A Multi-Objective Hybrid Genetic Algorithm for Sizing and Siting of Renewable Distributed Generation
Abstract
:1. Introduction
- Three objective functions are considered regarding the proposed multi-objective model: energy losses as a technical aspect; DG plant installation costs as an economic aspect; and equivalent CO2 emission as an environmental concern of society. To the best of the authors knowledge these objective functions have not been simultaneously considered in the way they are approached in this paper.
- A new multi-objective solution methodology based on Genetic Algorithm combined with Maximin metric, named in this work as Multi-Objective Hybrid Genetic Algorithm (MOHGA), are implemented to obtain optimal Pareto sets of solution alternatives.
- Max-Min approximation as non-preference criterion and Minimal power losses and maximum net present value as preference criteria are applied as decision making strategies to select final solutions from obtained optimal Pareto sets.
- The approach robustness allows the application of proposed methodology in real-size distribution networks, as evidenced by the results with 918-bus Brazilian network.
- Only renewable energy sources are considered (hydraulic, wind, and photovoltaic).
- Network connection buses and maximum capacity (divided in modules) of generators are known data of the problem, in order to take into account proper conditions such as available source of energy, environmental restrictions, and occupation area.
- Maximum capacity for DG plants is set in 5 MW, since it covers common regulations (specifically, in Brazil, this value corresponds to the maximum allowed for DG’s).
2. Modeling and Solution Strategies
2.1. Multi-Objective Optimization Model
2.2. Multi-Objective Solution Methodology
- Elitism: best individuals from the current Pareto set are used as individuals in the next iteration. In this work, the number of best individuals to be considered in the new population is equal to 5% of the current population size.
- Parental Selection: a tournament selection among three random individuals from the current iteration is applied. The individual with more negative Maximin metric wins the competition and becomes a father for the next generation.
- Mutation: a fixed mutation tax of 5% is adopted.
- Recombination: the process is always accomplished (recombination tax of 100%).
3. Results and Analysis
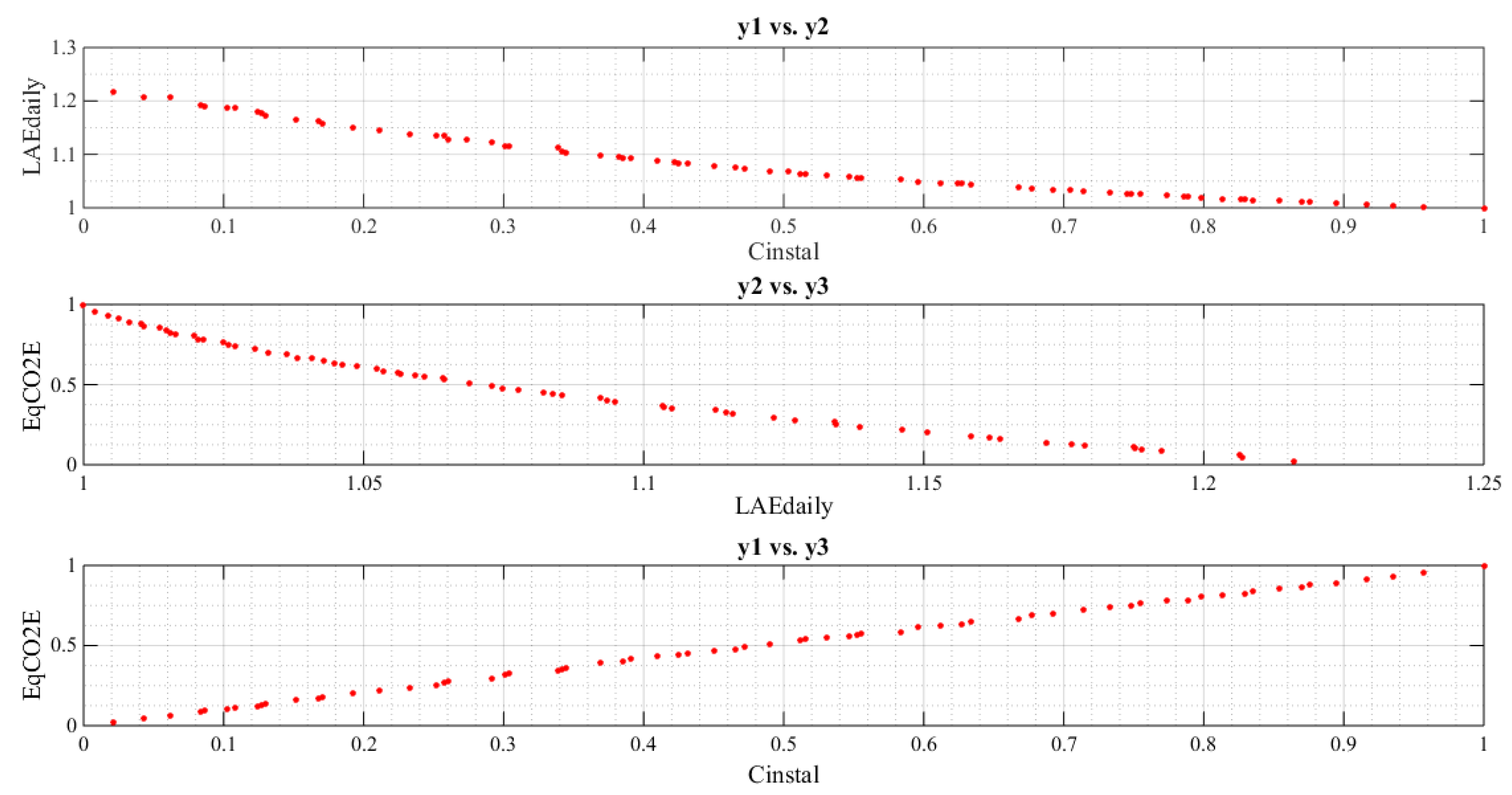
3.1. Case Study I: 69-Bus Test System
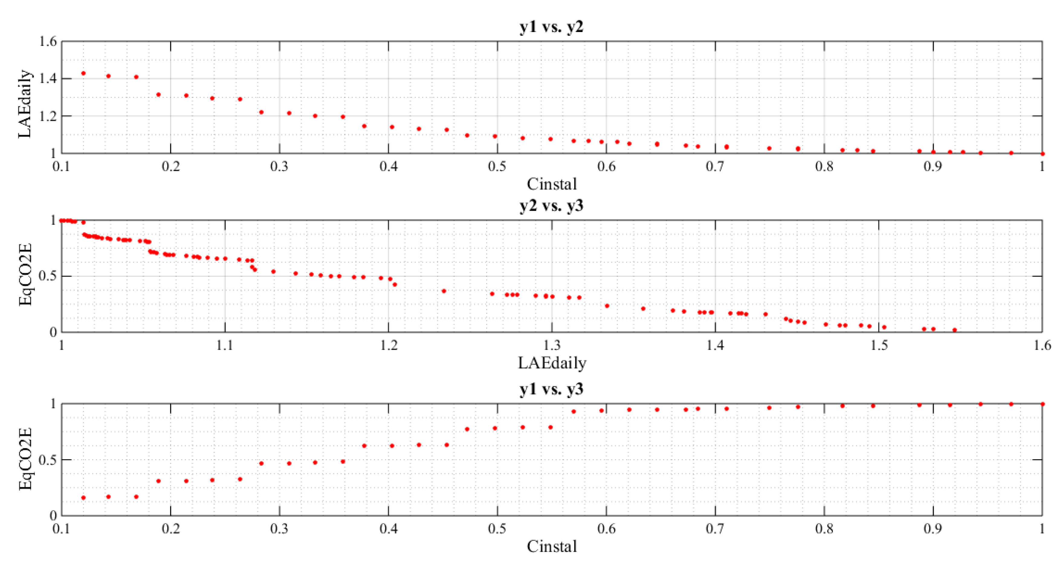
3.2. Case Study II: 918-Bus Test System
4. Conclusions
Author Contributions
Funding
Acknowledgments
Conflicts of Interest
Appendix A. Nomenclature
Appendix A.1. Sets and Indices
| Bus indices | |
| i | Candidate solution (individual) index |
| n | Distributed generation (DG) plant index |
| p | Hourly index |
| Time index (years) | |
| Set of distribution network nodes | |
| Set of distribution network branches |
Appendix A.2. Parameters
| Cable ampacity of k-m branch | |
| Capacity factor of n-th DG plant | |
| EqCO2EFn | Equivalent CO2 emission factor of n-th DG plant |
| Investment cost of n-th DG plant | |
| Maintenance cost | |
| Maximum quantity of modules for n-th DG plant | |
| Maximum penetration index | |
| Maximum voltage limit | |
| Minimum attractiveness rate | |
| Active power capacity for each module of n-th DG plant | |
| Operation cost | |
| Resistance of k-m branch | |
| N | Total number of DG plants to be connected in the network |
| Number of time intervals in the daily analysis | |
| Duration in hours of the p-th time interval |
Appendix A.3. Variables
| Daily losses of active energy | |
| Total installation cost of DG plants | |
| Connection cost | |
| Maximin metric for each candidate solution i | |
| Net active power in bus i on time interval p | |
| NDGn | Quantity of generation modules of n-th DG plant to be installed |
| Penetration index | |
| Energy price | |
| EqCO2E | Total daily equivalent CO2 emission |
| Total installation cost | |
| Voltage on bus k | |
| Electric current of k-m branch |
References
- Vignolo, M.; Zeballos, R. Transmission Networks or Distributed Generation? UR. FING: Rhodes, Greece, 2001. [Google Scholar]
- González-Longatt, F.; Fortoul, C. Review of the Distributed Generation Concept: Attempt of Unification. REPQJ 2005, 1. [Google Scholar] [CrossRef]
- Wang, J. A Planning Scheme for Penetrating Embedded Generation in Power Distribution Grids. Ph.D. Thesis, Massachusetts Institute of Technology, Cambridge, MA, USA, 2013. [Google Scholar]
- Viral, R.; Khatod, D.K. Optimal Planning of Distributed Generation Systems in Distribution System: A Review. Renew. Sustain. Energy Rev. 2012, 16, 5146–5165. [Google Scholar] [CrossRef]
- Keane, A.; Ochoa, L.F.; Borges, C.L.T.; Ault, G.W.; Alarcon-Rodriguez, A.D.; Currie, R.A.F.; Pilo, F.; Dent, C.; Harrison, G.P. State-of-the-Art Techniques and Challenges Ahead for Distributed Generation Planning and Optimization. IEEE Trans. Power Syst. 2013, 28, 1493–1502. [Google Scholar] [CrossRef] [Green Version]
- Matos, D.; Catalão, J. Geração Distribuída e Os Seus Impactes No Funcionamento Da Rede Elétrica. In Proceedings of the International Conference on Engineering University of Beira Interior (ICEUBI), Covilhã, Portugal, 27–29 November 2013; pp. 1–9. [Google Scholar]
- Soccol, F.J.; Pereira, A.L.; Celeste, W.C.; Coura, D.J.C.; de Chaves, G.L.D. Desafios Para Implementação da Geração Distribuída de Energia no Brasil: Uma Revisão Integrativa da Literatura. Rev. Bras. Eng. Produção 2016, 31–43. [Google Scholar] [CrossRef]
- Akorede, M.F.; Hizam, H.; Aris, I.; Kadir, M.Z.A.A. Effective Method for Optimal Allocation of Distributed Generation Units in Meshed Electric Power Systems. IET Gener. Transm. Amp. Distrib. 2011, 5, 276–287. [Google Scholar] [CrossRef]
- Moradi, M.H.; Abedini, M. A Combination of Genetic Algorithm and Particle Swarm Optimization for Optimal DG Location and Sizing in Distribution Systems. Int. J. Electr. Power Energy Syst. 2012, 34, 66–74. [Google Scholar] [CrossRef]
- Sattarpour, T.; Nazarpour, D.; Golshannavaz, S.; Siano, P. A Multi-Objective Hybrid GA and TOPSIS Approach for Sizing and Siting of DG and RTU in Smart Distribution Grids. J. Ambient Intell. Hum. Comput. 2018, 9, 105–122. [Google Scholar] [CrossRef]
- Shaaban, M.F.; Atwa, Y.M.; El-Saadany, E.F. DG Allocation for Benefit Maximization in Distribution Networks. IEEE Trans. Power Syst. 2013, 28, 639–649. [Google Scholar] [CrossRef]
- Ameli, A.; Bahrami, S.; Khazaeli, F.; Haghifam, M. A Multiobjective Particle Swarm Optimization for Sizing and Placement of DGs from DG Owner’s and Distribution Company’s Viewpoints. IEEE Trans. Power Deliv. 2014, 29, 1831–1840. [Google Scholar] [CrossRef]
- Abu-Mouti, F.S.; El-Hawary, M.E. Optimal Distributed Generation Allocation and Sizing in Distribution Systems via Artificial Bee Colony Algorithm. IEEE Trans. Power Deliv. 2011, 26, 2090–2101. [Google Scholar] [CrossRef]
- Falaghi, H.; Haghifam, M. ACO Based Algorithm for Distributed Generation Sources Allocation and Sizing in Distribution Systems. In Proceedings of the 2007 IEEE Lausanne Power Tech, Lausanne, Switzerland, 1–5 July 2007; pp. 555–560. [Google Scholar]
- Farhat, I.A. Ant Colony Optimization for Optimal Distributed Generation in Distribution Systems. Int. J. Comput. Inf. Eng. 2013, 7, 1094–1098. [Google Scholar]
- Kasaei, M.J.; Nikoukar, J. DG Allocation with Consideration of Costs and Losses in Distribution Networks Using Ant Colony Algorithm. Majlesi J. Electr. Eng. 2016, 10, 51–56. [Google Scholar]
- Yuvaraj, T.; Ravi, K.; Devabalaji, K.R. Optimal Allocation of DG and DSTATCOM in Radial Distribution System Using Cuckoo Search Optimization Algorithm. Model. Simul. Eng. 2017, 2017, 11. [Google Scholar] [CrossRef] [Green Version]
- Barreto, L.S. Modelo de Otimização Para o Planejamento Da Expansão de Sistemas de Distribuição Considerando Geração Distribuída. Master’s Thesis, Pontifícia Universidade Católica do Rio Grande do Sul (PUCRS), Porto Alegre, Brazil, 2007. [Google Scholar]
- Hejazi, H.A.; Araghi, A.R.; Vahidi, B.; Hosseinian, S.H.; Abedi, M.; Mohsenian-Rad, H. Independent Distributed Generation Planning to Profit Both Utility and DG Investors. IEEE Trans. Power Syst. 2013, 28, 1170–1178. [Google Scholar] [CrossRef]
- Khalesi, N.; Rezaei, N.; Haghifam, M.-R. DG Allocation with Application of Dynamic Programming for Loss Reduction and Reliability Improvement. Int. J. Electr. Power Energy Syst. 2011, 33, 288–295. [Google Scholar] [CrossRef]
- Mohanty, B.; Tripathy, S. A Teaching Learning Based Optimization Technique for Optimal Location and Size of DG in Distribution Network. J. Electr. Syst. Inf. Technol. 2016, 3, 33–44. [Google Scholar] [CrossRef] [Green Version]
- Moradi, M.H.; Abedini, M.; Hosseinian, S.M. A Combination of Evolutionary Algorithm and Game Theory for Optimal Location and Operation of DG from DG Owner Standpoints. IEEE Trans. Smart Grid 2016, 7, 608–616. [Google Scholar] [CrossRef]
- Moradi, M.H.; Reza Tousi, S.M.; Abedini, M. Multi-Objective PFDE Algorithm for Solving the Optimal Siting and Sizing Problem of Multiple DG Sources. Int. J. Electr. Power Energy Syst. 2014, 56, 117–126. [Google Scholar] [CrossRef]
- Rider, M.J.; Lopez-Lezama, J.M.; Contreras, J.; Padilha-Feltrin, A. Bilevel Approach for Optimal Location and Contract Pricing of Distributed Generation in Radial Distribution Systems Using Mixed-Integer Linear Programming. Transm. Distrib. IET Gener. 2013, 7, 724–734. [Google Scholar] [CrossRef]
- IRENA Renewable Power Generation Costs in 2018; International Renewable Energy Agency: Abu Dhabi, United Arab Emirates, 2019.
- Naik, S.; Khatod, D.; Sharma, M. Optimal Allocation of Distributed Generation in Distribution System for Loss Reduction. IACSIT 2012, 28, 42–46. [Google Scholar]
- Júnior, Z.; Sérgio, P. Modelo Multiobjetivo de Alocação e Dimensionamento de Geração Distribuída Para Redes de Distribuição. Dissertação (Mestrado em Engenharia Elétrica e da Computação); Universidade Federal de Goiás: Goiânia, Brasil, 2018. [Google Scholar]
- Miranda, M.M.D. Fator de emissão de gases de efeito estufa da geração de energia elétrica no Brasil: Implicações da aplicação da Avaliação do Ciclo de Vida. Master’s Thesis, Universidade de São Paulo, São Paulo, Brazil, 2012. [Google Scholar]
- Brigatto, G.A.A. Modelo de Decisão Multiobjetivo Para a Busca de Estratégias Ótimas de Inserção de Empreendimentos Em Geração Distribuída. Tese (doutorado); Universidade Federal de Santa Catarina: Florianópolis, Brazil, 2011. [Google Scholar]
- National Renewable Energy Laboratory Life Cycle Greenhouse Gas Emissions from Solar Photovoltaics. Available online: https://www.nrel.gov/docs/fy13osti/56487.pdf (accessed on 1 April 2021).
- Broadwater, R.P.; Chandrasekaran, A.; Huddleston, C.T.; Khan, A.H. Power Flow Analysis of Unbalanced Multiphase Radial Distribution Systems. Electr. Power Syst. Res. 1988, 14, 23–33. [Google Scholar] [CrossRef]
- Menchaca-Mendez, A.; Coello, C.A.C. Selection Operators Based on Maximin Fitness Function for Multi-Objective Evolutionary Algorithms. In Proceedings of the Evolutionary Multi-Criterion Optimization; Purshouse, R.C., Fleming, P.J., Fonseca, C.M., Greco, S., Shaw, J., Eds.; Springer: Berlin/Heidelberg, Germany, 2013; pp. 215–229. [Google Scholar]
- Pulido, G.T.; Coello, C.A.C. Using Clustering Techiniques to Improve the Performance of a Multi-objective Particle Swarm Optmizer. In Genetic and Evolutionary Computation Conference; Springer: Berlin/Heidelberg, Germany, 2004. [Google Scholar]
- Sivangaraju, S.; Visali, N.; Sankar, V.; Ramana, T. Enhancing Voltage Stability of Radial Distribution Systems by Network Reconfiguration. Electr. Power Compon. Syst. 2005, 33, 539–550. [Google Scholar] [CrossRef]







| Type | DG Insertion Buses | |||||
|---|---|---|---|---|---|---|
| Photovoltaic (PV) | 13 | 29 | 32 | ----- | 20 | 100 |
| Wind Turbine (W) | 3 | 38 | 47 | 68 | 10 | 150 |
| Hydro (H) | 24 | 36 | 58 | 62 | 8 | 300 |
| Decision Criteria | (PV) Bus | (W) Bus | (H) Bus | (PV) NDG | (W) NDG | (H) NDG | Cinstal (106 USD) | LAEdayly (MWh) | EqCO2EF (ton/10 Years) | NPV (106 USD—10 Years) |
|---|---|---|---|---|---|---|---|---|---|---|
| Min. losses | 13 | 68 | 62 | 4 | 5 | 6 | 4.74 | 1.93 | 2.28 | 1.742 |
| Max. NPV | 29 | 68 | 62 | 0 | 5 | 6 | 4.20 | 1.95 | 2.26 | 1.844 |
| MMA | 13 | 68 | 62 | 2 | 1 | 3 | 2.80 | 2.30 | 1.11 | 1.290 |
| Type | DG Insertion Buses | ||||||
|---|---|---|---|---|---|---|---|
| PV-01 | 129 | 248 | 367 | 565 | 666 | 15 | 150 |
| PV-02 | 138 | 301 | 468 | 737 | 811 | 20 | 100 |
| Decision Criteria | (PV-01) Bus | (PV-02) Bus | (PV-01) NDG | (PV-02) NDG | Cinstal (106 USD) | LAEdayly (MWh) | EqCO2EF (ton/10 Years) | NPV (106 USD— 10 Years) |
|---|---|---|---|---|---|---|---|---|
| Min. losses and Max. NPV | 666 | 468 | 14 | 20 | 5.57 | 3.42 | 0.31 | 0.99 |
| MMA | 565 | 468 | 1 | 17 | 2.28 | 3.72 | 0.14 | 0.54 |
Publisher’s Note: MDPI stays neutral with regard to jurisdictional claims in published maps and institutional affiliations. |
© 2021 by the authors. Licensee MDPI, Basel, Switzerland. This article is an open access article distributed under the terms and conditions of the Creative Commons Attribution (CC BY) license (https://creativecommons.org/licenses/by/4.0/).
Share and Cite
Zanin, P.S., Jr.; Garcés Negrete, L.P.; Brigatto, G.A.A.; López-Lezama, J.M. A Multi-Objective Hybrid Genetic Algorithm for Sizing and Siting of Renewable Distributed Generation. Appl. Sci. 2021, 11, 7442. https://doi.org/10.3390/app11167442
Zanin PS Jr., Garcés Negrete LP, Brigatto GAA, López-Lezama JM. A Multi-Objective Hybrid Genetic Algorithm for Sizing and Siting of Renewable Distributed Generation. Applied Sciences. 2021; 11(16):7442. https://doi.org/10.3390/app11167442
Chicago/Turabian StyleZanin, Paulo S., Jr., Lina Paola Garcés Negrete, Gelson A. A. Brigatto, and Jesús M. López-Lezama. 2021. "A Multi-Objective Hybrid Genetic Algorithm for Sizing and Siting of Renewable Distributed Generation" Applied Sciences 11, no. 16: 7442. https://doi.org/10.3390/app11167442
APA StyleZanin, P. S., Jr., Garcés Negrete, L. P., Brigatto, G. A. A., & López-Lezama, J. M. (2021). A Multi-Objective Hybrid Genetic Algorithm for Sizing and Siting of Renewable Distributed Generation. Applied Sciences, 11(16), 7442. https://doi.org/10.3390/app11167442

