Abstract
There is a great interest in mitigating soil salinity that limits plant growth and productivity. In this study, eighty-nine strains were isolated from the rhizosphere and endosphere of two halophyte species (Suaeda mollis and Salsola tetrandra) collected from three chotts in Algeria. They were screened for diverse plant growth-promoting traits, antifungal activity and tolerance to different physico-chemical conditions (pH, PEG, and NaCl) to evaluate their efficiency in mitigating salt stress and enhancing the growth of Arabidopsis thaliana and durum wheat under NaCl–stress conditions. Three bacterial strains BR5, OR15, and RB13 were finally selected and identified as Bacillus atropheus. The Bacterial strains (separately and combined) were then used for inoculating Arabidopsis thaliana and durum wheat during the seed germination stage under NaCl stress conditions. Results indicated that inoculation of both plant spp. with the bacterial strains separately or combined considerably improved the growth parameters. Three soils with different salinity levels (S1 = 0.48, S2 = 3.81, and S3 = 2.80 mS/cm) were used to investigate the effects of selected strains (BR5, OR15, and RB13; separately and combined) on several growth parameters of wheat plants. The inoculation (notably the multi-strain consortium) proved a better approach to increase the chlorophyll and carotenoid contents as compared to control plants. However, proline content, lipid peroxidation, and activities of antioxidant enzymes decreased after inoculation with the plant growth-promoting rhizobacteria (PGPR) that can attenuate the adverse effects of salt stress by reducing the reactive oxygen species (ROS) production. These results indicated that under saline soil conditions, halotolerant PGPR strains are promising candidates as biofertilizers under salt stress conditions.
1. Introduction
Salinity is a serious problem that limits plant growth and productivity [1,2,3], hampers agricultural economy, and leads to serious land degradation in many countries [1,3,4]. About 900 million ha, 20% of the irrigated land and 6% of global land mass are affected by salinity. Moreover, according to the Food and Agricultural Organization (FAO) salinization of arable land will be increasing in the future if effective solutions are not applied [5]. Salinity deleterious effects on plant growth and development include water deficit within the plant, ion toxicity mainly Na+ and Cl-, reduction of nutrient uptake and/or transport to the shoot that leads to nutritional imbalance [3], production and accumulation of reactive oxygen species (ROS) [1], ethylene generation and plasmolysis. These physiological imbalances limit seed germination, seedling growth, flowering and fruit set in consequence [6].
Biotic stresses including pathogens are also seriously threatening plant productivity and fruit quality [7,8]. Chemical treatment, while effective in limiting plant pathogens deleterious infections, is more and more criticized and replaced by biocontrol strategies [4]. Highly multifaceted and versatile biocontrol agents are being described and developed in formulations that allow their efficient use as biofertilizers [3].
Rhizosphere engineering through the use of plant growth-promoting rhizobacteria is a valuable strategy that allows crop tolerance to salinity and subsequent promotion of plant productivity and yield under saline condition [3,4,9]. Plant growth-promoting bacteria (PGPB) stimulate plant growth [10] with two different lifestyles: free-living soil bacteria associated with the root surface of many different plant species referred to as plant growth-promoting rhizobacteria (PGPR) [4,11,12] and those that live inside host plant tissues [3,4,13]. Stimulation of plant growth by PGPB would be provided either through indirect or direct mechanisms [10]. Indirect mechanisms include prevention of the deleterious effects of phytopathogenic organisms by induction of systemic resistance (ISR), the synthesis of antimicrobial compounds, and the release of volatile organic compounds [3,4]. Direct promotion of plant growth may occur by atmospheric nitrogen fixation and subsequent supply to plants, secretion of siderophores, synthesis of phytohormones such as indole acetic acid (IAA), phosphate solubilization, and synthesis of enzymes that can modulate plant ethylene levels [3,14].
Arabidopsis thaliana is the model plant used for examining PGPB impacts on plants along with agronomically important crops e.g., wheat (Triticum durum). The use of both plants is highly relevant for the investigation of plant growth promotion mechanisms utilizing model crops and the proof of concept of applying non-tractable agronomically important crops to highlight their possible applications in the field.
The present investigation aimed to recover bacterial isolates from halophytes, their rhizosphere and NaCl affected surrounding soil from three salt marshes. Recovered endophytes, PGPR, and marsh soil bacteria were evaluated for different stress and plant growth-promoting (PGP) traits, including temperature, pH, PEG, and high NaCl tolerance. The selected bacteria were then used as biofertilizers and tested for their ability to mitigate salt stress in Arabidopsis thaliana and durum wheat (Triticum durum cv. Waha).
2. Materials and Methods
2.1. Sampling and Isolation of Bacteria from Saline Soils
Given the adaptation of the inoculant to a particular ecosystem, the strains used in this study were isolated from three saline sites. The chemical and physical properties of examined soil are given in Table 1. Based on their predominance in Sebkha, the halophytes Suaeda mollis (Bazer Sakhra Sebkha and Oum El-Bouaghi Sebkha) (Figure 1A,B) and Salsola tetrandra (Baniou Sebkha) (Figure 1C) were chosen for the isolation of bacteria. Three samples from each site were taken: the rhizosphere (soil adhering to roots), the endophytes (inside the roots), and the non-rhizosphere soil (not affected by the halophyte plant roots). The samples were collected in sterile containers, kept cool, and transported to the laboratory.
Table 1.
Chemical and physical properties of examined soils.
Figure 1.
Locations (A) Chott Bazer Sakhra, (B) Chott Tinsilt, (C) Chott El-Honda, and related plants that bacterial isolates recovered from them. (D) Number of bacterial strains isolated from different habitats (soil with NaCl, rhizospheric soil, and endophytes) in three locations. (E) Percentage of PGP activities of recovered bacterial isolates.
Bacterial isolation from soil samples was performed according to the method described by Cherif-Silini et al. [3]. Endophytic bacteria isolation was performed by washing the halophyte plant roots with tap water to eliminate the adhering soil and sterilized by immersion in ethanol 70% for 5 min and in sodium hypochlorite solution 2% for 30 min following by several washes with sterile distilled water. To check the efficiency of root disinfection, the final washing water was spread on nutrient agar and the plates were incubated at 30 °C for 48 h. Surface disinfected roots (1 g) were then ground in 10 mL sterile NaCl (9 g/L) solution. A serial dilution up to 10−6 of the samples were plated on Trypticase Soy Agar medium. The plates were then incubated at 28 ± 2 °C for 24 to 48 h and the colonies showing morphological differences were selected and spread on agar medium to obtain pure colonies.
2.2. In Vitro Screening of Isolates for Plant Growth-Promoting (PGP) Activities
2.2.1. Phosphate Solubilization
Phosphate solubilization was determined by the culturing the isolates in the Pikovskaya’s agar medium [3]. Plates were then incubated at 28 ± 2 °C for 7 days and monitored for halo formation surrounding bacterial colonies [3]. For quantitative estimation of phosphate solubilization, isolates were inoculated in 25 mL Pikovskaya’s broth and incubated for 5 days at 28 ± 2 °C. The bacterial cultures were centrifuged at 9000 rpm for 30 min and the resulting supernatant (1 mL) was mixed with 10 mL of chloromolybdic acid and the volume adjusted to 45 mL with sterile distilled water. Cholorostannous acid (0.25 mL) was then added to the mixture and the volume adjusted to 50 mL with sterile distilled water. The absorbance of the developing blue color was read at 600 nm. The amount of soluble phosphorus was estimated through comparison to a standard curve made using a variable of KH2PO4 [4].
2.2.2. Quantitative Estimation of Indole Acetic Acid
Indole-3-acetic acid (IAA) production was quantitatively evaluated by growing bacterial isolates in Luria-Bertani broth supplemented with 2 mg/mL tryptophan as a precursor of IAA and incubated for 4 days at 28 ± 2 °C. The bacterial culture was centrifuged at 3000 rpm for 30 min. An aliquot of 2 mL supernatant was mixed with 100 μL of orthophosphoric acid and 4 mL of Salkowski’s reagent (50 mL, 35% of perchloric acid, and 1 mL FeCl3 0.5 M solution) and incubated in darkness for 1 h. Development of pink color indicated IAA production and the absorbance was read at 530 nm. To determine IAA concentration in the supernatant a calibration curve of pure IAA as a standard was used [4].
2.2.3. Siderophore Production
Strains were examined for siderophore production using Chrome Azurol S (CAS) agar medium following the standard method of Slama et al. [4]. Bacterial isolates were grown under iron-restricted King’s B agar medium at 28 ± 2 °C for 24–48 h. After incubation CAS reagent in 0.9%, agar was spread in a thin layer over the isolated colonies and re-incubated at 28 ± 2 °C for 24–48 h. Development of yellow-orange halo around the bacterial colonies is considered as an indication for siderophore production. For quantitative estimation bacteria previously grown ironless King’s B broth medium, were centrifuged at 3000 rpm for 30 min, and 500 μL of the supernatant was mixed with 500 μL of CAS solution. The optical density was measured at 630 nm after 20 min of incubation and the percentage of siderophore units was estimated as the proportion of CAS color shift using the formula:
where Ar is the absorbance of the reference sample and As is the absorbance of the sample. The color changes from blue to orange according to the amount of siderophores produced.
Percentage of Decolorization = [(Ar − As)/Ar] × 100
2.2.4. Production of Enzymes
Protease production was assessed on skim milk agar medium. Chitinase was assessed on chitin agar medium. Cellulase was assessed on TSA agar amended with 10 g carboxymethyl cellulose. Amylase was evaluated on 1% starch agar plates. All of these media were spot inoculated by each of the isolates and incubated at 28 ± 2 °C for 2 days. Development of the halo zone surrounding the colony was considered as a positive indication of the considered protease or chitinase activity. For cellulase and amylase development of clear halos around the colonies after addition of 1% iodine solution, respectively, was considered as a positive indication of cellulase or amylase activity [3,11,12].
2.2.5. Hydrogen Cyanide (HCN) Production
Isolates were screened for their hydrogen cyanide (HCN) production ability according to Cherif-Silini et al. [3] procedure. Bacteria were spread on HCN medium (tryptic soy broth, glycine, agar: 30, 4.4 and 15 g/L respectively). A Whatman filter paper N° 40 dipped in 0.5% picric acid and 2% Na2CO3 was placed at the lid of the Petri plates which were then sealed with parafilm to avoid the gas escaping. After 4 days of incubation at 28 ± 2 °C, development of the orange-brown color of the paper indicated HCN production.
2.2.6. NH3 Production
The ability of strains to produce ammonia was tested by using fresh bacterial cultures grown in 10 mL peptone water and incubated for 4 days at 28 ± 2 °C. Nessler’s reagent (0.5 mL) was added in each tube and the development of yellow to brown color was a positive indication of ammonia production [4].
2.2.7. Nitrogen Fixation
Nitrogen fixation was tested on WS (Winogradsky) solid medium without nitrogen. Strains were streaked on the medium and incubated at 28 ± 2 °C for 2 days. Growth of isolates on this medium indicated their capacity to fix nitrogen [3].
2.2.8. Antifungal Assay
Bacteria isolates showing the highest siderophores and extracellular enzymatic activities were selected and used in antifungal activity tests against plant pathogenic fungi (Aspergillus niger LMA10, Phytophthora infestans LMA11, Fusarium oxysporum LMA12, and Botrytis cinerea LMA13). Fungal pathogens were grown on Potato Dextrose Agar (PDA) (potato infusion, dextrose, agar 4, 20, and 15 g/L, respectively; pH 5.4) and agar plugs (6 mm) of each fungal pathogen was placed in the center of PDA plate. Bacterial cultures grown in Tryptic Soy Broth were spotted or streaked in the same plate with a distance of 4 cm from the test fungus and incubated at 28 ± 2 °C for 5 to 6 days. The diameter of the inhibition zone against test fungi was measured and the percentage of inhibition relative to the control (without bacteria) was evaluated [11].
2.3. Selection of Tolerant PGPB for In Vivo Plant Growth Promotion
From 98 strains examined for different in vitro PGP traits, 10 bacterial isolates were positive in most activities especially siderophore production, phosphate solubilization, antifungal activity, and IAA production which were selected to assess their growth performance under different physico-chemical parameters e.g., temperature, pH, PEG8000, and NaCl. The 10 selected isolates were grown on LB broth in microplates with different values of pH (4, 7, 9, and 11), increasing concentrations of NaCl (0, 200, 400, 600, 800, 1000, and 1200 mM) and PEG8000 (0%, 10%, 20%, 30%, and 40%) to mimic varying levels of water potentials. All of the bacterial cultures were incubated at 28 ± 2 °C for 2 days. The growth of strains was also tested at different temperatures (4, 30, 37, 40, and 45 °C) for 2 days and optical density (O.D.) was measured at 600 nm [3].
2.4. Molecular Characterization of Salt-Tolerant PGPR
DNA extraction from selected PGPB was performed according to Luchi et al. [8]. DNA quality and quantity estimation were also assessed. Amplification and sequencing were performed as previously. Phylogenetic analyses were performed according to Mefteh et al. [11].
2.5. In Vitro and In Vivo Plant Growth Promotion by the Selected Bacterial Strains
Based on the results of bacterial growth performance under salt stress of the ten selected bacterial isolates, three bacteria were further selected (BR5, OR15, and RB13) and considered as salt-tolerant PGPR. These strains showing high mean values of growth and beneficial effects under salt stress were further evaluated for their PGP effect in vitro by wheat seeds germination and Arabidopsis thaliana seedlings inoculation in Petri dish and in vivo by wheat plants inoculation in pots grown [3].
2.6. In Vitro Assays
2.6.1. Plate Grown Arabidopsis Thaliana Seedlings Inoculation
Seeds of Arabidopsis thaliana (ecotype Col-0)/Rédei-L211-497) (LEHLE seeds Round Rock, TX 78680-2366, Texas, USA) were surface disinfested (2 min in 70% ethanol, 20 min in 1% sodium hypochlorite, and four washes with sterilized distilled water) and placed on plates containing half-strength Murashige–Skoog medium (MS medium) supplemented with 1.5% sucrose and 0.8% agar [3]. MS agar sown seeds were stratified for 3 days at 4 °C and subsequently incubated in a plant growth chamber (16 h light/8 h darkness photoperiod and 23 ± 1 °C). After 6 days of growth, seedlings with similar size were transferred to one side of a plate (10 seedlings per plate) containing MS agar with 0, 50, 100, and 150 mM NaCl. For the bacterial treatment, 100 µL of culture suspensions with approximately 108 to 109 CFU/mL (OD600 = 1) was applied on the agar medium 4 cm below the seedlings. Eight treatments were applied (Control, BR15, OR15, RB13, BR5 + OR15, BR5 + RB13, OR15 + RB13, and BR5 + OR15 + RB13) under four NaCl concentrations (0, 50, 100 and 150 mM). The plates were incubated for 14 days (23 ± 1 °C, 16 h/8 h light/darkness). Plant growth was assessed by measuring the total leaf surface area using digital photography and image processing via ImageJ 1.52v software. The fresh biomass and root length were determined. Chlorophyll content (chlorophyll a, b and total (a + b)) was assessed following procedures detailed by Rekik et al. [1]. Fresh leaf samples (0.1 g) were homogenized in 1 mL of 80% acetone, kept at −20 °C overnight, and centrifuged at 10,000 rpm for 10 min. The absorbance of the supernatant was measured at 663 and 645 nm. The quantification was done following the procedure of Cherif-Silini et al. [3].
Chla (mg/g) = (12.7A633 − 2.69A645) × (V/1000 × W)
Chlb (mg/g) = (22.9A645 − 4.68A633) × (V/1000 × W)
Chla+b (mg/g) = (20.21A645 + 8.02A663) × (V/1000 × W)
V = the final volume of the supernatant; W = fresh weight of the leaf
2.6.2. Wheat Seed Germination in the Presence of PGPB under Salt Stress
The three selected isolates BR5, OR15, and RB13 were cultured in Trypticase Soy broth and incubated at 28 ± 2 °C for 2 days. The cultures were centrifuged (12,000 rpm/10 min) and rinsed twice in PBS then adjusted to a density of 108 CFU/mL. The Waha durum wheat cultivar (Triticum durum) was used in the inoculation experiments. The seeds were surface sterilized (5 min in 70% ethanol, 30 min in a 2% sodium hypochlorite solution and 3 subsequent washes with sterilized distilled water [3]. Thirty selected seeds were incubated in bacterial suspensions for 30 min. As described previously for A. thaliana, eight treatments were applied (Control, BR15, OR15, RB13, BR5 + OR15, BR5 + RB13, OR15 + RB13 and BR5 + OR15 + RB13) under two NaCl concentrations (0 and 150 mM). The seeds were then placed on Whatman no. 40 paper in 9 cm Petri dishes containing 10 mL of sterile distilled water or 150 mM NaCl solution. The plates were divided into two groups (0 and 150 mM NaCl) and eight subgroups according to the bacterial treatment in three repetitions. The Petri dishes were incubated in the dark at 23 ± 1 °C. The germinated seeds were counted after 3, 6, 9, and 11 days of incubation. When the radicle was at least 3 mm long, the seeds were considered to have successfully germinated. Four parameters were recorded in this experiment: the final germination percentages (FGP), the germination rate index (GRI), the seedling length vigor index (SLVI), and the weight vigor index seedlings (SWVI). The FGPs were determined on the 11th day of incubation when no other seed had germinated using the equation:
Final germination percentage (FGP) = number of germinated seeds/numbers of total seeds × 100
The germination rate index (GRI) was determined by using a modified procedure described by Rekik et al. [1]:
where G3, G6, and G9 were germination percentages × 100 at 3, 6, and 9 days after initiation of germination [1,3].
GRI = G3/3 + G6/6 + G9/9
SLVI = Seedling length (cm) × Germination (%)
SWVI = Seedling dry weight (mg) × Germination (%)
The parameter was calculated using the above formula suggested by Abdul-Baki and Anderson [15].
2.7. In Vivo Assays
2.7.1. Wheat Inoculation
Pot experiments were conducted following completely randomized block design to assess the potential of the three salt-tolerant bacteria in mitigation of salinity stress in Waha durum wheat (Triticum durum). Three soils (S1, S2, and S3) with different physicochemical characteristics were used to wheat growth (Table 2). The cultures of the three selected isolates and the sterilization of the wheat seeds were applied as described above. The inoculation was carried out after immersion of the seeds for 24 h in the bacterial suspensions (BR15, OR15, RB13, BR5 + OR15, BR5 + RB13, OR15 + RB13, and BR5 + OR15 + RB13). The uninoculated seeds (control) were immersed in sterile distilled water. The treated seeds were sown at the rate of ten seeds per pot (each contains about 1 kg of soil) at a depth of 1 cm from the surface. The experiments were designed with three groups representing the type of soil (S1, S2, S3) and eight treatments indicating the type of inoculum (control, + BR15, + OR15, + RB13, + BR5-OR15, + BR5 -RB13, + OR15-RB13 and BR5-OR15-RB13) with three repetitions (72 pots in total). The experiment was conducted in a growth chamber with an average of day/night temperatures of 26 ± 2 °C and 16 ± 2 °C, respectively, and a photoperiod of 16 h of lighting. The soil humidity is adjusted and kept constant during the experiment by watering with water. After 45 days of growth, the plants were harvested and washed with water. The roots and leaves have been separated. The fresh, the dry (after 72 h at 65 °C) weights, and the length of the roots and leaves were determined.
Table 2.
Three soils (S1, S2 and S3) with different physico-chemical characteristics were used in this study.
2.7.2. Photosynthetic Pigments and Biochemical Markers
Photosynthetic Pigments Concentration Estimation
Chlorophyll pigments (chlorophyll a, b, total (a + b) and carotenoids) were assessed following procedures detailed above. Absorbance of the extracts was measured at 663, 645, and 470 nm. The quantification was done as following:
Chla (mg/g) = (12.7A633 − 2.69A645) × (V/1000 × W)
Chlb (mg/g) = (22.9A645 − 4.68A633) × (V/1000 × W)
Chla+b (mg/g) = (20.21A645 + 8.02A663) × (V/1000 × W)
Carotenoids (mg/g) = ((1000A470 − 1.9Chla − 63.14Chlb)/214) × (V/1000 × W)
V = the final volume of the supernatant; W = fresh weight of the leaf.
Total Soluble Sugars Content
The plant material (0.1 g) was extracted in 3 mL of ethanol 80% incubated at room temperature for 48 h, followed by boiling at 80 °C until evaporation. The extract was diluted by the addition of 20 mL of distilled water. After centrifugation, the total soluble sugars of supernatant (2 mL) were determined by the phenol-sulfuric method [16].
Proline Content Estimation
Proline extraction from leaves and roots was determined according to the method described by Carrillo et al. [17]. Samples (50 mg) were homogenized to a 1 mL mixture of ethanol: water (40:60 v/v) and stored at 4 °C overnight and then centrifuged at 14,000 rpm/5 min. 500 µL of the extract was added to 2 mL of the reaction mixture (1% ninhydrin (w/v) in acetic acid 60%) and heated 95 °C for 20 min and centrifuged 10,000 rpm/1 min. The absorbance was recorded at 520 nm and proline concentration was measured through comparison to a standard curve [3].
Protein Content
Frozen root and leaf samples (0.25 g) were crushed to a fine powder in a mortar under liquid nitrogen and then homogenized with 5 mL of 100 mM potassium phosphate buffer, pH 7.5 containing 1 mM EDTA, and 0.01% Triton X-100. The homogenate was centrifuged at 15,000 rpm/15 min at 4 °C to yield a crude enzyme extract. The soluble protein content (mg/g) was estimated by the technique according to Lowry et al. [18] using bovine serum albumin as a protein standard.
Lipid Peroxidation
Lipid peroxidation was measured by quantifying the malondialdehyde (MDA) production by the thiobarbituric acid reaction. Fresh vegetal material (0.2 g) (roots and leaves) was homogenized using 2 mL TCA (0.1% v/v). After centrifugation at 10,000 g for 15 min at 4 °C, the supernatant was added to 4 mL premixed TCA (20%) and TBA (2-Thiobarbituric acid, 0.5%). The mixture was then incubated at 96 °C for 30 min and then transferred into an ice bath to stop the reaction. The tubes were centrifuged at 10,000 rpm/15 min, and the absorbance of the resulting supernatant was measured at 532 nm using a spectrophotometer. The concentration of MDA was calculated using the extinction coefficient of 155 mmol/L−1cm−1. The concentration of the MDA was expressed as µmolg−1 FW (fresh weight) [1].
2.8. Antioxidant Enzyme Assays
2.8.1. Guaiacol Peroxidase Activity
Guaiacol peroxidase activity (GPX) reaction was started by adding 0.1 mL of the extract to 3 mL of reaction mixture containing 100 mM phosphate buffer (pH 6.5), 15 mM guaiacol, and 0.05% H2O2. The kinetic evolution of absorbance at 470 nm was measured for 1 min. GPX activity was calculated using the extinction coefficient (26.6 mM−1cm−1 at 470 nm). Enzyme activity (U/min/mg Protein) was calculated as the increase in absorbance [1].
2.8.2. Ascorbate Peroxidase Activity
Ascorbate peroxidase (APX) was estimated by observing the decrease in absorbance due to ascorbic acid at 290 nm. Reaction mixture (3 mL) contained 50 mM potassium phosphate buffer (pH 7.0), 0.25 mM ascorbic acid, 5 mM H2O2, and 0.1 mL enzyme extract. The reaction was started by adding H2O2 and the oxidation of ascorbate was determined by a decrease in absorbance at 290 nm (E = 2.8 mM−1cm−1). One unit of APX activity (µmoles/min/mg Proteins) was defined as the amount of enzyme that oxidizes 1 µmol min−1 ascorbate [1].
2.8.3. Catalase Enzyme Assay
For catalase analysis, 0.1 mL of extract was added to a 2 mL reaction mixture containing 50 mM potassium phosphate buffer (pH 7), 20 mM H2O2. After adding the extract, the decrease in absorbance was recorded at 240 nm (extinction coefficient of 0.036 mM−1 cm−1) at 30 s intervals for 2 min. Enzyme activity of catalase was expressed as U/min/mg Proteins [19].
2.8.4. Superoxide Dismutase Enzyme Assay
The reaction mixture (3 mL) containing 13 mM of methionine, 75 μM of nitro-blue tetrazolium chloride (NBT), 0.1 mM of EDTA, 50 mM of phosphate buffer (pH 7.5), 50 mM of carbonate sodium, 2 mM riboflavin, and 0.1 mL of enzyme extract was placed under fluorescent light for 15 min. A complete enzyme-free reaction mixture, which gave the maximum color, served as a control. The photo-reduction of NBT by superoxide was stopped by placing the tubes in the dark. The absorbance was recorded at 560 nm and superoxide dismutase (SOD) activity expressed as U/mg of proteins was calculated as a proportion between absorbance observed in presence or absence of this enzyme [1].
2.9. Statistical Analysis
The experiments were performed in triplicate, results expressed as mean ± standard deviations. One-way ANOVA and Two-way ANOVA were employed to find the significant effect of different microbial strains under different growth conditions in comparison to the control sample. The level of significance used for all statistical tests is 5% (p < 0.05) and Tukey’s test Multiple Comparison was used when significant differences were identified within each row, simple effects were used to compare between the mean value of different treatments. Different letters were included on the top each column to indicate the differences between different groups. All statistics were carried out using Graphpad Prism 8.
3. Results
3.1. Isolation of Bacteria
A total of 98 strains differing in colony morphology were isolated from root halophytes where they are thriving as endophytes, rhizosphere soil as well as salty soil surrounding the halophytes in three salt-affected sites in the East of Algeria (Figure 1A–C, Table 1). Results showed that 27.55% of the isolates were from salty soil, 44.89% from rhizosphere soil and 27.55% were root endophytes. 21, 34 and 43 of them were recovered from Chott Bazer Sakhra (21.42%), Chott Tinsilt (34.69%), and Chott El Hodna (43.87%), respectively (Figure 1D).
3.2. Plant Growth-Promoting Traits of Isolates
The results of the PGP activities of the different strains were shown in Figure 1E. Phosphate solubilization was detected in 26 isolates (26.53%). The siderophores were produced by 47 isolates (47.95%). All of the strains produced IAA at variable rates ranging from 2.32 to 13.83 μg/mL (OR15). IAA production was higher for Sebkha Oum el Bouaghi rhizospheric isolates (OR14 (10.06 µg/mL), OR15 (13.83 µg/mL), and 0R16 (12.67 µg/mL)) (Figure S1, Table S1). The majority of the strains fixed nitrogen (73.46%) and produced ammonia (67.34%). In contrast, only 24 isolates (24.48%) produced HCN. The bacterial strains were also examined for enzymatic potential. The majority (92.85%) produced an amylase, a large number of strains (61.22%) had chitinolytic potential, but less than half of the isolates produced a protease (36.73%) and a cellulase (41.83%).
All the strains tested against phytopathogenic fungi had the performance of inhibiting at least one and more fungal strains (Table S2). Overall, 55% of the strains were active on the totality of fungal strains. The fungus most sensitive to bacterial metabolites was Aspergillus niger where 97.5% of the bacteria inhibited its growth at a rate of up to 72.5% (strain OE1). More than half of the strains (55%) were active towards the other fungi the most active strains were from the Sebkha of Bazer Sakhra and Oum el Bouaghi. In addition, inhibition rates reached 73.5% against Phytophthora infestans (strain OR14) and 76% against Botrytis cinerea (strain BSN7). However, the activity of the strains against Fusarium oxysporum was lower and the best rate was 44% (strain BR6). According to data obtained ten selected strains according to the production capacity of IAA, were evaluated under stress conditions for the selection of active and tolerant strains for use in inoculating A. thaliana and wheat.
3.3. Selection of Tolerant PGPB for In Vivo Plant Growth Promotion
The ten strains were screened for their ability to tolerate different abiotic stresses. The effect of salinity significantly reduced the bacterial growth of the 10 strains (Figure S2A). In the absence of NaCl, growth was optimal. Then, a continuous and significant decrease in bacterial density, inversely proportional to the increasing concentrations of NaCl, was observed. However, the majority of strains have developed appreciably at 600 mM (OD600 ≥ 0.4). All of the strains were neutrophilic and had an optimum growth at pH 7 (Figure S2B). The alkalinity and acidity of the medium negatively affected their growth. However, certain strains (BR5, OR14 and OR15) were able to develop remarkably at pH 9. In addition, the majority of strains tolerated acidified environments. On the other hand, only one bacterium (BR5) was alkali-tolerant and grew at pH 11. Given their origin, all the strains were mesophilic, the optimal growth temperature is between 30 and 37 °C (Figure S2C). Some may also be thermotolerant (OR14 and OR15) and developed at 40 °C. The osmotic effect generated by increasing concentrations of PEG8000 in the medium negatively affected the growth of the bacterial strains (Figure S2D). The majority were osmotolerant at concentrations ranging from 10 to 20%. Only two strains isolated from Bazer Sakhra sebkha (BR5 and BR10) were able to grow at concentrations of 40%.
3.4. Molecular Characterization of Salt-Tolerant PGPR
PGPR bacteria 16S-rDNA sequence analysis revealed that RB13, BR5 and OR15 isolates are belonging to Bacillus atrophaeus. Maximum Likelihood phylogenetic tree was presented in Figure 2. Their sequences were submitted in GenBank and accession numbers were implied in the tree. Bacillus pumilis strain Pl-3 was used as outgroup (Figure S3).
Figure 2.
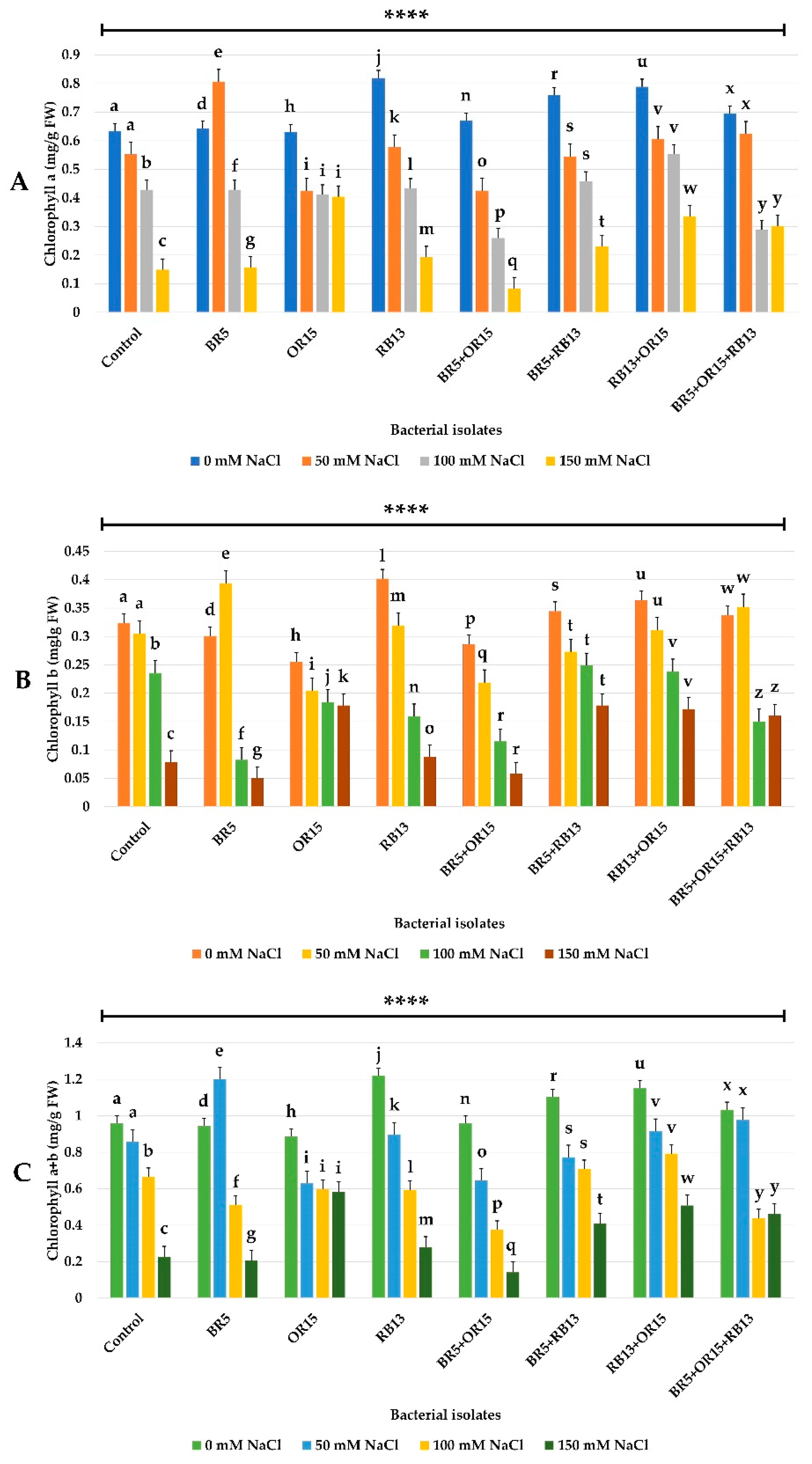
Effect of bacteria isolates on (A) Chlorophyll a (µg/g FW), (B) Chlorophyll b (µg/g FW), and (C) Chlorophyll a + b (µg/g FW) contents against different concentrations of NaCl. Values are means ± SD of three replicates. GraphPad Prism 8 was used for statistical analysis. Two-way ANOVA setting followed by Tukey’s multiple comparison post-test was used to identify the differences between different treatments each family group. Bars in each group with different letters are significantly different at p ≤ 0.05. **** indicating the significant variations p < 0.0001 in comparison to the control sample.
3.5. In Vitro Assays
3.5.1. Arabidopsis Thaliana Inoculation
Inoculation of the model plant A. thaliana with the three selected strains and their different combinations (BR15, OR15, RB13, BR5 + OR15, BR5 + RB13, OR15 + RB13, and BR5 + OR15 + RB13) was used to assess their capacity to improve growth under different salt concentrations (Figure S4 and Figure 3). Analysis of morphological parameters of the plants, root elongation (Figure S4A), fresh weight (Figure S4B) and leaf area (Figure S4C) showed a significant decrease (p ≤ 0.05) of these different growth parameters under salinity stress. Inoculation with bacteria significantly improved the weight mass (Figure S4B) and the leaf area of A. thaliana (Figure S4C) at low NaCl concentrations (0 and 50 mM). At high NaCl concentrations (100 and 150 mM), the different morphological parameters were significantly reduced. Bacterial inoculation improved the aerial part of the plants (fresh weight and leaf area) (Figure 4B,C). Whereas, the root length seemed not to be affected by the increase in salt (Figure S4A). The analysis showed that the effect of bacteria was visible either for the mono inoculation or the different combinations. However, a better response was obtained for the OR15 and RB13 strains and their combinations (Figure 4A–C).
Figure 3.
In vitro effect of bacterial isolates on Arabidopsis seedlings growth exposed to different NaCl concentrations.
Figure 4.
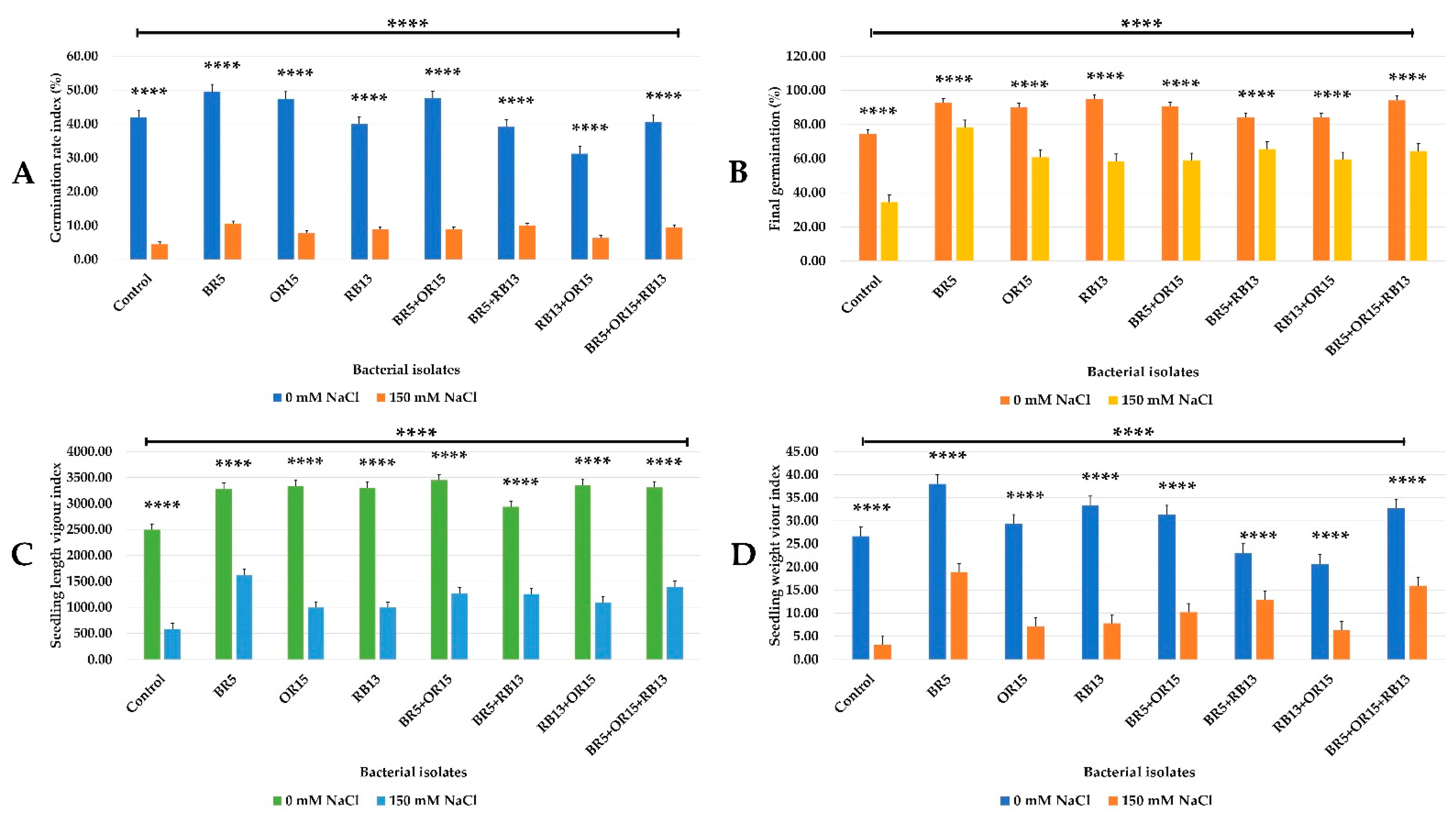
Effect of bacterial isolates on (A) Germination rate index (%), (B) Percentage of final germination, (C) Seedlings length vigor index, and (D) Seedling weight vigor index exposed to NaCl different concentrations. Values are means ± SD of three replicates. GraphPad Prism 8 was used for statistical analysis. Two-way ANOVA setting followed by Tukey’s multiple comparison post-test was used to identify the differences between different treatments each family group. Bars with stars **** indicating the significant variations p < 0.0001 in comparison to the control sample.
Salinity resulted in notable reductions in chlorophyll contents a, b and total (p < 0.01) in A. thaliana plant (Figure 2A–C). Treatments with bacteria and their combinations improved the chlorophyll a (Figure 2A), chlorophyll b (Figure 2B), and chlorophyll a + b (Figure 2C) contents at all salinity levels. Significantly improved rates were observed for the OR15 and RB13 strains and their combinations (Figure 2A–C).
3.5.2. Seed Germination of Wheat in the Presence of PGPR under Salt Stress
The treatment of durum wheat seeds with the bacterial strains and their combinations significantly improved the germination parameters with and without added salt (Figure 4 and Figure 5). The effect of seed inoculation by the different strains was noticeable on the cumulative germination rate (Figure 4A) and the final percentage of germination (Figure 4B). The BR5 strain and the combination of the three bacteria (BR5 + OR15 + RB13) showed the best final germination percentage (Figure 4B). From the results, the salinity stress decreased significantly these germination parameters (Figure 4A,B). At the concentration of 150 mM NaCl seeds bacterial inoculation allowed to considerably reduce the effects of salt stress. All bacteria improved seed germination. However, a better rate was recorded for the BR5 strain given its halotolerance capacity (Figure 4B).
Figure 5.
Effect of bacterial isolates on (A) in planta and (B) in vitro wheat seedlings growth exposed to 0 and 150 mM NaCl concentrations.
The vigor indices of germinated seeds (Figure 4C,D) defined as the level of activity and the durability of seeds were significantly enhanced after inoculation by bacteria and their combinations with or without salt. The best indexes were recorded for the seeds inoculated with the BR5 strain (Figure 4C,D).
3.6. In Vivo Assays
Effects of Bacterial Inoculation on Wheat Plants Growth and Development in Different Soils
The study of the experiment in pots conducted on three soils with different salinities showed that the growth of wheat represented by its morphological parameters was significantly affected by salinity and that bacterial inoculation had a significant beneficial effect on these parameters (Figure 6 and Figure 7).
Figure 6.
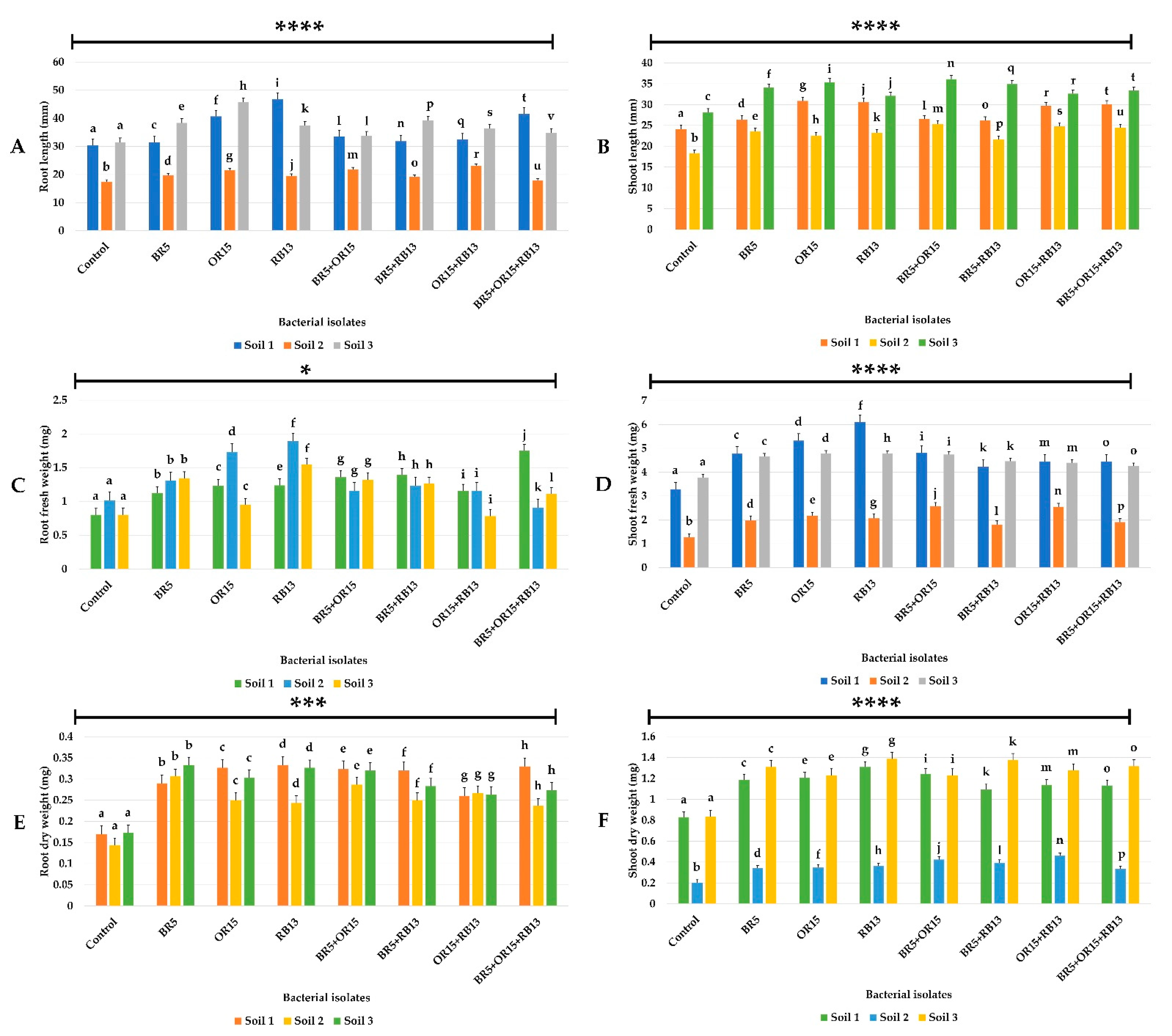
Effect of bacteria isolates on (A,B) Root and shoot length (cm), (C,D) Root and shoot fresh weight (g), and (E,F) Root and shoot dry weight exposed to different concentrations of NaCl. Values are means ± SD of three replicates. GraphPad Prism 8 was used for statistical analysis. Two-way ANOVA setting followed by Tukey’s multiple comparison post-test was used to identify the differences between different treatments each family group. Bars in each group with different letters are significantly different at p ≤ 0.05. Bars with stars *, ***, **** indicating the significant variations p < 0.1, p < 0.001 and p < 0.0001 respectively in comparison to the control sample.
Figure 7.
In planta evaluation of different bacterial isolates on wheat seedlings and their root systems in three different soils.
The length of the roots (Figure 6A) was significantly affected by the composition of the soils and by the contribution of bacteria where an important increase was noted in the roots inoculated for the soil 1 and 3 compared to the control. However, the beneficial effect of bacteria for soil 2 was minimal. Furthermore, the length of the shoots (Figure 6B) was significantly improved in the presence of bacteria and the best rates were recorded for soil 3 and soil 1. Soil 2 was the most stressful, the supply of bacterial inoculation existed but remained low. The bacterial inoculation also significantly increased the fresh and dry weight of the shoots with the different bacteria and their combinations in comparison with the control (Figure 6D,F). This increase was important by the contribution of bacteria in the less saline soils (soil 1 and 3) where there was no significant difference between these two treatments. The results showed that inoculation had a stimulating effect on plant growth and development. The best rate of fresh weight was recorded for the RB13 strain inoculated in fertile soil. The aerial part weight of the plants on saline soil (soil 2) was much lower but the beneficial effect of the bacterial inoculation was noticeable. The inoculation increased the fresh and dry weight of the roots (Figure 6C,E). There was no significant difference between the different soils and the root system seemed to be developed similarly in the three soils. However, the best fresh weights of roots recorded were for the plants grown in soil 2 inoculated with the OR15 and RB13 strains. The combination of the three strains improved the fresh weight of the roots but in the soil 1.
3.7. Effects on Photosynthetic Pigments and Biochemical Markers
3.7.1. Chlorophyll Content
The chlorophyll pigments of wheat plants showed significantly different values depending on the composition of the soil and the bacterial treatments (Figure S5). The data revealed that the salinity of the soils affected the chlorophyll content and that bacterial inoculation improved this content in the wheat plant by reducing stress at different levels of salinity.
Plants in soil 1 and 2 showed high levels of chlorophyll content when inoculated by bacteria. Chlorophyll a increased markedly after inoculation with all strains and the different combinations except strain BR5 which had a lower rate (Figure S5A). Chlorophyll levels in soil 3 seemed to be improved, especially for monoculture inoculations. The contents of chlorophyll b and total followed the same rate (Figure S5B,C). It should also be noted that these rates had increased markedly for plants of soil 2 and 3 inoculated with the BR5 strain. The carotenoids content (Figure S5D) also displayed significantly high values in plants treated with bacteria whatever the nature of the soil, however, the BR5 strain had a better rate for the most stressful soil. Carotenoids contents were less expressed in soil 3 except OR15 strain which had a higher level.
3.7.2. Total Soluble Sugars Content
Significant variation was observed in the sugar content of the roots and shoots of inoculated and non-inoculated plants growing in different soils (Figure S6A,B). The sugar contents of wheat plants varied according to the nature of the soil and the bacteria used. The sugar content for the roots was significantly different (Figure S6A). The stress of soil 2 did not seem to be offset by an accumulation of sugars. In contrast, the remarkable effect of bacterial inoculation was observed for plants cultivated in soil 3 where bacterial inoculation with the RB13 strain and co-inoculation BR5 + RB13 increased the sugar content compared to others treatments (Figure S6A). In general, the leaf contents of sugars were increased compared to the controls. The nature of the soil did not seem to affect the foliar content of sugars except plants inoculated with the BR5, OR15 strains, OR15 + RB13, or BR5 + OR15 + RB13 which allowed a significant improvement in these compounds (Figure S6B).
3.7.3. Protein Content
The protein content in the roots and shoots depended on the treatments and the soil used (Figure S6C,D). The positive effect of bacterial inoculation on protein contents was observed, especially in plants cultivated in soil 1 and 3. The roots and shoots concentrations of plants cultivated in soil 2 were not very variable in all types of treatment.
3.7.4. Proline Content Estimation
Foliar and root proline concentrations were affected by soil salinity (Figure S6E,F). The concentrations were greatly increased in soil 2 and reached levels of 200 µg/g FW and 280 µg/g FW respectively. Proline levels were low in the roots and moderate in the shoots for soil 1 and 3. Inoculation with bacteria reduced the root and foliar concentrations of proline in soil 2, essentially, when strains BR5 and RB13 and all the other combinations were used.
3.7.5. Lipid Peroxidation
The effect of soil on MDA concentrations was significantly different (Figure S6G,H). MDA contents were not noticeable at the root level but it was remarkable at the leaf level, the MDA concentrations in soil 1 were 1.56 and 3.64 times in compared to soil 2 and 3, respectively. A great decrease in the concentration of MDA was generally observed mainly in the roots of plants inoculated by strains BR5 and OR15 in soils 2 and 3 (Figure S6G) and in the shoots of plants inoculated by different bacterial treatments for soils 1 and 2 (Figure S6H).
3.7.6. Effects on Antioxidant Enzymes Activities
The roots and shoots antioxidant enzymatic activities of the plants were different in the three soils (Figure S7). They were more intense in soil 2 for the enzymes APX (Figure S7A,B), GPX (Figure S7C,D), and SOD (Figure S7E,F), less variable for roots CAT (Figure S7G) and higher for foliar CAT (Figure S7H) in soil 1. However, the results of bacterial treatments on the activities of the enzymes were variable, a noticeable reduction in APX and CAT was observed under the effect of the 3 bacteria and their different combinations in the 3 soils. Whereas, the reduction of the GPX and SOD enzymes were clear under the effect of co-inoculation with a combination between 2 or 3 bacteria.
4. Discussion
Salinity is a major factor limiting plant growth and productivity. Based on their adaptive evolution, some plants, especially halophytes, can resist salinity compared to glycophytes that cannot resist and die. Therefore, the microorganisms associated with these halophytes were able to tolerate, survive and proliferate in the soil and rhizosphere of this hostile environment [20]. The beneficial bacteria associated with these plants colonized the rhizosphere and have an important role in the resistance of plants to saline stress. Plants inoculated with these bacteria induced biochemical and morphological changes leading to increased tolerance to abiotic stress. The current research focused primarily on microorganisms associated with the rhizosphere of halophytes, with PGP activities and high salt tolerance, they are therefore the most suitable candidate for the growth and improvement of the yield of glycophytic plants in areas affected by salt [21].
In this study, 98 strains were isolated from the rhizosphere and endosphere of two species of halophytes (Suaeda mollis and Salsola tetrendra) and salt soils were located in three different Chotts in eastern Algeria. The physico-chemical characteristics of the sampling sites showed that these soils were highly saline (Ec ranging from 22.95 to 30.34 mS/cm) and had a slightly basic pH (pH 7.99 to 8.05). Of these isolates, 44.89% were rhizosphere bacteria, the number of cultivable bacteria isolated from the rhizosphere soil of the halophyte was higher than the number of non-rhizosphere and endophytic bacteria. This high number of bacteria in the rhizosphere was related to the richness of this zone in secreted root exudates. Such results were observed by Mapelli et al. [22], where the Salicornia rhizosphere appeared to be a very rich habitat of bacterial communities in comparison with non-rhizosphere soil. This comes back to the rhizosphere effect which was described by several authors [3,22,23]. Many authors have specified that mucilage and exudates are the most important sources of organic matter brought to the soil and assimilated by telluric microflora [23].
Bacteria isolated from these areas also had plant growth-promoting properties [20]. In our study of the isolates tested, 73.46% showed nitrogen fixation activity. Nitrogen (N) is one of the main nutrients through which the plant benefits from the microbial association. The inoculation of rhizobacteria in agricultural soil to replace the use of nitrogen fertilizers had shown a marked improvement in crop yield [24]. The mineral phosphate supply was also one of the main activities for improving plant growth. Data from this study showed that 26.53% of strains were capable of solubilizing phosphate. They can be considered as biofertilizers because they could release a quantity of soluble p which can be assimilated by plants. The percentage of strains obtained was low compared to other works. It was generally accepted that the nature of the soil had an impact on the performance of strains [3].
The synthesis of plant growth hormones, including IAA, is a very common faculty in PGPR. All strains isolated were capable of producing IAA at levels varying from 2.25 µg/mL to 13.83 µg/mL. The highest values were obtained by the rhizospheric isolates of Oum Bouaghi OR16 (12.67 µg/mL), OR15 (13.83 µg/mL), OR14 (10.06 µg/mL). Among the phytohormones, most salt-tolerant PGPR induced IAA biosynthesis. The variation in the amount of IAA produced by the PGPR was, however, species-specific. A high level of IAA produced by halotolerant rhizobacteria was responsible for increased root growth in saline soils. Phytohormones are essential for regulating plant responses and maintaining normal plant physiology to confer tolerance to salinity and other environmental stresses [23]. The responses of plants to salinity induce various alterations in molecular, biochemical and physiological aspects. Modulating the hormonal balance of plants is one of the strategies that PGPR adapted to improve plant growth. PGPR can also alter hormonal signaling from root to shoot, thereby improving salt tolerance in crops [25].
The siderophores production capacity of PGPR increases the availability of micronutrients for plants. Bacterial siderophores are used by plants as a source of iron. Additionally, bacterial siderophores act as protectors against pathogenic microorganisms and their deleterious effects on plant growth [26]. In the present study, 47.95% of the isolates were positive for the production of siderophores of which 48.93% were rhizosphere bacteria. Siderophores are Fe chelating compounds and have a strong affinity for iron. Siderophores make iron more accessible to plants by forming a Fe-siderophores complex. In saline and sodium soils, the level of iron available for uptake by plants is limited. Then in this type of soil, iron, and other micronutrients required by plants resulted in deficiency [27]. In parallel with auxin production, the growth of plants in these soil types is supported by rhizosphere bacteria producing siderophores.
Volatile substances are also involved in the suppression of various pathogens. Ammonia produced as an intermediate in the amino acid catabolism of root exudates can help supply the nitrogen requirement of the host plant and in large amounts suppresses the colonization of plants by pathogens. The production of NH3 was very common in isolated strains where 67.34% produced ammonia. This rate was comparable to those mentioned by several studies [3,4].
HCN is a secondary metabolite produced by several PGPR. Although this compound is a general metabolic inhibitor, it is excreted as a means of avoiding predation or competition. It is highly toxic to all aerobic microorganisms, without affecting the producing microbes. In our study, 24.48% of the isolates could produce HCN. It has been shown that strains capable of producing HCN and siderophores showed inhibitory activity against several phytopathogenic fungi [28].
The existence of hydrolytic enzymes associated with PGPRs is a necessary characteristic to detect the most effective strains. Their presence limits the growth of fungal phytopathogens and reinforces the resistance of plants against these diseases [28]. The enzymatic potential of the isolates was evaluated by the production of amylase (92.85%), chitinase (61.22%), cellulase (41.83%), and protease (36.73%). Chitinase, for example, breaks down the fungal cell wall and causes lysis of fungal cells. Additionally, the chitin and glucan oligomers released during the breakdown of the fungal cell wall act as elicitors that trigger various defense mechanisms in plants. These enzymes were produced by various bacteria such as Pseudomonas stutzeri capable of lysing the pathogen Fusarium sp. [23].
The antifungal activity carried out on 40 isolates selected according to their PGP activity, showed that 55% of them inhibited the growth of phytopathogenic fungi. The antifungal metabolites were more active against A. niger where the majority (97.5%) of the strains inhibited it at a rate of 72.5% for the OE1 strain. On the other hand, F. oxysporum was the least sensitive [4], it was inhibited at a rate of 44% (strain BR6). It has been well demonstrated that indigenous microorganisms associated with plants in agro-desert ecosystems have a significant antagonistic potential against phytopathogens [13].
In order to select strains tolerant to various abiotic constraints, 10 strains were evaluated for their ability to grow at different concentrations of NaCl, PEG8000, and different pH and temperature values. The majority of strains had grown in a wide range of stress tested. Most strains grew appreciably up to 400 mM NaCl and tolerated 20% PEG. These findings confirmed the close link between strain tolerance and their origin. Bacteria associated with halophytic plants can tolerate salt levels ranging from 4 to 30%. These PGPR tolerated salinity up to at least 3% NaCl [29] and were able to survive in the rhizosphere of plants due to their persistence and competitiveness in saline and arid soil conditions. However, most isolates had optimal growth between 30 and 37 °C and at pH 7 except of some strains which were able to grow at 40 °C and at alkaline pH (pH 9) or even very alkaline pH (pH 11) for strain BR5. Temperature is one of the most important factors governing the physiology and growth of microorganisms. The strain’s ability to grow over a wide pH range is evidence to its ability to survive. Strain tolerance is a strain-specific trait. Indeed, the stressful sampling environment promotes the development of efficient bacteria. It is agreed that stress is an inducer of bacterial species activity [30]. Fluctuating ecosystems promote the development of bacteria with good stress tolerance, this supposes the existence of selection pressure exerted by the natural environment.
Three representative strains from each sample site with the best PGP activities and the best stress tolerance capacity were chosen and identified after 16S-rDNA sequencing. The BR5, OR15, and RB13 strains belong to Bacillus atrophaeus. The Bacilli represent a significant fraction of the microbial community in soil. This genus is ubiquitous and can survive in several environments based on its sporulating capacity. Moreover, Bacillus strains exhibit several characteristics which improve their survival in the rhizosphere and their efficiency as PGPR. It has been shown that when environmental conditions are more selective, microbiome variability can be simplified, and taxonomic diversity is limited [31].
It has also been reported that in saline ecosystems native halophytes such as Salicornia sp. retain a rhizosphere bacterial community, homogeneous in the composition of taxa [22].
To test the PGP potential of the selected strains of Bacillus (BR5, OR15, and RB13) on plants, plants of Arabidopsis thaliana were inoculated with each strain and their different combinations compared to the control plants not inoculated under saline stress conditions (0, 50, 100, and 150 mM NaCl). The results showed a significant decrease in the different growth parameters (total foliar area, plant weight, root length, and chlorophyll content) under salinity stress. The responses of plants to salinity induce various alterations in the biochemical and physiological structural aspects. Different studies have reported that salinity affects plants in several ways, the rate of leaf area expansion decreases along with a reduction in the rate of leaf production resulting in plant death [32]. Salinity can increase the biosynthesis of certain hormones such as ethylene to high enough levels which can lead to physiological changes in plant tissue. Inoculation with the bacteria considerably improved the growth parameters of A. thaliana. Similar results of promoting the growth of A. thaliana plants (total leaf area, plant weight, chlorophyll content, and root length) have already been reported by several works using various species of PGPR such as Burkholderia phytofirmans [33], Phyllobacterium brassicacearum STM196 [34], and Bacillus subtilis GB03 [35]. At high concentrations of NaCl (100 and 150 mM), the various morphological parameters were significantly reduced. Bacterial inoculation (including OR15 and RB13) and their combination improved the aerial part of the plants (fresh weight and leaf surface) and the chlorophyll content. While root length did not seem to be affected by the increase in the salt. It could be interpreted that auxin produced by these strains could be responsible for the promotion of growth and salt tolerance. Auxin is one of the important plant hormones responsible for the formation of lateral roots at different stages of development. The IAA is the plant growth regulator; it can enter plant cells and stimulate root growth [36]. In our study, strains BR5, OR15, and RB13 produced IAA with amounts comparable to those reported by Farah et al. [37] produced by Azotobacter, Pseudomonas and Bacillus strains isolated from rhizosphere soil. Roots treated with IAA-producing strain Pseudomonas putida improved canola seed roots by 35–50% compared to an IAA-deficient strain [36].
Determining the germination potential of seeds under saline conditions is another consideration when selecting PGPR effective in salt stress tolerance. Final seed germination and the germination rate of wheat decreased in the presence of salt, which was common in several plant species [38]. Salt stress vigorously affects germinating seeds compared to growing plants, as germination normally occurs in soil surfaces where soluble salts accumulate due to evaporation. Restricted water availability and ion accumulation lead to reduced germination, many changes in the enzymatic and hormonal activities of the seeds and affect the structural organization of the germinating embryo [39].
The treatment of durum wheat seeds with the bacterial strains and their combinations considerably improved the germination parameters with and without added salt. The effect of seed inoculation by the different strains was visible on the cumulative germination rate and the final germination percentage. The best levels were obtained after inoculation with the BR5 strain and the combination of the three strains. The use of salt-tolerant bacteria was an effective strategy for seed priming and eventually plant yield [32]. Germination vigor indices were also significantly improved after the inoculation with bacteria and their combinations with or without salt. A significant increase in the vigor of the seedlings would be produced by a better synthesis of auxins by PGPR which directly improves different cell defense systems triggering early germination even under stress conditions. Quick and healthy seed germination is the first step in achieving vigorous plant production [40].
The effect of inoculation with rhizobacteria and their combination on the plant growth of wheat was carried out in pots on three soils of different salinities. This test makes it possible to verify the competence of the strains in the possibility of using them as biofertilizers for plant crops on saline soils or irrigated by saline waters. For this, the soils used were taken directly from the periphery of the Chotts and different places, having high electrical conductivity values (S2 = 3.81 and S3 = 2.80 mS/cm) in comparison with a non-saline control soil (S1 = 0.48 mS/cm). The results obtained showed that the growth of wheat represented by its morphological parameters was significantly affected by salinity and that bacterial inoculation had a significant beneficial effect on these parameters. In this study, salinity was observed to reduce plant height, root length, and fresh and dry weight of shoots and roots. These results were similar to those of many studies [3,20,24]. The most common effects of salinity are loss of turgor, reduced growth, resulting in smaller leaves, shorter stature, early senescence, loss of cell integrity, tissue necrosis, and even plant death [27].
However, in this test, inoculation of wheat plants showed a positive effect at all salinity levels for plant height, root length, and fresh, dry shoot and root weight (even minimal for the most stressful soil 2). These results suggested that stress was lower in the inoculated plants, with evidence that inoculation can effectively reduce saline stress. PGPR induce changes in the outer layers of the root cortex allowing increased cell division at the ends of wheat seedlings [41]. This phenomenon could be attributed to the production of auxin, inhibition of ethylene synthesis, or mineralization of nutrients [28], or even decreased absorption of toxic ions [41].
Chlorophyll analysis is one of the important biochemical parameters as an indicator of salt tolerance and plant protection capacity [32]. The results relating to the chlorophyll contents showed that the salinity stress led to a significant reduction in the chlorophyll contents [42,43,44]. This decrease could be due to high osmotic stress resulting in reduced assimilation of essential minerals [45]. A deficiency in these minerals, especially N, could lead to inhibition of the formation of chlorophyll molecules [44]. Additionally, a high concentration of salts in the leaves could cause overproduction of reactive oxygen species (ROS) and destroy all protein components of the chloroplast [43]. On the other hand, inoculation of PGPR resulted in an improvement in the chlorophyll and carotenoid contents compared with the respective uninoculated controls. Improvement by PGPRs of the chlorophyll content in many plants cultivated under abiotic stress conditions had been previously described [35,46]. It was noted that for the different treatments the multi-strain combination showed a significant improvement in the chlorophyll and carotenoid contents compared to the other isolates and the uninoculated controls [47]. Application of a multi-strain consortium could be due to increased solubilization and mobilization of minerals. Plants can also protect themselves from salt stress by accumulating compatible solutes such as sugars and amino acids for intercellular osmotic adjustment or by synthesizing antioxidant enzymes, which decrease excessive ROS and maintain membrane stability [48].
The highest chlorophyll and carotenoid contents were recorded in the cases inoculated by the different combinations in soils 1 and 2. However in soil 3, despite its low salinity compared to soil 2, the chlorophyll and carotenoids contents were lower and similar for the different treatments excepted for OR15 strain which seemed to improve the carotenoid content. These results confirmed that factors affecting plant yield are not only limited to chlorophyll content and that photosynthetic efficiency is also linked to a range of factors [49]. Under salinity stress in soil 2, the BR5 strain caused a strong increase in the chlorophyll content which could be due to the halotolerant nature of this strain reducing the sodium accumulation which was associated with higher chlorophyll content. The reduction of chlorophyll is possibly related to the sensitivity of one of the stages of its biosynthesis to sodium chloride. The latter affects the chlorophyll b biosynthesis pathway less [50].
Analysis of the total soluble sugars content revealed that the saline stress significantly increased the quantity of these molecules in the plant, essentially at the root level, in the case of soils 2 and 3. The accumulation of total sugars in salt-stressed plants is a means of osmotic adjustment. These molecules play a vital role in osmoprotectant and carbon storage. Their accumulation induced by salt stress was further enhanced by PGPR. However, this was variable depending on the type of treatment. It was significantly increased by inoculation with RB13 or BR5 + RB13, OR15 + RB13, or BR5 + OR15 + RB13 co-inoculations. The increase in total sugars in stressed inoculated plants had been attributed to higher photosynthesis and starch degradation [51]. Therefore, an increase in the total sugars content following inoculation or co-inoculation with PGPRs significantly contributes to the growth of plants against salt stress by modulating defense strategies.
An increase in protein content was recorded in plants inoculated with PGPRs. Inoculation improved protein content, which may be due to a decrease in the effect of salinity by PGPR strains and an increase in N uptake by the plant, which is an important protein constituent. The increase in antioxidant activity reduces the damage of proteins and amino acids. Many studies reported that PGPR-induced increase in leaf protein content in cereals and legumes [52].
Saline stress tolerance mechanisms often include the accumulation of proline. In our study, foliar and root proline concentrations were high in plants grown in saline soil (soil 2). Proline has been reported to reduce enzymatic denaturation caused by NaCl and other stresses. Accumulation of proline attenuates the reduction in the activity of antioxidant enzymes induced by saline stress. Proline is considered not only as a compatible solute and an osmoprotectant, but also as a scavenger of hydroxyl radicals. Under stressful conditions, proline stabilizes proteins, membranes and sub-cellular structures and protects cellular functions by eliminating ROS [53]. Inoculation reduced the accumulation of proline in the plant grown in the same soil. Studies on the impact of PGPR on proline concentration in stressed plants are contradictory. Many studies have reported that proline levels are higher in inoculated plants compared to uninoculated plants while others have reported lower proline content in plants inoculated with PGPR. These disagreements can be due to different bacterial species, the mechanism of bacterial communication with the plant, the interaction between bacteria, and the intensity of salt stress. Besides its role as an osmoprotectant, proline is also considered to be a stress marker. As a result, inoculated plants may accumulate less proline as stress is reduced [38]. There was no difference in proline content between inoculation treatments and controls under normal conditions, which was consistent with the result published by García et al. [54], indicating that PGPR inoculation did not influence proline content under stress-free conditions.
Lipid peroxidation measured by MDA levels is an oxidative degradation process of lipids which results in the production of ROS. The most common targets for lipid peroxidation are biological membranes. These modifications lead to functional changes that disrupt cell metabolism [55]. Therefore, increased lipid peroxidation is considered an indication of increased oxidative damage often applied to estimate the tolerance of plants to salinity and drought. In the present study, an increase in lipid peroxidation at the leaf level in the three soils was noted, however, the PGPR treatment reduced the levels of MDA in plants grown in saline soils. Comparable results have been reported in cucumber plants treated with PGPR under drought stress, in white clover [56] inoculated and cultivated under saline conditions. A significant reduction in MDA content had been shown in soybean plants inoculated with Azospirillum brasilense and A. chrococcum compared to uninoculated controls under unstressed and drought-stressed conditions [54]. This reduction in lipid peroxidation because PGPRs reduced cellular damage was caused by abiotic stress and increased tolerance to environmental stress.
Antioxidant enzymes play a critical role in detoxifying the destructive effects of ROS created in plants under water or salt stress. Under saline conditions (Soil 2), the activities of APX, GPX, and SOD enzymes were more intense, while those of CAT were little variable. According to, Upadhyay et al. [57], the activity of antioxidant enzymes in wheat was improved with an increasing salt concentration in the soil. The induction of enzymes activities of CAT, POX, and APX under salt stress was higher in salt-tolerant cultivars [58]. The decrease in antioxidant enzymatic activities observed after inoculation with PGPR can be attributed to the enhancement of the adverse effects of salt stress thus reducing the production of ROS. These results were consistent with those reported by Khan et al. [55] who reported that PGPR inoculation reduced SOD activity in susceptible cultivars of Oryza sativa and improved resistance to saline stress. The results of the reduction of the antioxidant enzyme, APX, CAT, and glutathione reductase (GR) following the treatment of wheat with B. subtilis and Arthrobacter sp. under stress conditions have been reported by Upadhyay et al. [57]. In contrary, Singh and Jha [59] showed that inoculation of wheat with Stenotrophomonas maltophilia increased the activities of SOD, CAT, and POX under saline conditions. The best conclusion that can be drawn from these somewhat contradictory results is that each PGPR strain has a specific enzymatic potential which can be expressed or suppressed under normal or stressful environmental conditions. In addition, a bacterium can have different effects when interacting with a plant. The interactions of microbial communities associated with plants are complex and their consequences on plant health define the microbiome which can enhance growth in various ways [60].
5. Conclusions
The results of this study clearly indicate that BR5, OR15, and RB13 strains showed interesting and promising results to mitigate the salinity issue. These bacteria and their combinations were able to promote the growth parameters and the chlorophyll content of A. thaliana, as well as improving the durum wheat final seed germination in the presence of salt (150 mM NaCl). This study has extended the range of the halotolerant PGPR strains that have promising results and it can be used as biofertilizers to reduce salinity and for the benefit of the plants.
Supplementary Materials
The following are available online at https://www.mdpi.com/2076-3417/11/3/1034/s1, Figure S1: PGP activities of different strains in (A) Sebkha Bazer Sakhra, (B) Oum El Bouaghi and (C) Baniou locations. Figure S2: Growth of bacterial strains against (A) different NaCl concentrations, (B) pH values, (C) temperatures and (D) percentages of polyethylene glycol (PEG). Values are means ± SD of three replicates. Bars in each group with different letters are significantly different at p ≤ 0.05 according to Tukey’s multiple comparison post-test. Figure S3: Maximum Likelihood phylogenetic tree of Gram-positive bacteria including Bacillus atrophaeus. Bacillus pumilis strain PL-3 was used as outgroup. Supports for branches were assessed by bootstrap resampling of the data set with 1000 replications. (Accession numbers of RB13, BR5 and OR15 are MT644481, MT644479 and MT644480 respectively). Figure S4: Effect of bacterial isolates on (A) Root length (cm), (B) Root fresh weight (mg) and (c) Leaf area (cm2) against different concentrations of NaCl. Values are means ± SD of three replicates. GraphPad Prism 8 was used for statistical analysis. Two-way ANOVA setting followed by Tukey’s multiple comparison post-test was used to identify the differences between different treatments. Bars in each group with different letters are significantly different at p ≤ 0.05. Figure S5: Effect of bacteria isolates on (A) Chlorophyll a (µg/g FW), (B) Chlorophyll b (µg/g FW), (C) Chlorophyll a+b (µg/g FW) and (D) Carotenoids (µg/g FW) contents exposed to different concentrations of NaCl in 3 different soils. Values are means ± SD of three replicates. GraphPad Prism 8 was used for statistical analysis. Two-way ANOVA setting followed by Tukey’s multiple comparison post-test was used to identify the differences between different treatments in each family group. Bars in each group with different letters are significantly different at p ≤ 0.05. Figure S6: Effect of bacteria isolates on (A,B) Root and shoot total sugars (mg/g FW), (C,D) Root and shoot total proteins (mg/g FW), (E,F) Root and shoot proline content (µg/g FW) and (G,H) Root and shoot malondialdehyde (MDA) content (µM/g FW) exposed to different concentrations of NaCl in 3 different soils. Values are means ± SD of three replicates. GraphPad Prism 8 was used for statistical analysis. Two-way ANOVA setting followed by Tukey’s multiple comparison post-test was used to identify the differences between different treatments each family group. Bars in each group with different letters are significantly different at p ≤ 0.05. Figure S7: Effect of bacteria isolates on (A,B) Root and shoot ascorbate peptidase (APX) content (µmole/min/mg protein), (C,D) Root and shoot guaiacol peroxidase (GPX) content (U/min/mg protein), (E,F) Root and shoot superoxide dismutase (SOD) content (U/min/mg protein) and (G,H) Root and shoot catalase (CAT) content (U/min/mg protein) exposed to different concentrations of NaCl in 3 different soils. Values are means ± SD of three replicates. GraphPad Prism 8 was used for statistical analysis. Two-way ANOVA setting followed by Tukey’s multiple comparison post-test was used to identify the differences between different treatments each family group. Bars in each group with different letters are significantly different at p ≤ 0.05. Table S1 IAA production of strains from different locations (A) Sebkha Bazer Sakhra, (B) Oum El Bouaghi and (C) Baniou locations. Table S2: Antifungal assay of selected strains
Author Contributions
Conceived and designed the experiments: S.K., H.C.-S. and L.B. Performed the experiments: S.K., H.C.-S., A.S. and L.B. Analyzed the data: H.C.-S., A.S., M.E. and A.C.B. Contributed reagents/materials/analysis tools: S.K., H.C.-S., A.S., N.E.H.R. and L.B. Wrote and enriched the literature: L.B., H.C.-S., A.S. and A.C.B. Edited the manuscript: L.B., H.C.-S., A.S., A.C.B., M.E. and L.B. All authors have read and agreed to the published version of the manuscript.
Funding
This work was supported by the Algerian Ministry of Higher Education and Scientific Research.
Institutional Review Board Statement
Not applicable.
Informed Consent Statement
Not applicable.
Conflicts of Interest
The authors declare that there is no conflict of interest.
References
- Rekik, I.; Chaabane, Z.; Missaoui, A.; Chenari Bouket, A.; Luptakova, L.; Elleuch, A.; Belbahri, L. Effects of untreated and treated wastewater at the morphological, physiological and biochemical levels on seed germination and development of sorghum (Sorghum bicolor (L.) Moench), alfalfa (Medicago sativa L.) and fescue (Festuca arundinacea Schreb.). J. Hazard. Mater. 2017, 326, 165–176. [Google Scholar] [CrossRef] [PubMed]
- Frikha-Dammak, D.; Zarai, Z.; Najah, S.; Abdennabi, R.; Belbahri, L.; Rateb, M.E.; Mejdoub, H.; Maalej, S. Antagonistic properties of some halophilic thermoactinomycetes isolated from superficial sediment of a solar saltern and production of cyclic antimicrobial peptides by the novel isolate Paludifilum halophilum. BioMed Res. Int. 2017, 2017, 1205258. [Google Scholar] [CrossRef] [PubMed]
- Cherif-Silini, H.; Thissera, B.; Chenari Bouket, A.; Saadaoui, N.; Silini, A.; Eshelli, M.; Alenezi, F.N.; Vallat, A.; Luptakova, L.; Yahiaoui, B.; et al. Durum wheat stress tolerance induced by endophyte Pantoea agglomerans with genes contributing to plant functions and secondary metabolite arsenal. Int. J. Mol. Sci. 2019, 20, 3989. [Google Scholar] [CrossRef] [PubMed]
- Slama, H.B.; Cherif-Silini, H.; Chenari Bouket, A.; Qader, M.; Silini, A.; Yahiaoui, B.; Alenezi, F.N.; Luptakova, L.; Triki, M.A.; Vallat, A.; et al. Screening for Fusarium antagonistic bacteria from contrasting niches designated the endophyte Bacillus halotolerants as plant warden against Fusarium. Front. Microbiol. 2019, 9, 3236. [Google Scholar] [CrossRef] [PubMed]
- Munns, R. Comparative physiology of salt and water stress. Plant Cell Environ. 2002, 25, 239–250. [Google Scholar] [CrossRef]
- Pegler, J.L.; Grof, C.P.L.; Eamens, A.L. Profiling of the differential abundance of drought and salt stress-responsive microRNAs across grass crop and genetic model plant species. Agronomy 2018, 8, 118. [Google Scholar] [CrossRef]
- Lara, E.; Belbahri, L. SSU rRNA reveals major trends in oomycete evolution. Fungal Divers. 2011, 49, 93–100. [Google Scholar] [CrossRef]
- Luchi, N.; Ghelardini, L.; Belbahri, L.; Quartier, M.; Santini, A. Rapid detection of Ceratocystis platani inoculum by quantitative Real-Time PCR assay. Appl. Environ. Microbiol. 2013, 79, 5394–5404. [Google Scholar] [CrossRef]
- Bellabarba, A.; Fagorzi, C.; di Cenzo, G.C.; Pini, F.; Viti, C.; Checcucci, A. Deciphering the symbiotic plant microbiome: Translating the most recent discoveries on rhizobia for the improvement of agricultural practices in metal-contaminated and high saline lands. Agronomy 2019, 9, 529. [Google Scholar] [CrossRef]
- Belbahri, L.; Chenari Bouket, A.; Rekik, I.; Alenezi, F.N.; Vallat, A.; Luptakova, L.; Petrovova, E.; Oszako, T.; Cherrad, S.; Vacher, S.; et al. Comparative genomics of Bacillus amyloliquefaciens strains reveals a core genome with traits for habitat adaptation and a secondary metabolites rich accessory genome. Front. Microbiol. 2017, 8, 1438. [Google Scholar] [CrossRef]
- Mefteh, F.B.; Chenari Bouket, A.; Daoud, A.; Luptakova, L.; Alenezi, F.N.; Gharsallah, N.; Belbahri, L. Metagenomic insights and genomic analysis of phosphogypsum and its associated plant endophytic microbiomes reveals valuable actors for waste bioremediation. Microorganisms 2019, 7, 382. [Google Scholar] [CrossRef] [PubMed]
- Mefteh, F.B.; Frikha, F.; Daoud, A.; Chenari Bouket, A.; Luptakova, L.; Alenezi, F.N.; Al-Anzi, B.S.; Oszako, T.; Gharsallah, N.; Belbahri, L. Response surface methodology optimization of an acidic protease produced by Penicillium bilaiae isolate TDPEF30, a newly recovered endophytic fungus from healthy roots of date palm trees (Phoenix dactylifera L.). Microorganisms 2019, 7, 74. [Google Scholar] [CrossRef] [PubMed]
- Cheffi, M.; Chenari Bouket, A.; Alenezi, F.N.; Luptakova, L.; Belka, M.; Vallat, A.; Rateb, M.E.; Tounsi, S.; Triki, M.A.; Belbahri, L. Olea europaea L. root endophyte Bacillus velezensis OEE1 counteracts oomycete and fungal harmful pathogens and harbours a large repertoire of secreted and volatile metabolites and beneficial functional genes. Microorganisms 2019, 7, 314. [Google Scholar] [CrossRef] [PubMed]
- Dhouib, H.; Zouari, I.; Abdallah, D.B.; Belbahri, L.; Taktak, W.; Triki, M.A.; Tounsi, S. Potential of a novel endophytic Bacillus velezensis in tomato growth promotion and protection against Verticillium wilt disease. Biol. Control 2019, 139, 104092. [Google Scholar] [CrossRef]
- Abdul-Baki, B.A.A.; Anderson, J.D. Relationship between decorboxylation of glutamic acid and vigor in soyabean seed. Crop Sci. 1973, 13, 227–234. [Google Scholar] [CrossRef]
- Dubois, M.; Gilles, K.A.; Hamilton, J.K.; Rebers, P.A.; Smith, F. Phenol-sulfuric total sugar. Anal Chem. 1956, 28, 350–356. [Google Scholar] [CrossRef]
- Carrillo, P.; Mastrolonardo, G.; Nacca, F.; Parisi, D.; Verlotta, A.; Fuggi, A. Nitrogen metabolism in durum wheat under salinity: accumulation of proline and glycine betaine. Funct. Plant Biol. 2008, 35, 412–426. [Google Scholar] [CrossRef]
- Lowry, O.H.; Rosbrough, N.J.; Farr, A.L.; Randall, R.J. Protein measurement with the folin phenol reagent. J. Biol. Chem. 1951, 193, 265. [Google Scholar] [CrossRef]
- Aebi, H. Catalase in vitro. In Methods in Enzymology; Elsevier: Amsterdam, The Netherlands, 1984; Volume 105, pp. 121–126. [Google Scholar]
- Etesami, H.; Beattie, G.A. Mining halophytes for plant growth-promoting halotolerant bacteria to enhance the salinity tolerance of non-halophytic crops. Front. Microbiol. 2018, 9, 14. [Google Scholar] [CrossRef]
- Durán, R.E.; Méndez, V.; Rodríguez-Castro, L.; Barra-Sanhueza, B.; Salvà-Serra, F.; Moore, E.R.B.; Castro-Nallar, E.; Seeger, M. Genomic and physiological traits of the marine bacterium Alcaligenes aquatilis QD168 isolated from Quintero Bay, Central Chile, reveal a robust adaptive response to environmental stressors. Front. Microbiol. 2019, 10, 528. [Google Scholar] [CrossRef]
- Mapelli, F.; Marasco, R.; Rolli, R.E.; Barbato, M.; Cherif, H.; Guesmi, A.; Ouzari, I.; Daffonchio, D.; Borin, S. Potential for plant growth promotion of rhizobacteria associated with Salicornia growing in Tunisian hypersaline soils. Biomed. Res. Int. 2013, 248078. [Google Scholar] [CrossRef]
- Rolfe, S.A.; Griffiths, J.; Ton, J. Crying out for help with root exudates: adaptive mechanisms by which stressed plants assemble health-promoting soil microbiomes. Curr. Opin. Microbiol. 2019, 49, 73–82. [Google Scholar] [CrossRef] [PubMed]
- Vessey, J.K. Plant growth promoting rhizobacteria as biofertilizers. Plant Soil 2003, 255, 571–586. [Google Scholar] [CrossRef]
- Tsukanova, K.A.; Chebotar, V.; Meyer, J.J.M.; Bibikova, T.N. Effect of plant growth-promoting rhizobacteria on plant hormone homeostasis. S. Afr. J. Bot. 2017, 113, 91–102. [Google Scholar] [CrossRef]
- Zhou, N.; Zhao, S.; Tian, C.Y. Effect of halotolerant rhizobacteria isolated from halophytes on the growth of sugar beet (Beta vulgaris L.) under salt stress. FEMS Microbiol. Lett. 2017, 364, 11. [Google Scholar] [CrossRef]
- Abbas, G.; Saqib, M.; Akhtar, J. Interactive effects of salinity and iron deficiency on different rice genotypes. J. Plant Nutr. Soil Sci. 2015, 178, 306–311. [Google Scholar] [CrossRef]
- Goswami, D.; Thakker, J.N.; Dhandhukia, P.C. Portraying mechanics of plant growth promoting rhizobacteria (PGPR). A review. Cogent Food Agric. 2016, 2, 1–19. [Google Scholar] [CrossRef]
- Egamberdieva, D.; Berg, G.; Lindström, K.; Räsänen, L.A. Alleviation of salt stress of symbiotic Galega officinalis L. (Goat’s Rue) by co-inoculation of rhizobium with root colonizing Pseudomonas. Plant Soil 2011, 369, 453–465. [Google Scholar] [CrossRef]
- Banerjee, S.; Palit, R.; Sengupta, C.; Standing, D. Stress induced phosphate solubilization by ‘Arthrobacter’ sp. and ‘Bacillus’ sp. isolated from tomato rhizosphere. Aust. J. Crop Sci. 2010, 4, 378. [Google Scholar]
- Marasco, R.; Rolli, E.; Vigani, G.; Borin, S.; Sorlini, C.; Ouzari, H.; Zocchi, G.; Daffonchio, D. Are drought-resistance promoting bacteria cross-compatible with different plant models? Plant Signal Behav. 2013, 8, e26741. [Google Scholar] [CrossRef]
- Fan, D.; Subramanian, S.; Smith, D.L. Plant endophytes promote growth and alleviate salt stress in Arabidopsis thaliana. Sci. Rep. 2020, 10, 12740. [Google Scholar] [CrossRef] [PubMed]
- Poupin, M.J.; Timmermann, T.; Vega, A.; Zuñiga, A.; González, B. Effects of the plant growth-promoting bacterium Burkholderia phytofirmans PsJN throughout the life cycle of Arabidopsis thaliana. PLoS ONE 2013, 8, e69435. [Google Scholar] [CrossRef] [PubMed]
- Mantelin, S.; Desbrosses, G.; Larcher, M.; Tranbarger, T.J.; Cleyet-Marel, J.C.; Touraine, B. Nitrate-dependent control of root architecture and N nutrition are altered by a plant growth-promoting Phyllobacterium sp. Planta 2006, 223, 591–603. [Google Scholar] [CrossRef] [PubMed]
- Liu, X.; Wei, W.; Zhu, W.; Su, L.; Xiong, Z.; Zhou, M.; Zheng, Y.; Zhou, D.X. Histone deacetylase AtSRT1 regulates metabolic flux and stress response in Arabidopsis. Mol. Plant 2017, 10, 1510–1522. [Google Scholar] [CrossRef]
- Patten, C.L.; Glick, B.R. Role of Pseudomonas putida indole acetic acid in development of the host plant root system. Appl. Environ. Microbiol. 2002, 68, 3795–3801. [Google Scholar] [CrossRef]
- Farah, A.; Iqbal, A.; Khan, M.S. Screening of free-living rhizospheric bacteria for their multiple plant growth promoting activities. Microbiol. Res. 2008, 163, 173–181. [Google Scholar]
- Silini, A.; Silini-Cherif, H.; Ghoul, M. Effect of Azotobacter vinelandii and compatible solutes on germination wheat seeds and root concentrations of sodium and potassium under salt stress. Pakistan J. Biol. Sci. 2012, 15, 132–140. [Google Scholar] [CrossRef]
- Delshadi, S.; Ebrahimi, M.; Shirmohammadi, E. Influence of plant-growth-promoting bacteria on germination, growth and nutrients’ uptake of Onobrychis sativa L. under drought stress. J. Plant Interact. 2017, 12, 200–208. [Google Scholar] [CrossRef]
- Zafar-ul-Hye, M.; Danish, S.; Abbas, M.; Ahmad, M.; Munir, T.M. ACC deaminase producing PGPR Bacillus amyloliquefaciens and Agrobacterium fabrum along with biochar improve wheat productivity under drought stress. Agronomy 2019, 9, 343. [Google Scholar] [CrossRef]
- Baset Mia, M.A.; Shamsuddin, Z.H.; Wahab, Z.; Marziah, M. Effect of plant growth promoting rhizobacterial (PGPR) inoculation on growth and nitrogen incorporation of tissue-cultured musa plantlets under nitrogen-free hydroponics condition. Aust. J. Crop Sci. 2010, 4, 85–90. [Google Scholar]
- Mahmood, S.; Daur, I.; Al-Solaimani, S.G.; Ahmad, S.; Madkour, M.H.; Yasir, M.; Ali, Z. Plant growth promoting rhizobacteria and silicon synergistically enhance salinity tolerance of mung bean. Front. Plant. Sci. 2016, 7, 876. [Google Scholar] [CrossRef] [PubMed]
- Panwar, M.; Tewari, R.; Gulati, A.; Nayyar, H. Indigenous salt-tolerant rhizobacterium Pantoea dispersa (PSB3) reduces sodium uptake and mitigates the effects of salt stress on growth and yield of chickpea. Acta Physiol. Plant. 2016, 38, 278. [Google Scholar] [CrossRef]
- Rabhi, N.E.H.; Silini, A.; Cherif-Silini, H.; Yahiaoui, B.; Lekired, A.; Robineau, M.; Esmaeel, Q.; Jacquard, C.; Vaillant-Gaveau, N.; Clément, C.; et al. Pseudomonas knackmussii MLR6, arhizospheric strain isolated from halophyte, enhances salt tolerance in Arabidopsis thaliana. J. Appl. Microbiol. 2018, 125, 1836–1851. [Google Scholar] [CrossRef] [PubMed]
- Soliman, W.S.; Fujimori, M.; Tase, K.; Sugiyama, S. Heat tolerance and suppression of oxidative stress: Comparative analysis of 25 cultivars of the C3 grass Lolium perenne. Environ. Exp. Bot. 2012, 78, 10–17. [Google Scholar] [CrossRef]
- Kang, S.M.; Khan, A.; Waqas, M.; You, Y.H.; Kim, J.H.; Kim, J.G.; Hamayun, M.; Lee, L.J. Plant growth-promoting rhizobacteria reduce adverse effects of salinity and osmotic stress by regulating phytohormones and antioxidants in Cucumis sativus. J. Plant Interact. 2014, 9, 673–682. [Google Scholar] [CrossRef]
- Al-Erwy, A.S.; Al-Toukhy, A.; Bafeel, S.O. Effect of chemical, organic and bio fertilizers on photosynthetic pigments, carbohydrates and minerals of wheat (Triticum aestivum L.) irrigated with sea water. Int. J. Adv. Res. Biol. Sci. 2016, 3, 296–310. [Google Scholar]
- Afridi, M.S.; Amna, S.; Mahmood, T.; Salam, A.; Mukhtar, T.; Mehmood, S.; Ali, J.; Khatoon, Z.; Bibi, M.; Javed, M.T.; et al. Induction of tolerance to salinity in wheat genotypes by plant growth promoting endophytes: involvement of ACC deaminase and antioxidant enzymes. Plant Physiol. Biochem. 2019, 139, 569–577. [Google Scholar] [CrossRef]
- Simkin, A.J.; Lopez-Calcagno, P.E.; Raines, C.A. Feeding the world: improving photosynthetic efficiency for sustainable crop production. J. Exp. Bot. 2019, 70, 1119–1140. [Google Scholar] [CrossRef]
- Tewari, T.N.; Singh, B.B. Sodicity induced changes in chlorophyll, nitrate, nitrite reductase, nucleic acids, proline and yield components of lentil. Plant Soil 1991, 136, 225–230. [Google Scholar] [CrossRef]
- Zhu, S.N.; Feng, P.Z.; Feng, J.; Xu, J.; Wang, Z.M.; Xu, J.L.; Yuan, Z.H. The roles of starch and lipid in Chlorella sp. during cell recovery from nitrogen starvation. Bioresour. Technol. 2018, 247, 58–65. [Google Scholar] [CrossRef]
- Perez-Montaño, F.; Alias-Villegas, C.; Bellogin, R.A.; del Cerro, P.; Espuny, M.R.; Jimenez-Guerrero, I.; Lopez-Baena, F.J.; Ollero, F.J.; Cubo, T. Plant growth promotion in cereal and leguminous agricultural important plants: from microorganism capacities to crop production. Microbiol. Res. 2014, 169, 325–336. [Google Scholar] [CrossRef] [PubMed]
- Talaat, N.B.; Shawky, B.T. Modulation of the ROS scavenging system in salt-stressed wheat plants inoculated with arbuscular mycorrhizal fungi. J. Plant Nutr. Soil Sci. 2014, 177, 199–207. [Google Scholar] [CrossRef]
- García, J.E.; Maroniche, G.; Creus, C.; Suárez-Rodríguez, R.; Ramirez-Trujillo, J.A.; Groppa, M.D. In vitro PGPR properties and osmotic tolerance of different Azospirillum native strains and their effects on growth of maize under drought stress. Microbiol. Res. 2017, 202, 21–29. [Google Scholar] [CrossRef] [PubMed]
- Khan, M.A.; Asaf, S.; Khan, A.L.; Ullah, I.; Ali, S.; Kang, S.M.; Lee, I.J. Alleviation of salt stress response in soybean plants with the endophytic bacterial isolate Curtobacterium sp. SAK1. Ann. Microbiol. 2019, 69, 797–808. [Google Scholar] [CrossRef]
- Han, Q.Q.; Lü, X.P.; Bai, J.P.; Qiao, Y.; Paré, P.W.; Wang, S.M.; Zhang, J.L.; Wu, Y.N.; Pang, X.P.; Xu, W.P.; et al. Beneficial soil bacterium Bacillus subtilis (GB03) augments salt tolerance of white clover. Front. Plant Sci. 2014, 5, 525. [Google Scholar] [CrossRef] [PubMed]
- Upadhyay, S.K.; Singh, J.S.; Saxena, A.K.; Singh, D.P. Impact of PGPR inoculation on growth and antioxidants status of wheat under saline conditions. Plant Biol. 2012, 4, 605–611. [Google Scholar] [CrossRef]
- Siddiqui, M.N.; Mostofa, M.G.; Akter, M.M.; Srivastava, A.K.; Sayed, M.A.; Hasan, M.S.; Tran, L.S.P. Impact of salt-induced toxicity on growth and yield-potential of local wheat cultivars: oxidative stress and ion toxicity are among the major determinants of salt-tolerant capacity. Chemosphere 2017, 187, 385–394. [Google Scholar] [CrossRef]
- Singh, R.P.; Jha, P.N. The PGPR Stenotrophomonas maltophilia SBP-9 augments resistance against biotic and abiotic stress in wheat plants. Front. Microbiol. 2017, 8, 1945. [Google Scholar] [CrossRef]
- Kumar, A.; Dubey, A. Rhizosphere Microbiome: Engineering bacterial competitiveness for enhancing crop production. J. Adv. Res. 2020, 24, 337–352. [Google Scholar] [CrossRef]
Publisher’s Note: MDPI stays neutral with regard to jurisdictional claims in published maps and institutional affiliations. |
© 2021 by the authors. Licensee MDPI, Basel, Switzerland. This article is an open access article distributed under the terms and conditions of the Creative Commons Attribution (CC BY) license (http://creativecommons.org/licenses/by/4.0/).






