Indoor Air Quality Campaign in an Occupied Low-Energy House with a High Level of Spatial and Temporal Discretization
Abstract
1. Introduction
| Ref. | Country | Type and Number of Buildings | Parameters and Pollutants | Type of Measurement Devices | Number of Measurement Points | Outdoor Air Ventilation Rates |
|---|---|---|---|---|---|---|
| [25] | France | Seven newly built, energy-efficient occupied houses | T, RH, CO2, TVOC, VOCs, aldehydes, CO, PM2.5, radon | Photoionization detector, non-dispersive infra-red probe, sampling by passive sampler with Carbograph 4 adsorbents/analysis by gas chromatography, mass spectrometry and flame ionization, Sampling by passive sampler with 2,4-dinitrophenylhydrazine (2,4-DNPH)-coated florisil/analysis by high-performance liquid chromatography and detection by UV absorption, electrochemical sensor, sampling system coupled to an air sampler, passive radon dosimeter | Living room/Main bedroom | Yes |
| [26] | France | Two low-energy single-family occupied houses | CO2, T, RH, TVOCs, VOCs, aldehydes, PM2.5 | Photoionization detector, non-dispersive infrared probe, an optical portable aerosol spectrometer (dust monitor 1.108—Grimm), an electrochemical sensor, diffusive samplers over 7 days (Radiello®), Hydrolog sensors | Main bedroom and kitchen/living room | No |
| [27] | Greece | 13 residences with young children under 3 years of age | PM, TVOCs, comfort parameters | GRIMM 1.108 and AQ Expert | Living room/bedroom | Yes Lower than 0.5 h−1 |
| [28] | Spain | Residential buildings | T, RH, CO2 | A Wöhler CDL 210 | Living room/main bedroom | No |
| [29] | Belgium | 25 homes and 26 schools | T, RH, CO2, TVOC, VOCs, formaldehyde, aldehydes, PM2.5 | Radiello passive sampler, umex passive sampler, MS&T Harvard type impactor, grimm optical PM monitoring, Catec klimabox + other, CO2-based flowbox measurements, | Living room/main bedroom/classrooms | Yes |
| [30] | Lithuania | 11 newly built low-energy residential occupied buildings | T, RH, CO2, NO2, VOC, SVOC, formaldehyde | Passive sampler tubes (Radiello, Fondazione Salvatore Maugeri, Pavia, Italy), active charcoal adsorbent (Radiello), passive samplers (DIFRAM-100—Rapid Air Monitor, Gradko International Ltd., Winchester, UK), semi-permeable membrane devices (SPMDs), Real time portable indoor air quality monitor (Model HD21AB, Delta Ohm S.r.L., Selvazzano Dentro, Italy) | Living room, or in the hallway | Yes |
| [31] | Sweden | 157 single-family houses and 148 apartments | T, RH, NO2, formaldehyde, TVOC | Palmes Tube technique according to BS EN 13528, sampled on Tenax TA adsorbent tubes in compliance with ISO 16017-2, sampled using UmeX-100 (SKC Inc., Eighty-Four, PA, USA) | Yes | |
| [32] | Sweden | 20 new passive houses and 21 new conventionally built houses | T, RH, CO2 NO2, ozone, formaldehyde, TVOC, viable microbiological flora | HOBO U12-012 data loggers (Onset Computer Corp., Bourne, MA, USA), newly calibrated CARBOCAP® CO2 monitors (GMW22, Vaisala, Vantaa, Finland), IVL passive/diffusive samplers, passive samplers—DSD-DNPH aldehyde diffusive sampling device (Supelco, Bellefonte, PA, USA), passively sampled on Tenax TA (Perkin–Elmer, Waltham, MA, USA) | Living room/balcony/Main bedroom | Yes estimated from CO2 concentration in bedrooms |
2. Methods
2.1. IAQ and Airflow Measurement Campaign
- Two NODE sensors of the Airvisual brand measure CO2, RH, T and PM2.5 (Low1-1, Low1-2);
- Two GRIMM G1.108 record PM2.5, PM10 and size distribution in number between 0.3 and 20 µm (Lab2-1, Lab2-2);
- Two MET_ONE (HHPC 6+) register size distribution in number between 0.3 and 10 µm (Int3-1, Int3-2);
- Two NEMO record simultaneously CO2, TVOC, and formaldehyde concentrations, as well as T and RH. It should be mentioned that no measurements of formaldehyde and TVOC were made because the instrument failed during C1 in BR1 (Int4);
- Eight WOHLER CDL 210 sensors measure CO2, T, and RH (Low5). During C2, there was no WOHLER in BR1 and BR2. Thus, data from NEMO and NODE were used.
2.2. Accuracy of IAQ Measurement Devices
2.3. Selection of IAQ Performance Indicators
2.3.1. Airflows
2.3.2. CO2
2.3.3. RH
2.3.4. Particles Concentration
2.3.5. Formaldehyde
2.3.6. TVOC
3. Results
3.1. Boundary Conditions
3.1.1. Occupancy Schedules
3.1.2. Ventilation Airflow
3.1.3. Outdoor Conditions
3.2. IAQ Performance Indicators
3.2.1. CO2
3.2.2. RH
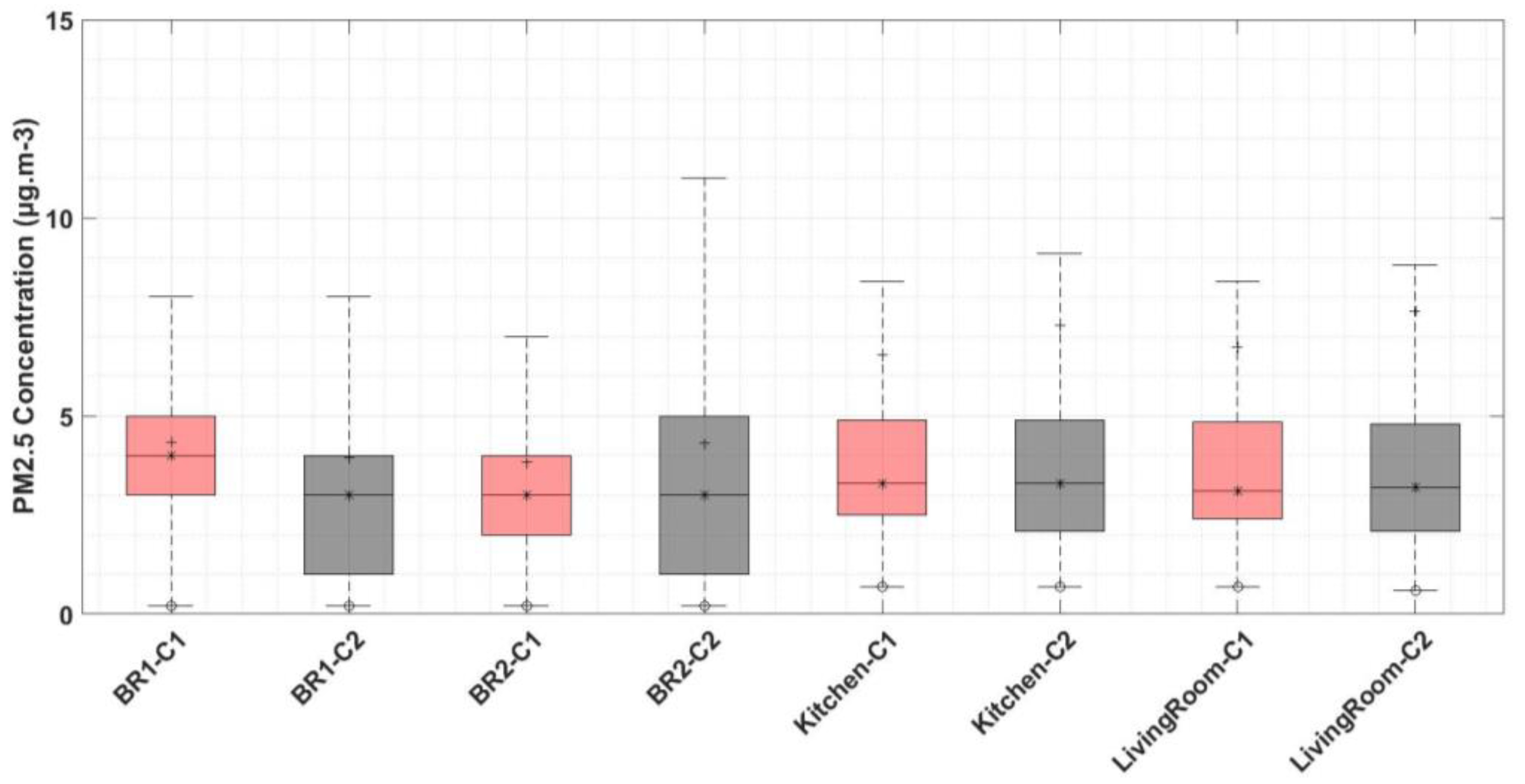
3.2.3. Particles Concentration
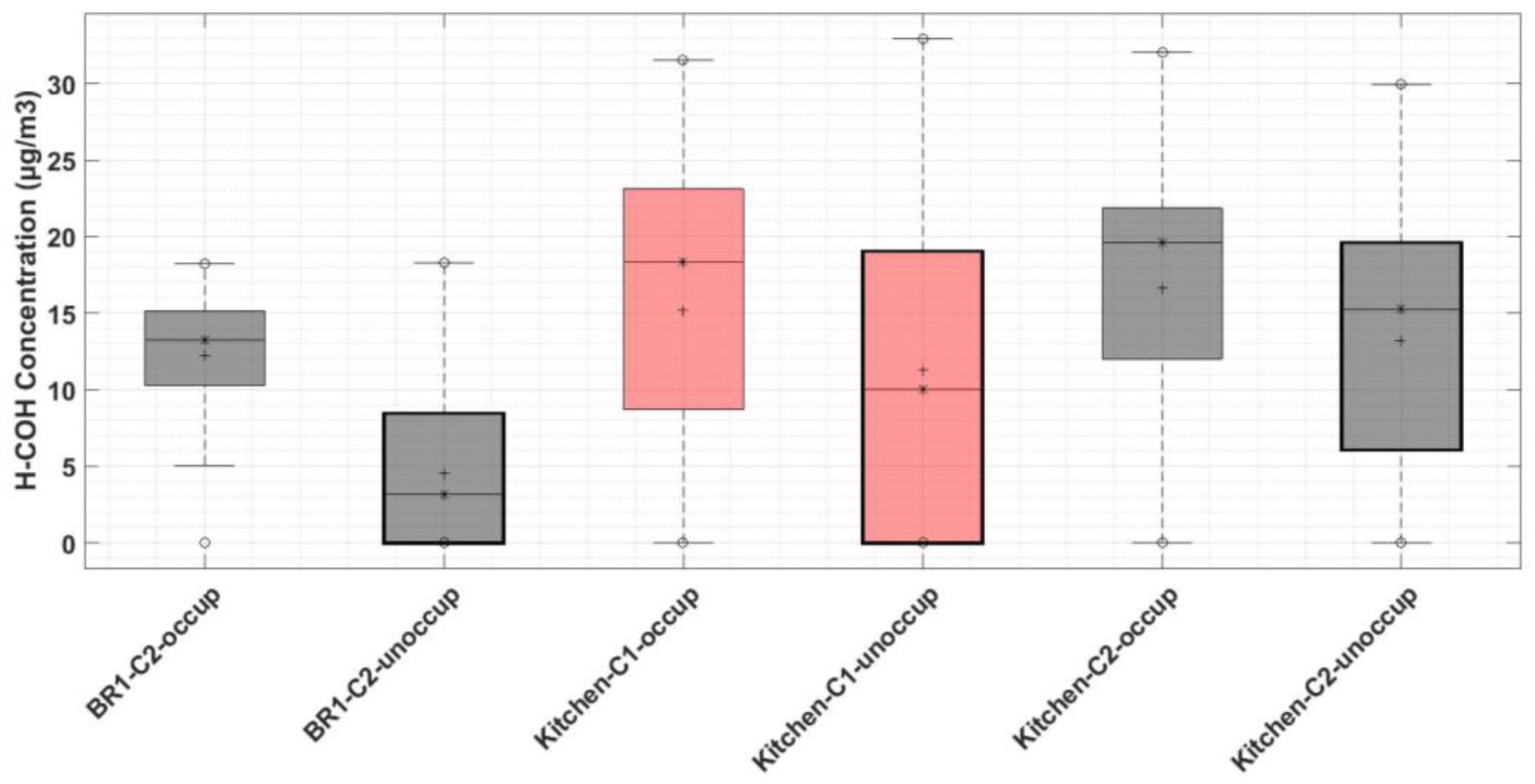
3.2.4. Formaldehyde
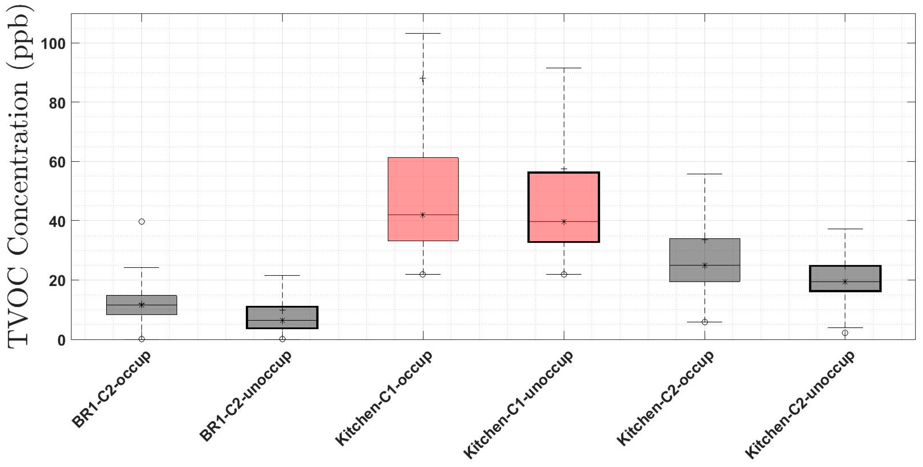
3.2.5. TVOC
4. Discussion on the IAQ Global Assessment at the Dwelling Scale According to the Indicators
5. Conclusions and Perspectives
Author Contributions
Funding
Institutional Review Board Statement
Informed Consent Statement
Conflicts of Interest
References
- American Society of Heating, Refrigerating and Air-Conditioning Engineers. ASHRAE Handbook: Heating, Ventilating, and Air-Conditioning Applications; ASHRAE: Atlanta, GA, USA, 2012; ISBN 978-1-62198-036-0. [Google Scholar]
- Brasche, S.; Bischof, W. Daily Time Spent Indoors in German Homes--Baseline Data for the Assessment of Indoor Exposure of German Occupants. Int. J. Hyg. Environ. Health 2005, 208, 247–253. [Google Scholar] [CrossRef]
- Jantunen, M.; De Oliveira Fernandes, E.; Carrer, P.; Kephalopoulos, S. Promoting Actions for Healthy Indoor Air (IAIAQ). Available online: https://www.researchgate.net/publication/308928829_Promoting_actions_for_healthy_indoor_air_IAIAQ (accessed on 25 May 2020).
- Klepeis, N.E.; Nelson, W.C.; Ott, W.R.; Robinson, J.P.; Tsang, A.M.; Switzer, P.; Behar, J.V.; Hern, S.C.; Engelmann, W.H. The National Human Activity Pattern Survey (NHAPS): A Resource for Assessing Exposure to Environmental Pollutants. J. Expo. Sci. Environ. Epidemiol. 2001, 11, 231–252. [Google Scholar] [CrossRef]
- Zeghnoun, A.; Dor, F.; Grégoire, A. Description Du Budget Espace-Temps et Estimation de l’exposition de La Population Française Dans Son Logement; Institut de Veille Sanitaire–Observatoire de la Qualité de l’air Intérieur. Santé publique France: Paris, France, 2010. [Google Scholar]
- Kirchner, S.; Derbez, M.; Duboudin, C.; Elias, P.; Gregoire, A.; Lucas, J.-P.; Pasquier, N.; Ramalho, O.; Weiss, N. Indoor Air Quality in French Dwellings. In Proceedings of the Indoor Air 2008, Copenhagen, Denmark, 17–22 August 2008; p. 8. [Google Scholar]
- Sherman, M.H.; Walker, I.S.; Logue, J.M. Equivalence in Ventilation and Indoor Air Quality. HVACR Res. 2012, 18, 760–773. [Google Scholar] [CrossRef]
- Marc, O.; Abadie, P.W. Indoor Air Quality Design and Control in Low-Energy Residential Buildings-Annex 68 | Subtask 1: Defining the Metrics. In the Search of Indices to Evaluate the Indoor Air Quality of Low-Energy Residential Buildings. 2018. Available online: https://www.aivc.org/resource/cr-17-indoor-air-quality-design-and-control-low-energy-residential-buildings-annex-68 (accessed on 4 November 2021).
- Derbez, M.; Berthineau, B.; Cochet, V.; Lethrosne, M.; Pignon, C.; Riberon, J.; Kirchner, S. Indoor Air Quality and Comfort in Seven Newly Built, Energy-Efficient Houses in France. Build. Environ. 2014, 72, 173–187. [Google Scholar] [CrossRef]
- Derbez, M.; Berthineau, B.; Erie Cochet, V.; Pignon, E.; Rib, J.; Wyart, G.; Mandin, C.; Everine Kirchner, S. A 3-Year Follow-up of Indoor Air Quality and Comfort in Two Energy-Efficient Houses. Build. Environ. 2014, 82, 288–299. [Google Scholar] [CrossRef]
- Stamatelopoulou, A.; Asimakopoulos, D.N.; Maggos, T. Effects of PM, TVOCs and Comfort Parameters on Indoor Air Quality of Residences with Young Children. Build. Environ. 2019, 150, 233–244. [Google Scholar] [CrossRef]
- Fernández-agüera, J.; Domínguez-amarillo, S.; Alonso, C.; Martín-consuegra, F. Energy & Buildings Thermal Comfort and Indoor Air Quality in Low-Income Housing in Spain: The Influence of Airtightness and Occupant Behaviour. Energy Build. 2019, 199, 102–114. [Google Scholar] [CrossRef]
- Stranger, M.; Verbeke, S.; Täubel, M.; Laverge, J.; Wuyts, D.; Geyskens, F.; Swinnen, R.; Poelmans, D.; Boonen, F.; Lauwers, J.; et al. Clean Air, Low Energy-Schone Lucht, Lage Energie; Vito vision on technology: Study accomplished under the authority of LNE and VEA 2012/MRG/R/363 July 2011. Available online: https://www.energiesparen.be/sites/default/files/atoms/files/eindrapport_cleanairlowenergy.pdf (accessed on 4 November 2021).
- Kaunelienė, V.; Prasauskas, T.; Krugly, E.; Stasiulaitienė, I.; Čiužas, D.; Šeduikytė, L.; Martuzevičius, D. Indoor Air Quality in Low Energy Residential Buildings in Lithuania. Build. Environ. 2016, 108, 63–72. [Google Scholar] [CrossRef]
- Langer, S.; Bekö, G. Bekö Indoor Air Quality in the Swedish Housing Stock and Its Dependence on Building Characteristics. Build. Environ. 2013, 69, 44–54. [Google Scholar] [CrossRef]
- Langer, S.; Bekö, G.; Bloom, E.; Widheden, A.; Ekberg, L. Indoor Air Quality in Passive and Conventional New Houses in Sweden. Build. Environ. 2015, 93 Pt 1, 92–100. [Google Scholar] [CrossRef]
- ISO. ISO 9972:2015-Thermal Performance of Buildings--Determination of Air Permeability of Buildings--Fan Pressurization Method; ISO: Geneva, Switzerland, 2015. [Google Scholar]
- Ribéron, J.; Ramalho, O.; Derbez, M.; Berthineau, B.; Wyart, G.; Kirchner, S.; Mandin, C. Indice de confinement de l’air intérieur: Des écoles aux logements. Pollut. Atmos. 2016, 12. [Google Scholar] [CrossRef]
- Haghighat, F.; Rao, J.; Fazio, P. The Influence of Turbulent Wind on Air Change Rates—A Modelling Approach. Build. Environ. 1991, 26, 95–109. [Google Scholar] [CrossRef]
- Kvisgaard, B.; Collet, P.F. The User’s Influence on Air Change; ASTM: West Conshohocken, PA, USA, 1990; ISBN 978-0-8031-1451-7. [Google Scholar]
- Modera, M.P.; Wilson, D.J. The Effects of Wind on Residential Building Leakage Measurements. In Air Change Rate and Airtightness in Buildings; ASTM: West Conshohocken, PA, USA, 1990. [Google Scholar] [CrossRef]
- Remion, G.; Moujalled, B.; Mankibi, M. Review of Tracer Gas-Based Methods for the Characterization of Natural Ventilation Performance: Comparative Analysis of Their Accuracy. Build. Environ. 2019, 160, 106180. [Google Scholar] [CrossRef]
- Bailly, A.; Berthault, S. Reliability of Ventilation System Inspection for Dwellings: Comparisons of Measurements and Checks Protocols Tested During On-Site Campaign of the PROMEVENT Project. In Proceedings of the ASHRAE and AIVC IAQ 2016 Conference, Alexandria, VA, USA, 12–14 September 2016. [Google Scholar]
- Cóstola, D.; Blocken, B.; Ohba, M.; Hensen, J.L.M. Uncertainty in Airflow Rate Calculations Due to the Use of Surface-Averaged Pressure Coefficients. Energy Build. 2010, 42, 881–888. [Google Scholar] [CrossRef]
- Langer, S.; Ramalho, O.; Derbez, M.; Ribéron, J.; Kirchner, S.; Mandin, C. Indoor Environmental Quality in French Dwellings and Building Characteristics. Atmos. Environ. 2016, 128, 82–91. [Google Scholar] [CrossRef]
- ISO/IEC. ISO/IEC Guide 98-3:2008-Uncertainty of Measurement--Part 3: Guide to the Expression of Uncertainty in Measurement (GUM:1995); ISO: Geneva, Switzerland, 2008. [Google Scholar]
- Fahlen, P.; Andersson, H.; Ruud, S. IEA Annex 18. Demand Controlled Ventilation Systems: Sensor Tests, Document; Swedish Council for Building Research: Stockholm, Sweden, 1992. [Google Scholar]
- Fisk, W.; Faulkner, D.; Sullivan, D. Accuracy of CO2 Sensors in Commercial Buildings: A Pilot Study; Ernest Orlando Lawrence Berkeley National Laboratory: Berkeley, CA, USA, 2006.
- Barsan, N.; Koziej, D.; Weimar, U. Metal Oxide-Based Gas Sensor Research: How To? Sens. Actuators B Chem. 2007, 121, 18–35. [Google Scholar] [CrossRef]
- Chung, P.-R.; Tzeng, C.-T.; Ke, M.-T.; Lee, C.-Y. Formaldehyde Gas Sensors: A Review. Sensors 2013, 13, 4468–4484. [Google Scholar] [CrossRef]
- Walker, I.; Sherman, M.; Clark, J.; Guyot, G. Residential Smart Ventilation: A Review; Lawrence Berkeley National Laboratory: Berkeley, CA, USA, 2017.
- IAQ Sensors for Smart Ventilation of Buildings. 2018. Webinar, AIVC. Available online: https://www.aivc.org/event/6-march-2018-webinar-iaq-sensors-smart-ventilation-buildings (accessed on 4 November 2021).
- Annexe à l’arrêté Portant Approbation de La Méthode de Calcul Th-BCE 2012; Centre Scientifique et Technique du Bâtiment: France, 2011; p. 1377. Available online: http://construction.senova.fr/telechargements/Annexe-arrete-methode-de-calcul-TH-B-C-E-2012-CSTB.pdf (accessed on 4 November 2021).
- Guyot, G.; Ferlay, J.; Gonze, E.; Woloszyn, M.; Planet, P.; Bello, T. Multizone Air Leakage Measurements and Interactions with Ventilation Flows in Low-Energy Homes. Build. Environ. 2016, 107, 52–63. [Google Scholar] [CrossRef][Green Version]
- Arrêté Du 24 Mars 1982 Relatif à l’aération Des Logements; Acte juridique in Journal officiel de la République Française: Paris, France, 1983.
- Brelih, N.; Seppänen, O. Ventilation Rates and IAQ in European Standards and National Regulations. In Proceedings of the AIVC Conference, Brussels, Belgium, 12 October 2011. [Google Scholar]
- Dimitroulopoulou, C. Ventilation in European Dwellings: A Review. Build. Environ. 2012, 47, 109–125. [Google Scholar] [CrossRef]
- Mélois, A.; Lentillon, C.; Planet, P.; Berthault, S.; Boxberger, J.; Frances, G.; Caré, I.; Mouradian, L.; Barles, P.; Leprince, V.L. Effinergie Guide d’accompagnement Du Protocole Promevent; Effinergie, Cerema, Cetiat, Allie’Air, Cetii et PBC. 2016. Available online: http://www.promevent.fr/guide/Guide_PROMEVENT.pdf (accessed on 4 November 2021).
- Mélois, A.B.; Mouradian, L. Applications of the Promevent Protocol for Ventilation Systems Inspection in French Regulation and Certification Programs. In Proceedings of the AIVC Conference, Pins, France, 18–19 September 2018; p. 7. [Google Scholar]
- Chan, W.R. Ventilation and Indoor Air Quality in New California Homes with Gas Appliances and Mechanical Ventilation AIVC Contributed Report 18 Energy in Buildings and Communities Programme; Lawrence Berkeley National Lab.(LBNL): Berkeley, CA USA, 2019; ISBN 978-2-930471-55-6.
- Canha, N.; Lage, J.; Teixeira Coutinho, J.; Alves, E.; Almeida, S.M. Comparison of Indoor Air Quality during Sleep in Smokers and Non-Smokers’ Bedrooms: A Preliminary Study *. Environ. Pollut. 2019, 249, 248–256. [Google Scholar] [CrossRef]
- Guyot, G.; Walker, I.S.; Sherman, M.H. Performance Based Approaches in Standards and Regulations for Smart Ventilation in Residential Buildings: A Summary Review. Int. J. Vent. 2019, 18, 96–112. [Google Scholar] [CrossRef]
- Mujan, I.; Ancelkovi, A.S.; Mun, V.; Kljaji, M.; Ru Zi, D. Influence of Indoor Environmental Quality on Human Health and Productivity-A Review. J. Clean. Prod. 2019, 217, 646–657. [Google Scholar] [CrossRef]
- Zhang, X.; Wargocki, P.; Lian, Z. Physiological Responses during Exposure to Carbon Dioxide and Bioeffluents at Levels Typically Occurring Indoors. Indoor Air 2016, 27, 65–77. [Google Scholar] [CrossRef]
- Von Pettenkofer, M. Über Den Luftwechsel in Wohngebäuden; Cotta: München, Germany, 1858; p. 141. [Google Scholar]
- Ramalho, O.; Mandin, C.; Ribéron, J.; Wyart, G. Air Stuffiness and Air Exchange Rate in French Schools and Day-Care Centres. In Proceedings of the 10th International Conference on Industrial Ventilation, Paris, France, 17–19 September 2012; Volume 12. [Google Scholar] [CrossRef]
- Harriman, L.; Brundrett, G.; Kittler, R. Humidity Control Design Guide for Commercial and Institutional Buildings; American Society of Heating, Refrigerating and Air-Conditioning Engineers (ASHRAE): Atlanta, GA, USA, 2001. [Google Scholar]
- Norme Francaise. Ventilation Des Bâtiments-Conception et Dimensionnement Des Systèmes de Ventilation Résidentiels; FD CEN/TR 14788 (août 2006) Reef4–CSTB, France; Available online: http://reef4.cete-lyon.i2/reef4/actions/documents/print.jsp?code4x=ROP (accessed on 4 November 2021).
- Wolkoff, P. Indoor Air Humidity, Air Quality, and Health–An Overview. Int. J. Hyg. Environ. Health 2018, 221, 376–390. [Google Scholar] [CrossRef]
- Cony Renaud Salis, L.; Abadie, M.; Wargocki, P.; Rode, C. Towards the Definition of Indicators for Assessment of Indoor Air Quality and Energy Performance in Low-Energy Residential Buildings. Energy Build. 2017, 152, 492–502. [Google Scholar] [CrossRef]
- Schieweck, A.; Uhde, E.; Salthammer, T.; Salthammer, L.C.; Morawska, L.; Mazaheri, M.; Kumar, P. Smart Homes and the Control of Indoor Air Quality. Renew. Sustain. Energy Rev. 2019, 94, 705–718. [Google Scholar] [CrossRef]
- Bekö, G.; Lund, T.; Nors, F.; Toftum, J.; Clausen, G. Ventilation Rates in the Bedrooms of 500 Danish Children. Build. Environ. 2010, 45, 2289–2295. [Google Scholar] [CrossRef]
- Bekö, G.; Toftum, J.; Clausen, G. Modeling Ventilation Rates in Bedrooms Based on Building Characteristics and Occupant Behavior. Build. Environ. 2011, 46, 2230–2237. [Google Scholar] [CrossRef]
- Sekhar, C.; Akimoto, M.; Fan, X.; Bivolarova, M.; Liao, C.; Lan, L.; Wargocki, P. Bedroom Ventilation: Review of Existing Evidence and Current Standards. Build. Environ. 2020, 184, 107229. [Google Scholar] [CrossRef]
- Park, J.S.; Ikeda, K. Variations of Formaldehyde and VOC Levels during 3 Years in New and Older Homes. Indoor Air 2006, 16, 129–135. [Google Scholar] [CrossRef] [PubMed]
- Blondel, A.; Plaisance, H. Screening of Formaldehyde Indoor Sources and Quantification of Their Emission Using a Passive Sampler. Build. Environ. 2011, 46, 1284–1291. [Google Scholar] [CrossRef]
- Office of Environmental Health Hazard Assessment (OEHHA) (2016). Acute, 8-Hour and Chronic Reference Exposure Levels (ChRELs). Available online: www.oehha.ca.gov/air/allrels.html (accessed on 4 November 2021).
- WHO. WHO Guidelines for Indoor Air Quality: Selected Pollutants; World Health Organization Regional Office for Europe: Bonn, Germany, 2010. [Google Scholar]
supply,
exhaust); symbols of devices
NODE,
GRIMM,
MET-ONE,
NEMO,
WOHLER.
supply,
exhaust); symbols of devices
NODE,
GRIMM,
MET-ONE,
NEMO,
WOHLER.
















| Room | Campaign | CO2 | RH | T | Particle Numbers | PM2.5 | Formaldehyde | TVOC |
|---|---|---|---|---|---|---|---|---|
| Bedroom 1 (BR1) | C1 | Low5-1 | Low5-1 | Low5-1 | / | Low1-1 | / | / |
| C2 | Int4-1 | Int4-1 | Int4-1 | / | Low1-1 | Int4-1 | Int4-1 | |
| Bedroom 2 (BR2) | C1 | Low5-2 | Low5-2 | Low5-2 | / | Low1-2 | / | / |
| C2 | Low1-2 | Low1-2 | Low1-2 | / | Low1-2 | / | / | |
| Bedroom 3 (BR3) | C1 | Low5-3 | Low5-3 | Low5-3 | / | / | / | / |
| C2 | Low5-3 | Low1-2 | Low1-2 | / | / | / | / | |
| Bedroom 4 (BR4) | C1 | Low5-4 | Low5-4 | Low5-4 | Int3-1 | / | / | / |
| C2 | Low5-4 | Low5-4 | Low5-4 | Int3-1 | / | / | / | |
| Kitchen | C1 | Low5-5 | Low5-5 | Low5-5 | Lab2-1 | Lab2-1 | Int4-2 | Int4-2 |
| C2 | Low5-5 | Low5-5 | Low5-5 | Lab2-1 | Lab2-1 | Int4-2 | Int4-2 | |
| Living room | C1 | Low5-6 | Low5-6 | Low5-6 | Lab2-2 | Lab2-2 | / | / |
| C2 | Low5-6 | Low5-6 | Low5-6 | Lab2-2 | Lab2-2 | / | / | |
| Bathroom 2 | C1 | Low5-7 | Low5-7 | Low5-7 | / | / | / | / |
| C2 | Low5-7 | Low5-7 | Low5-7 | / | / | / | / | |
| Outdoor | C1 | Low5-8 | Low5-8 | Low5-8 | Int3-2 | / | / | / |
| C2 | Low5-8 | Low5-8 | Low5-8 | Int3-2 | / | / | / |
| Device Number | Name and Symbol | Type of Sensor | CO2 | PM | RH | T | Formaldehyde | TVOC |
|---|---|---|---|---|---|---|---|---|
| Low1-1 Low1-2 | NODE![]() | Low-cost (Near REF.) | NDIR An accuracy of ±0.02% | Light scattering accuracy Precision of ±10% | Non-condensing sensor over a range of 0–95% | Sensor allowance is between −10 °C and + 40 °C | / | / |
| Lab2-1 Lab2-2 | GRIMM![]() | Laboratory material (REF.) | / | Laser beam optical particle counter Portable aerosol spectrometer | / | / | / | / |
| Int3-1 Int3-2 | MET-ONE![]() | Intermediate (Near REF.) | / | Optical particle counter | / | / | / | / |
| Int4-1 Int4-2 | NEMO![]() | Intermediate (Near REF.) | NDIR, 0–5000 ppm, +/− 50 ppm according to LAB-REF-30 | / | Capacitive, 0–95%, +/−5% complete range | CMOS, −25 to +55 °C, +/−1 °C | Optical reading, 0–2000 ppb (0–2.5 mg/m3) (uses NE-FOR011 badges) | Electrochemistry, Measuring range 30 ppb to 5 ppm Uncertainty +/−40 ppb |
| Low5-1 Low5-2 Low5-3 Low5-4 Low5-5 Low5-6 Low5-7 Low5-8 | WOHLER![]() | Low-cost (REF.) | NDIR accuracy of 50 ppm ± 5% | / | 5–95% RH with accuracy of ±3% | Detector allowance range from −10 °C to +60 °C, resolution is 0.1 °C with an accuracy of ±0.6 °C | / | / |
| Slope | SSE | R2 | RMSE | |
|---|---|---|---|---|
| IAQ parameters (temperature, humidity) (ref. WOHLER) | ||||
| T→WOHLER (980) | 0.99 | 0.12 | 0.89 | 0.05 |
| T→NODE | 1.07 | 204 | 0.88 | 0.49 |
| T→NEMO | 0.99 | 386 | 0.79 | 0.62 |
| RH→WOHLER (980) | 1.00 | 1.81 | 1.00 | 0.19 |
| RH→NODE | 1.03 | 1300 | 0.62 | 1.25 |
| RH→NEMO | 1.07 | 2127 | 0.84 | 1.46 |
| CO2 (ref. Wohler) | ||||
| CO2→WOHLER (980) | 0.98 | 2.9 × 103 | 1.00 | 7.8 |
| CO2→NODE | 1.03 | 6.4 × 105 | 0.97 | 28 |
| CO2→NEMO | 0.92 | 9.9 × 106 | 0.74 | 100 |
| Number particle (Ref. Grimm) | ||||
| 0.3 µm→GRIMM D | 1.03 | 4.2 × 108 | 0.92 | 5.6 × 102 |
| 0.3 µm→MET ONE 930/931 | 2.89/2.86 | 1.9 × 109/6.2 × 108 | 0.86/0.94 | 1.4 × 103/1.4 × 103 |
| 0.5 µm→GRIMM D | 0.94 | 2.5 × 107 | 0.86 | 137 |
| 0.5 µm→MET ONE 930/931 | 1.65/1.76 | 2.6 × 107/6.7 × 106 | 0.83/0.95 | 160/140 |
| 1 µm→GRIMM D | 1.02 | 2.41 × 105 | 0.83 | 13.4 |
| 1 µm→MET ONE 930/931 | 2.82/2.77 | 1.8 × 106/6.3 × 105 | 0.11/0.53 | 42/43 |
| 2 µm→GRIMM D | 0.89 | 8.6 × 104 | 0.88 | 8.04 |
| 2 µm→Met One 930/931 | 1.83/2.18 | 4.2 × 105/1.9 × 105 | 0.75/0.80 | 20/24 |
| 5 µm→GRIMM D | 0.95 | 3.6 × 103 | 0.90 | 1.7 |
| 5 µm→MET ONE 930/931 | 3.31/3.23 | 1.3 × 104/7.5 × 103 | 0.75/0.78 | 3.6/4.7 |
| 10 µm→GRIMM D | 0.98 | 3.0 × 103 | 0.84 | 1.5 |
| 10 µm→MET ONE 930/931 | 2.17/2.24 | 4.1 × 104/7.0 × 103 | 0.50/0.86 | 6.4/4.6 |
| PM (Ref. Grimm) | ||||
| PM2.5→GRIMM D | 0.97 | 481 | 0.69 | 0.60 |
| PM2.5→NODE C/NODE L | 0.97/0.82 | 941/746 | 0.39/0.38 | 0.84/0.75 |
| PM10→GRIMM D | 0.64 | 1.3 × 105 | 0.28 | 9.84 |
| PM10→NODE C/NODE L | 0.10/0.08 | 5.4 × 103/4.1 × 103 | −1.95/−2.20 | 1.99/1.75 |
| Occupants | In bedroom | In Living Room—Open Kitchen | |
|---|---|---|---|
| Occup. 1 + 2 Parents BR1 | C1 & C2 | 20:30–6:30 | 7:00–8:30 12:00–14:00 19:00–20:30 |
| Occup. 3 Child BR2 | C1 & C2 | 20:30–6:30 | 6:30–8:30 12:00–14:00 19:00–20:00 20:15–20:30 |
| Occup. 4 Child BR3 | C1 | 20:30–6:30 13:30–15:30 | 6:30–8:30 12:00–13:30 15:30–19:45 20:00–20:30 |
| C2 | 20:30–6:30 | 6:30–8:30 12:00–14:00 19:00–19:45 20:00–20:30 |
| Room | Vent Component Type | QREG, BASE (m3·h−1) | V (m3) | QHIGH (m3·h−1) | QBASE (m3·h−1) | ACR (h−1) |
|---|---|---|---|---|---|---|
| BR1 | Supply | / | 32.3 | 21 | 18 | 0.56 |
| BR2 | Supply | / | 32.9 | 14 | 12 | 0.37 |
| BR3 | Supply | / | 31.4 | 14 | 11 | 0.36 |
| BR4 | Supply | / | 35.5 | 13 | 11 | 0.31 |
| Kitchen + Living room | 2 Supplies | / | 110 | 38 | 27 | 0.25 |
| Kitchen + Living room | Exhaust | 45 | 110 | 51 | 30 | 0.28 |
| Bathroom 1 | Exhaust | 30 | 8.1 | 22 | 15 | 1.91 |
| Bathroom 2 | Exhaust | 30 | 13.5 | 21 | 13 | 1.00 |
| WC 1 | Exhaust | 15 | 4.5 | 16 | 10 | 2.31 |
| WC 2 | Exhaust | 15 | 6 | 15 | 12 | 2.03 |
| Whole house | Exhaust | 135 | 337 * | 124 | 81 | 0.25 |
| Parameter | Value | C1 | C2 |
|---|---|---|---|
| T (°C) | MEDIAN | 3.1 | 6.6 |
| P25, P75 | 0.8, 5.1 | 3.1, 11.0 | |
| P (Pa) | MEDIAN | 1020 | 1006 |
| P25, P75 | 1014, 1022 | 1005, 1009 | |
| CO2 (ppm) | MEDIAN | 409 | 428 |
| P25, P75 | 397, 439 | 417, 449 | |
| V (m/h) | MEDIAN | 0.9 | 1.1 |
| P25, P75 | 0.5, 1.4 | 0.5, 1.7 |
| BR1 | BR2 | BR3 | BR4 | Kitchen | Living Room | Bath 2 | |
|---|---|---|---|---|---|---|---|
| Cumulative excess exposure 1000 ppm C1 (ppm·h) | 2.49 × 105 | 1.77 × 105 | 1.86 × 105 | 2 × 105 | 1.78 × 105 | 1.76 × 105 | 2.33 × 105 |
| ICONE air stuffiness index—C1 | 1.57 | 0.11 | 0.03 | 0.46 | 0.04 | 0.22 | 0.12 |
| Cumulative excess exposure 1000 ppm C2 (ppm·h) | 1.36 × 105 | 1.06 × 105 | 1.02 × 105 | 1.6 × 105 | 1.01 × 105 | 1.04 × 105 | 1.15 × 105 |
| ICONE air stuffiness index—C2 | 1.06 | 0.02 | 0.00 | 0.25 | 0.00 | 0.00 | 0.13 |
| Maximal CO2 E1000 ppm·h | Maximal Time-Spent with RH Out of 30–70% | Maximal Time-Spent with RH > 70% | PM2.5 Emax µg·m−3·h | Formal-dehyde Emax µg·m−3·h | |
|---|---|---|---|---|---|
| C1 | 2.45 × 105 | 44 | 1.2 | 728 | 363 |
| C2 | 1.6 × 105 | 14 | 2.42 | 936 | 321 |
| Relative gap (%) | −35% | −68% | 102% | 29% | −11% |
| Threshold | 1.68 × 105 | 30.78 | 38.48 | 1680 | 1512 |
Publisher’s Note: MDPI stays neutral with regard to jurisdictional claims in published maps and institutional affiliations. |
© 2021 by the authors. Licensee MDPI, Basel, Switzerland. This article is an open access article distributed under the terms and conditions of the Creative Commons Attribution (CC BY) license (https://creativecommons.org/licenses/by/4.0/).
Share and Cite
Kanama, N.; Ondarts, M.; Guyot, G.; Outin, J.; Gonze, E. Indoor Air Quality Campaign in an Occupied Low-Energy House with a High Level of Spatial and Temporal Discretization. Appl. Sci. 2021, 11, 11789. https://doi.org/10.3390/app112411789
Kanama N, Ondarts M, Guyot G, Outin J, Gonze E. Indoor Air Quality Campaign in an Occupied Low-Energy House with a High Level of Spatial and Temporal Discretization. Applied Sciences. 2021; 11(24):11789. https://doi.org/10.3390/app112411789
Chicago/Turabian StyleKanama, Najwa, Michel Ondarts, Gaëlle Guyot, Jonathan Outin, and Evelyne Gonze. 2021. "Indoor Air Quality Campaign in an Occupied Low-Energy House with a High Level of Spatial and Temporal Discretization" Applied Sciences 11, no. 24: 11789. https://doi.org/10.3390/app112411789
APA StyleKanama, N., Ondarts, M., Guyot, G., Outin, J., & Gonze, E. (2021). Indoor Air Quality Campaign in an Occupied Low-Energy House with a High Level of Spatial and Temporal Discretization. Applied Sciences, 11(24), 11789. https://doi.org/10.3390/app112411789






