for 2014–2020” (unique project identifier RFMEFI57417X0171).
Conflicts of Interest
The authors declare no conflict of interest.
Abbreviations
D2EHPA, di-(2-ethylhexyl)phosphoric acid; EHEHPA, 2-ethylhexyl phosphoric acid mono-2-ethylhexyl ester; EIPAs, esters of imidophosphoric acids; PAPNA, polyalkylphosphonitrilic acid; PPR, phosphazene-phosphazane rearrangement; REE, rare-earth elements; TCDP, trichlorophosphazodichlorophosphonyl.
References
- Jian, Z.; Petrov, A.R.; Hangaly, N.K.; Li, S.; Rong, W.; Mou, Z.; Rufanov, K.A.; Harms, K.; Sundermeyer, J.; Cui, D. Phosphazene-Functionalized Cyclopentadienyl and Its Derivatives Ligated Rare-Earth Metal Alkyl Complexes: Synthesis, Structures, and Catalysis on Ethylene Polymerization. Organometallics 2012, 31, 4267–4282. [Google Scholar] [CrossRef]
- Rong, W.; Liu, D.; Zuo, H.; Pan, Y.; Jian, Z.; Li, S.; Cui, D. Rare-Earth-Metal Complexes Bearing Phosphazene Ancillary Ligands: Structures and Catalysis toward Highly Trans-1,4-Selective (Co)Polymerizations of Conjugated Dienes. Organometallics 2013, 32, 1166–1175. [Google Scholar] [CrossRef]
- Hangaly, N.K.; Petrov, A.R.; Elfferding, M.; Harms, K.; Sundermeyer, J. Tetrahydropentalenyl-phosphazene Constrained Geometry Complexes of Rare-earth Metal Alkyls. Dalton Trans. 2014, 43, 7109–7120. [Google Scholar] [CrossRef] [PubMed]
- Ishikawa, H.; Kido, T.; Umeda, T.; Ohyama, H. Fungicidal Activity of New Diphenylphosphinic Amide Derivatives. Biosci. Biotech. Biochem. 1992, 56, 1882–1883. [Google Scholar] [CrossRef][Green Version]
- Magennis, S.W.; Parsons, S.; Corval, A.; Woollins, J.D.; Pikramenou, Z. Imidodiphosphinate Ligands as Antenna Units in Luminescent Lanthanide Complexes. Chem. Commun. 1999, 61–62. [Google Scholar] [CrossRef]
- Herrmann, E.; Navratil, O.; Sladek, P. Bi- and Tridentate Organophosphorus Compounds for Extraction and Complexation of Metal Ions. Phosphorus Sulfur Silicon Relat. Elem. 1996, 109–110, 201–204. [Google Scholar] [CrossRef]
- du Preez, J.G.H.; Knabl, K.U.; Kruger, L.; van Brecht, B.J.A.M. Derivatives of Imidopyrophosphoric Acids as Extractants. Part I. The Preparation and Fundamental Constants of Tetraalkylimidopyrophosphoric Acids. Solvent Extr. Ion Exch. 1992, 10, 729–748. [Google Scholar] [CrossRef]
- Navratil, O.; Herrmann, E. Efficiency of Tetraphenylimido Diphosphate as an Extractant. Collect. Czech. Chem. Commun. 1992, 57, 1655–1657. [Google Scholar] [CrossRef]
- Navratil, O.; Herrmann, E.; Grossmann, G.; Teply, J. Extraction of Scandium with Tetraphenyl Imidodiphosphate and its Sulfur Analogues, and the Radiation Stability of the Reagent. Collect. Czech. Chem. Commun. 1990, 55, 364–371. [Google Scholar] [CrossRef]
- Navratil, O.; Herrmann, E.; Slezak, P. Extraction of Silver and Mercury with Tetraphenyl Imidothiodiphosphate. Collect. Czech. Chem. Commun. 1987, 52, 1708–1714. [Google Scholar] [CrossRef]
- Herrmann, E.; Navratil, O.; Nang, H.; Smola, J.; Friedrich, J.; Prihoda, J.; Dreyer, R.; Chalkin, V.A.; Kulpe, S. Extraktion von Seltenerdelementen mit Imidodiphosphorsäuretetraphenylester. Collect. Czech. Chem. Commun. 1984, 49, 201–217. [Google Scholar] [CrossRef]
- Von Riesel, L.; Patzmann, H.H.; Bartich, H.-P. Darstellung und Eigenschaften der Imidodiphosphorsäureamide. Z. Anorg. Allg. Chem. 1974, 404, 219–224. [Google Scholar] [CrossRef]
- Von Riesel, L.; Pitch, G.; Ruby, C. Ester der Imidodiphosphorsäure. Z. Anorg. Allg. Chem. 1977, 430, 227–233. [Google Scholar] [CrossRef]
- du Preez, J.G.H.; Kruger, L.; Sumter, N.M. Derivatives of Imidopyrophosphoric Acids as Extractants. Part 2. The Extraction Behaviour of Some Tetraalkyl Derivatives with Selected Lanthanide Ions. Solvent Extr. Ion Exch. 1992, 10, 749–767. [Google Scholar] [CrossRef]
- Jarvis, N.V. Derivatives of Inidopyrophosphoric Acids as Extractants. Part 4. Extraction of Nitric Acid by N,N- N’N’ Octabutylimidodiphosphotetramide. Solvent Extr. Ion Exch. 1993, 11, 223–237. [Google Scholar] [CrossRef]
- Jarvis, N.V.; Kruger, L.; du Preez, J.G.H. Derivatives of Imtoopyrophosphoric Acids as Extractants. Part 5. The Determination of the Fundamental Constants of N,N-N’,N’-Octaalkylimido-Diphosphotetramides by Potentiometry. Solvent Extr. Ion Exch. 1993, 11, 811–830. [Google Scholar] [CrossRef]
- Jarvis, N.V.; Kruger, L.; du Preez, J.G.H. Derivatives of Imidopyrophosphoric Acids as Extractants. Part 6. Determination of Metal Ion Extraction Mechanism of N,N-N’,N’-Octabutylimido-Diphosphotetramide by Potentiometry. Solvent Extr. Ion Exch. 1994, 12, 423–438. [Google Scholar] [CrossRef]
- Silvestru, C.; Drake, J.E. Tetraorganodichalcogenoimidodiphosphorus acids and their main group metal derivatives. Coord. Chem. Rev. 2001, 223, 117–216. [Google Scholar] [CrossRef]
- Kirsanov, A.V.; Zhmurova, I.N. Reaction of Phosphorus Pentachloride with Amides of Phosphoric Acid. Zhur Obshch. Khim. 1958, 28, 2478–2484. [Google Scholar]
- Uslu, A.; Mutlu Balci, C.; Yuksel, F.; Ozcan, E.; Dural, S.; Besli, S. The Investigation of Thermosensitive Properties of Phosphazene Derivatives Bearing Amino Acid Ester Groups. J. Mol. Struct. 2017, 1136, 90–99. [Google Scholar] [CrossRef]
- Kabachnik, M.I.; Giljarov, V.A.; Popov, E.M. On imides of the phosphorus acids. Bull. Acad. Sci. USSR Div. Chem. Sci. 1961, 10, 945–951. [Google Scholar] [CrossRef]
- Bock, H.; Schodel, H.; Havlas, Z.; Hermann, E. The Lipophilically Wrapped Polyion Aggregate {H120C144O24(OP)2N–Na+6}, a Hexameric Sodium Tetraphenyl Imidodiphosphate Containing an [Na6O12] Core in Hydrocarbon Ellipsoid. Angew. Chem. Int. Ed. Engl. 1995, 34, 1355–1357. [Google Scholar] [CrossRef]
- Richter, H.; Fluck, E.; Riffel, H.; Hess, H. Imidodiphosphorsauretetraphenylester, Salze und Komplexe. Z. Anorg. Allg. Chem. 1983, 496, 109–116. [Google Scholar] [CrossRef]
- Kulpe, S.; Seidel, I.; Herrmann, E. The Structure of Tetraphenyl Imidodiphosphate, C24H21NO6P2. Cryst. Res. Technol. 1984, 19, 661–668. [Google Scholar] [CrossRef]
- Richter, H.; Fluck, E.; Schwarz, W. Reaktion von Imidodiphosphorsauretetraphenylester mit Quecksilber(II)-oxid und Phenylquecksilberhydroxid/Reaction of Imidodiphosphoric Tetraphenylester with Mercury (II) Oxide and Phenylmercuryhydroxide. Z. Naturforsch. 1980, 35B, 578–583. [Google Scholar] [CrossRef]
- Mohammadi, M.; Forsberg, K.; Kloo, L.; De la Cruz, J.M.; Rasmuson, A. Separation of ND(III), DY(III) and Y(III) by Solvent Extraction Using D2EHPA and EHEHPA. Hydrometallurgy 2015, 156, 215–224. [Google Scholar] [CrossRef]
- Yin, S.; Wu, W.; Zhang, B.; Zhang, F.; Luo, Y.; Li, S.; Bian, X. Study on Separation Technology of Pr and Nd in D2EHPA-HCl-LA Coordination Extraction System. J. Rare Earth 2010, 28, 111–115. [Google Scholar] [CrossRef]
- Chen, L.; Chen, J.; Jing, Y.; Li, D. Comprehensive Appraisal and Application of Novel Extraction System for Heavy Rare Earth Separation on the Basis of Coordination Equilibrium Effect. Hydrometallurgy 2016, 165, 351–357. [Google Scholar] [CrossRef]
- Zhao, Q.; Li, Y.; Kuang, S.; Zhang, Z.; Bian, X.; Liao, W. Synergistic Extraction of Heavy Rare Earths by Mixture of α-Aminophosphonic Acid HEHAMP and HEHEHP. J. Rare Earth 2019, 37, 422–428. [Google Scholar] [CrossRef]
- Yin, S.; Wu, W.; Bian, X.; Zhang, F. Effect of Complexing Agent Lactic Acid on the Extraction and Separation of Pr(III)/Ce(III) with Di-(2-ethylhexyl) Phosphoric Acid. Hydrometallurgy 2013, 131–132, 133–137. [Google Scholar] [CrossRef]
- Zhang, F.; Wu, W.; Bian, X.; Zeng, W. Synergistic Extraction and Separation of Lanthanum (III) and Cerium (III) using a Mixture of 2-Ethylhexylphosphonic Mono-2-ethylhexyl Ester and Di-2-ethylhexyl Phosphoric Acid in the Presence of Two Complexing Agents Containing Lactic Acid and Citric Acid. Hydrometallurgy 2014, 149, 238–243. [Google Scholar] [CrossRef]
- Yin, S.; Li, S.; Zhang, B.; Peng, J.; Zhang, L. Mass Transfer Kinetics of Lanthanum (III) Extraction in the Presence of Two Complexing Agents by D2EHPA using a Constant Interfacial Area Cell with Laminar Flow. Chem. Eng. Res. Des. 2015, 104, 92–97. [Google Scholar] [CrossRef]
- Petrova, V.A.; Palant, A.A.; Reznichenko, V.A. Izuchenie Ehkstraktsii Sc Alkilfosfornymi Kislotami iz Sernokislyh Rastvorov Metodami YaMR i IK Spektroskopii/NMR and IR Studies of Solvent Extraction of Sc in Sulphuric Acid Solutions with Alkylphosphoric Acids. Zhur Neorgan. Khim. 1993, 38, 1373–1376. [Google Scholar]
- Turanov, A.N.; Karandashev, V.K.; Rodygina, N.I.; Fedoseev, A.M. Extraction of Rare-earth Elements from Nitric Acid Solutions with Polyalkylphosphonitrilic acid. Radiochemistry 2007, 49, 264–267. [Google Scholar] [CrossRef]
- Allcock, H.R.; Crane, C.A.; Morrissey, C.T.; Nelson, J.M.; Reeves, S.D.; Honeyman, C.H.; Manners, I. “Living” Cationic Polymerization of Phosphoranimines as an Ambient Temperature Route to Polyphosphazenes with Controlled Molecular Weights. Macromolecules 1996, 29, 7740–7747. [Google Scholar] [CrossRef]
- Blackstone, V.; Lough, A.J.; Murray, M.; Manners, I. Probing the Mechanism of the PCl5−Initiated Living Cationic Polymerization of the Phosphoranimine Cl3P═NSiMe3 using Model Compound Chemistry. J. Am. Chem. Soc. 2009, 131, 3658–3667. [Google Scholar] [CrossRef]
- Blackstone, V.; Pfirrmann, S.; Helten, H.; Staubitz, A.; Presa Soto, A.; Whittell, G.R.; Manners, I. A Cooperative Role for the Counteranion in the PCl5-Initiated Living, Cationic Chain Growth Polycondensation of the Phosphoranimine Cl3P═NSiMe3. J. Am. Chem. Soc. 2012, 134, 15293–15296. [Google Scholar] [CrossRef]
- Suarez Suarez, S.; Presa Soto, D.; Carriedo, G.A.; Presa Soto, A.; Staubitz, A. Experimental and Theoretical Study of the Living Polymerization of N-Silylphosphoranimines. Synthesis of New Block Copolyphosphazenes. Organometallics 2012, 31, 2571–2581. [Google Scholar] [CrossRef]
- Emsley, J.; Moore, J.; Udy, P.B. A New and Simple Method of Preparing Dichlorophosphinylphosphorimidic Trichloride. J. Chem. Soc. A 1971, 2863–2864. [Google Scholar] [CrossRef]
- Gorlov, M.V.; Bredov, N.S.; Esin, A.S.; Kireev, V.V. A Direct Synthesis of Сl3PNSiMe3 from PCl5 and Hexamethyldisilazane. J. Organomet. Chem. 2016, 818, 82–84. [Google Scholar] [CrossRef]
- Rozen, A.M.; Volk, V.I.; Nikolotova, Z.I.; Kartasheva, N.A.; Barabash, A.I. Extraction of Americium (III), Uranium (VI) and Plutonium (IV) from Nitric Acid Solutions with Poly-(2-ethylhexyl)phosphonitrilic acid. Radiokhimiya 1981, 23, 805–809. [Google Scholar]
- Fitzsimmons, B.W.; Hewlett, C.; Shaw, R.A. 854. Phosphorus–Nitrogen Compounds. Part VIII. The Alkoxyphosphazene–Oxophoshazane Rearrangement. J. Chem. Soc. 1964, 4459–4464. [Google Scholar] [CrossRef]
- Liu, X.; Breon, J.P.; Chen, C.; Allcock, H.R. Substituent Exchange Reactions of Linear Oligomeric Aryloxyphosphazenes with Sodium 2,2,2-Trifluoroethoxide. Inorg. Chem. 2012, 51, 11910–11916. [Google Scholar] [CrossRef] [PubMed]
- Efimova, Y.A.; Petrov, B.I.; Abakumov, G.A.; Logunov, A.A.; Burin, M.E.; Katkova, M.A.; Semyannikov, P.P. Imidophosphinate complexes of lanthanides. Investigation of thermochemical properties. Russ. J. Gen. Chem. 2009, 79, 1641–1644. [Google Scholar] [CrossRef]
© 2020 by the authors. Licensee MDPI, Basel, Switzerland. This article is an open access article distributed under the terms and conditions of the Creative Commons Attribution (CC BY) license (http://creativecommons.org/licenses/by/4.0/).

























