Abstract
E-reading devices are becoming more and more common in our daily life, and they are used under a wide range of ambient light levels, from completely dark to extremely bright conditions. In this study, a psychophysical experiment is carried out to investigate how ambient light level affects the visual comfort of an e-reading device. Human observers compare the visual comfort of pairs of different text-background lightness combinations on a tablet device under three ambient light levels (i.e., 150, 1500, and 15,000 lx). With our previous work, the experimental results show that the trend of visual comfort interval scales below 1500 lx (i.e., Dark, 150, 300, and 1500 lx) are similar to each other but not for those under illuminance above the 1500 lx (i.e., 3000 and 15,000 lx). For the same lightness difference between text and background, the observers tend to read the text with a white background compared to a black background, especially for 3000 and 15,000 lx. Moreover, a black text on a light-gray background is the most comfortable combination under these two illuminance levels. An evaluation model is proposed based on ambient illuminance, screen parameters, and visual estimation to design an optimal viewing condition when reading on the tablet display.
1. Introduction
In recent years, tablet devices have become more and more common in a human’s daily life. People use tablets for work, entertainment, and communication. Inappropriate electronic display characteristics would significantly affect users’ visual comfort, which could cause visual fatigue [1,2,3,4,5], dizziness [6,7], lower visual performance [8,9,10,11], longer visual perception time [12], and even damage our eyes [13,14].
Many studies have been carried out to investigate how to improve the visual comfort of electronic displays. Na et al. studied how adaptive display luminance [15], luminance contrast [16], and luminance difference between text and background [17] affected the visual comfort when reading on smartphone displays. Based on the experiment results, a model was developed to design the adaptive display luminance to improve users’ visual comfort and satisfaction. Yu et al. carried out two experiments to find the optimal luminance contrast and difference to improve the reading performance through self-report surveys and a brainwave analysis quantifying the visual comfort, physiological stress, reading speed, and preference. It was found that the tablet display luminance should be set higher than the ambient luminance level [18].
Some studies specifically investigate how ambient light levels should be considered. Kojima et al. suggested that the ambient illuminance of 200 lx should be the minimum optimal level for providing a comfortable environment to perform reading on electronic displays [19]. Chen et al. investigated how the display quality and ambient light levels affected visual fatigue, comfort perception, and task performance. No significant difference in visual fatigue and visual performance was found between 200 and 500 lx [20]. Lee et al. explored the appropriate display luminance levels under various illuminance conditions depend on the maximum white luminance levels. The results revealed that the proper luminance would rely on the white luminance of the displays. Based on the above reason, they proposed the appropriate luminance zone under various illuminance conditions and determining the optimum luminance levels. With their approach, the optimum maximum white luminance of display ranges from 200 to 500 cd/m2 was recommended to provide better visibility under the illuminance levels below 500 lx [21]. Lee et al. discussed the influence of light source, ambient illuminance, character size, and interline spacing on visual performance and visual fatigue using an e-paper display. It suggested that the ambient illumination higher than 700 lx and character size of 3.0 mm could reach the best visual performance when reading an E-paper [22]. Two experiments were carried out to investigate how ambient illumination, screen type, color combination, screen luminance combination affected the visual performance and subjective preference of thin-film-transistor liquid-crystal displays (TFT-LCD) and cathode ray tube (CRT) displays [23,24]. An ambient illuminance of 450 lx was found to provide better visual performance than 200 lx. When the ambient illuminance was high, the display background luminance was found more important than the display contrast ratio for performing character identification. In addition, a combination of lower ambient illuminance and higher display contrast ratio was found to achieve better visual recognition and be the subjective preference [25].
Dobres et al. investigated the legibility thresholds by quantifying the time needed to accurately read a word with different text sizes, display polarities, and ambient illuminations. The result presented the positive polarity advantage on the legibility with the black-on-white combination [26]. A series of experiments were also conducted to understand the effect of display polarity on reading performance and verified the positive polarity advantage. The dark text with a light background (positive polarity) would result in a better reading performance against light text with a dark background (negative polarity) [27]. Our previous work has investigated how ambient lighting conditions, including the variance of correlated color temperatures (CCTs), illuminance levels, and text-background lightness combination, affected the observers’ visual comfort for e-reading. From the results, the combinations of a black text with medium-gray background and a black text with a light-gray background were recommended for dark environments and illumination no matter what illuminance and CCTs were [28]. The effect of the observer’s age, illuminance, and text-background lightness combinations on visual comfort was also studied using tablet computers. It suggested that older observers preferred a larger lightness difference between text and background for all lighting conditions [29,30]. Moreover, the positive polarity, in which the text was darker than the background, slightly improved the visual comfort.
Though the electronic displays of tablet devices are generally similar to those of computer devices, tablet devices are used under much more diverse ambient lighting conditions, in terms of light level, correlated color temperature, viewing angle, than computer devices. Therefore, the findings of various studies investigating computer device displays can not be simply applied to tablet device displays. In addition, tablet devices sometimes are used under extremely light levels, such as under daylight, which was never investigated in the past.
This study was designed based on our previous work [28], with a goal to investigate how visual comfort of tablet devices under extremely ambient illuminance levels (i.e., 15,000 lx). Based on the experimental results and previous work, an evaluation model was developed to predict the visual comfort of tablet devices.
2. Methods
2.1. Experimental Setup
A psychophysical experiment is conducted to investigate the visual comfort under a wide range of illuminance levels using a viewing booth with a size of 60 cm × 60 cm × 60 cm for its length, width, and height. The wall of the viewing booth is painted with the color of Munsell N7, which is neutral gray paint. All observers have to keep their chins on rest during the experiment to ensure an identical experimental set-up for a similar viewing distance of about 45 cm and a viewing angle between the observers and the iPad Air 2. The iPad Air 2 is placed at the center of a 45° viewing table set in the light booth, as shown in Figure 1.
Figure 1.
Viewing environment.
Twenty-four observers aging from 20 to 25 years old (mean = 21.3, SD = 1.1) participate in the experiment, including 12 males and 12 females. All observers are asked to evaluate the Ishihara Color Vision Test for testing their normal color vision, and all of them have passed the Ishihara Color Vision Test. Moreover, they have normal vision with vision correction, so there is no refractive problem.
The experimental environment is completely dark, and only a four-channel spectrally tunable LED device (ARRI SkyPanel S60-C) is adopted to illuminate the viewing booth uniformly. It is adjusted to provide experimental light sources, containing 150 lx, 1500 lx, and 15,000 lx illuminance levels with the same CCTs around 6500 K. The light sources are carefully corrected using a calibrated spectroradiometer (JETI specbos 1211), an illuminance meter (Konica Minolta CL-200A), and a reflectance standard is placed at the center of the viewing table. Figure 2 is the relative spectral power distributions (SPDs) of three light sources, and the maximum radiant power (W/m2) are 3.88 10−4, 3.88 10−3, and 3.9 10−2 for 150, 1500, and 15,000 lx, respectively. Table 1 lists the colorimetric characteristics of the ambient lighting conditions measured by the calibrated spectroradiometer.
Figure 2.
The spectral power distributions (SPDs) of the light sources.
Table 1.
Colorimetric characteristics of the light sources.
In the study, a 9.7-inch black iPad Air 2 is used for evaluating the visual comfort on a tablet display under a wide range of illuminance levels. The highest luminance of 408 cd/m2 measured as the iPad’s RGB values is set as 255. Besides, the chromaticity x and y of the white point are 0.3149 and 0.3259, respectively. The display takes approximately 30 min to stabilize the images shown on the iPad Air 2. All data measurements for display calibration are achieved by the use of a calibrated Topcon SR-UL1R spectroradiometer.
2.2. Experimental Procedures
An iOS App for paired comparison installed on the iPad Air 2 is designed to collect the observers’ visual comfort response. In the iOS App, two text-background lightness combinations are displayed simultaneously on the iPad Air 2, as shown in Figure 3. Each observer requires to pick one of the text-background lightness combinations that are more comfortable to read on display. Five achromatic colors, comprising the five levels of CIELAB lightness, denoted as black, dark gray, medium gray, light gray, and white, are applied to be the text or background color for the pattern of text-background lightness combination. Thus, 20 text-background lightness combinations are obtained, including all possible text-background lightness combinations from the five achromatic colors. Table 2 lists the colorimetric characteristics of these five achromatic colors. Based on the 20 text-background lightness combinations, a total of 190 paired comparisons are generated. A total of 20 of the 190 paired comparisons are presented twice for evaluation of the intra-observer variations. Therefore, each observer assesses 210 paired comparisons in terms of visual comfort under 150 lx, 1500 lx, and 15,000 lx, with a total of 630 evaluations (210 pairs in a random order × 3 illuminance levels). Totally 15,120 assessments (630 pairs × 24 observers) are collected in this experiment.
Figure 3.
An example of the stimulus for paired-comparison on the iPad Air 2.
Table 2.
Colorimetric characteristics of the five achromatic colors.
Before starting the experiment, the observer is asked to complete the survey questionnaire for the general information and the Ishihara Test for color vision deficiency. Next, the experimental assistant explains the experimental procedures in detail to the observer. Then the observer needs to sit in front of the viewing booth and fix their head on the chin rest to ensure identical experimental conditions. After the experimental assistant confirms that the observer realizes the procedure, the ambient lighting is turned off and only illuminates with the test light source generated from the tunable LED device (ARRI SkyPanel S60-C).
Under each illuminance level, the observer has to adapt to the viewing booth for at least three minutes. After that, the experimental assistant implements the iOS App for paired comparison and puts the iPad on the center of the viewing table at 45°. For each judgment, the observer compares the two text-background lightness combinations presented in random order, and the observer completes the comparison of all 210 combinations under three illuminance conditions.
3. Results
3.1. Observer Variability
Totally, 1440 repeated pair comparisons (i.e., 20 pair comparisons × 3 illuminance levels × 24 observers) are estimated twice in the visual task to investigate the intra-observer variation. The observers make the same judgments for 84.7% pairs on average, representing 1219 samples obtained the equivalent response from the second time. This indicates that the visual comfort from the psychophysical experiment in this study performs high repeatability, and the visual data are reliable.
3.2. Visual Comfort
The psychophysical experiment results determine the visual comfort interval scales using the Thurstone case V method [31]. According to the Thurstone case V method, the higher interval scale value means that the observers felt more visually comfortable reading the text-background lightness combination.
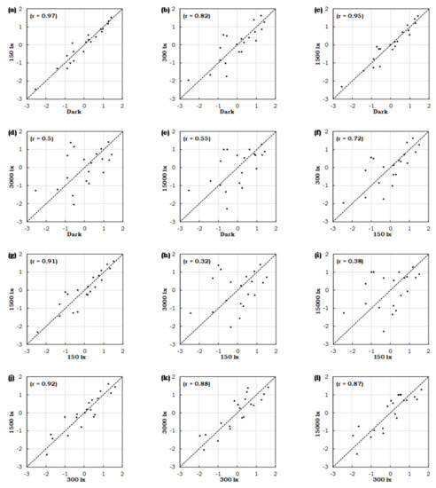
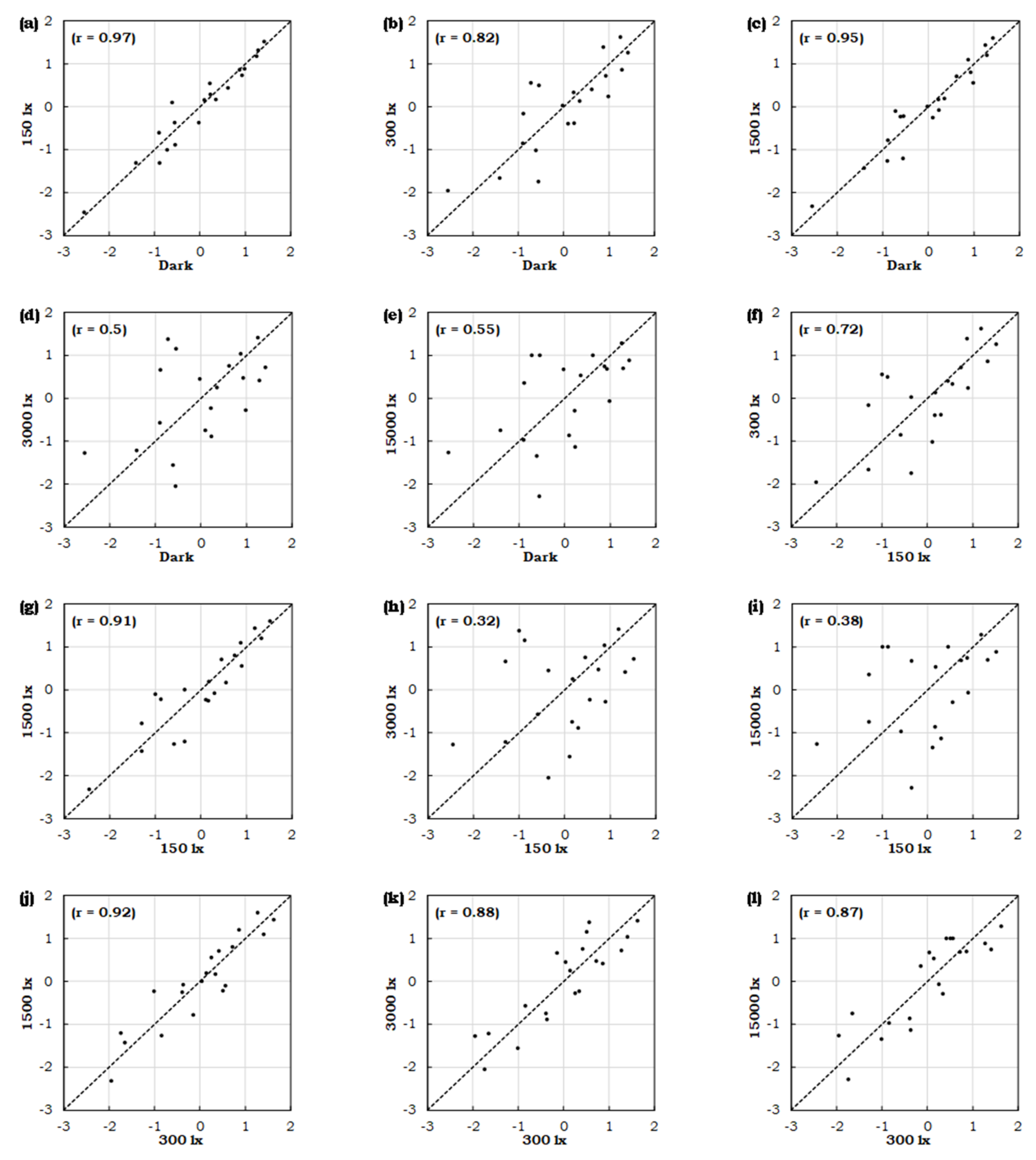
The pair comparison data are analyzed first by comparing visual comfort interval scales between the three illuminance levels of ambient lighting conditions. Figure 4a–c illustrate the Pearson correlation coefficient between the judgments under the three illuminance levels. It is found that the results under the 150 lx conditions are similar to those under the 1500 lx conditions.
Figure 4.
Correlation r between different ambient illuminance: (a) 150 lx vs. 1500 lx; (b) 150 lx vs. 1500 lx; (c) 1500 lx vs. 15,000 lx.
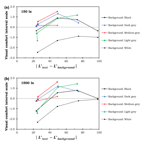
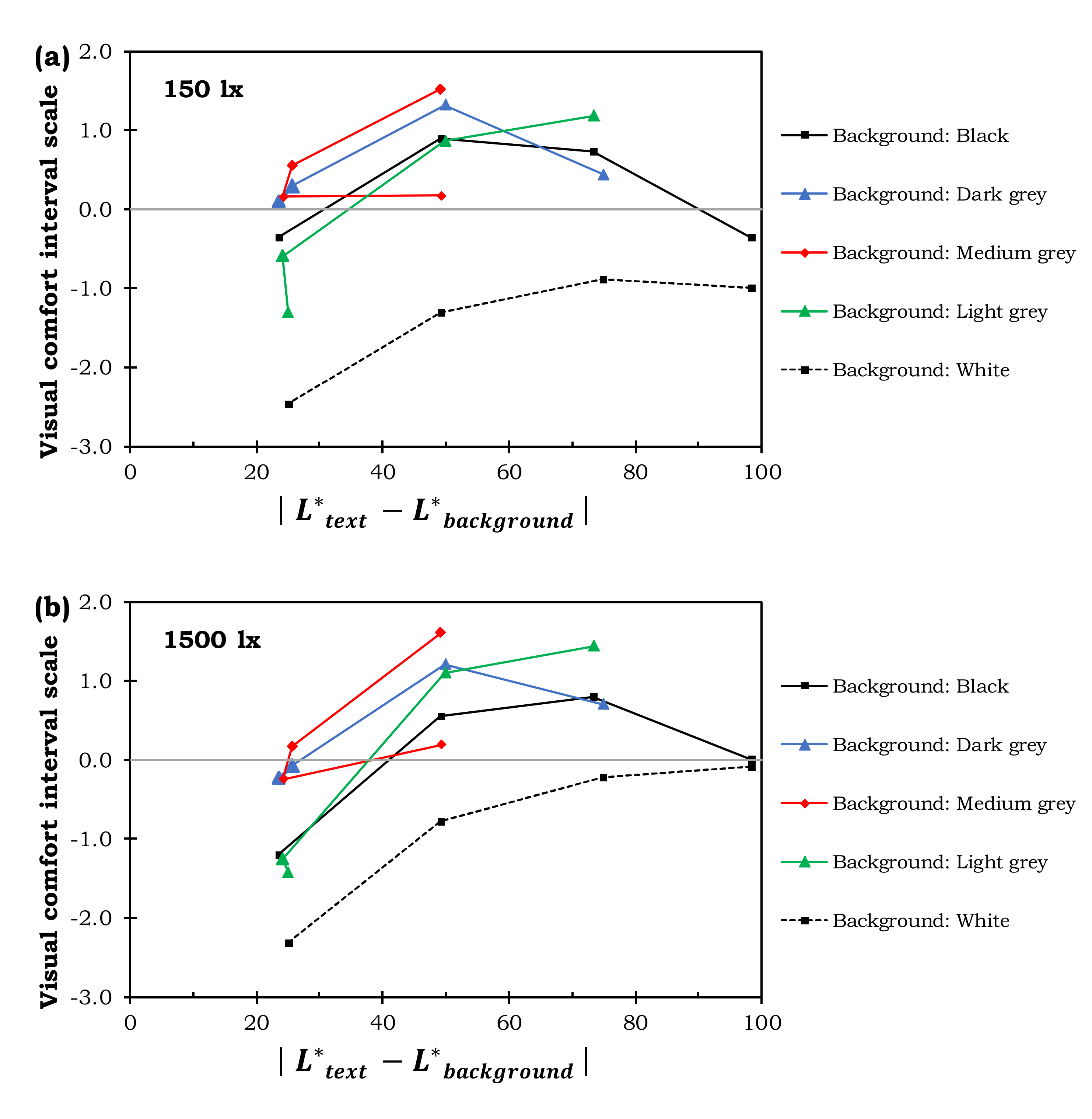
For understanding how the background color of the text-background combination influences the visual comfort, the visual comfort interval scales for five background colors are plotted against the text-background lightness difference, as shown in Figure 5a–c for 150 lx, 1500 lx, and 15,000 lx, respectively. For ambient illuminance of 150 lx and 1500 lx, the visual comfort interval scale value increases when the lightness difference becomes larger until it reaches approximately 50. It appears to decrease as the lightness difference keeps rising, as shown in Figure 5. On the other hand, the visual comfort interval scale value of 15,000 lx improves with a larger lightness difference until it reaches about 75 and keeps constant when the lightness difference increases continuously. The results indicate that the observers tend to prefer a high text-background lightness difference combination under the 15,000 lx condition. Considering the same lightness difference, the observers perceive the stimulus more comfortable with the black background than the white background for the ambient illuminance below 1500 lx, as shown in Figure 5a,b. However, the white background seems to have a larger visual comfort interval scale value than the black background compared with the ambient illuminance of 15,000 lx from Figure 5c.

Figure 5.
Visual comfort interval scale of the 20 text-background combinations under: (a) 150 lx; (b) 1500 lx; and (c) 15,000 lx.
According to Figure 5a,b, it is evident that the observers tend to select the combination of the black text with the medium-gray background (i.e., L*background = 50.82; L*text = 1.65) as the most comfortable text-background combination under 150 lx and 1500 lx. The combination regarded as the most comfortable under 150 lx and 1500 lx also performs the secondary comfort for the 15,000 lx. Moreover, the observers choose the combination of the black text with the light-gray background (i.e., L*background = 75; L*text = 1.65) as the most comfortable text-background combination under 15,000 lx. Referring to Figure 5a–c, the most obvious differences of the illuminance levels with a 1500 lx baseline are the combinations with the white or black backgrounds.
4. Discussion
To better know the impact of the wide ambient illuminance, including Dark, 150 lx, 300 lx, 1500 lx, 3000 lx, and 15,000 lx, on the visually comfort scales of the observers, the analyses below consider the visual comfort interval scales in our previous work [28]. The visual data of three ambient lighting conditions, the Dark, 300 lx, and 3000 lx with a horizontal CCT of 6500 K from our previous work, are applied for a comprehensive discussion based on a similar apparatus and essential experimental procedures. However, the major difference of the prior apparatus is the viewing booth, in which the size is 70 cm × 65 cm × 85 cm for its length, width, and height. The other difference between the two booths is the LED lighting devices. A two of 14-channel and a 4-channel spectrally tunable LED device is adopted to supply the test light sources with a CCT of 6500 K individually for previous work and the current research. Additionally, the five light sources are calibrated using the same calibrated equipment (JETI specbos 1211). Table 3 summarizes the colorimetric characteristics of the five light sources measured at the same viewing point with the observer.
Table 3.
Colorimetric characteristics of the five light sources.
Therefore, the following analysis includes the evaluations from 44 Chinese observers between 19 and 25 years old. A total of 20 observers (mean = 22, SD = 1.3) evaluate 210 paired comparisons under dark, 300 and 3000 lx conditions, and 24 observers (mean = 21.3, SD = 1.1) evaluated under 150 lx, 1500 lx, and 15,000 lx. Totally 27,720 evaluations (210 pair comparisons × 3 illuminance levels × 20 observers from our previous work [28] +210 pair comparisons × 3 illuminance levels × 24 observers in the study) are discussed.
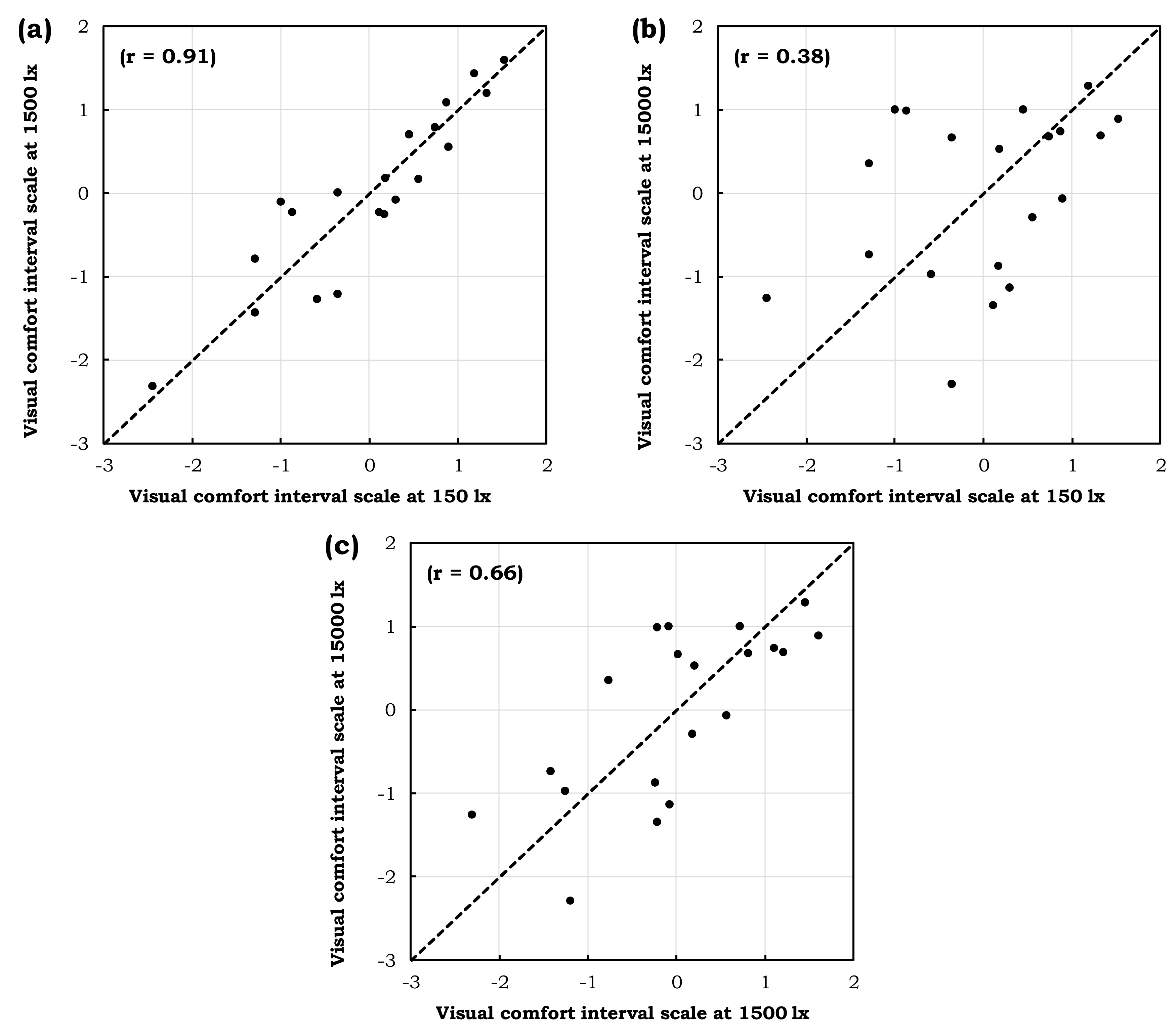
To study the visual comfort with a variety of ambient illuminance levels, their visual comfort interval scales are plotted against each other, as shown in Figure 6a–o. For Pearson correlation coefficient r, the results significantly show the high positive correlation of the visual comfort interval scales. The r values are higher than 0.65 for the illuminance levels above 150 lx and below 3000 lx. Conversely, except for those illuminance conditions (i.e., Dark, 150 lx, 3000 lx, and 15,000 lx), the more reduced r values present. As a result, the illuminance levels with high correlation are recommended for visual perception of comfort.

Figure 6.
Correlation r between different combinations of ambient illuminance settings (Dark, 150 lx, 300 lx, 1500 lx 3000 lx, and 15,000 lx).
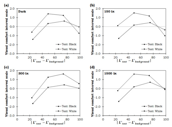
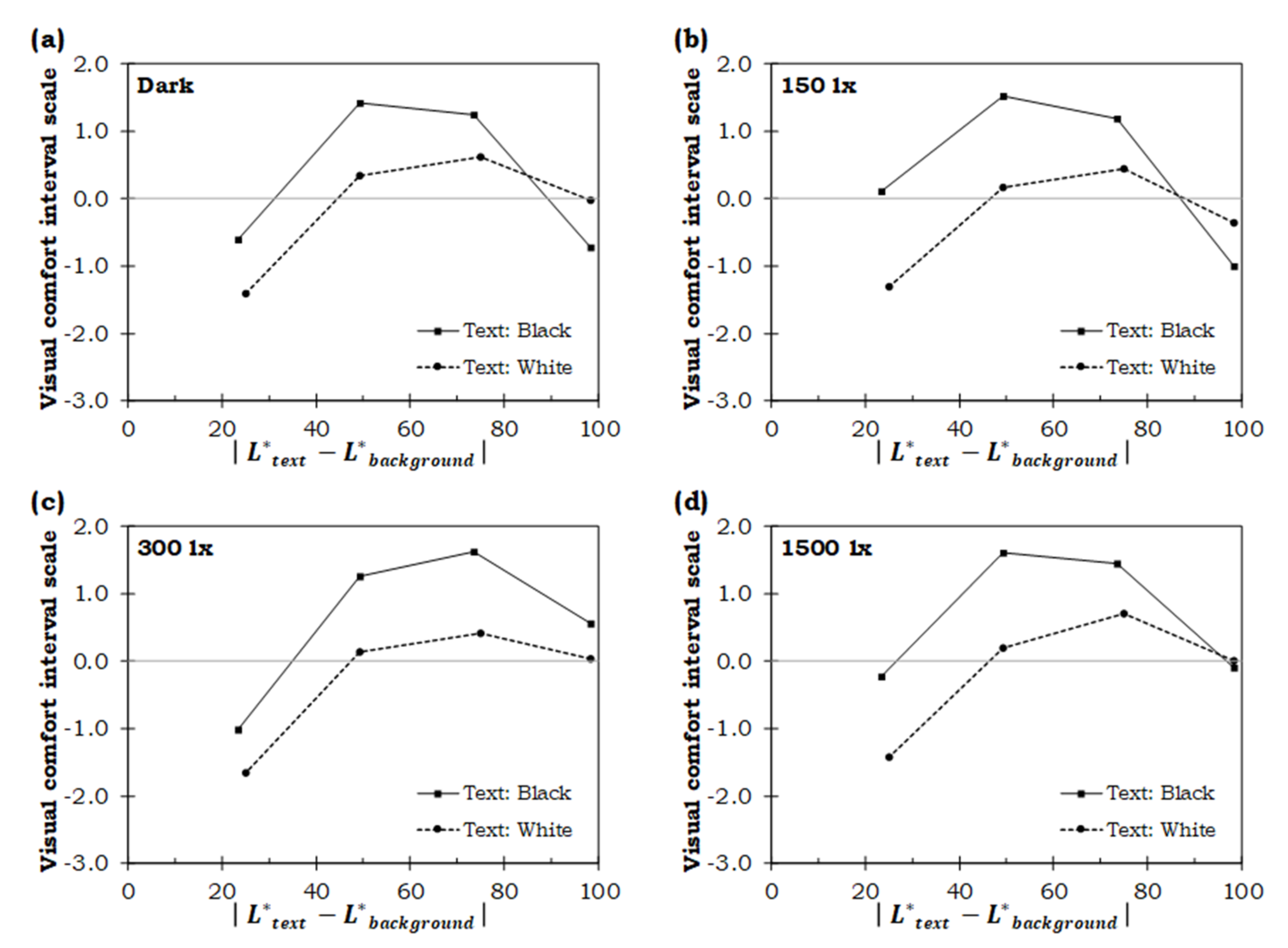
To investigate the influence of visual comfort on the white and black background, the visual comfort scales are plotted according to the text-background lightness difference and shown in Figure 7a–f. Figure 8a–f are the line graphs of visual comfort scales against text-background lightness differences for white and black text. Figure 7a–f indicate that the observers prefer the combination with the black background to the white background on visual comfort when reading under the illuminance level below 1500 lx (Dark, 150 lx, 300 lx, and 1500 lx). On the contrary, the combinations with the white background are more comfortable evaluated by the observers under high illuminance levels (3000 lx and 15,000 lx). In addition, the combinations with the black text under each illuminance level are beneficial to observers’ visual comfort, as in Figure 8a–f. Moreover, the distribution of the six curves shown in Figure 9a–e suggests that the visual comfort under 15,000 lx will be improved with the increase in background lightness. The visual comfort interval scales’ tendency is similar between each background lightness level under the illuminance below 1500 lx, whereas the trend of 3000 lx is closer to 15,000 lx. Except for the dark gray background, Figure 9c–e show that the combinations with positive contrast (i.e., Open markers in Figure 9c–e), in which the lightness of background is higher than the text, leading to better visual comfort under the six lighting conditions. The finding can verify the positive polarity advantage proposed from the literature [26,27].

Figure 7.
Visual comfort interval scale of the text-background combination with white and black background under six lighting conditions (a) Dark (b) 150 lx (c) 300 lx (d) 1500 lx (e) 3000 lx (f) 15,000 lx.

Figure 8.
Visual comfort interval scale of the text-background combination with white and black text under six lighting conditions (a) Dark (b) 150 lx (c) 300 lx (d) 1500 lx (e) 3000 lx (f) 15,000 lx.
Figure 9.
Comparisons of the visual comfort interval scales between six illuminance levels at each background (a) Black (b) Dark gray (c) Medium gray (d) Light gray (e) White; the open symbols are used to differentiate the positive contrast text-background combinations.
5. Evaluation Model
5.1. Modeling
For building machine learning models, the initial step is to determine the inputs. The experiment’s three parameters, including the illuminance of the surround, lightness of background, and text on the test patterns, are selected as the input features to predict the visual comfort scales, which are the output of the model. Totally 120 combinations of viewing conditions are collected. The input data are pre-processed to the range between 0 and 1 using min–max scaling as Equation (1) to speed up the training procedures with faster convergence.
After the data preparation, a back-propagation neural network (BPNN) with 51 trainable parameters is utilized to model the non-linear relationship between viewing conditions and visual comfort. Due to the small-scale sets of data, the model should be as simple as possible to avoid overfitting. The architecture of the BPNN is illustrated in Figure 10, which contains an input layer with three variables, one hidden layer with 10 neurons, and an output layer with one output value to solve the regression task. A hyperbolic tangent (Tanh) and a linear activation function are added to the hidden layer and output layer. The Levenberg–Marquardt (LM) optimization algorithm is adopted for the training procedure and compiled with the loss of mean-square error (MSE). The approach is well-known and robust for dealing with non-linear least squares problems, which combines the advantage of the Gauss–Newton algorithm (GNA) and gradient descent. The initial training parameters are 103, 6, 10−7, and 10−3 for the maximum number of epochs, maximum validation failures, minimum performance gradient, and initial adaptive value.
Figure 10.
Architecture of the BPNN.
Additionally, all the samples are randomly assigned as 85% for training (15% for validation) and 15% for testing. The training, validation, and testing data are 84, 18, and 18 sets, respectively. For reliability, the testing procedure is conducted five times and average the test results. Figure 11 shows the training history of the BPNN model for each epoch. Referring to Figure 11, the best performance for validation sets can be found at epoch 15, and the MSE value is about 0.034. It also indicates that the training procedure does not present the overfitting.
Figure 11.
Training history of mean squared error (mse).
5.2. Model Evaluation
In the field of machine learning, coefficient of determination (R-squared), root-mean-square error (RMSE), and mean absolute error (MAE) are the evaluation metrics mainly used to evaluate the regression models. The average and standard deviation of the testing results are listed in Table 4 to stand for the model’s performance and stability. The visualization of the result for model fitting and the error are depicted in Figure 12 and Figure 13. The figures describe how the predicted values differ from the target and performance a good fit. The results are more significant in Figure 14: the scatter plot of predicted values and the ground truth for training, validation, testing, and all datasets. Their correlation coefficients (R) are 0.96, 0.98, 0.95, and 0.96, respectively, which means the model provides an accurate prediction. For an ideal prediction, the Pearson R shall approach 1, and the data point distribution is located close to the 45-degree line. In addition, the higher R values of the validation and testing data represent that the model is developed without overfitting.
Table 4.
Evaluation metrics for machine learning model.
Figure 12.
Fitting curve of the prediction.
Figure 13.
Error histogram of the prediction.
Figure 14.
Regression plot of the evaluation model.
6. Conclusions
In conclusion, a psycho-visual experiment is carried out to test the wide range of ambient lighting illuminances on the visual comfort with different text-background lightness combinations of an e-reading device. Twenty-four observers evaluate the visual comfort by pair comparisons under the 150 lx, 1500 lx, and 15,000 lx illuminance levels with a horizontal CCT of 6500 K. The visual comfort interval scale value increases when the lightness difference became larger until it reached approximately 50 (i.e., L*medium gray background = 50.82; L*white text = 1.65) and is evaluated as the most comfortable under illuminance levels of 150 lx, 1500 lx. When the illuminance achieved 15,000 lx, the observers prefer the text-background combination with lightness difference around 75 (i.e., L*light gray background = 75; L*white text = 1.65), which is the most comfortable and keeps constant when the lightness difference increased continuously.
The six sets of visual comfort experimental data under Dark, 150 lx, 300 lx, 1500 lx, 3000 lx, and 15,000 lx are used to analyze and compare to each other to explore their impacts. The low Pearson correlation coefficients between the visual comfort interval scale below 150 lx and above 3000 lx reveal that the observers apparently preferred different text-background combinations under extremely low and high illuminance levels. When the observers compare the text-background combination with the white and black background, the perception of visual comfort increases by the combination of a white background with the ambient illuminance level getting higher. Regardless of the illuminance level, the observers almost prefer the background combined with black text to white text. As a result, the observers’ evaluation below 1500 lx is similar to the others. However, the observers’ response of 3000 lx is close to that of 15,000 lx. Additionally, the background-text lightness combined with the positive contrast leads to better visual comfort under the six lighting conditions, especially where the background is medium gray, light gray, and white.
Furthermore, the evaluation metrics show that the ambient illuminance level, background, and text lightness can be the input features for developing a machine learning model and further apply for real-time adjustment to improve the visual comfort of e-reading devices. Based on this study’s findings, it is worthwhile to comprehensively investigate the influence of ambient lighting conditions with chromaticities (i.e., Duv ≠ 0) and text-background combination of visual comfort for e-reading.
Author Contributions
H.-P.H., conducting experiments, data analysis, and writing—manuscript preparation. H.-C.L., data analysis, modeling, and writing—manuscript preparation. M.W., concept provider, project administration, supervision and writing—review and editing. L.-C.O., supervision and writing—review and editing. All authors have read and agreed to the published version of the manuscript.
Funding
This research was funded by the Ministry of Science and Technology (MOST), grant number MOST 109-2622-H-263-001, and The Research Grant Council of the Hong Kong Special Administrative Region (PolyU 152031/19E).
Institutional Review Board Statement
Ethical review and approval were waived for this study due to no requirement for the project as the psychophysical experiment is conducted in Hong Kong.
Informed Consent Statement
Informed consent was obtained from all subjects involved in the study.
Data Availability Statement
The data presented in this study are available on request from the author.
Conflicts of Interest
The authors declare no conflict of interest.
References
- Lin, Y.-T.; Hwang, S.-L.; Jeng, S.-C.; Koubek, R.J. Minimum ambient illumination requirement for legible electronic-paper display. Displays 2011, 32, 8–16. [Google Scholar] [CrossRef]
- Lin, Y.-T.; Lin, P.-H.; Hwang, S.-L.; Jeng, S.-C.; Liao, C.-C. Investigation of legibility and visual fatigue for simulated flexible electronic paper under various surface treatments and ambient illumination conditions. Appl. Ergon. 2009, 40, 922–928. [Google Scholar] [CrossRef]
- Shen, I.-H.; Shieh, K.-K.; Chao, C.-Y.; Lee, D.-S. Lighting, font style, and polarity on visual performance and visual fatigue with electronic paper displays. Displays 2009, 30, 53–58. [Google Scholar] [CrossRef]
- Lin, P.-H.; Lin, Y.-T.; Hwang, S.-L.; Jeng, S.-C.; Liao, C.-C. Effects of anti-glare surface treatment, ambient illumination and bending curvature on legibility and visual fatigue of electronic papers. Displays 2008, 29, 25–32. [Google Scholar] [CrossRef]
- Lin, Y.-T.; Lin, P.-H.; Hwang, S.-L.; Jeng, S.-C.; Lin, Y.-R. Ergonomic evaluation of electronic paper: Influences of anti-reflection surface treatment, illumination, and curvature on legibility and visual fatigue. J. Soc. Inf. Disp. 2008, 16, 91–99. [Google Scholar] [CrossRef]
- Bangor, A.W. Display Technology and Ambient Illumination Influences on Visual Fatigue at VDT Workstations. Ph.D. Thesis, Virginia Polytechnic Institute and State University, Blacksburg, VA, USA, 2000. [Google Scholar]
- Zhong, X.; Tu, Y.; Wang, B.; Jin, K.; Wang, Y.; Teunissen, K. P-142: Influence of Illumination Level on Visual Fatigue and Lighting Preference for Different Age Groups in China. SID Symp. Dig. Tech. Pap. 2017, 48, 1808–1811. [Google Scholar] [CrossRef]
- Lin, C.-C.; Huang, K.-C. Effects of ambient illumination conditions and background color on visual performance with TFT-LCD screens. Displays 2013, 34, 276–282. [Google Scholar] [CrossRef]
- Lin, C.-C.; Kuo-Chen, H. Effects of lighting color, illumination intensity, and text color on visual performance. Appl. Sci. Eng. 2014, 12, 193–202. [Google Scholar]
- Ram, M.S.; Bhardwaj, R. Effect of Different Illumination Sources on Reading and Visual Performance. J. Ophthalmic Vis. Res. 2018, 13, 44–49. [Google Scholar] [CrossRef] [Green Version]
- Lin, C.-C. Effects of contrast ratio and text color on visual performance with TFT-LCD. Int. J. Ind. Ergon. 2003, 31, 65–72. [Google Scholar] [CrossRef]
- Lin, C.-C.; Huang, K.-C. Effects of Color Combination and Ambient Illumination on Visual Perception Time with TFT-LCD. Percept. Mot. Ski. 2009, 109, 607–625. [Google Scholar] [CrossRef] [Green Version]
- Hessling, M.; Koelbl, P.S.; Lingenfelder, C. LED Illumination—A Hazard to the Eye? The increasing application of LEDs for lighting fosters fear of health consequences, which can be well assessed by comparing light sources. Opt. Photonik 2018, 13, 40–44. [Google Scholar] [CrossRef] [Green Version]
- Tsubota, K.; Toda, I.; Nakamori, K. Poor illumination, VDTs, and desiccated eyes. Lancet 1996, 347, 768–769. [Google Scholar] [CrossRef]
- Na, N.; Suk, H.-J. Adaptive display luminance for viewing smartphones under low illuminance. Opt. Express 2015, 23, 16912–16920. [Google Scholar] [CrossRef]
- Na, N.; Suk, H.-J. Adaptive luminance contrast for enhancing reading performance and visual comfort on smartphone displays. Opt. Eng. 2014, 53, 113102. [Google Scholar] [CrossRef] [Green Version]
- Na, N.; Choi, K.; Suk, H.-J. Adaptive luminance difference between text and background for comfortable reading on a smartphone. Int. J. Ind. Ergon. 2016, 51, 68–72. [Google Scholar] [CrossRef]
- Yu, H.; Akita, T.; Koga, T.; Sano, N. Effect of character contrast ratio of tablet PC and ambient device luminance ratio on readability in low ambient illuminance. Displays 2018, 52, 46–54. [Google Scholar] [CrossRef]
- Kojima, T.; Sano, S.; Ishio, N.; Koizuka, T.; Miyao, M. Verification of the Minimum Illuminance for Comfortable Reading of an E-Paper. In Proceedings of the Transactions on Petri Nets and Other Models of Concurrency XV; Springer Science and Business Media LLC: Berlin/Heidelberg, Germany, 2013; Volume 8011, pp. 348–355. [Google Scholar]
- Chen, J.G.; Wu, S.K.; Chiu, H.P.; Tu, C.N.; Liu, C.H. Evaluation of Three Tablet Computers at Two Levels of Ambient Illumination. Int. J. Hum.-Comput. Interact. 2016, 32, 394–401. [Google Scholar] [CrossRef]
- Kim, M.; Jeon, D.-H.; Kim, J.-S.; Yu, B.-C.; Park, Y.; Lee, S.-W. Optimum display luminance depends on white luminance under various ambient illuminance conditions. Opt. Eng. 2018, 57, 024106. [Google Scholar] [CrossRef]
- Lee, D.-S.; Ko, Y.-H.; Shen, I.-H.; Chao, C.-Y. Effect of light source, ambient illumination, character size and interline spacing on visual performance and visual fatigue with electronic paper displays. Displays 2011, 32, 1–7. [Google Scholar] [CrossRef]
- Shieh, K.-K.; Lin, C.-C. Effects of screen type, ambient illumination, and color combination on VDT visual performance and subjective preference. Int. J. Ind. Ergon. 2000, 26, 527–536. [Google Scholar] [CrossRef]
- Lin, C.-C.; Huang, K.-C. Effects of ambient illumination and screen luminance combination on character identification performance of desktop TFT-LCD monitors. Int. J. Ind. Ergon. 2006, 36, 211–218. [Google Scholar] [CrossRef]
- Chen, M.-T.; Lin, C.-C. Comparison of TFT-LCD and CRT on visual recognition and subjective preference. Int. J. Ind. Ergon. 2004, 34, 167–174. [Google Scholar] [CrossRef]
- Dobres, J.; Chahine, N.; Reimer, B. Effects of ambient illumination, contrast polarity, and letter size on text legibility under glance-like reading. Appl. Ergon. 2017, 60, 68–73. [Google Scholar] [CrossRef] [PubMed]
- Buchner, A.; Baumgartner, N. Text-background polarity affects performance irrespective of ambient illumination and colour contrast. Ergonomics 2007, 50, 1036–1063. [Google Scholar] [CrossRef] [PubMed]
- Huang, H.-P.; Wei, M.; Ou, L.-C. Effect of text-background lightness combination on visual comfort for reading on a tablet display under different surrounds. Color Res. Appl. 2019, 44, 54–64. [Google Scholar] [CrossRef] [Green Version]
- Huang, H.-P.; Ou, L.-C.; Yuan, Y. Effects of age and ambient illuminance on visual comfort for reading on a mobile device. Color Res. Appl. 2016, 42, 352–361. [Google Scholar] [CrossRef]
- Ou, L.-C.; Sun, P.-L.; Huang, H.-P.; Luo, M.R. Visual comfort as a function of lightness difference between text and background: A cross-age study using an LCD and a tablet computer. Color Res. Appl. 2015, 40, 125–134. [Google Scholar] [CrossRef]
- Thurstone, L.L. A law of comparative judgment. Psychol. Rev. 1994, 101, 266. [Google Scholar] [CrossRef]
Publisher’s Note: MDPI stays neutral with regard to jurisdictional claims in published maps and institutional affiliations. |
© 2021 by the authors. Licensee MDPI, Basel, Switzerland. This article is an open access article distributed under the terms and conditions of the Creative Commons Attribution (CC BY) license (https://creativecommons.org/licenses/by/4.0/).

















