SMCSPO-Based Robust Control of AUV in Underwater Environments including Disturbances
Abstract
1. Introduction
2. Dynamics Modeling of AUV
2.1. Underwater Vehicle Dynamics
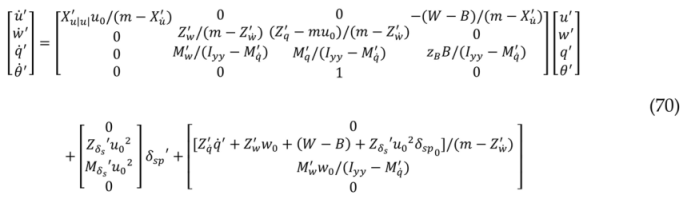
2.2. Definition of Perturbation of AUV Dynamics
3. Controller and Observer Design
3.1. SPO

3.2. SMCSPO
3.3. Stability Analysis
3.4. PID Controller Design for Comparison with Performance of SMCSPO


4. Simulation
4.1. PID and SMCSPO Control Simulations without Disturbances
4.2. PID and SMCSPO Control Simulations with Disturbances
5. Conclusions
Author Contributions
Funding
Institutional Review Board Statement
Informed Consent Statement
Data Availability Statement
Conflicts of Interest
References
- Feldman, J. Dtnsrdc Revised Standard Submarine Equations of Motion; David W. Taylor Naval Ship Research and Development Center: Bethesda, MD, USA, 1979. [Google Scholar]
- Prestero, T. Verification of a Six-Degree of Freedom Simulation Model for the REMUS Autonomous Underwater Vehicle. Ph.D. Thesis, Massachusetts Institute of Technology, Cambridge, MA, USA, 2001. [Google Scholar]
- Khan, I.; Bhatti, A.I.; Khan, Q.; Ahmad, Q. Sliding Mode Control of Lateral Dynamics of an AUV. In Proceedings of the 2012 9th International Bhurban Conference on Applied Sciences & Technology (IBCAST), Islamabad, Pakistan, 9–12 January 2012; pp. 28–31. [Google Scholar]
- Taheri, E.; Ferdowsi, M.H.; Danesh, M. Design Boundary Layer Thickness and Switching Gain in SMC Algorithm for AUV Motion Control. Robotica 2019, 37, 1785–1803. [Google Scholar] [CrossRef]
- Zhou, H.Y.; Liu, K.Z.; Feng, X.S. State Feedback Sliding Mode Control without Chattering by Constructing Hurwitz Matrix for AUV Movement. Int. J. Control Autom. Syst. 2011, 8, 262–268. [Google Scholar] [CrossRef][Green Version]
- Yoerger, D.; Slotine, J. Robust Trajectory Control of Underwater Vehicles. IEEE JOE 1993, 10, 462–470. [Google Scholar]
- Moura, J.T.; Elmali, H.; Olgac, N. Sliding Mode Control with Sliding Perturbation Observer. J. Dyn. Syst. Meas. Cont. 1997, 119, 657–665. [Google Scholar] [CrossRef]
- Yoon, S.M.; Kim, W.J.; Lee, M.C. Design of Bilateral Control for Force Feedback in Surgical Robot. Int. J. Control Autom. Syst. 2015, 13, 916–925. [Google Scholar] [CrossRef]
- Rahman, N.; Lee, M.C. Actual Reaction Force Separation Method of Surgical Tool by Fuzzy Logic Based SMCSPO. Int. J. Control Autom. Syst. 2015, 13, 379–389. [Google Scholar] [CrossRef]
- Yoon, S.M.; Lee, M.C.; Kim, C.Y. Sliding Perturbation Observer Based Reaction Force Estimation Method of Surgical Robot Instrument for Haptic Realization. Int. J. Hum. Robot. 2015, 12, 1550013. [Google Scholar] [CrossRef]
- Kallu, K.D.; Wang, J.; Abbasi, S.J.; Lee, M.C. Estimated Reaction Force-Based Bilateral Control between 3DOF Master and Hydraulic Slave Manipulators for Dismantlement. Electronics 2018, 7, 256. [Google Scholar] [CrossRef]
- Wang, J.; Kallu, K.D.; Abbasi, S.J.; Lee, M.C. Trajectory Tracking Control of a Hydraulic System Using TSMCSPO based on Sliding Perturbation Observer. Appl. Sci. 2019, 9, 1455. [Google Scholar] [CrossRef]
- Kallu, K.D.; Abbasi, S.J.; Khan, H.; Wang, J.; Lee, M.C. Tele-Operated Bilateral Control of Hydraulic Manipulator Using a Robust Controller Based on the Sensorless Estimated Reaction Force. Appl. Sci. 2019, 9, 1995. [Google Scholar] [CrossRef]
- Kallu, K.D.; Abbasi, S.J.; Khan, H.; Wang, J.; Lee, M.C. Implementation of a TSMCSPO Controller on a 3DOF Hydraulic Manipulator for Position Tracking and Sensor-less Force Estimation. IEEE Access 2019, 7, 177035–177047. [Google Scholar] [CrossRef]
- Wang, J.; Zhou, Y.; Bao, Y.; Kim, H.H.; Lee, M.C. Trajectory Tracking Control Using Fractional-Order Terminal Sliding Mode Control with Sliding Perturbation Observer for a 7-DOF Robot Manipulator. IEEE/ASME Transact. Mechatron. 2020, 25, 1886–1893. [Google Scholar]
- Kim, H.H.; Lee, M.C.; Kyung, J.H.; Do, H.M. Evaluation of Force Estimation Method Based on Sliding Perturbation Observer for Dual-arm Robot System. Int. J. Control Autom. Syst. 2021, 19, 1–10. [Google Scholar] [CrossRef]
- Kim, H.H.; Kim, S.J.; Yoon, S.M.; Choi, Y.J.; Lee, M.C. Sliding Mode Control with Sliding Perturbation Observer-Based Strategy for Reducing Scratch Formation in Hot Rolling Process. Appl. Sci. 2021, 11, 5526. [Google Scholar] [CrossRef]
- Jeon, M.J.; Yoon, H.K.; Hwang, J.H.; Cho, H.J. Analysis of the dynamic characteristics for the change of design parameters of an underwater vehicle using sensitivity analysis. Int. J. Nav. Arch. Ocean Eng. 2018, 10, 508–519. [Google Scholar] [CrossRef]
- Elmali, H.; Olgac, N. Sliding mode control with perturbation estimation (SMCPE): A new approach. Int. J. Control 1992, 56, 923–941. [Google Scholar] [CrossRef]













Publisher’s Note: MDPI stays neutral with regard to jurisdictional claims in published maps and institutional affiliations. |
© 2021 by the authors. Licensee MDPI, Basel, Switzerland. This article is an open access article distributed under the terms and conditions of the Creative Commons Attribution (CC BY) license (https://creativecommons.org/licenses/by/4.0/).
Share and Cite
Kim, H.-H.; Lee, M.C.; Cho, H.-J.; Hwang, J.-H.; Won, J.-S. SMCSPO-Based Robust Control of AUV in Underwater Environments including Disturbances. Appl. Sci. 2021, 11, 10978. https://doi.org/10.3390/app112210978
Kim H-H, Lee MC, Cho H-J, Hwang J-H, Won J-S. SMCSPO-Based Robust Control of AUV in Underwater Environments including Disturbances. Applied Sciences. 2021; 11(22):10978. https://doi.org/10.3390/app112210978
Chicago/Turabian StyleKim, Hyun-Hee, Min Cheol Lee, Hyeon-Jin Cho, Jun-Ho Hwang, and Jong-Seob Won. 2021. "SMCSPO-Based Robust Control of AUV in Underwater Environments including Disturbances" Applied Sciences 11, no. 22: 10978. https://doi.org/10.3390/app112210978
APA StyleKim, H.-H., Lee, M. C., Cho, H.-J., Hwang, J.-H., & Won, J.-S. (2021). SMCSPO-Based Robust Control of AUV in Underwater Environments including Disturbances. Applied Sciences, 11(22), 10978. https://doi.org/10.3390/app112210978

