Featured Application
Lightweight, low cost, flexible systems for fast storing and retrieving electrical energy.
Abstract
The present work aims at the development and characterization of carbon/polymer matrix nanocomposites, which will be able to operate as compact materials systems for energy storage and harvesting. Series of polymer nanocomposites employing different types of carbon allotropes (carbon black nanoparticles, multi-walled carbon nanotubes, graphene nanoplatelets and nanodiamonds) were developed varying the filler type and content. The energy storage ability of the systems was examined under AC and DC conditions to evaluate the influence of temperature, DC voltage and different types of filler content upon the stored and harvested energy. Experimental data confirmed the ability of the examined systems to store energy and release it on demand via a fast charge/discharge process. The addition of carbon nanoparticles significantly enhances the energy density of the systems. The coefficient of energy efficiency (neff) was determined for all systems, reaching up to 80% for the nanocomposite with 5 phr (parts per hundred resin per mass) carbon black content. In order to examine the optimal operational conditions of the systems, their structural integrity and thermomechanical properties were also investigated by means of static tensile tests, Dynamic Mechanical Analysis (DMA) and Differential Scanning Calorimetry (DSC).
1. Introduction
The social challenges of resource depletion and climate change call for a cleaner, more efficient use of resources and energy. The need for energy efficiency is leading to the introduction of novel and improved materials and the design of new low-cost, low-weight and environmentally friendly device structures that can harvest and/or store and/or convert energy with higher efficiency. By these means, increased autonomy and support for diverse applications within mobile devices that range from portable (or even wearable) electronics to hybrid electric vehicles can be achieved [1]. Innovation in dielectric polymer nanocomposites, which have the intrinsic ability to store energy at the nanoscale level, could lead to structures with high performance having a profound impact on the longer-term plans for more energy-efficient technology [2]. Multifunctional polymer composites could be employed as structural energy devices, where the matrix and filler work synergistically, leading to improved functional behavior [3,4].
Polymer nanocomposites are considered to be advanced technological materials in the fields of electronics, aviation, automobile and aerospace industries [5,6] due to their low weight, low cost, easy processing and remarkable mechanical, thermal, electrical and magnetic properties that can be effectively tailored by controlling the filler type and content [7,8,9,10]. The combination of polymers that exhibit high dielectric breakdown strength with the high values of dielectric permittivity of the ceramic fillers leads to a composite system with enhanced dielectric properties [11]. In addition, dispersed ceramic nanoparticles inside the polymer matrix can act as a distributed network of nanocapacitors where energy can be stored and harvested via a fast charge/discharge process [8,12,13]. The large interfacial area between the polymer matrix and the nanoinclusions is a dominant factor that dictates the dielectric and energy performance of nanocomposite materials due to interfacial polarization [14,15], which is the primary mechanism for most capacitor applications.
Conductive elements have been employed to increase the dielectric permittivity of polymer matrices and enhance their energy storage performance [16,17]. However, increased conductivity values may increase leakage currents and diminish energy efficiency. Semiconducting ceramic nanoparticles, especially perovskite ferroelectric oxides such as BaTiO3 and SrTiO3 [12,13,18], have been extensively investigated for their potential energy storage performance along with piezoelectric polymers such as PVDF [3,19,20,21]. Even though there are many studies in the literature that investigate the potential energy storage capacity of polymer nanocomposites [14,22,23,24], little work has been done to determine the amount of recovered energy [8,12,13,25]. Furthermore, the disparity of the fabrication processes and/or different functionalization methods makes the direct comparison of the reported results difficult.
The main goal of this study is to determine the energy efficiency in identically prepared nanocarbon-filled epoxy nanocomposite systems by investigating the effects of filler concentration temperature, DC voltage and different types of filler content upon the stored and harvested energy. For this reason, nanocomposites comprising an epoxy resin as a matrix and different carbon allotropes as the reinforcing phase (carbon black, multi-walled carbon nanotubes, graphene nanoplatelets and nanodiamonds) were prepared and studied at various filler contents. The nanocomposites were characterized by several techniques to determine their operational window and structural integrity.
2. Materials and Methods
2.1. Materials
Four nanocomposite systems were prepared by employing carbon allotropes as fillers in an epoxy matrix. In particular, Epoxol 2004 was supplied by Neotex S.A., Athens, Greece, while fillers were obtained from Plasmachem GmbH. The type of the employed epoxy was a two-component low-viscosity resin consisting of epoxy prepolymer (diglycidyl ether of bisphenol A (DGEBA)) along with the curing agent (aromatic amine). The physical properties of the carbon allotropes, according to the manufacturer’s datasheet, are presented in Table 1.
Table 1.
The employed carbon allotropes as fillers.
2.2. Fabrication Method
For the preparation of the nanocomposites, the carbon allotropes were initially dispersed into the prepolymer and stirred inside a sonicator for 5 min. Then, the curing agent was added at a 2:1 (prepolymer/hardener) mixing ratio, and the whole mixture was stirred by hand in a sonicator for 10 min before it was poured into suitable silicon moulds to be cured for seven days at room temperature. After polymerization, the samples underwent a post-curing treatment at 100 °C for 4 h in order to complete the crosslinking process. Filler content for all systems was 0, 0.1, 1, 3, 5, 7 and 10 phr (parts per hundred resin per weight). A schematic representation of the fabrication process of the nanocomposites is depicted in Figure 1.
Figure 1.
Schematic representation of the fabrication process of the nanocomposites.
2.3. Characterization Techniques
2.3.1. Morphological Characterization
The morphology and the quality of the developed nanocomposites were examined via Scanning Electron Microscopy (SEM) using an EVO MA 10 apparatus provided by Carl Zeiss.
2.3.2. Thermomechanical Characterization
The thermomechanical properties of the nanocomposites were assessed by Differential Scanning Calorimetry (DSC) using TA Q200 and Dynamic Mechanical Analysis (DMA) using TA Q800, both provided by TA Instruments. For the DSC tests, samples were placed in an aluminum crucible, while an empty aluminum crucible served as a reference. Additionally, the mechanical properties of the nanocomposites were examined with static tensile tests at room temperature with a 5 mm/min rate, using an Instron 5582 apparatus, provided by Instron. The parameters of the DSC and DMA are shown in Table 2 and Table 3, respectively.
Table 2.
DSC parameters.
Table 3.
DMA parameters.
2.3.3. Energy Storage
AC Measurements
The electric response of the nanocomposites under AC conditions was studied via Broadband Dielectric Spectroscopy (BDS) using an Alpha-N Frequency Response Analyzer and a Novotherm system for the temperature control. All experimental parameters for the BDS measurements are given in Table 4. The sample was placed inside the dielectric cell BDS 1200, forming a sandwich capacitor. Frequency scans were conducted under successive isothermal conditions. The experimental data were recorded using Windeta software. Devices, cell and software were obtained from Novocontrol Technologies.
Table 4.
BDS parameters.
DC Measurements
The energy storage/harvesting tests under DC current measurements were performed using a high-resistance DC meter (Agilent 4339B). The experimental set up included an automatic measurement process controlling the charging/discharging sequence. Table 5 presents the parameters of DC measurements. The samples were put in a parallel-plate capacitor configuration. Experimental data were obtained via suitable software.
Table 5.
DC measurements’ parameters.
3. Results and Discussion
3.1. Morphological Characterization
The quality of the surface of nanocomposites along with the dispersion and distribution of nanoparticles in the polymer matrix is vital for the enhancement of their performance. Any cracks, voids or air trapped inside the matrix during the fabrication process would be detrimental to both the mechanical as well as the electrical properties of the nanocomposites. Scanning Electron Microscopy was employed to examine the quality of the fabricated systems. Figure 2 shows representative SEM images for the nanocomposites with 3 phr filler content. Obtained SEM images confirm the high quality of the systems since no apparent air, cracks or voids are present. Uniform distribution and dispersion of the nanoparticles inside the polymer matrix was achieved, and the formation of large agglomerates was avoided.
Figure 2.
SEM images of the nanocomposites with 3 phr: (a) CB; (b) MWCNT; (c) GnP; (d) ND content.
3.2. Thermal and Mechanical Characterization
Differential Scanning Calorimetry was employed for the investigation of the thermal properties of the nanocomposites. An endothermic step-like process was recorded in the thermograms of all examined systems, which was identified as the transition from the glassy to the rubbery state of the polymer matrix. The characteristic glass transition temperature for all systems was determined at the point of inflection using suitable software provided by TA instruments. The results are listed in Table 6. The variation of the glass transition temperature with filler content can give an insight into the different interactions occurring inside the materials. Increasing Tg values indicate strong interactions between the nanoparticles and the macromolecules that obstruct the cooperative segmental movement of the polymer chains. All nanocomposites exhibit higher glass transition temperature values than the neat epoxy, which is a sign of the good adhesion of the nanofillers to the polymeric matrix. Carbon black nanocomposites exhibit a progressive increase in Tg values with filler content while, on the other hand, nanocomposites filled with nanodiamonds show a remarkable stability across the board. At high concentrations for the GnP and MWCNT-filled nanocomposites, the interactions between adjacent nanoparticles, due to their aspect ratio, become stronger, thus cancelling part of the hindrance of the chain mobility and slightly lowering the values of the glass transition temperature.
Table 6.
Glass transition temperature as determined via DSC test, for all examined systems.
The mechanical properties of polymer nanocomposites are dictated by several parameters including the individual properties of the constituents and the distribution of fillers in the polymer matrix, as well as interfacial bonding and the fabrication method. The addition of carbonaceous nanoparticles enhances the mechanical properties of the nanocomposites as demonstrated by the static and dynamic tests (Figure 3 and Figure 4, respectively). The tensile modulus was determined as the slope of the stress–strain curve in the elastic region. Figure 3 presents the Young’s modulus and tensile strength versus filler content for all examined nanocomposites. Error bars denote the standard deviation of the representative results. The Young’s modulus increases predictably with filler concentration for all systems except the nanocomposites filled with nanodiamonds. The systematic increase in the tensile modulus values is attributed to the intrinsic stiffness and rigidness of the nanoparticles and to the interfacial bonding between the matrix and the nanoinclusions, which affects the effectiveness of the load transfer from the polymer matrix to nanofillers [26,27]. It can be seen that the addition of very small amounts of carbon nanotubes, with very large aspect ratio and stiffness, in the polymer matrix leads to the largest modulus enhancement of all examined systems. In the case of nanodiamond-filled nanocomposites, the Young’s modulus increases until the 5 phr specimen, where it obtains the maximum value and then diminishes significantly, indicating that a higher content of nanodiamonds favors their aggregation.
Figure 3.
(a) Young’s modulus; (b) tensile strength versus filler content for all examined nanocomposites.
Figure 4.
Comparative plots of the storage modulus as a function of temperature for the nanocomposites with (a) carbon black; (b) MWCNT; (c) GnP; (d) ND. Insets depict the respective loss modulus as a function of temperature.
The macroscopic properties of heterogeneous polymer nanocomposites are governed by the local stress distribution around the inclusions [28] that form a network that is able to bear the mechanical load. The tensile strength of the nanocomposites decreases with filler content for all examined systems, exhibiting lower values of strength than the neat epoxy, as depicted in Figure 3. Nanoparticles seem to act as stress raisers, which is a common problem in particulate-filled composites [29]. The nanocomposites with MWCNT and GnP nanoparticles maintained higher values of tensile strength compared to the systems with 0D nanoreinforcements.
Figure 4 depicts the variation of the storage modulus and loss modulus (insets) as a function of temperature for all examined systems. The maximum values of the storage modulus follow the trend of the results for the elastic modulus. The increase of E′ values with filler content is ascribed to the effective load transfer from the polymer matrix to the filler, as a consequence of the fine dispersion and strong adhesion of filler in the matrix. Similarly to static tests, there is a significant increase in the storage modulus values with the addition even of a low amount of MWCNTs. This behavior reflects the intrinsic stiffness of carbon nanotubes and the formation of a load-carrying network inside the polymer matrix. There are several studies in the literature [30,31,32] reporting a sudden increase in stiffness for similar systems and suggesting the concept of a percolation threshold for the mechanical properties of polymer nanocomposites in an attempt to explain the high ranges of mechanical properties and the level of nanoparticle networks in polymer nanocomposites. However, this does not seem to be the case in the examined systems, as theoretical and computational results [30,31,32] indicate that such a threshold lies further beyond the electrical threshold, which in the examined MWCNTs system is 4.71% w/w [16]. A sharp decline in the storage modulus values suggests the transition of the polymer matrix from the glassy to the rubbery state, where the nanocomposites lose their load retention capacity. These step-like transitions are distinguished by the formation of peaks in the loss modulus spectra.
3.3. Energy Storage and Harvesting
3.3.1. AC Measurements
The ability of a nanocomposite to store electrical energy is expressed by its energy density [22]. The energy density, for all examined systems, was calculated via Equation (1):
where ε0 is the dielectric permittivity of the free space, which is equal to 8.854 × 10−12 F/m, ε′ is the real part of permittivity and Ε is the field’s intensity. The calculations were made at constant electric field . In linear dielectric materials, polarization is proportional to the applied electric field, and the energy stored per volume increases with increasing permittivity, at constant applied field.
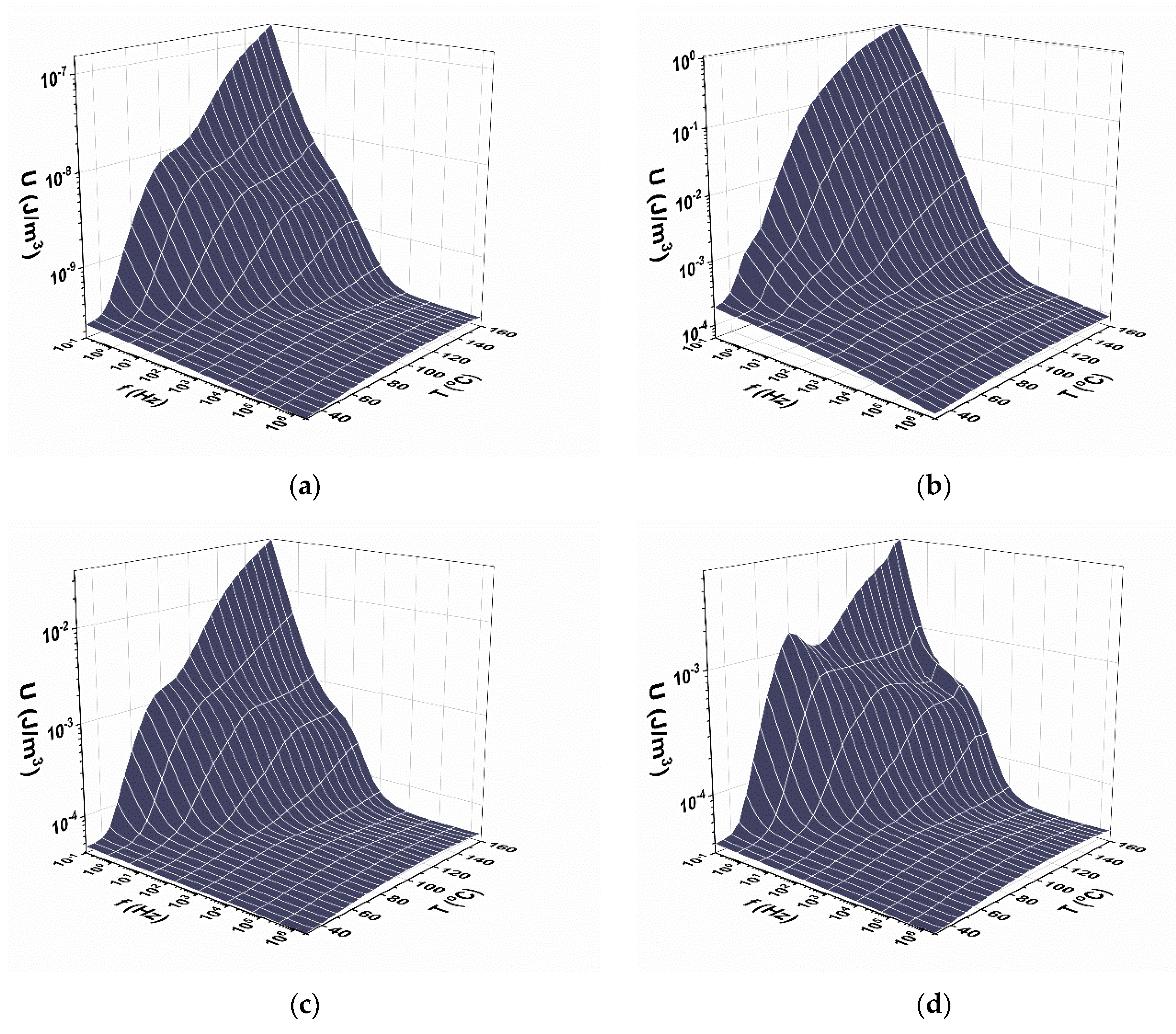
The variation of energy density as a function of frequency and temperature for all nanocomposites with 3 phr filler content is depicted in Figure 5. The illustrated behavior is representative of all examined systems. The energy density increases with temperature as the induced thermal energy facilitates the molecular mobility and the alignment of the dipoles with the externally applied electric field, thus increasing the achieved polarization. At high temperatures and low frequencies, energy density attains high values due to interfacial polarization. Polarization—and therefore also the energy density values—diminish rapidly with increasing frequency as permanent and induced dipoles do not have sufficient time to align themselves with the rotating external field. At intermediate frequencies and temperatures, a relaxation process arises which is related to the glass to rubber transition of the polymer matrix, also known as α-relaxation.
Figure 5.
The variation of energy density as a function of frequency and temperature for the nanocomposites with 3 phr: (a) CB; (b) MWCNT; (c) GnP; (d) ND content.
The relative energy density function, defined by Equation (2), was employed to highlight the contribution of the nanoreinforcements and to estimate the percentage of the stored energy in the nanocomposites compared to the energy stored in the matrix. Its normalized character eliminates the influence of geometric factors.
Figure 6 showcases the variation of Urelative as a function of temperature at 160 °C for all examined systems. In general, the ability of the nanocomposites to store energy increases with filler content due to the higher values of conductivity for the sp2 hybridized carbon nanoparticles, such as MWCNTs, and dielectric permittivity for the sp3 hybridized nanodiamonds [16] and the induced heterogeneity of the systems. The nanocomposites with carbon black and MWCNT filler content exhibit enhanced energy storage ability that reaches up to hundreds and thousands of times, respectively, the ability of the neat epoxy matrix at the maximum point of the function at the highest filler concentrations. The enhanced performance of MWCNT and carbon black systems, especially at intermediate and high concentrations, can be attributed to the increased values of conductivity of these systems. A thorough conductivity analysis of these systems reported in [16] shows that the significant increase of conductivity corresponds to a very narrow variation of the conductive phase content. This increase can be described by means of percolation theory, which predicts that at a critical concentration (also called the percolation threshold), a conductive path is formed, allowing the migration of charge carriers throughout the material [16,33]. The abrupt increase of conductivity appears as the result of the transition from the insulating state, where limited contacts between conductive sites exist, to the state where a conductive network is formed, via physical contacts of the conductive inclusions (metallic-type conduction). The determined values of critical concentration were found to be 4.71% w/w for the MWCNT systems and 5.26% w/w for the carbon black systems. The dependence of conductivity on temperature and the Variable Range Hopping model were employed in this study [16], revealing that at concentrations higher than the percolation threshold, hopping and metallic-type conduction coexist. On the other hand, the effect of the addition of nanodiamonds on the energy storage capabilities of the systems is almost negligible. The peak formed at low frequencies is attributed to interfacial polarization due to the accumulation of free charges at the interface between the filler and the polymer matrix, while the secondary peaks at higher frequencies correspond to the different dynamics of the α-relaxation process between the neat matrix and the nanocomposites.
Figure 6.
The variation of Urelative as a function of temperature at 160 °C for the nanocomposites with (a) carbon black; (b) MWCNT; (c) GnP; (d) ND.
3.3.2. DC Measurements
The calculation of the of the stored and retrieved energy was performed by integrating the time-dependent current functions, under charging and discharging conditions, via Equation (3):
where E is the stored energy at the capacitor, Q the charge and C is the capacitance of each nanocomposite as evaluated via the BDS measurements at the lowest frequency [12]. A more detailed insight into the rationale and the methodology can be found in [8,12].
Figure 7 depicts representative graphs of the stored and harvested energies for the nanocomposite systems with 3 phr filler content. The success of the energy storage/harvesting process is confirmed in the above diagrams for all examined systems. All charging curves are above the corresponding discharge curves. Systems quickly acquire high charging and discharge values (fast charge/discharge)—a characteristic feature of instantaneous power density capacitive systems. This ability to store and deliver a large amount of energy nearly instantaneously, sometimes called “pulse power”, cannot be delivered by storage technologies such as batteries and has potential applications in numerous commercial and military devices that require increased power density as well as higher charge/discharge current capabilities. The stored and recovered energies increase significantly with increasing voltage since the applied field lowers the local potential barriers, thus facilitating the migration of the charges inside the nanocomposites.
Figure 7.
The stored and harvested (discharging procedure) energies as a function of time and voltages for the nanocomposites with 3 phr: (a) CB; (b) MWCNT; (c) GnP; (d) ND content.
Figure 8 presents the comparative plots for the stored and retrieved energies for all examined systems at 100 V. Both energies increase with filler content due to the enhanced electrical properties of the carbonaceous nanoparticles compared to the polymer matrix as well as the interfacial effects due to the heterogeneity of the systems. It should be noted that, for the carbon black and MWCNT systems, above a critical concentration, reported as the percolation threshold in a previous study [16], the nanocomposites transition from the insulating to the conducting state. Therefore, no charge/discharge process could be established since the charge carriers do not accumulate inside the material but rather travel through it, either solely via a conducting path or in conjunction with hopping mechanisms [33]. However, the nanocomposite with 3 phr MWCNT concentration still exhibits the optimum performance.
Figure 8.
Comparative plots for the harvested energy, at 100 V, versus time for the nanocomposites with (a) carbon Black; (b) MWCNT; (c) GnP; (d) ND. Insets depict the stored (charging procedure) energies as a function of time for the respective systems.
Another critical factor for the valuation of the nanocomposites’ energy storage/harvesting performance is the calculation of the coefficient of energy efficiency (neff), which is defined as the ratio of the recovered to stored energy with parameters the charging voltage and time [8,12]. Figure 9 presents the results for the coefficient of energy efficiency at the same instant times of t = 5, 10 and 30 s in both charging and discharging procedures. The coefficient of energy efficiency diminishes over time for all systems, confirming once more the fast charge/discharge nature of the examined systems. neff increases with filler content for the nanocomposites with carbon black and MWCNT filler content. The optimum energy efficiency was noted for the nanocomposite with 5 phr carbon black content with coefficient (neff) values of 80 % at 100 V and 5 s. Unfortunately, once more, the nanocomposites filled with nanodiamond particles fail to record a decent performance, as their respective coefficient drops even below that of the polymer matrix.
Figure 9.
The coefficient of energy efficiency as a function of the filler content at the same instant times of t = 5, 10 and 30 s for the nanocomposites with (a) carbon black; (b) MWCNT; (c) GnP; (d) ND, at 100 V.
4. Conclusions
In the present study, series of polymer nanocomposites employing different types of carbon allotropes were successfully developed varying the filler type and content. SEM images confirmed the quality of the fabricated systems and revealed fine nanodispersions of the fillers in the polymer matrix. The thermal and mechanical properties were investigated by means of static tensile tests, Dynamic Mechanical Analysis and Differential Scanning Calorimetry. All nanocomposites exhibit higher glass transition temperature values than the neat epoxy, implying strong adhesion of the nanofillers to the polymer matrix. Storage and elastic moduli attain higher values with the addition of the reinforcing nanoparticles. The energy storage ability of the systems under AC conditions was determined by means of Broadband Dielectric Spectroscopy in a wide frequency and temperature range. Energy density increases with temperature and attaines the highest values at low frequencies due to interfacial polarization. The stored and harvested energy of the nanocomposites was also evaluated under DC conditions by employing a charge/discharge procedure. The energy storage and harvesting ability of the nanocomposites increases with filler content due to the higher values of dielectric permittivity and/or the conductivity of the nanoinclusions. The nanocomposites with carbon black and MWCNT filler content exhibit enhanced energy storage ability that exceeds several times the stored energy of the polymer matrix. On the other hand, the addition of nanodiamonds fails to enhance the energy storage capabilities of the systems. Finally, the coefficient of energy efficiency (neff) was determined for all systems. The filler content enhances the energy efficiency of the examined systems, reaching the highest value of over 80% for the 5 phr carbon black nanocomposite.
Author Contributions
Conceptualization and visualization were conducted by S.G.S. and G.C.P.; measurements, methodology, validation and data analysis were performed by S.G.S. and A.S.; writing and editing were performed by S.G.S., A.S., G.C.P.; project administration and supervision was performed by G.C.P. All authors have read and agreed to the published version of the manuscript.
Funding
This research received no external funding.
Institutional Review Board Statement
Not applicable.
Informed Consent Statement
Not applicable.
Data Availability Statement
Data are included in the article. Additional data are available upon request.
Acknowledgments
The present research work was supported by the Hellenic Foundation for Research and Innovation (HFRI) and the General Secretariat for Research and Technology (GSRT) under the HFRI PhD Fellowship grant (GA. No. 2327).
Conflicts of Interest
The authors declare no conflict of interest.
References
- Psarras, G.C. ‘Energy Materials’... the role of polymers. Express Polym. Lett. 2016, 10, 721. [Google Scholar] [CrossRef]
- Jawaid, M.; Khan, M.M. Polymer-Based Nanocomposites for Energy and Environmental Applications: A Volume in Woodhead Publishing Series in Composites Science and Engineering; University of Ottawa Press: Ottawa, Canada, 2018; ISBN 9780081019115. [Google Scholar]
- Chen, S.; Skordos, A.; Thakur, V.K. Functional nanocomposites for energy storage: Chemistry and new horizons. Mater. Today Chem. 2020, 17, 100304. [Google Scholar] [CrossRef]
- Ahmed, S.; Banerjee, S.; Sundar, U.; Ruiz, H.; Kumar, S.; Weerasinghe, A. Energy Harvesting: Breakthrough Technologies Through Polymer Composites. In Smart Polymer Nanocomposites; Ponnamma, D., Sadasivuni, K.K., Cabibihan, J.-J., Al-Maadeed, M.A.-A., Eds.; Springer International Publishing AG: Cham, Switzerland, 2017; pp. 1–42. ISBN 978-3-319-50423-0. [Google Scholar]
- Trompeta, A.-F.; Koumoulos, E.; Stavropoulos, S.; Velmachos, T.; Psarras, G.; Charitidis, C. Assessing the critical multifunctionality threshold for optimal electrical, thermal, and nanomechanical properties of carbon nanotubes/epoxy nanocomposites for aerospace applications. Aerospace 2019, 6, 7. [Google Scholar] [CrossRef] [Green Version]
- Song, K.; Guo, J.Z.; Liu, C. Polymer-Based Multifunctional Nanocomposites and Their Applications; Elsevier: Amsterdam, The Netherlands, 2018; ISBN 9780128150672. [Google Scholar]
- Sanida, A.; Stavropoulos, S.G.; Speliotis, T.; Psarras, G.C. Investigating the effect of Zn ferrite nanoparticles on the thermomechanical, dielectric and magnetic properties of polymer nanocomposites. Materials 2019, 12, 3015. [Google Scholar] [CrossRef] [PubMed] [Green Version]
- Sanida, A.; Stavropoulos, S.G.; Speliotis, T.; Psarras, G.C. Probing the magnetoelectric response and energy efficiency in Fe3O4/epoxy nanocomposites. Polym. Test. 2020, 88, 106560. [Google Scholar] [CrossRef]
- Sanida, A.; Stavropoulos, S.G.; Speliotis, T.; Psarras, G.C. Development and characterization of multifunctional yttrium iron garnet/epoxy nanodielectrics. J. Therm. Anal. Calorim. 2020, 142, 1701–1708. [Google Scholar] [CrossRef]
- Sanida, A.; Stavropoulos, S.G.; Speliotis, T.; Psarras, G.C. Magneto-Dielectric behaviour of m-type hexaferrite/polymer nanocomposites. Materials 2018, 11, 2551. [Google Scholar] [CrossRef] [Green Version]
- Psarras, G.C. Conductivity and dielectric characterization of polymer nanocomposites. In Physical Properties and Applications of Polymer Nanocomposites; Tjong, S.C., Mai, Y.-W., Eds.; Woodhead Publishing: Cambridge, UK, 2010; pp. 31–69. ISBN 9781845696726. [Google Scholar]
- Manika, G.C.; Psarras, G.C. Energy storage and harvesting in BaTiO3/epoxy nanodielectrics. High Volt. 2016, 1, 151–157. [Google Scholar] [CrossRef]
- Manika, G.C.; Psarras, G.C. SrTiO3/epoxy nanodielectrics as bulk energy storage and harvesting systems: The role of conductivity. ACS Appl. Energy Mater. 2020, 3, 831–842. [Google Scholar] [CrossRef] [Green Version]
- Sanida, A.; Stavropoulos, S.G.; Speliotis, T.; Psarras, G.C. Development, characterization, energy storage and interface dielectric properties in SrFe12O19/epoxy nanocomposites. Polymer 2017, 120, 73–81. [Google Scholar] [CrossRef]
- Lewis, T.J. Interfaces: Nanometric dielectrics. J. Phys. D Appl. Phys. 2005, 38, 202–212. [Google Scholar] [CrossRef]
- Stavropoulos, S.G.; Sanida, A.; Psarras, G.C. A comparative study on the electrical properties of different forms of carbon allotropes–epoxy nanocomposites. Express Polym. Lett. 2020, 14, 477–490. [Google Scholar] [CrossRef]
- Galpaya, D.; Wang, M.; Liu, M.; Motta, N.; Waclawik, E.; Yan, C. Recent advances in fabrication and characterization of graphene-polymer nanocomposites. Graphene 2012, 1, 30–49. [Google Scholar] [CrossRef] [Green Version]
- Thakur, V.K.; Gupta, R.K. Recent progress on ferroelectric polymer-based nanocomposites for high energy density capacitors: Synthesis, dielectric properties, and future aspects. Chem. Rev. 2016, 116, 4260–4317. [Google Scholar] [CrossRef]
- Hanemann, T.; Szabó, D.V. Polymer-nanoparticle composites: From synthesis to modern applications. Materials 2010, 3, 3468–3517. [Google Scholar] [CrossRef]
- Ryu, J.; Eom, S.; Li, P.; Hao Liow, C.; Hong, S. Ferroelectric Polymer PVDF-Based Nanogenerator. In Nanogenerators; IntechOpen: London, UK, 2020. [Google Scholar]
- Guo, S.; Duan, X.; Xie, M.; Aw, K.C.; Xue, Q. Composites, fabrication and application of polyvinylidene fluoride for flexible electromechanical devices: A review. Micromachines 2020, 11, 1076. [Google Scholar] [CrossRef]
- Dang, Z.-M.; Yuan, J.-K.; Yao, S.-H.; Liao, R.-J. Flexible nanodielectric materials with high permittivity for power energy storage. Adv. Mater. 2013, 25, 6334–6365. [Google Scholar] [CrossRef]
- Barber, P.; Balasubramanian, S.; Anguchamy, Y.; Gong, S.; Wibowo, A.; Gao, H.; Ploehn, H.; Zur Loye, H.-C. Polymer composite and nanocomposite dielectric materials for pulse power energy storage. Materials 2009, 2, 1697–1733. [Google Scholar] [CrossRef]
- Liu, C.; Li, F.; Lai-Peng, M.; Cheng, H.M. Advanced materials for energy storage. Adv. Mater. 2010, 22, 28–62. [Google Scholar] [CrossRef]
- Manika, G.C.; Psarras, G.C. Barium titanate/epoxy resin composite nanodielectrics as compact capacitive energy storing systems. Express Polym. Lett. 2019, 13, 749–758. [Google Scholar] [CrossRef]
- Menczel, J.D.; Prime, R.B. Thermal analysis of polymers: Fundamentals and Applications; Menczel, J.D., Prime, R.B., Eds.; John Wiley & Sons, Inc.: New Jersey, NJ, USA, 2009; ISBN 9780471769170. [Google Scholar]
- Sanida, A.; Stavropoulos, S.G.; Psarras, G.C. A comparative thermomechanical study of ferrite/polymer nanocomposites. Procedia Struct. Integr. 2018, 10, 257–263. [Google Scholar] [CrossRef]
- Abraham, R.; Thomas, S.P.; Kuryan, S.; Isac, J.; Varughese, K.T.; Thomas, S. Mechanical properties of ceramic-polymer nanocomposites. Express Polym. Lett. 2009, 3, 177–189. [Google Scholar] [CrossRef]
- Saba, N.; Jawaid, M. A review on thermomechanical properties of polymers and fibers reinforced polymer composites. J. Ind. Eng. Chem. 2018, 67, 1–11. [Google Scholar] [CrossRef]
- Chen, Y.; Pan, F.; Guo, Z.; Liu, B.; Zhang, J. Stiffness threshold of randomly distributed carbon nanotube networks. J. Mech. Phys. Solids 2015, 84, 395–423. [Google Scholar] [CrossRef]
- Li, H.X.; Zare, Y.; Rhee, K.Y. The percolation threshold for tensile strength of polymer/CNT nanocomposites assuming filler network and interphase regions. Mater. Chem. Phys. 2018, 207, 76–83. [Google Scholar] [CrossRef]
- Nikfar, N.; Zare, Y.; Rhee, K.Y. Dependence of mechanical performances of polymer/carbon nanotubes nanocomposites on percolation threshold. Phys. B Condens. Matter 2018, 533, 69–75. [Google Scholar] [CrossRef]
- Psarras, G.C. Hopping conductivity in polymer matrix-metal particles composites. Compos. Part A Appl. Sci. Manuf. 2006, 37, 1545–1553. [Google Scholar] [CrossRef]
Publisher’s Note: MDPI stays neutral with regard to jurisdictional claims in published maps and institutional affiliations. |
© 2021 by the authors. Licensee MDPI, Basel, Switzerland. This article is an open access article distributed under the terms and conditions of the Creative Commons Attribution (CC BY) license (https://creativecommons.org/licenses/by/4.0/).








