Sequential and Comprehensive Algorithm for Fault Detection in Semiconductor Sensors
Abstract
1. Introduction
2. Materials and Methods
2.1. Algorithm Development
2.2. Data Preprocessing
| Algorithm 1 For peak data collection |
| Input: peak sensor signal Output: indices 1: peakindex: = null; 2: peakvalue: = null; 3: Baseline: = running average (Sensor signal); 4: for index, value in signal do 5: if value > baseline then 6: if peak value == null or value> peak value then 7: peakindex: =index; 8: peakvalue: =sub peak value 9: else if peak value< baseline and peak index = null then 10: peak value: = abs peak; 11: end if 12: end if 13: end for 14: return |
2.3. Individual Inspection
2.4. Regression Analysis
2.5. Clustering Analysis
| Algorithm 2Sensor Defect Analysis Using Voronoi_k-Means (S, k) |
| Input: , where ( = 1, 2…25), a given set of peak sensor values, k (number of clusters) and Iters (iteration number) Output: (i) the optimal k means of clusters = 1, 2…k; and its Voronoi diagram (ii) the defect zone detection; Process: 1: Initialize the sensor dataset D = {, …} 2: Initialize cluster C = {, …} 3: Call Voronoi function V(S) 4: Initialize k cluster centroid = {, …} with k samples randomly picked from D 5: (); initialize clusters 6: (); initialize sensor number for each cluster 7: for j = 1, 2…k do 8: , M is the batch dataset and is the sample randomly picked from D 9: ; is cached cluster nearest to the data sample 10: end for 11: for m = 1, 2…b do; step 6 to step 8 are to cache the cluster centroid for each sample in the batch dataset. 12: ; get the catch centroid for 13: ; update sample number for each cluster centroid. 14: ; calculate learning rate for each cluster centroid. 15: ; take gradient step to update the cluster in each Voronoi space. 16: end for |
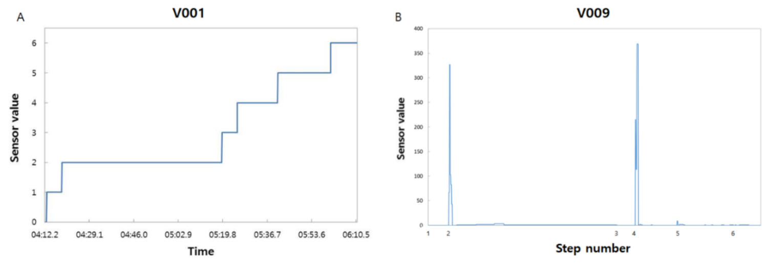
3. Results and Discussion
4. Conclusions
Author Contributions
Funding
Institutional Review Board Statement
Informed Consent Statement
Data Availability Statement
Acknowledgments
Conflicts of Interest
References
- Shi, Y.; Zhou, Z.; Miao, X.; Liu, Y.J.; Fan, Q.; Wang, K.; Luo, D.; Sun, X.W. Circularly polarized luminescence from semiconductor quantum rods templated by self-assembled cellulose nanocrystals. J. Mater. Chem. C 2020, 8, 1048–1053. [Google Scholar] [CrossRef]
- Gohardani, A.S. Advances in Aerospace Engineering through Innovation in Packaging Design for High-Reliability Design Applications. In Proceedings of the 2018 AIAA SPACE and Astronautics Forum and Exposition, Orlando, FL, USA, 17–19 September 2018; p. 5224. [Google Scholar]
- Mekonnen, K.A.; Tangdiongga, E.; Koonen, A. High-capacity dynamic indoor all-optical-wireless communication system backed up with millimeter-wave radio techniques. J. Lightwave Technol. 2018, 36, 4460–4467. [Google Scholar] [CrossRef]
- Dahiya, A.S.; Shakthivel, D.; Kumaresan, Y.; Zumeit, A.; Christou, A.; Dahiya, R. High-performance printed electronics based on inorganic semiconducting nano to chip scale structures. Nano Converg. 2020, 7, 33. [Google Scholar] [CrossRef] [PubMed]
- Lee, J.-H.; Chae, E.-J.; Park, S.-J.; Choi, J.-W. Label-free detection of γ-aminobutyric acid based on silicon nanowire biosensor. Nano Converg. 2019, 6, 13. [Google Scholar] [CrossRef]
- Ulep, T.-H.; Yoon, J.-Y. Challenges in paper-based fluorogenic optical sensing with smartphones. Nano Converg. 2018, 5, 14. [Google Scholar] [CrossRef] [PubMed]
- Moarefian, M.; Davalos, R.V.; Tafti, D.K.; Achenie, L.E.; Jones, C.N. Modeling iontophoretic drug delivery in a microfluidic device. Lab Chip 2020, 20, 3310–3321. [Google Scholar] [PubMed]
- Li, X.; Huang, X.; Mo, J.; Wang, H.; Huang, Q.; Yang, C.; Zhang, T.; Chen, H.J.; Hang, T.; Liu, F. A Fully Integrated Closed-Loop System Based on Mesoporous Microneedles-Iontophoresis for Diabetes Treatment. Adv. Sci. 2021, 8, 2100827. [Google Scholar] [CrossRef] [PubMed]
- Azizi, M.; Davaji, B.; Nguyen, A.V.; Mokhtare, A.; Zhang, S.; Dogan, B.; Gibney, P.A.; Simpson, K.W.; Abbaspourrad, A. Biological small-molecule assays using gradient-based microfluidics. Biosens. Bioelectron. 2021, 178, 113038. [Google Scholar] [PubMed]
- Hollauer, C. Modeling of Thermal Oxidation and Stress Effects. Ph.D. Thesis, Technical University of Vienna, Vienna, Austria, 2007. [Google Scholar]
- Chien, C.-F.; Hsu, C.-Y.; Hsiao, C.-W. Manufacturing intelligence to forecast and reduce semiconductor cycle time. J. Intell. Manuf. 2012, 23, 2281–2294. [Google Scholar] [CrossRef]
- Hsieh, L.Y.; Hsieh, T.-J. A throughput management system for semiconductor wafer fabrication facilities: Design, systems and implementation. Processes 2018, 6, 16. [Google Scholar] [CrossRef]
- Lee, E.; Kim, T.H.; Lee, S.W.; Kim, J.H.; Kim, J.; Jeong, T.G.; Ahn, J.-H.; Cho, B. Improved electrical performance of a sol–gel IGZO transistor with high-k Al2O3 gate dielectric achieved by post annealing. Nano Converg. 2019, 6, 24. [Google Scholar] [PubMed]
- Ha, J.H.; Mazumdar, H.; Kim, T.H.; Lee, J.M.; Na, J.-G.; Chung, B.G. Algorithm analysis of gas bubble generation in a microfluidic device. BioChip J. 2019, 13, 133–141. [Google Scholar] [CrossRef]
- Chien, C.-F.; Wang, W.-C.; Cheng, J.-C. Data mining for yield enhancement in semiconductor manufacturing and an empirical study. Expert Syst. Appl. 2007, 33, 192–198. [Google Scholar] [CrossRef]
- Venkatasubramanian, V.; Rengaswamy, R.; Kavuri, S.N.; Yin, K. A review of process fault detection and diagnosis: Part III: Process history based methods. Comput. Chem. Eng. 2003, 27, 327–346. [Google Scholar] [CrossRef]
- Hsu, C.-Y.; Liu, W.-C. Multiple time-series convolutional neural network for fault detection and diagnosis and empirical study in semiconductor manufacturing. J. Intell. Manuf. 2021, 32, 823–836. [Google Scholar] [CrossRef]
- Vong, C.-M.; Wong, P.-K.; Ip, W.-F. A new framework of simultaneous-fault diagnosis using pairwise probabilistic multi-label classification for time-dependent patterns. IEEE Trans. Ind. Electron. 2012, 60, 3372–3385. [Google Scholar] [CrossRef]
- Ma, M.-D.; Wong, D.S.-H.; Jang, S.-S.; Tseng, S.-T. Fault detection based on statistical multivariate analysis and microarray visualization. IEEE Trans. Ind. Inform. 2009, 6, 18–24. [Google Scholar]
- Qin, S.J.; Cherry, G.; Good, R.; Wang, J.; Harrison, C.A. Semiconductor manufacturing process control and monitoring: A fab-wide framework. J. Process Control 2006, 16, 179–191. [Google Scholar] [CrossRef]
- Yue, H.H.; Qin, S.J.; Markle, R.J.; Nauert, C.; Gatto, M. Fault detection of plasma etchers using optical emission spectra. IEEE Trans. Semicond. Manuf. 2000, 13, 374–385. [Google Scholar] [CrossRef]
- Wang, J.; Zhang, J.; Wang, X. A data driven cycle time prediction with feature selection in a semiconductor wafer fabrication system. IEEE Trans. Semicond. Manuf. 2018, 31, 173–182. [Google Scholar] [CrossRef]
- Hong, A.; Chen, A. Piecewise regression model construction with sample efficient regression tree (SERT) and applications to semiconductor yield analysis. J. Process Control 2012, 22, 1307–1317. [Google Scholar] [CrossRef]
- Zhou, Z.; Wen, C.; Yang, C. Fault detection using random projections and k-nearest neighbor rule for semiconductor manufacturing processes. IEEE Trans. Semicond. Manuf. 2014, 28, 70–79. [Google Scholar]
- Taha, K.; Salah, K.; Yoo, P.D. Clustering the dominant defective patterns in semiconductor wafer maps. IEEE Trans. Semicond. Manuf. 2017, 31, 156–165. [Google Scholar] [CrossRef]
- Purwins, H.; Barak, B.; Nagi, A.; Engel, R.; Höckele, U.; Kyek, A.; Cherla, S.; Lenz, B.; Pfeifer, G.; Weinzierl, K. Regression methods for virtual metrology of layer thickness in chemical vapor deposition. IEEE/ASME Trans. Mechatron. 2013, 19, 1–8. [Google Scholar]
- Mazumdar, H.; Kim, T.H.; Lee, J.M.; Ha, J.H.; Ahrberg, C.D.; Chung, B.G. Prediction analysis and quality assessment of microwell array images. Electrophoresis 2018, 39, 948–956. [Google Scholar] [PubMed]
- Wang, J.; Yang, Z.; Zhang, J.; Zhang, Q.; Chien, W.-T.K. AdaBalGAN: An improved generative adversarial network with imbalanced learning for wafer defective pattern recognition. IEEE Trans. Semicond. Manuf. 2019, 32, 310–319. [Google Scholar]
- Kim, E.; Cho, S.; Lee, B.; Cho, M. Fault detection and diagnosis using self-attentive convolutional neural networks for variable-length sensor data in semiconductor manufacturing. IEEE Trans. Semicond. Manuf. 2019, 32, 302–309. [Google Scholar]
- Pedregosa, F.; Varoquaux, G.; Gramfort, A.; Michel, V.; Thirion, B.; Grisel, O.; Blondel, M.; Prettenhofer, P.; Weiss, R.; Dubourg, V. Scikit-learn: Machine learning in Python. J. Mach. Learn. Res. 2011, 12, 2825–2830. [Google Scholar]
- Kittlitz, R.G., Jr. Calculating the (almost) exact control limits for a C-chart. Qual. Eng. 2006, 18, 359–366. [Google Scholar] [CrossRef]
- Kubo, T.; Ino, T.; Minami, K.; Minami, M.; Homma, T. A statistical process control method for semiconductor manufacturing. SICE J. Control Meas. Syst. Integr. 2009, 2, 246–254. [Google Scholar] [CrossRef][Green Version]
- Xiong, W.; Pan, C.; Qiao, Y.; Wu, N.; Chen, M.; Hsieh, P. Reducing wafer delay time by robot idle time regulation for single-arm cluster tools. IEEE Trans. Autom. Sci. Eng. 2020, 18, 1653–1667. [Google Scholar] [CrossRef]
- Wang, S.; Yang, J.; Toll, T.; Yang, J.; Zhang, W.; Tang, X. Conductivity-limiting bipolar thermal conductivity in semiconductors. Sci. Rep. 2015, 5, 10136. [Google Scholar] [CrossRef] [PubMed]
- Jyegal, J. Thermal energy diffusion incorporating generalized Einstein relation for degenerate semiconductors. Appl. Sci. 2017, 7, 773. [Google Scholar] [CrossRef]
- Berndt, D.J.; Clifford, J. Using dynamic time warping to find patterns in time series. In Proceedings of the KDD Workshop, Seattle, WA, USA, 31 July–1 August 1994; pp. 359–370. [Google Scholar]
- Henein, M.M.; Shawky, D.M.; Abd-El-Hafiz, S.K. Clustering-based Under-sampling for Software Defect Prediction. In Proceedings of the ICSOFT, Porto, Portugal, 26–28 July 2018; pp. 219–227. [Google Scholar]
- Puntumapon, K.; Rakthamamon, T.; Waiyamai, K. Cluster-based minority over-sampling for imbalanced datasets. IEICE Trans. Inf. Syst. 2016, 99, 3101–3109. [Google Scholar]
- Küng, J.; Wagner, R. Transactions on Large-Scale Data-and Knowledge-Centered Systems I.; Springer: New York, NY, USA, 2009. [Google Scholar]
- Preuveneers, D.; Joosen, W. Sharing Machine Learning Models as Indicators of Compromise for Cyber Threat Intelligence. J. Cybersecur. Priv. 2021, 1, 140–163. [Google Scholar] [CrossRef]
- Lee, J.-I.; Kim, D.-H.; Yoo, H.-J.; Choi, H.-G.; Lee, Y.-S. Comparison of the Predicting Performance for Fate of Medial Meniscus Posterior Root Tear Based on Treatment Strategies: A Comparison between Logistic Regression, Gradient Boosting, and CNN Algorithms. Diagnostics 2021, 11, 1225. [Google Scholar] [CrossRef]
- Wen, G.; Gao, Z.; Cai, Q.; Wang, Y.; Mei, S. A novel method based on deep convolutional neural networks for wafer semiconductor surface defect inspection. IEEE Trans. Instrum. Meas. 2020, 69, 9668–9680. [Google Scholar] [CrossRef]
- O’Leary, J.; Sawlani, K.; Mesbah, A. Deep learning for classification of the chemical composition of particle defects on semiconductor wafers. IEEE Trans. Semicond. Manuf. 2020, 33, 72–85. [Google Scholar]
- Greco, A.; Costantino, D.; Morabito, F.; Versaci, M. A Morlet wavelet classification technique for ICA filtered SEMG experimental data. In Proceedings of the International Joint Conference on Neural Networks, Portland, OR, USA, 20–24 July 2003; pp. 166–171. [Google Scholar]
- Xia, J.; Bombrun, L.; Adalı, T.; Berthoumieu, Y.; Germain, C. Spectral–spatial classification of hyperspectral images using ICA and edge-preserving filter via an ensemble strategy. IEEE Trans. Geosci. Remote Sens. 2016, 54, 4971–4982. [Google Scholar]







| Accuracy | Sensitivity | Precision | F1-Score | |
|---|---|---|---|---|
| LR | 0.92 | 0.80 | 0.80 | 0.80 |
| OCSVM | 0.96 | 1.00 | 0.83 | 0.91 |
Publisher’s Note: MDPI stays neutral with regard to jurisdictional claims in published maps and institutional affiliations. |
© 2021 by the authors. Licensee MDPI, Basel, Switzerland. This article is an open access article distributed under the terms and conditions of the Creative Commons Attribution (CC BY) license (https://creativecommons.org/licenses/by/4.0/).
Share and Cite
Mazumdar, H.; Kim, T.H.; Lee, J.M.; Kum, E.; Lee, S.; Jeong, S.; Chung, B.G. Sequential and Comprehensive Algorithm for Fault Detection in Semiconductor Sensors. Appl. Sci. 2021, 11, 10419. https://doi.org/10.3390/app112110419
Mazumdar H, Kim TH, Lee JM, Kum E, Lee S, Jeong S, Chung BG. Sequential and Comprehensive Algorithm for Fault Detection in Semiconductor Sensors. Applied Sciences. 2021; 11(21):10419. https://doi.org/10.3390/app112110419
Chicago/Turabian StyleMazumdar, Hirak, Tae Hyeon Kim, Jong Min Lee, Euiseok Kum, Seungho Lee, Suho Jeong, and Bong Geun Chung. 2021. "Sequential and Comprehensive Algorithm for Fault Detection in Semiconductor Sensors" Applied Sciences 11, no. 21: 10419. https://doi.org/10.3390/app112110419
APA StyleMazumdar, H., Kim, T. H., Lee, J. M., Kum, E., Lee, S., Jeong, S., & Chung, B. G. (2021). Sequential and Comprehensive Algorithm for Fault Detection in Semiconductor Sensors. Applied Sciences, 11(21), 10419. https://doi.org/10.3390/app112110419

