Electronic Structure Correspondence of Singlet-Triplet Scale Separation in Strained Sr2RuO4
Abstract
1. Introduction
- we show how strain modifies both one- and two-particle properties in a markedly orbital-dependent manner: strain enhances the role of the orbital relative to the orbitals
- we show how the system becomes a better Fermi liquid with decreasing temperature; at low temperature, J becomes the dominant factor, and the increase in coherence is orbital specific, on account of the van Hove singularity
- we show how the system becomes a better Fermi liquid with increasing strain, while at the same time, becomes heavier and and lighter; strain enhances the role of the orbital relative to the orbitals and enhances spin singlet superconductivity
- we use instability analysis to clarify how the relative strength of competing phases evolves with strain and compare against a spin density wave (SDW) (the latter eventually overtakes the instability towards superconductivity at a strain larger than the critical one)
- we show how spin-orbit coupling affects superconductivity.
2. Results
2.1. Single-Particle Properties Near the Fermi Surface
- In the unstrained case, DFT yields a good Fermi surface [32], but QSGW performs a little better. QSGW and QSGW++ are very similar (left panel, Figure 1). In the vicinity of the = 45 degree line connecting and X, the inner () pocket makes a smooth transition from xz (green) to xy (red) at the 45 degree mark, to the yz (blue) character (middle panel, Figure 1). Thus, xy and xz,yz exchange roles on this line. The nesting vector along this line give rise to peaks in at , which mainly drive superconductivity.
- The tendency for QSGW to yield smaller vF than DFT is typical [31]; and so is further renormalisation from spin fluctuations, computed via DMFT. It is noteworthy that vF computed in QSGW++ (hexagons) is in very good agreement with ARPES data (blue circles), including the variation with .
- Under strain, the xy symmetry is broken: the two points MGin the middle panel of Figure 1 become different. One point contracts, and the other widens, touching the boundary at a critical strain and causing a topological (Lifshitz) transition. QSGW and DMT capture this transition, but QSGW accurately captures the critical strain (%), whereas DFT gets it severely wrong [17].
- Spin-orbit modification of the band structure is poorly described in DFT; Reference [32] referred to “correlation enhancements” to it. QSGW, however, describes the splitting very well (∼90 meV), in good agreement with an estimate of 100 meV [32], revised downward from the 2014 estimate of 130 ± 30 meV [35].

2.2. Spin Fluctuations: Incommensurability and Coherence
2.3. Superconducting Pairing: Nodal Character and Dimensionality
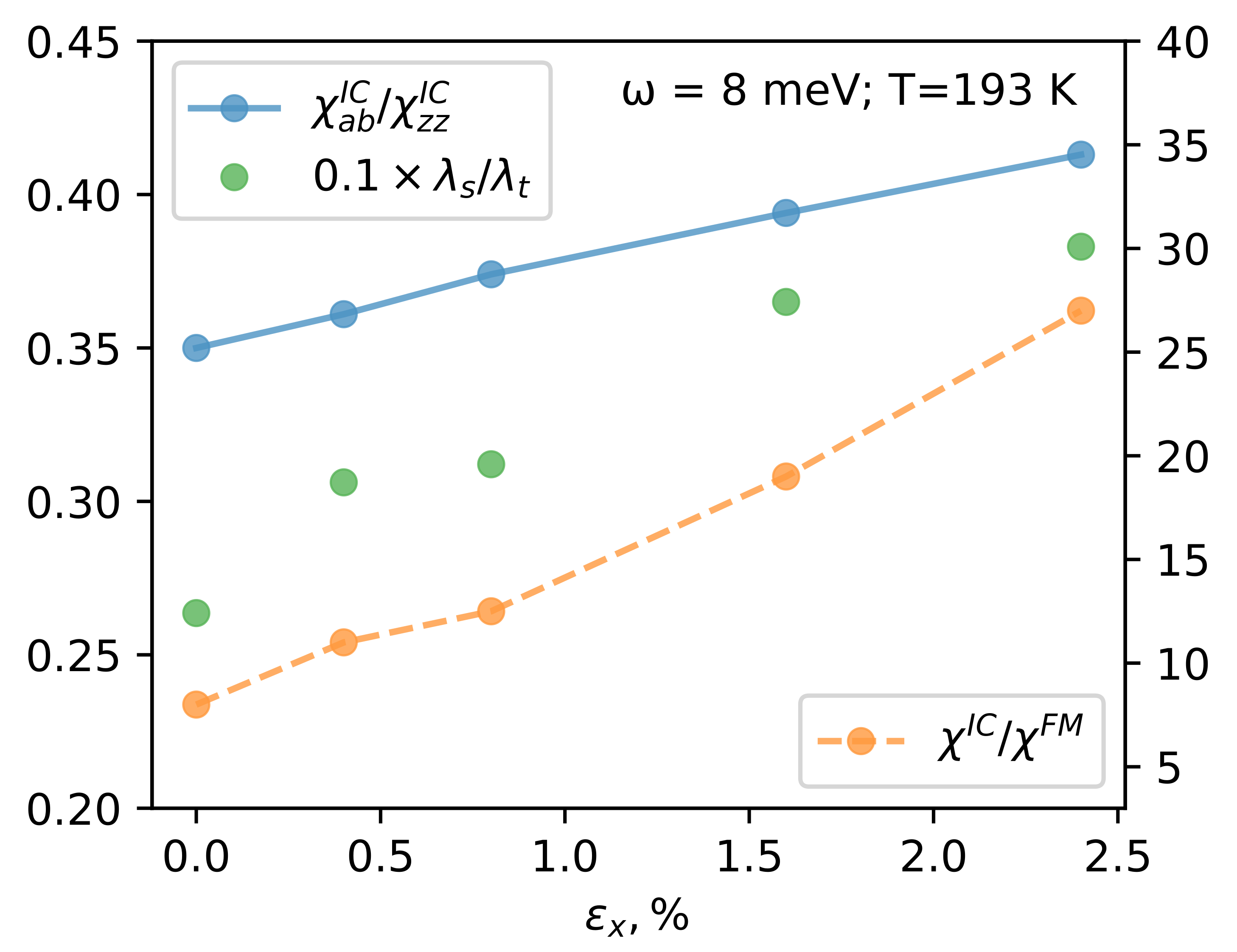
2.4. Magnetic Incommensurability, Anisotropy, and Their Role in Cooper Pairing
2.5. Summary
3. Methods
Author Contributions
Funding
Informed Consent Statement
Data Availability Statement
Acknowledgments
Conflicts of Interest
References
- Mackenzie, A.P.; Scaffidi, T.; Hicks, C.W.; Maeno, Y. Even odder after twenty-three years: The superconducting order parameter puzzle of Sr2RuO4. NPJ Quantum Mater. 2017, 2, 40. [Google Scholar] [CrossRef]
- Hicks, C.W.; Brodsky, D.O.; Yelland, E.A.; Gibbs, A.S.; Bruin, J.A.; Barber, M.E.; Edkins, S.D.; Nishimura, K.; Yonezawa, S.; Maeno, Y.; et al. Strong increase of Tc of Sr2RuO4 under both tensile and compressive strain. Science 2014, 344, 283–285. [Google Scholar] [CrossRef] [PubMed]
- Steppke, A.; Zhao, L.; Barber, M.E.; Scaffidi, T.; Jerzembeck, F.; Rosner, H.; Gibbs, A.S.; Maeno, Y.; Simon, S.H.; Mackenzie, A.P.; et al. Strong peak in T c of Sr2RuO4 under uniaxial pressure. Science 2017, 355, eaaf9398. [Google Scholar] [CrossRef] [PubMed]
- Pustogow, A.; Luo, Y.; Chronister, A.; Su, Y.S.; Sokolov, D.; Jerzembeck, F.; Mackenzie, A.; Hicks, C.; Kikugawa, N.; Raghu, S.; et al. Pronounced drop of O17 NMR Knight shift in superconducting state of Sr2RuO4. Nature 2019, 574, 72. [Google Scholar] [CrossRef] [PubMed]
- Sharma, R.; Edkins, S.D.; Wang, Z.; Kostin, A.; Sow, C.; Maeno, Y.; Mackenzie, A.P.; Davis, J.C.S.; Madhavan, V. Momentum-resolved superconducting energy gaps of Sr2RuO4 from quasiparticle interference imaging. Proc. Natl. Acad. Sci. USA 2020, 117, 5222–5227. [Google Scholar] [CrossRef]
- Sunko, V.; Morales, E.A.; Marković, I.; Barber, M.E.; Milosavljević, D.; Mazzola, F.; Sokolov, D.A.; Kikugawa, N.; Cacho, C.; Dudin, P.; et al. Direct observation of a uniaxial stress-driven Lifshitz transition in Sr2RuO4. npj Quantum Mater. 2019, 4, 1–7. [Google Scholar] [CrossRef]
- Benhabib, S.; Lupien, C.; Paul, I.; Berges, L.; Dion, M.; Nardone, M.; Zitouni, A.; Mao, Z.; Maeno, Y.; Georges, A.; et al. Jump in the c_{66} shear modulus at the superconducting transition of Sr2RuO4: Evidence for a two-component order parameter. arXiv 2020, arXiv:2002.05916. [Google Scholar]
- Ghosh, S.; Shekhter, A.; Jerzembeck, F.; Kikugawa, N.; Sokolov, D.A.; Brando, M.; Mackenzie, A.; Hicks, C.W.; Ramshaw, B. Thermodynamic Evidence for a Two-Component Superconducting Order Parameter in Sr2RuO4. arXiv 2020, arXiv:2002.06130. [Google Scholar]
- Grinenko, V.; Ghosh, S.; Sarkar, R.; Orain, J.C.; Nikitin, A.; Elender, M.; Das, D.; Guguchia, Z.; Brückner, F.; Barber, M.E.; et al. Split superconducting and time-reversal symmetry-breaking transitions, and magnetic order in Sr2RuO4 under uniaxial stress. arXiv 2020, arXiv:2001.08152. [Google Scholar]
- Li, Y.S.; Kikugawa, N.; Sokolov, D.; Jerzembeck, F.; Gibbs, A.; Maeno, Y.; Hicks, C.; Nicklas, M.; Mackenzie, A. High sensitivity heat capacity measurements on Sr2RuO4 under uniaxial pressure. arXiv 2019, arXiv:1906.07597. [Google Scholar]
- Rømer, A.T.; Kreisel, A.; Müller, M.A.; Hirschfeld, P.J.; Eremin, I.M.; Andersen, B.M. Theory of strain-induced magnetic order and splitting of Tc and TTRSB in Sr2RuO4. Phys. Rev. B 2020, 102, 054506. [Google Scholar] [CrossRef]
- Rømer, A.T.; Scherer, D.D.; Eremin, I.M.; Hirschfeld, P.J.; Andersen, B.M. Knight Shift and Leading Superconducting Instability from Spin Fluctuations in Sr2RuO4. Phys. Rev. Lett. 2019, 123, 247001. [Google Scholar] [CrossRef] [PubMed]
- Liu, Y.C.; Zhang, F.C.; Rice, T.M.; Wang, Q.H. Theory of the evolution of superconductivity in Sr2RuO4 under anisotropic strain. NPJ Quantum Mater. 2017, 2, 1–7. [Google Scholar] [CrossRef]
- Suh, H.G.; Menke, H.; Brydon, P.M.R.; Timm, C.; Ramires, A.; Agterberg, D.F. Stabilizing even-parity chiral superconductivity in Sr2RuO4. Phys. Rev. Res. 2020, 2, 032023. [Google Scholar] [CrossRef]
- Kivelson, S.A.; Yuan, A.C.; Ramshaw, B.; Thomale, R. A proposal for reconciling diverse experiments on the superconducting state in Sr2RuO4. arXiv 2020, arXiv:2002.00016. [Google Scholar] [CrossRef]
- Maeno, Y.; Hashimoto, H.; Yoshida, K.; Nishizaki, S.; Fujita, T.; Bednorz, J.; Lichtenberg, F. Superconductivity in a layered perovskite without copper. Nature 1994, 372, 532. [Google Scholar] [CrossRef]
- Acharya, S.; Pashov, D.; Weber, C.; Park, H.; Sponza, L.; van Schilfgaarde, M. Maximization of Tc via Conspired Even-Parity Spin and Charge Collective Excitations in Strained Sr2RuO4. Commun. Phys. 2019, 2. [Google Scholar] [CrossRef]
- Pashov, D.; Acharya, S.; Lambrecht, R.L.W.; Jackson, J.; Belashchenko, D.K.; Chantis, A.; Jamet, F.W.; van Schilfgaarde, M. Questaal: A package of electronic structure methods based on the linear muffin-tin orbital technique. Comput. Phys. Commun. 2020, 249, 107065. [Google Scholar] [CrossRef]
- Sponza, L.; Pisanti, P.; Vishina, A.; Pashov, D.; Weber, C.; van Schilfgaarde, M.; Acharya, S.; Vidal, J.; Kotliar, G. Self-energies in Itinerant Magnets: A Focus on Fe and Ni. Phys. Rev. B 2017, 95, 041112. [Google Scholar] [CrossRef]
- Baldini, E.; Sentef, M.A.; Acharya, S.; Brumme, T.; Sheveleva, E.; Lyzwa, F.; Pomjakushina, E.; Bernhard, C.; Van Schilfgaarde, M.; Carbone, F.; et al. Electron–phonon-driven three-dimensional metallicity in an insulating cuprate. Proc. Natl. Acad. Sci. USA 2020, 117, 6409–6416. [Google Scholar] [CrossRef]
- Acharya, S.; Pashov, D.; Jamet, F.; van Schilfgaarde, M. Controlling Tc through Band Structure and Correlation Engineering in Collapsed and Uncollapsed Phases of Iron Arsenides. Phys. Rev. Lett. 2020, 124, 237001. [Google Scholar] [CrossRef] [PubMed]
- Acharya, S.; Pashov, D.; van Schilfgaarde, M. Role of nematicity in controlling spin fluctuations and superconducting Tc in bulk FeSe. arXiv 2020, arXiv:2005.07729. [Google Scholar]
- Kotani, T.; van Schilfgaarde, M.; Faleev, S.V. Quasiparticle self-consistent GW method: A basis for the independent-particle approximation. Phys. Rev. B 2007, 76, 165106. [Google Scholar] [CrossRef]
- Georges, A.; Kotliar, G.; Krauth, W.; Rozenberg, M.J. Dynamical mean-field theory of strongly correlated fermion systems and the limit of infinite dimensions. Rev. Mod. Phys. 1996, 68, 13. [Google Scholar] [CrossRef]
- Haule, K. Quantum Monte Carlo impurity solver for cluster dynamical mean-field theory and electronic structure calculations with adjustable cluster base. Phys. Rev. B 2007, 75, 155113. [Google Scholar] [CrossRef]
- Gull, E.; Millis, A.J.; Lichtenstein, A.I.; Rubtsov, A.N.; Troyer, M.; Werner, P. Continuous-time Monte Carlo methods for quantum impurity models. Rev. Mod. Phys. 2011, 83, 349. [Google Scholar] [CrossRef]
- Acharya, S.; Weber, C.; Plekhanov, E.; Pashov, D.; Taraphder, A.; van Schilfgaarde, M. Metal-Insulator Transition in Copper Oxides Induced by Apex Displacements. Phys. Rev. X 2018, 8, 021038. [Google Scholar] [CrossRef]
- Park, H. The Study of Two-Particle Response Functions in Strongly Correlated Electron Systems within the Dynamical Mean Field Theory. Ph.D. Thesis, Rutgers University-Graduate School, New Brunswick, NJ, USA, 2011. [Google Scholar]
- Yin, Z.; Haule, K.; Kotliar, G. Spin dynamics and orbital-antiphase pairing symmetry in iron-based superconductors. Nat. Phys. 2014, 10, 845. [Google Scholar] [CrossRef]
- Questaal Website. Available online: https://www.questaal.org (accessed on 15 October 2016).
- Tomczak, J.M.; van Schilfgaarde, M.; Kotliar, G. Many-Body Effects in Iron Pnictides and Chalcogenides: Nonlocal Versus Dynamic Origin of Effective Masses. Phys. Rev. Lett. 2012, 109, 237010. [Google Scholar] [CrossRef]
- Tamai, A.; Zingl, M.; Rozbicki, E.; Cappelli, E.; Riccò, S.; de la Torre, A.; McKeown Walker, S.; Bruno, F.Y.; King, P.D.C.; Meevasana, W.; et al. High-Resolution Photoemission on Sr2RuO4 Reveals Correlation-Enhanced Effective Spin-Orbit Coupling and Dominantly Local Self-Energies. Phys. Rev. X 2019, 9, 021048. [Google Scholar] [CrossRef]
- Aryasetiawan, F.; Imada, M.; Georges, A.; Kotliar, G.; Biermann, S.; Lichtenstein, A. Frequency-dependent local interactions and low-energy effective models from electronic structure calculations. Phys. Rev. B 2004, 70, 195104. [Google Scholar] [CrossRef]
- Deng, X.; Haule, K.; Kotliar, G. Transport Properties of Metallic Ruthenates: A DFT+DMFT Investigation. Phys. Rev. Lett. 2016, 116. [Google Scholar] [CrossRef] [PubMed]
- Veenstra, C.N.; Zhu, Z.H.; Raichle, M.; Ludbrook, B.M.; Nicolaou, A.; Slomski, B.; Landolt, G.; Kittaka, S.; Maeno, Y.; Dil, J.H.; et al. Spin-Orbital Entanglement and the Breakdown of Singlets and Triplets in Sr2RuO4 Revealed by Spin- and Angle-Resolved Photoemission Spectroscopy. Phys. Rev. Lett. 2014, 112, 127002. [Google Scholar] [CrossRef] [PubMed]
- Acharya, S.; Laad, M.S.; Dey, D.; Maitra, T.; Taraphder, A. First-principles correlated approach to the normal state of strontium ruthenate. Sci. Rep. 2017, 7, 43033. [Google Scholar] [CrossRef] [PubMed]
- Han, Q.; Dang, H.T.; Millis, A. Ferromagnetism and correlation strength in cubic barium ruthenate in comparison to strontium and calcium ruthenate: A dynamical mean-field study. Phys. Rev. B 2016, 93, 155103. [Google Scholar] [CrossRef]
- Nagata, T.; Urata, M.; Kawano-Furukawa, H.; Yoshizawa, H.; Kadowaki, H.; Dai, P. Anisotropy in the incommensurate spin fluctuations of Sr2RuO4. Phys. Rev. B 2004, 69, 174501. [Google Scholar] [CrossRef]
- Braden, M.; Sidis, Y.; Bourges, P.; Pfeuty, P.; Kulda, J.; Mao, Z.; Maeno, Y. Inelastic neutron scattering study of magnetic excitations in Sr2RuO4. Phys. Rev. B 2002, 66, 064522. [Google Scholar] [CrossRef]
- Servant, F.; Fåk, B.; Raymond, S.; Brison, J.P.; Lejay, P.; Flouquet, J. Magnetic excitations in the normal and superconducting states of Sr2RuO4. Phys. Rev. B 2002, 65, 184511. [Google Scholar] [CrossRef]
- Braden, M.; Steffens, P.; Sidis, Y.; Kulda, J.; Bourges, P.; Hayden, S.; Kikugawa, N.; Maeno, Y. Anisotropy of the Incommensurate Fluctuations in Sr2RuO4: A Study with Polarized Neutrons. Phys. Rev. Lett. 2004, 92, 097402. [Google Scholar] [CrossRef]
- Fåk, B.; Raymond, S.; Servant, F.; Lejay, P.; Flouquet, J. Polarization analysis of the inelastic magnetic scattering in Sr2RuO4. Phys. B Condens. Matter 2004, 350, E203–E205. [Google Scholar] [CrossRef][Green Version]
- Sidis, Y.; Braden, M.; Bourges, P.; Hennion, B.; NishiZaki, S.; Maeno, Y.; Mori, Y. Evidence for incommensurate spin fluctuations in Sr2RuO4. Phys. Rev. Lett. 1999, 83, 3320. [Google Scholar] [CrossRef]
- Eremin, I.; Manske, D.; Bennemann, K.H. Electronic theory for the normal-state spin dynamics in Sr2RuO4: Anisotropy due to spin-orbit coupling. Phys. Rev. B 2002, 65, 220502. [Google Scholar] [CrossRef]
- Eremin, I.; Manske, D.; Tarento, J.; Bennemann, K. Electronic Theory for the Magnetic Anisotropy in Sr2RuO4. J. Supercond. 2002, 15, 447–450. [Google Scholar] [CrossRef]
- Eremin, I.; Manske, D.; Ovchinnikov, S.; Annett, J. Unconventional superconductivity and magnetism in Sr2RuO4 and related materials. Ann. Phys. 2004, 13, 149–174. [Google Scholar] [CrossRef][Green Version]
- Kuwabara, T.; Ogata, M. Spin-triplet superconductivity due to antiferromagnetic spin-fluctuation in Sr2RuO4. Phys. Rev. Lett. 2000, 85, 4586. [Google Scholar] [CrossRef]
- Kuroki, K.; Arita, R. Possible high-Tc superconductivity mediated by antiferromagnetic spin fluctuations in systems with Fermi surface pockets. Phys. Rev. B 2001, 64, 024501. [Google Scholar] [CrossRef]
- Sato, M.; Kohmoto, M. Mechanism of Spin-Triplet Superconductivity in Sr2RuO4. J. Phys. Soc. Jpn. 2000, 69, 3505–3508. [Google Scholar] [CrossRef]
- Ng, K.K.; Sigrist, M. Anisotropy of the spin susceptibility in the normal state of Sr2RuO4. J. Phys. Soc. Jpn. 2000, 69, 3764–3765. [Google Scholar] [CrossRef]
- Mazin, I.; Singh, D.J. Ferromagnetic spin fluctuation induced superconductivity in Sr2RuO4. Phys. Rev. Lett. 1997, 79, 733. [Google Scholar] [CrossRef]
- Mazin, I.; Singh, D.J. Competitions in layered ruthenates: Ferromagnetism versus antiferromagnetism and triplet versus singlet pairing. Phys. Rev. Lett. 1999, 82, 4324. [Google Scholar] [CrossRef]
- Steffens, P.; Sidis, Y.; Kulda, J.; Mao, Z.Q.; Maeno, Y.; Mazin, I.I.; Braden, M. Spin Fluctuations in Sr2RuO4 from Polarized Neutron Scattering: Implications for Superconductivity. Phys. Rev. Lett. 2019, 122, 047004. [Google Scholar] [CrossRef] [PubMed]
- Haule, K.; Kotliar, G. Strongly Correlated Superconductivity: A plaquette Dynamical mean field theory study. Phys. Rev. B 2007, 76, 104509. [Google Scholar] [CrossRef]
- Park, H.; Haule, K.; Kotliar, G. Magnetic excitation spectra in Ba Fe 2 As 2: A two-particle approach within a combination of the density functional theory and the dynamical mean-field theory method. Phys. Rev. Lett. 2011, 107, 137007. [Google Scholar] [CrossRef] [PubMed]





Publisher’s Note: MDPI stays neutral with regard to jurisdictional claims in published maps and institutional affiliations. |
© 2021 by the authors. Licensee MDPI, Basel, Switzerland. This article is an open access article distributed under the terms and conditions of the Creative Commons Attribution (CC BY) license (http://creativecommons.org/licenses/by/4.0/).
Share and Cite
Acharya, S.; Pashov, D.; Chachkarova, E.; Schilfgaarde, M.v.; Weber, C. Electronic Structure Correspondence of Singlet-Triplet Scale Separation in Strained Sr2RuO4. Appl. Sci. 2021, 11, 508. https://doi.org/10.3390/app11020508
Acharya S, Pashov D, Chachkarova E, Schilfgaarde Mv, Weber C. Electronic Structure Correspondence of Singlet-Triplet Scale Separation in Strained Sr2RuO4. Applied Sciences. 2021; 11(2):508. https://doi.org/10.3390/app11020508
Chicago/Turabian StyleAcharya, Swagata, Dimitar Pashov, Elena Chachkarova, Mark van Schilfgaarde, and Cédric Weber. 2021. "Electronic Structure Correspondence of Singlet-Triplet Scale Separation in Strained Sr2RuO4" Applied Sciences 11, no. 2: 508. https://doi.org/10.3390/app11020508
APA StyleAcharya, S., Pashov, D., Chachkarova, E., Schilfgaarde, M. v., & Weber, C. (2021). Electronic Structure Correspondence of Singlet-Triplet Scale Separation in Strained Sr2RuO4. Applied Sciences, 11(2), 508. https://doi.org/10.3390/app11020508

