A New Characterization Method for Rock Joint Roughness Considering the Mechanical Contribution of Each Asperity Order
Abstract
:1. Introduction
2. Decomposition of the Standard JRC Profile
2.1. Standard JRC Profile Decomposition Method
2.1.1. Empirical Mode Decomposition Method
- (1)
- In the entire data set, the number of crossing zero points and extreme value points is the same or the difference between them is 1;
- (2)
- At any point on the signal, the mean value of the upper envelope defined by the local maximum and the lower envelope defined by the local minimum are 0, which means that the signal is locally symmetric about the time axis.
- (1)
- The signal has at least two extreme points: a maximum point and a minimum point;
- (2)
- The characteristic timescale is defined as the time interval between adjacent extreme points;
- (3)
- If the signal does not have an extreme point and has only an inflection point, it should be differentiated one or more times to obtain the extremum point before decomposition, and then the corresponding component can be obtained by integrating the obtained result.
2.1.2. Ensemble Empirical Mode Decomposition (EEMD)
- (1)
- Adding white noise to the target signal;
- (2)
- Decomposing the added white noise signal into the IMF;
- (3)
- Repeating Steps 1 and 2, but adding a different white noise sequence each time;
- (4)
- Obtaining the mean value of each IMF by decomposition as the final result.
2.1.3. Criterion of Critical Decomposition Level
2.2. Decomposition Result of the Standard JRC Profile
2.2.1. The Digitization Result of the Standard JRC Profile
2.2.2. The EEMD Results
2.2.3. Critical Decomposition Level
2.2.4. Decomposition Result of the Standard JRC Profile
3. The Mechanical Contribution of Waviness and Unevenness
3.1. Shear Test
3.1.1. Joint Specimen Preparation and Test Schemes
- Importing the digitization data into CAD software to generate the profile;
- Stretching the profile onto the surface using the stretch command in CAD software and exporting the surface in .igs format;
- Importing the surface file into JD-Paint software and generating an engraving path file;
- Fixing the standard sandstone on the operating floor, then turning on the engraving machine.
3.1.2. Test Equipment
3.2. Contribution of Waviness and Unevenness to the Shear Strength
3.2.1. Shear Test Result
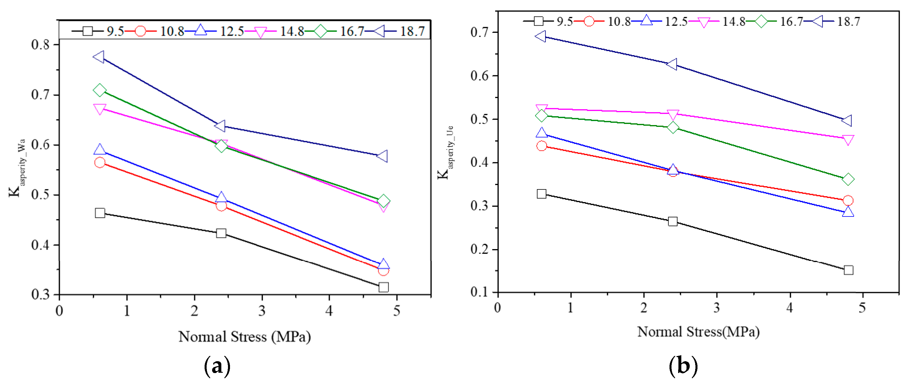
3.2.2. Contribution of Waviness and Unevenness to the Shear Strength
4. Characterization of the Joint Surface Roughness Coefficient
4.1. Relationship between the Mechanical Contribution and Statistical Parameter
4.1.1. Statistical Parameters of Waviness and Unevenness
4.1.2. Relationship between the Mechanical Contribution and Statistical Parameter
4.2. Roughness Characterization Formula Considering the Mechanical Contribution
5. Conclusions
- (1)
- A new decomposition method of joint surface roughness is proposed. The ensemble empirical mode decomposition (EEMD) in this method does not require an a priori basis function, and the critical decomposition level criterion in this method has a clear mathematical definition. The standard JRC profile can be decomposed into waviness and unevenness by the method combining the EEMD and the critical decomposition level.
- (2)
- The mechanical contribution of waviness and unevenness is related to normal stress. The ratio between them is less affected by normal stress. The mechanical contribution of the waviness and the unevenness decreases with the increase in normal stress, which means that as normal stress increases, the influence of the joint surface morphology on the shear strength gradually decreases. At the same time, the mechanical contribution ratio of waviness and unevenness hardly changes with the change in normal stress.
- (3)
- The mechanical contribution of waviness and unevenness is related to their statistical parameter contribution. The relationship between the mechanical contribution ratio of waviness and unevenness and its statistical parameter ratio can be describe by the power function. The mechanical contribution ratio of waviness and unevenness decreases with the increase in their statistical parameter ratio, which means that it is difficult to accurately characterize the roughness of the joint surface by considering only the contribution of the statistical parameter. In order to characterize the roughness of the joint surface accurately, we should consider not only the contribution of the statistical parameter, but also the mechanical contribution.
- (4)
- A formula for characterizing the roughness of the joint surface is established that considers the morphology contribution of waviness and unevenness and their mechanical contributions at the same time. Compared with the formula that only considers the statistical parameters of the joint surface, this formula fully considers the mechanical contribution of each asperity order. This formula is of great significance for accurately characterizing the roughness of the joint surface and evaluating the shear strength of the joint.
Author Contributions
Funding
Institutional Review Board Statement
Informed Consent Statement
Data Availability Statement
Conflicts of Interest
References
- Hoek, E. Shear Strength of Discontinuities. In Practical Rock Engineering; Evert Hoek Consulting Engineer Inc.: North Vancouver, BC, Canada, 2007; pp. 1–14. [Google Scholar]
- Mineo, S.; Pappalardo, G.; Onorato, S. Geomechanical characterization of a rock cliff hosting a cultural heritage through ground and UAV rock mass surveys for its sustainable fruition. Sustainability 2021, 13, 924. [Google Scholar] [CrossRef]
- Pappalardo, G.; Mineo, S.; Imposa, S.; Grassi, S.; Leotta, A.; La Rosa, F.; Salerno, D. A quick combined approach for the charac-terization of a cliff during a post-rockfall emergency. Landslides 2020, 17, 1063–1081. [Google Scholar] [CrossRef]
- Mineo, S.; Pappalardo, G. Sustainable fruition of cultural heritage in areas affected by rockfalls. Sustainability 2019, 12, 296. [Google Scholar] [CrossRef] [Green Version]
- Mineo, S.; Pappalardo, G. Study of jointed and weathered rock slopes through the innovative approach of InfraRed thermography. In Advances in Natural and Technological Hazards Research, Landslides: Theory, Practice and Modelling; Pradhan, S.P., Vishal, V., Singh, T.N., Eds.; Springer: Berlin, Germany, 2019; pp. 85–103. [Google Scholar]
- Pappalardo, G.; Imposa, S.; Mineo, S.; Grassi, S. Evaluation of the stability of a rock cliff by means of geophysical and geomechanical surveys in a cultural heritage site (south-eastern Sicily). Ital. J. Geosci. 2016, 135, 308–323. [Google Scholar] [CrossRef]
- An, P.J.; Fang, K.; Jiang, Q.Q.; Zhang, H.H.; Zhang, Y. Measurement of rock joint surfaces by using smartphone structure from motion (SfM) photogrammetry. Sensors 2021, 21, 922. [Google Scholar] [CrossRef]
- Rasouli, V.; Harrison, J.P. Assessment of rock fracture surface roughness using Riemannian statistics of linear profiles. Int. J. Rock Mech. Min. Sci. 2010, 47, 940–948. [Google Scholar] [CrossRef]
- Ban, L.R.; Du, W.S.; Qi, C.Z.; Zhu, C. Modified 2D roughness parameters for rock joints at two different scales and their correlation with JRC. Int. J. Rock Mech. Min. Sci. 2021, 137, 104549. [Google Scholar] [CrossRef]
- Wong, L.N.Y.; Meng, F.Z.; Zhou, H.; Yu, J.; Cheng, G.T. Influence of the choice of reference planes on the determination of 2D and 3D joint roughness parameters. Rock Mech. Rock Eng. 2021, 1–14. [Google Scholar] [CrossRef]
- Bao, H.; Xu, X.H.; Lan, H.X.; Zhang, G.B.; Yin, P.J.; Yan, C.G.; Xu, J.B. A new joint morphology parameter considering the effects of micro-slope distribution of joint surface. Eng. Geol. 2020, 275, 105734. [Google Scholar] [CrossRef]
- Barton, N. Review of a new shear-strength criterion for rock joints. Eng. Geol. 1973, 7, 287–332. [Google Scholar] [CrossRef]
- Barton, N.; Choubey, V. The shear strength of rock joints in theory and practice. Rock Mech. 1977, 10, 1–54. [Google Scholar] [CrossRef]
- ISRM. International socieity for rock mechanics commision on standardization of laboratory and field tests: Suggested methods for the quantitative description of discontinuities in rock masses. Int. J. Rock Mech. Min. Sci. Geomech. Abstr. 1978, 15, 319–368. [Google Scholar] [CrossRef]
- Beer, A.J.; Stead, D.; Coggan, J.S. Technical note estimation of the joint roughness coefficient (JRC) by visual comparison. Rock Mech. Rock Eng. 2002, 35, 65–74. [Google Scholar] [CrossRef]
- Alameda-Hernandez, P.; Jimenez-Peralvarez, J.; Palenzuela, J.A.; Hamdouni, R.I.; Iri-garay, I.; Cabrerizo, M.A.; Chacon, J. Improvement of the JRC calculation using different parameters obtained through a new survey method applied to rock discontinuities. Rock Mech. Rock Eng. 2014, 47, 2047–2060. [Google Scholar] [CrossRef]
- García-Luna, R.; Senent, S.; Jimenez, R. Characterization of joint roughness using long-range terrestrial photogrammetry. In Proceedings of the ISRM International Symposium—EUROCK 2020, Trondheim, Norway, 14 June 2020. [Google Scholar]
- Tse, R.; Cruden, D.M. Estimating joint roughness coefficients. Int. J. Rock Mech. Min. Sci. Geomech. Abst. 1979, 16, 303–307. [Google Scholar] [CrossRef]
- Magsipoc, E.; Zhao, Q.; Grasselli, G. 2D and 3D roughness characterization. Rock Mech. Rock Eng. 2020, 53, 1495–1519. [Google Scholar] [CrossRef]
- Yu, X.B.; Vayssade, B. Joint profiles and their roughness parameters. Int. J. Rock Mech. Min. Sci. Geomech. Abstr. 1991, 28, 333–336. [Google Scholar] [CrossRef]
- Yang, Z.Y.; Lo, S.C.; Di, C.C. Reassessing the joint roughness coefficient (JRC) estimation using Z2. Rock Mech. Rock Eng. 2001, 34, 243–251. [Google Scholar] [CrossRef]
- Tatone, B.S.A.; Grasselli, G. A new 2D discontinuity roughness parameter and its correlation with JRC. Int. J. Rock Mech. Min. Sci. 2010, 47, 1391–1400. [Google Scholar] [CrossRef]
- Jang, H.S.; Kang, S.S.; Jang, B.A. Determination of joint roughness coefficients using roughness parameters. Rock Mech. Rock Eng. 2014, 47, 2061–2073. [Google Scholar] [CrossRef]
- Li, Y.R.; Zhang, Y.B. Quantitative estimation of joint roughness coefficient using statistical parameters. Int. J. Rock Mech. Min. Sci. 2015, 77, 27–35. [Google Scholar] [CrossRef] [Green Version]
- Abolfazli, M.; Fahimifar, A. An investigation on the correlation between the joint rough-ness coefficient (JRC) and joint roughness parameters. Constr. Build. Mater. 2020, 259, 120415. [Google Scholar] [CrossRef]
- Sun, F.T.; She, C.X.; Wan, L.T. Research on relationship between JRC of Barton’s standard profiles and statistic parameters independent of sampling intrval. Chin. J. Rock Mech. Eng. 2014, 33, 2513–2519. (In Chinese) [Google Scholar]
- Maerz, N.H.; Franklin, J.A.; Bennett, C.P. Joint roughness measurement using shadow profilometry. Int. J. Rock Mech. Min. Sci. Geomech. Abstr. 1990, 27, 329–343. [Google Scholar] [CrossRef]
- Zheng, B.W.; Qi, S.W. A new index to describe joint roughness coefficient (JRC) under cyclic shear. Eng. Geol. 2016, 212, 72–85. [Google Scholar] [CrossRef]
- Belem, T.; Homand-Etienne, F.; Souley, M. Quantitative parameters for rock joint surface roughness. Rock Mech. Rock Eng. 2000, 33, 217–242. [Google Scholar] [CrossRef]
- Zhang, Z.Q.; Huan, J.Y.; Li, N.; He, M.M. Suggested new statistical parameter for estimating joint roughness coefficient considering the shear direction. Adv. Civ. Eng. 2021, 2021, 8872873. [Google Scholar]
- Zhang, G.C.; Karakus, M.; Tang, H.M.; Ge, Y.F.; Zhang, L. A new method estimating the 2D joint roughness coefficient for discontinuity surfaces in rock masses. Int. J. Rock Mech. Min. Sci. 2014, 72, 191–198. [Google Scholar] [CrossRef]
- Grasselli, G.; Wirth, J.; Egger, P. Quantitative three-dimensional description of a rough surface and parameter evolution with shearing. Int. J. Rock Mech. Min. 2002, 39, 789–800. [Google Scholar] [CrossRef]
- Zhang, Z.Q.; Huan, J.Y.; He, M.M.; Li, N. A New Statistical Parameter for Determining Joint Roughness Coefficient (JRC) considering the Shear Direction and Contribution of Different Protrusions. Adv. Civ. Eng. 2021, 2021, 6641201. [Google Scholar]
- Liu, Q.S.; Tian, Y.C.; Liu, D.F.; Jiang, Y.L. Updates to JRC-JCS model for estimating the peak shear strength of rock joints based on quantified surface description. Eng. Geol. 2017, 228, 282–300. [Google Scholar] [CrossRef]
- Chen, X.; Zeng, Y.W.; Ye, Y.; Sun, H.Q.; Tang, Z.C.; Zhang, X.B. A Simplified form of Grasselli′s 3D roughness measure θ max */(C + 1). Rock Mech. Rock Eng. 2021, 1–18. [Google Scholar] [CrossRef]
- Develi, K. Computation of direction dependent joint surface parameters through the algo-rithm of triangular prism surface area method: A theoretical and experimental study. Int. J. Solids Struct. 2020, 202, 895–911. [Google Scholar] [CrossRef]
- Pickering, C.; Aydin, A. Modeling roughness of rock discontinuity surfaces: A signal analysis approach. Rock Mech. Rock Eng. 2016, 49, 2959–2965. [Google Scholar] [CrossRef]
- Ünlüsoy, D.; Süzen, M.L. A new method for automated estimation of joint roughness coefficient for 2D surface profiles using power spectral density. Int. J. Rock Mech. Min. Sci. 2020, 125, 104156. [Google Scholar] [CrossRef]
- Kou, M.M.; Liu, X.R.; Tang, S.D.; Wang, Y.T. Experimental study of the prepeak cyclic shear mechanical behaviors of artificial rock joints with multiscale asperities. Soil Dyn. Earthq. Eng. 2019, 120, 58–74. [Google Scholar] [CrossRef]
- Nigon, B.; Englert, A.; Pascal, C.; Santot, A. Multiscale characterization of joint surface roughness. J. Geophy. Res-Sol Ea. 2017, 122, 9714–9728. [Google Scholar] [CrossRef]
- Liu, X.R.; Xu, B.; Lin, G.; Huang, J.; Zhou, X.; Xie, Y.; Wang, J.; Xiong, F. Experimental and numerical investigations on the macro-meso shear mechanical behaviors of artificial rock discontinuities with multiscale asperities. Rock Mech. Rock Eng. 2021, 1–20. [Google Scholar] [CrossRef]
- Li, Y.C.; Wu, W.; Wei, X. Analytical modeling of the shear behavior of rock joints with two-order asperity dilation and degradation. Int. J. Geomech. 2020, 20, 04020062. [Google Scholar] [CrossRef]
- Lee, S.W. Stability around Underground Openings in Rock with Dilative, Non-Persistent and Multi-Scale Wavy Joints Using a Discrete Element Method; University of Illinois at Urbana-Champaign: Champaign, IL, USA, 2003. [Google Scholar]
- Jing, L.R.; Stephansson, O.S.; Nordlund, E. Study of rock joints under cyclic loading con-ditions. Rock Mech. Rock Eng. 1993, 26, 215–232. [Google Scholar] [CrossRef]
- Plesha, M. Constitutive models for rock discontinuities and surface degradation. Int. J. Numer. Anal Methods Geomech. 1987, 11, 345–362. [Google Scholar] [CrossRef]
- Kana, D.D.; Fox, D.J.; Hsiung, S.M. Interlock/friction model for dynamic shear response in natural jointed rock. Int. J. Rock Mech. Min. Sci. Geomech. Abstr. 1996, 33, 371–386. [Google Scholar] [CrossRef]
- Li, Y.C.; Sun, S.Y. Analytical prediction of the shear behaviour of rock joints with quanti-fied waviness and unevenness through wavelet analysis. Rock Mech. Rock Eng. 2019, 52, 3645–3657. [Google Scholar] [CrossRef]
- Hong, E.S.; Lee, J.S.; Lee, I.M. Underestimation of roughness in rock joints. Int. J. Numer. Anal Methods Geomech. 2008, 32, 1385–1403. [Google Scholar] [CrossRef]
- Chen, S.J.; Zhao, Z.H.; Wang, C. Estimation of rock joint roughness based on modified line-roughness. Met. Mine 2012, 41, 22–25. (In Chinese) [Google Scholar]
- Chen, S.J.; Zhu, W.C.; Zhan, M.S.; Yu, Q.L. Fractal description of rock joints based on digital image processing technique. Chin. J. Geotech. Eng. 2012, 34, 2087–2092. (In Chinese) [Google Scholar]
- Li, H.; Huang, R.Q. Method of quantitative determination of joint roughness coefficient. Chin. J. Rock Mech. Eng. 2014, 33, 3489–3497. (In Chinese) [Google Scholar]
- Gao, Y.N.; Wong, L.N.Y. A modified correlation between roughness parameter Z2 and the JRC. Rock Mech. Rock Eng. 2015, 48, 387–396. [Google Scholar] [CrossRef]
- Li, R.; Xiao, W.M. Study on a new equation for calculating JRC based on fine digization of standard profiles proposed by Barton. Chin. J. Rock Mech. Eng. 2018, 37, 3515–3523. (In Chinese) [Google Scholar]
- Liu, X.G.; Zhu, W.C.; Yu, Q.L.; Chen, S.J.; Li, R.F. Estimation of the joint roughness coefficient of rock joints by consideration of two-order asperity and its application in double-joint shear tests. Eng. Geol. 2017, 220, 243–255. [Google Scholar] [CrossRef] [Green Version]
- Liu, X.G.; Zhu, W.C.; Liu, Y.X.; Yu, Q.L.; Guan, K. Characterization of rock joint roughness from the classified and weigthed uphill projection parameters. Int. J. Geomech. 2021, 21, 04021052. [Google Scholar] [CrossRef]
- Yang, Z.Y.; Taghichian, A.; Li, W.C. Effect of asperity order on the shear response of three-dimensional joints by focusing on damage area. Int. J. Rock Mech. Min. 2010, 47, 1012–1026. [Google Scholar] [CrossRef]
- Xia, C.C.; Yue, Z.Q.; Tham, L.G.; Lee, C.F.; Sun, Z.Q. Quantifying topography and closure deformation of rock joints under normal stress. Int. J. Rock Mech. Min. 2003, 40, 197–220. [Google Scholar] [CrossRef]
- Tang, Z.C.; Xia, C.C.; Jiao, Y.Y.; Wong, L.N.Y. Closure model with asperity interaction in normal contact for rock joint. Int. J. Rock Mech. Min. 2016, 100, 170–173. [Google Scholar] [CrossRef]
- Jiang, Z.; Cao, P.; Fan, X.; He, Y.; Fan, W.C. Evolution of joint morphology subjected to shear loads based on Gaussion filtering method. J. Cent. South Univ. 2014, 45, 1975–1982. [Google Scholar]
- Nie, Z.H.; Wang, X.; Huang, D.L.; Zhao, L.H. Fourier-shape-based reconstruction of rock joint profile with realistic unevenness and waviness features. J. Cent. South Univ. 2019, 26, 3103–3113. [Google Scholar] [CrossRef]
- Ficker, T.; Dalibor, M. Alternative method for assessing the roughness coefficients of rock joints. J. Comput. Civ. Eng. 2016, 30, 04015059. [Google Scholar] [CrossRef]
- Yong, R.; Ye, J.; Li, B.; Du, S.G. Determining the maximum sampling interval in rock joint roughness measurements using Fourier series. Int. J. Rock Mech. Min. 2018, 101, 78–88. [Google Scholar] [CrossRef]
- Huang, M.; Hong, C.J.; Du, S.G.; Luo, Z.Y.; Zhang, G.Z. Study on morphological classification method and two-order roughness of rock joints. Chin. J. Rock Mech. Eng. 2020, 39, 1153–1164. [Google Scholar]
- Hong, E.S.; Lee, I.M.; Cho, G.C.; Lee, S.W. New approach to quantifying rock joint roughness based on roughness mobilization characteristics. KSCE J. Civ. Eng. 2014, 18, 984–991. [Google Scholar] [CrossRef]
- Zou, L.C.; Jing, L.R.; Cvetkovic, V. Roughness decomposition and nonlinear fluid flow in a single rock fracture. Int. J. Rock Mech. Min. 2015, 75, 102–118. [Google Scholar] [CrossRef]
- Yang, Y.F.; Wu, Y.F. Common time-frequency analysis methods and their limitations. In Applications of Empirical Mode Decomposition in Vibration Analysis; Yang, Y.F., Wu, Y.F., Eds.; National Defense Industry Press: Beijing, China, 2013. [Google Scholar]
- Gao, R.X.; Yan, R. From Fourier Transform to Wavelet Transform: A Historical Perspective; Springer US: Boston, MA, USA, 2011. [Google Scholar]
- Duan, H.M.; Xie, F.; Zhang, K.; Ma, Y.; Shi, F. Signal trend extraction of road surface profile measurement. In Proceedings of the IEEE 2010 2nd International Conference on Signal Processing Systems (ICSPS), Dalian, China, 23 August 2010; pp. 694–698. [Google Scholar]
- Huang, N.E.; Shen, Z.; Long, S.R.; Wu, M.L.; Shih, H.H.; Zheng, Q.; Yen, N.C.; Tung, C.C.; Liu, H.H. The empirical mode decomposition and the Hilbert spectrum for nonlinear and non-stationary time series analysis. Proc. R. Soc. Lond. Ser. A 1998, 454, 903–995. [Google Scholar] [CrossRef]
- Li, B.; Wang, E.Y.; Shang, Z.; Li, Z.H.; Li, B.L.; Liu, X.F.; Wang, H.; Niu, Y.; Wu, Q.; Song, Y. Deep learning approach to coal and gas outburst recognition employing modified AE and EMR signal from empirical mode decomposition and time-frequency analysis. J. Nat. Gas. Sci. Eng. 2021, 90, 103942. [Google Scholar] [CrossRef]
- Wu, Z.; Huang, N.E. Ensemble empirical mode decomposition: A noisy assisted data analysis method. Adv. Adapt. Data Anal. 2009, 1, 1–41. [Google Scholar] [CrossRef]
- Ghasemi, A.; Zahediasl, S. Normality tests for statistical analysis: A guide for non-statisticians. Int. J. Endocrinol. Metal. 2012, 10, 486–489. [Google Scholar] [CrossRef] [Green Version]
- Yong, R.; Ye, J.; Liang, Q.F.; Huang, M.; Du, S.G. Estimation of the joint roughness coefficient (JRC) of rock joints by vector similarity measures. Bull. Eng. Geol. Environ. 2018, 77, 735–749. [Google Scholar] [CrossRef]
- Jiang, Q.; Song, L.B.; Yan, F.; Liu, C.; Yang, B.; Xiong, J. Experimental investigation of anisotropic wear damage for natural joints under direct shearing test. Int. J. Geomech. 2020, 20, 04020015. [Google Scholar] [CrossRef]
- Jiang, Q.; Feng, X.T.; Gong, Y.H.; Song, L.B.; Ran, S.G.; Cui, J. Reverse modelling of natural rock joints using 3D scanning and 3D printing. Comput. Geotech. 2016, 73, 210–220. [Google Scholar] [CrossRef]
- Jiang, Q.; Yang, B.; Yan, F.; Shi, Y.G.; Liu, L.F. New method for characterizing the shear damage of natural rock joint based on 3D engraving and 3D scanning. Int. J. Geomech. 2020, 20, 1–15. [Google Scholar] [CrossRef]
- Muralha, J.; Graselli, G.; Tatone, B.; Blümel, M.; Chryssanthakis, P.; Yujing, J. ISRM suggested method for laboratory determination of the shear strength of rock joints: Revised version. Rock Mech. Rock Eng. 2014, 47, 291–302. [Google Scholar] [CrossRef]
- Zhu, X.M.; Li, H.B.; Liu, B.; Zou, F.; Mo, Z.Z.; Song, Q.J.; Niu, L. Experimental study of shear characteristics by simulating rock mass joints sample with second-order asperities. Rock Soil Mech. 2012, 33, 354–360. (In Chinese) [Google Scholar]


















| Parameter | Formula | Ref. |
|---|---|---|
| [18] [20] [21] [22] [23] [24] [25] [26] | ||
| [18] [20] [21] [23] [25] | ||
| [21] [22] [23] [25] [27] [28] | ||
| [29] | [30] | |
| [31] | [30] | |
| [32] | [22] | |
| [33] | [33] |
| Formula | Ref. |
|---|---|
| [49] | |
| [50] | |
| [51] | |
| [52] | |
| [53] | |
| [54] | |
| [55] | |
| [9] |
| Uniaxial Compressive Strength (UCS) /MPa | Cohesion Stress /MPa | Friction Angle /° | E /GPa |
|---|---|---|---|
| 48 | 7.03 | 47.23 | 16.27 |
| Joint Roughness Coefficient | Asperity Order | Normal Stress |
|---|---|---|
| Flat (0) | 0.6 MPa, 2.4 MPa, 4.8 MPa (0.0125UCS, 0.05UCS, 0.1UCS) | |
| JRC = 9.5 | Waviness + Unevenness | 0.6 MPa, 2.4 MPa, 4.8 MPa |
| Waviness | 0.6 MPa, 2.4 MPa, 4.8 MPa | |
| JRC = 10.8 | Waviness + Unevenness | 0.6 MPa, 2.4 MPa, 4.8 MPa |
| Waviness | 0.6 MPa, 2.4 MPa, 4.8 MPa | |
| JRC = 12.8 | Waviness + Unevenness | 0.6 MPa, 2.4 MPa, 4.8 MPa |
| Waviness | 0.6 MPa, 2.4 MPa, 4.8 MPa | |
| JRC = 14.5 | Waviness + Unevenness | 0.6 MPa, 2.4 MPa, 4.8 MPa |
| Waviness | 0.6 MPa, 2.4 MPa, 4.8 MPa | |
| JRC = 16.7 | Waviness + Unevenness | 0.6 MPa, 2.4 MPa, 4.8 MPa |
| Waviness | 0.6 MPa, 2.4 MPa, 4.8 MPa | |
| JRC = 18.7 | Waviness + Unevenness | 0.6 MPa, 2.4 MPa, 4.8 MPa |
| Waviness | 0.6 MPa, 2.4 MPa, 4.8 MPa |
Publisher’s Note: MDPI stays neutral with regard to jurisdictional claims in published maps and institutional affiliations. |
© 2021 by the authors. Licensee MDPI, Basel, Switzerland. This article is an open access article distributed under the terms and conditions of the Creative Commons Attribution (CC BY) license (https://creativecommons.org/licenses/by/4.0/).
Share and Cite
Yuan, Z.; Ye, Y.; Luo, B.; Liu, Y. A New Characterization Method for Rock Joint Roughness Considering the Mechanical Contribution of Each Asperity Order. Appl. Sci. 2021, 11, 6734. https://doi.org/10.3390/app11156734
Yuan Z, Ye Y, Luo B, Liu Y. A New Characterization Method for Rock Joint Roughness Considering the Mechanical Contribution of Each Asperity Order. Applied Sciences. 2021; 11(15):6734. https://doi.org/10.3390/app11156734
Chicago/Turabian StyleYuan, Zhouhao, Yicheng Ye, Binyu Luo, and Yang Liu. 2021. "A New Characterization Method for Rock Joint Roughness Considering the Mechanical Contribution of Each Asperity Order" Applied Sciences 11, no. 15: 6734. https://doi.org/10.3390/app11156734
APA StyleYuan, Z., Ye, Y., Luo, B., & Liu, Y. (2021). A New Characterization Method for Rock Joint Roughness Considering the Mechanical Contribution of Each Asperity Order. Applied Sciences, 11(15), 6734. https://doi.org/10.3390/app11156734
