Abstract
The cutterhead of a tunnel-boring machine (TBM) is the main weighted part in the process of tunneling and bears loadings in different directions. A fatigue failure of a cutterhead would severely affect the construction progress and safety. Therefore, it is of great importance to study the fatigue reliability of its cracks. In this study, the area of the cutterhead with a higher stress was found using static strength analysis and we analyzed the dynamic stress characteristics. In addition, the stress intensity factor of a cutterhead crack was calculated using the submodeling technique, and the crack propagation mechanism and damage characteristics of a cutterhead crack were also analyzed. Then, combined with crack fatigue theory, we proposed a fatigue reliability evaluation method based on the Joint Committee on Structure Safety method (known as the JC method), and the effects of different factors on the reliability were discussed for different geological conditions. The results show that the crack propagation was of the open and tear types in the deepest part of the crack tip, but there are three kinds of propagation modes at both ends. As the initial crack depth increased, the fatigue reliability of the cutterhead decreased significantly. The reliability was positively correlated with the crack shape ratio. However, there were no significant relationships between the reliability and the depth of the critical crack.
1. Introduction
A tunnel-boring machine (TBM) is an advantageous tool for the development of underground space, and it has been used more extensively recently [1,2,3,4]. The cutterhead is located at the front end of a TBM and its working conditions are extreme [5]. It not only bears severe impulses but is also affected by high temperatures, corrosion, and other environmental factors; thus, it is prone to fatigue failure [6,7]. The cutting time of the cutterhead accounts for more than 80% of the total machine driving time [8]. Its performance has a direct impact on the construction progress, quality, and safety [9,10]. According to Zhu et al. [11], the failure of a cutterhead is mainly caused by cracks. The main cause of failure is the lack of a reliability evaluation method in actual engineering [12]; therefore, it is mandatory to better understand the crack propagation mechanism and fatigue reliability of the cutterhead.
Over the years, the cutterhead has been the focus of a significant amount of research by many scholars. Most studies mainly used experiments, numerical simulations, and field tests to carry out the research on the cutterhead loads, cutterhead designs, fatigue life predictions, and performance evaluations. In terms of the cutterhead load, a method for predicting the thrust and torque of a TBM based on a fuzzy logic model was proposed [13]. Tang et al. [14] and Xia et al. [15] used the discrete element method (DEM) to study the process of breaking rock with a TBM cutter, and the same method was used by other researchers to estimate the TBM torque and thrust [16,17,18]. For the design and performance evaluation of a cutterhead, Sun et al. [19] proposed a method that considers the cutterhead profile and weld constraint conditions for a hob layout. Ling et al. [20] proposed a prediction method for the TBM cutterhead dynamic tunneling performance based on the CSM (Colorado School of Mines) model. By considering the translational velocity and angular velocity characteristics, Yu et al. [21] proposed a method for the dynamic performance evaluation of a TBM cutterhead. In addition, many scholars used machine learning models to predict TBM performances [22,23,24,25]. To calculate the cutterhead crack propagation life, Ouyang et al. [26] used the finite element method to calculate the dynamic stress of the cutterhead and calculated the crack initiation life of the cutterhead using rainflow-counting combined with the S–N curve. Ling et al. [27] studied the stress intensity factor of a TBM cutterhead crack and proposed a method to calculate the crack propagation life combined with the eight-level load spectrums of a cutterhead. Despite many studies on TBMs, there has been little research regarding the cutterhead crack damage mechanism and fatigue reliability.
Considering the current state of the art described above, first, we calculated the stress intensity factor of the cutterhead crack by applying submodeling technology and investigated the crack damage characteristics. Second, we constructed a TBM cutterhead crack fatigue reliability evaluation model based on the basic crack fatigue theory, selecting the crack fatigue life as the basic variable. The reliability of a cutterhead under load in several geological conditions were solved using the Joint Committee on Structure Safety method (known as the JC method). Finally, we discussed the influence of different random variables on the reliability of a cutterhead. The overall flowchart is shown in Figure 1.
Figure 1.
The overall flowchart. TBM: tunnel-boring machine.
2. Analysis of TBM Cutterhead Crack Damage Characteristics
2.1. Dangerous Area Analysis of Cutterhead
The focus of this study was the Xinjiang cutterhead with a diameter of 8 m (Figure 2a), which was imported into ANSYS (ANSYS 19.1, ANSYS Inc., Canonsburg, PA, USA) for mesh generation and finite element analysis. A node, which was rigidly coupled with the cutterhead, was established at the center of the cutter hole of each hob. The loads were applied on the node (Figure 2b) and the back of the cutterhead was fixed as the constraint condition (Figure 2c). The finite element model of the TBM cutterhead is shown in Figure 2d, where there were 248,713 elements and 348,670 nodes.
Figure 2.
Finite element analysis of a TBM cutterhead: (a) three-dimensional models, (b) loading mode, (c) constraint conditions, (d) finite element model, (e) stress distribution, and (f) deformation distribution.
The material of the cutterhead was Q345B steel, whose behavior was assumed to be linear-elastic; its properties are shown in Table 1.
Table 1.
Material properties of Q345B steel.
Based on the research data of hob loads under different rocks [28], starting with marble geology, the finite element analysis of the cutterhead was carried out. Through static strength analysis, large stress and deformation areas were found. The stress and deformation nephogram are shown in Figure 2e,f, respectively. It can be seen that the area with higher stress and deformation was distributed in the center of the cutterhead because of the supporting effect of the stiffened plate in the peripheral area. Therefore, cracks were more likely to occur in the central area, which is consistent with the actual engineering data [12]. Hence, the stress intensity factor calculation and crack fatigue reliability study focused on this area.
2.2. Calculation of the Stress Intensity Factor and an Analysis of the Influencing Factors
The stress intensity factor (SIF) is a description of the stress distribution in the crack tip region, which can be used to evaluate whether the structure is in a state of unstable growth [29] and is an important parameter for evaluating the growth life of structures with cracks [30]. There are many calculation methods that are used to find the SIF, including stress extrapolation, displacement extrapolation, and interactive integration [31]. For a simple structure, the SIF can be determined using classic analytical methods, but the cutterhead shape and stress are complex; thus, it requires numerical methods and sophisticated analysis.
With the continuous improvement of computation capacity, the finite element method provides accurate and reliable calculations of the SIF [32]. However, due to the large volume of the cutterhead, it continues to require a lot of time to simulate the whole model since the calculation efficiency is low. To decrease the computational time, a widely used submodeling technique [33,34] was applied in this study.
The crack-prone area of the cutterhead was taken as the submodel, where the selected area and crack insertion point is shown in Figure 3a,b, respectively. The long half-axis of the crack was c1 and the short half-axis was a1, and the position angle and parameter diagram are shown in Figure 3c. The displacement calculated by the FEM analysis on the global model was applied on the submodel cut surfaces (Figure 3d) [35]. Then, the mesh was refined (Figure 3e). The numbers of grids and nodes were 187,113 and 132,995, respectively.
Figure 3.
Submodeling technical schematic: (a) schematic diagram of the submodeled area, (b) schematic diagram of the crack insertion point, (c) schematic diagram of the crack position angle and shape parameter, (d) the boundary conditions, and (e) the crack grid after remeshing.
Based on the static strength analysis of the cutterhead, the SIF of the crack was calculated and the influence of the different variables on the SIF was analyzed. In the crack initiation stage, the position angle and the shape ratio were random; this study mainly analyzed the influence of the crack position angle and shape ratio on the SIF, and then investigated the damage characteristics of the crack.
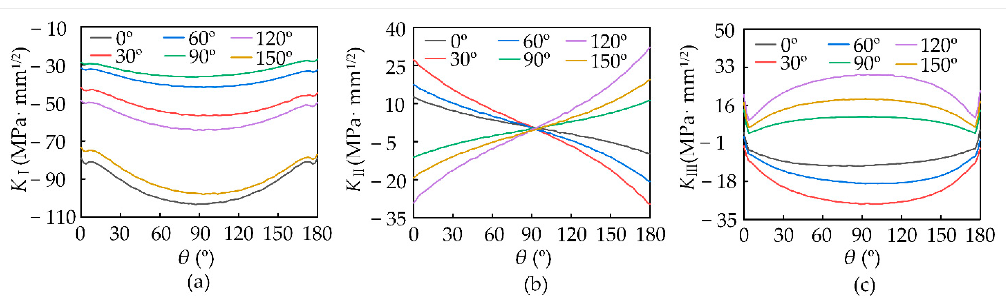
First, a1 = 6 mm and c1 = 12 mm were selected to calculate the SIF under different position angles, where the results of the stress intensity factors KI, KII, and KIII are shown in Figure 4.
Figure 4.
Distribution of the stress intensity factor (SIF) at different crack position angles: (a) KI, (b) KII, and (c) KIII.
It can be seen from Figure 4 that the absolute values of KI and KIII at the deepest crack tip reached the maximum and KII was approximately zero, which indicates that the crack propagation in the crack tip was mainly of the open and tearing types and that there were three kinds of propagation modes on the crack surface.
According to the fracture mechanics, the SIF at the front of the crack had a great influence on the crack propagation. Therefore, it is necessary to analyze the relationship between the equivalent SIF and the crack angle, which could be found using the expression of equivalent SIF:
where λ is the Poisson’s ratio of the material, which was taken to be 0.3 (Table 1).
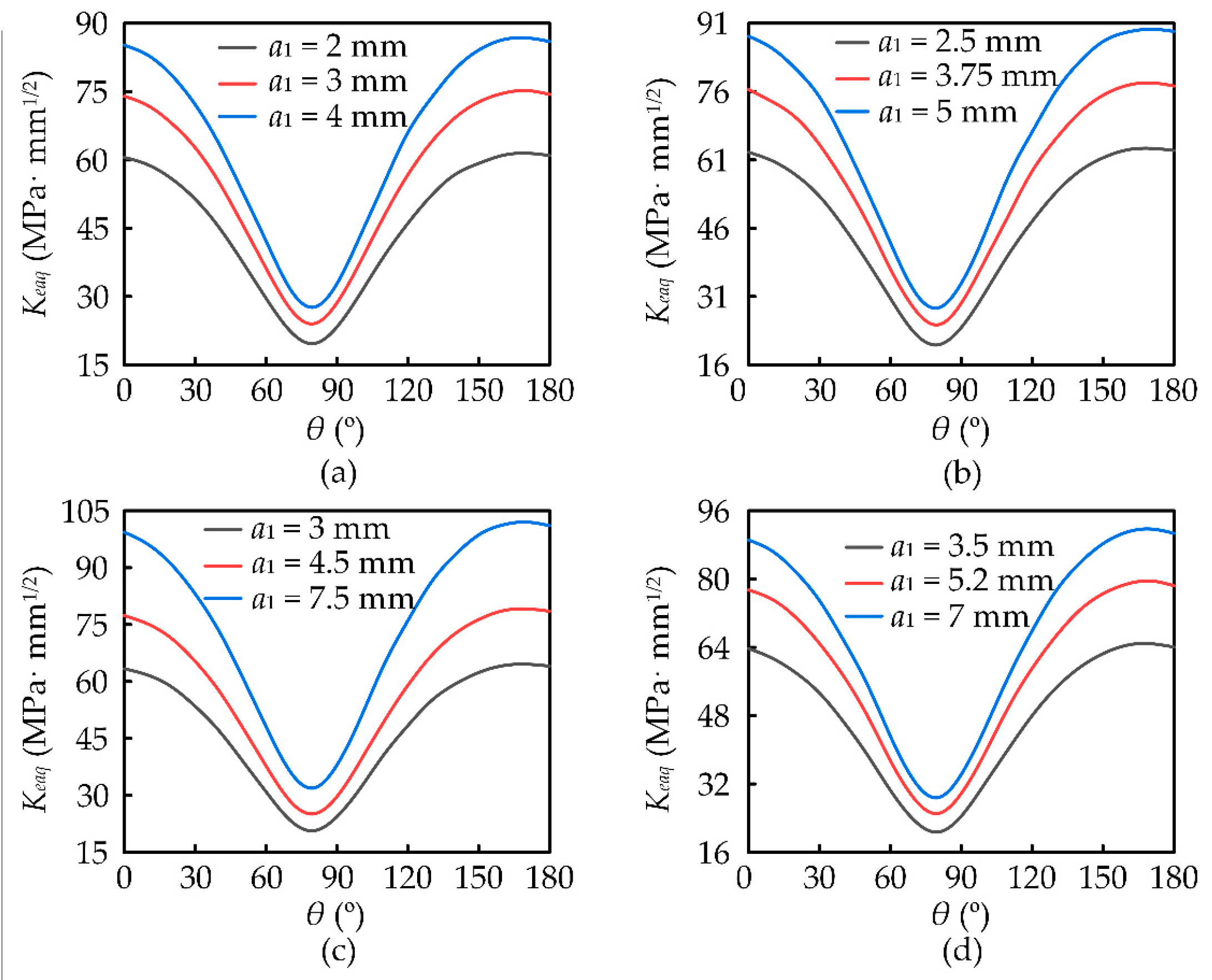
Under the same loading and constraints, the equivalent SIF of the front end of the crack was calculated by changing the crack position angle and parameters. The calculation results are shown in Figure 5.
Figure 5.
Equivalent SIF for different position angles and parameters in the fore-end of the crack: (a) a1/c1 = 0.5, (b) a1/c1 = 0.625, (c) a1/c1 = 0.75, and (d) a1/c1 = 0.875.
The results (Figure 5) clearly show that with the change of the crack position angle, the equivalent SIF in the fore-end of the crack also changed, and the closer the position angle is to 80°, the smaller the equivalent SIF was, which indicated that the crack growth trend was relatively weak. When the crack position angle was closer to 0°, the equivalent SIF in the fore-end of crack was larger, which indicated that the crack growth trend was relatively strong, and showed that the damage of the cutterhead caused by such cracks was more serious.
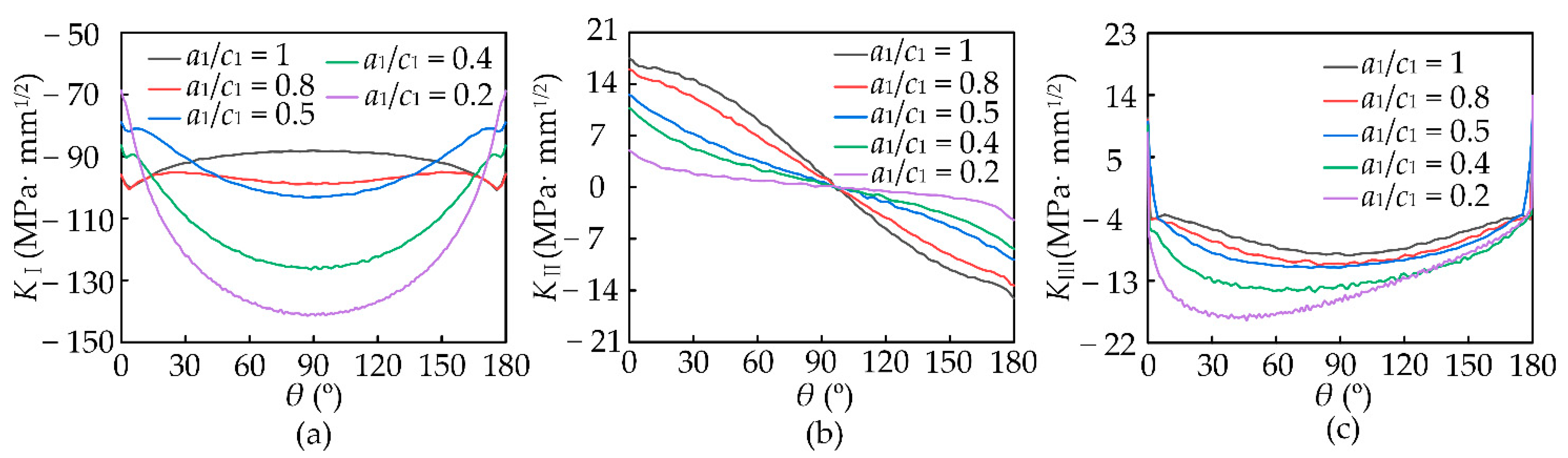
To study the influence of the crack shape ratio on the SIF of the cutterhead crack, this study fixed c1 = 12 mm and calculated the SIF under different crack shape ratios by changing the size of a1. The calculation results of KI, KII, and KIII are shown in Figure 6.
Figure 6.
Distribution of the SIF with different shape ratios: (a) KI, (b) KII, and (c) KIII.
It can be seen from Figure 6 that with the decrease in the shape ratio, the value of KIII was asymmetric, where the absolute value on the left side was larger than that on the right side, which may have been caused by the complex stress state of the cutterhead. In addition, the smaller the shape ratio, the clearer was the difference in KI, which indicated that the trend of the crack growth was stronger, which will affect the reliability of the cutterhead. In order to further study the fatigue reliability of the cutterhead crack, a reliability evaluation model was established (discussed in the next section), where the fatigue reliability of the cutterhead crack under different crack parameters is discussed.
3. Fatigue Reliability Analysis of the Cutterhead Crack
3.1. The Fatigue Reliability Evaluation Model of Cutterhead Crack
In fracture mechanics, the Paris formula given as Equation (1) is widely used in the calculation of crack growth life:
where C and m are constants that are determined by the material and ΔK is the stress intensity factor, which can be defined as shown in Equation (3):
The fatigue life expression can be obtained by integrating Equations (2) and (3):
where a0 is the initial crack depth and ac is the critical crack depth.
In the calculation of the fatigue life, the stress and geometric correction coefficients are random; therefore Equation (4) can be written as:
where B is used to describe the uncertain parameters in the stress calculation and BY is the deviation factor of the stress intensity factor calculation, which is used to adjust Y(a):
where a/b is the crack shape ratio.
When the stress characteristics obey the Weibull distribution, the probability distribution function [36] is as shown below:
where ξ is the shape coefficient, which is approximately taken as 1; SL is the maximum stress range, which can be determined according to stress characteristics; NL is the number of loading cycles, assumed to be 500,000 times. When the load spectrum is continuous, the stress parameters [36] can be expressed by Equation (9):
where Γ is the gamma function; fL is the average stress frequency, which is determined by the stress characteristics, and TD is the design life of the cutterhead. When the fatigue life of the cutterhead is less than the design life, this will lead to fatigue failure; thus, the limit state function can be determined as follows:
3.2. Variable Digital Features
The relevant random parameters, such as crack size, load amplitude, and material should be considered when using fracture mechanics to evaluate the fatigue reliability of a cutterhead crack. The stress parameters can be determined according to the statistical results of the dynamic stress data under each load level. In this study, combined with the load spectrum data [28] of the hob under five kinds of rocks, we calculated the dynamic stress using the finite element method. The different rock mechanical properties are given in Table 2.
Table 2.
Mechanical properties of rock.
We found that the rainflow counting statistics could be approximated to the Weibull distribution, hence the stress parameters could be determined according to Equation (9). Figure 7 shows the dynamic stress time history and distribution of the crack-prone area of the cutterhead under marble geological conditions.
Figure 7.
Dynamic stress and distribution characteristics of the crack-prone point: (a) dynamic stress and (b) the distribution.
The random variables can be determined by referring to the literature or by combining with the actual data [37]. In this study, the values of relevant random variables and coefficient of variation are shown in Table 3.
Table 3.
Variable values.
3.3. The JC Method’s Basic Principle and Calculation Process
The Rackwitz–Fiessler method [38] is an important method for transforming a non-normal variable distribution into a standard distribution, which is recommended by the JC method. The JC method is essentially a design point method that adopts equivalent normalization and it is suitable for solving the reliability of structures whose independent random variables are random distributions. There are six random variables in the Equation (10):
In the JC method, if Xi are non-normal variables, they are transformed into the standard normal ones, where Xi’ are defined to be the corresponding equivalent normal variables. This process requires the cumulative distribution function and probability density function between Xi and Xi’, respectively, to be equal at the design point coordinates Xi*:
According to the equivalent normal conditions, the mean and standard deviation of the equivalent normal variables were calculated as follows:
After obtaining the equivalent normal variables, the tangent plane at the design checking point was used to replace the limit state surface and the reliability index was solved using the design point method [39].
Let the limit state equation of structure to be:
Because the design point is one of the points on the surface of the limit state:
the method considers the Taylor series first-order expansion of the structural performance function at the design point:
Therefore, the equation ZL = 0 was used to indicate the tangent plane of the limit state surface at the design point. The definition of the reliability index is [40]:
αXi is a sensitive coefficient, which is used to reflect the linear correlation between a linear function ZL and the variable Xi:
In the standard normal space, β is used to indicate the shortest distance between the origin and the limit state surface; thus, the design point coordinate is:
The calculation process of the JC method is shown in Figure 8.
Figure 8.
Calculation flowchart of the Joint Committee on Structure Safety method (known as the JC method).
3.4. The Fatigue Reliability Calculation Results and Analysis
During a cutterhead’s lifetime, it is common that it will crack under the action of multidirectional random impact loads, which reduces the boring performance and reliability of the cutterhead [41]. Therefore, it is necessary to evaluate the detection of cracks; generally, nondestructive testing technology is used to detect 0.1–1 mm cracks [42]. However, due to the influence of complex factors, the initial crack size is random. The influence of the initial crack depth on the reliability of the cutterhead is discussed by changing the depth of the initial crack. Figure 9 shows the relationship between the reliability and initial crack depth under five kinds of rocks.
Figure 9.
Relationship between the reliability of the cutterhead and the initial crack depth.
It can be seen from Figure 9 that the reliability of the cutterhead decreased with the increase in the initial crack depth and the influence degree was more significant. Therefore, in engineering practice, the detection of the initial crack size should be strengthened to ensure the safety of the project and the construction efficiency.
In the fatigue failure analysis, the critical crack depth was related to the stress, which is generally determined according to the instability criterion or engineering experience. In this study, the influence of the critical crack depth on the reliability of a cutterhead was studied by changing the critical crack depth. The calculation results are shown in Figure 10.
Figure 10.
Relationship between the reliability of the cutterhead and the critical crack depth.
It can be seen from Figure 10 that the reliability increased with increasing critical crack depth, but the change in the reliability with the crack depth was very small. Therefore, in actual engineering analysis, the critical crack depth value can be selected within a reasonable range according to experience.
Regarding the detection of a cutterhead crack, there will be various shapes. The crack shape will affect the crack propagation path; therefore, it is necessary to analyze the reliability of cutterheads with different shape ratios. In this study, the range of shape ratios was 0.4–1 and the analysis results are shown in Figure 11.
Figure 11.
Relationship between the reliability of the cutterhead and the crack shape ratio.
It can be observed from Figure 11 that the smaller the shape ratio, the lower the reliability, and thus, the more likely it is to fail. When the crack shape ratio was less than 0.5, the reliability of the cutterhead decreased significantly. This was consistent with the previous calculation and analysis of the SIF, where the smaller the crack shape ratio, the more prominent the damage. Therefore, in practice, cracks with smaller shape ratios may be detected, and thus they require more attention. If necessary, relevant repair methods should be used to interfere with their propagation to avoid engineering accidents.
4. Discussion
Finite element simulations were implemented to calculate the stress intensity factors of the cutterhead crack. Then, we studied the crack damage characteristics and propagation mechanism. In addition, a crack fatigue reliability evaluation model based on the basic crack fatigue theory was constructed and applied to the reliability calculation. The main results were as follows. The crack propagation in the crack tip was mainly of the open and tearing types, and there were three kinds of propagation modes on the crack surface: when the crack position angle was closer to 0°, the equivalent SIF in the fore-end of the crack was larger, which indicated that the damage to the cutterhead caused by such cracks was more serious; the smaller the shape ratio, the clearer the difference of KI, which indicated that the trend of the crack growth was stronger; as the initial crack depth increased, the fatigue reliability of the cutterhead significantly decreased, but there were no significant relationships between the reliability and the depth of the critical crack.
5. Conclusions
In this study, the finite element method of submodeling technology was used to study the damage characteristics of a cutterhead crack and a fatigue reliability evaluation model of a cutterhead crack was proposed. The research results of this study can provide a method to evaluate the reliability of a cutterhead in practical engineering and provide a foundation for upcoming research on formulating engineering safety standards, which have practical significance regarding the evaluation of the safety of a project.
Author Contributions
Conceptualization, C.Q.; funding acquisition, C.Q.; resources, C.Q.; supervision, C.Q.; validation, D.W.; writing—original draft, D.W.; writing—review and editing, C.Q. and D.W. All authors have read and agreed to the published version of the manuscript.
Funding
This research was funded by the National Key Research and Development Program of China (grant no. 2018YFB1702505).
Informed Consent Statement
Not applicable.
Data Availability Statement
The raw/processed data required to reproduce these findings cannot be shared at this time as the data also forms part of an ongoing study.
Conflicts of Interest
The authors declare that they have no conflict of interest to report regarding the present study.
References
- Rostami, J.; Chang, S. A closer look at the design of cutterheads for Hard Rock Tunnel-Boring Machines. Engineering 2017, 3, 892–904. [Google Scholar] [CrossRef]
- Zare Naghadehi, M.; Mikaeil, R. Optimization of Tunnel Boring Machine (TBM) disc cutter spacing in Jointed Hard Rock using a distinct element numerical simulation. Period. Polytech. Civ. Eng. 2017, 61, 56–65. [Google Scholar] [CrossRef]
- Labra, C.; Rojek, J.; Oñate, E. Discrete/finite element modelling of rock cutting with a TBM disc cutter. Rock Mech. Rock Eng. 2017, 50, 621–638. [Google Scholar] [CrossRef]
- Li, J.B.; Zhang, Z.G.; Meng, Z.C.; Huo, J.Z.; Xu, Z.H.; Chen, J. Tunnel boring machine cutterhead crack propagation life prediction with time integration method. Adv. Mech. Eng. 2019, 11, 1687814019853451. [Google Scholar] [CrossRef]
- Fatemi, S.A.; Ahmadi, M.; Rostami, J. Evaluation of TBM performance prediction models and sensitivity analysis of input parameters. Bull. Eng. Geol. Environ. 2016, 77, 501–513. [Google Scholar] [CrossRef]
- Hasanpour, R.; Rostami, J.; Ünver, B. 3D finite difference model for simulation of double shield TBM tunneling in squeezing grounds. Tunn. Undergr. Space Technol. 2014, 40, 109–126. [Google Scholar] [CrossRef]
- Kim, K.; Kim, J.; Ryu, H.; Rehman, H.; Jafri, T.H.; Yoo, H.; Ha, S. Estimation method for TBM cutterhead drive design based on Full-Scale tunneling tests for application in utility tunnels. Appl. Sci. 2020, 10, 5187. [Google Scholar] [CrossRef]
- Liu, C.; Peng, Z.H.; Pan, L.F.; Liu, H.; Yang, Y.B.; Chen, W.Y.; Jiang, H.Q. Influence of Tunnel Boring Machine (TBM) advance on adjacent tunnel during Ultra-Rapid Underground Pass (URUP) Tunneling: A Case Study and Numerical Investigation. Appl. Sci. 2020, 10, 3746. [Google Scholar] [CrossRef]
- Zhu, Y.; Wang, X.L. The research of TBM cutterhead crack propagation rate model during full stage. Eng. Fail. Anal. 2020, 118, 104806. [Google Scholar] [CrossRef]
- Kavvadas, M.; Litsas, D.; Vazaios, I.; Fortsakis, P. Development of a 3D finite element model for shield EPB tunneling. Tunn. Undergr. Space Technol. 2017, 65, 22–34. [Google Scholar] [CrossRef]
- Zhu, Y.; Sun, W.; Huo, J.Z. Structural performance evaluation and analysis of TBM cutterhead in complex condition. J. Harbin Eng. Univ. 2018, 39, 121–128. (In Chinese) [Google Scholar]
- Sun, W.; Zhu, Y.; Huo, J.Z.; Huang, X.Q. Predict and analysis the loactions of fatigue crack in TBM cutterhead based on crack failure regions division. J. Mech. Eng. 2018, 54, 27–35. (In Chinese) [Google Scholar] [CrossRef]
- Acaroglu, O. Prediction of thrust and torque requirements of TBMs with fuzzy logic models. Tunn. Undergr. Space Technol. 2011, 26, 267–275. [Google Scholar] [CrossRef]
- Tan, J.Q.; Tan, Q.; Xia, Y.M.; Xu, Z.J.; Qu, X.L. Numerical Study on process of breaking rock with TBM cutter in different cutting orders. Appl. Mech. Mater. 2010, 1021, 1583–1586. [Google Scholar] [CrossRef]
- Xia, Y.M.; Ouyang, T.; Zhang, X.M.; Luo, D.Z. Mechanical model of breaking rock and for characteristic of disc cutter. J. Cent. South Univ. 2012, 19, 1846–1852. [Google Scholar] [CrossRef]
- Faramarzi, L.; Kheradmandian, A.; Azhari, A. Evaluation and optimization of the effective parameters on the ShieldTBM performance: Torque and thrust—Using Discrete Element Method (DEM). Geotech. Geol. Eng. 2020, 38, 2745–2759. [Google Scholar] [CrossRef]
- Geng, Q.; Wei, Z.Y.; Meng, H.; Macias, F.J. Mechanical performance of TBM cutterhead in mixed rock ground conditions. Tunn. Undergr. Space Technol. 2016, 57, 76–84. [Google Scholar] [CrossRef]
- Xia, Y.M.; Zhu, X.H.; Lin, L.K.; Yang, M. Analysis of influence factors on load of TBM cutterhead. Mod. Mod. Manuf. Eng. 2015, 9, 1–6. (In Chinese) [Google Scholar]
- Sun, H.Y.; Guo, W.; Liu, J.Q.; Song, L.W.; Liu, X.Q. Layout design for disc cutters based on analysis of TBM cutter-head structure. J. Cent. South Univ. 2018, 25, 812–830. [Google Scholar] [CrossRef]
- Ling, J.X.; Sun, W.; Yang, X.J.; Lian, G.F.; Jiang, J.B. Analysis of stress intensity factors for a TBM cutterhead crack in complex stress states. J. Harbin Eng. Univ. 2017, 38, 633–639. (In Chinese) [Google Scholar]
- Yu, H.D.; Li, Y.Y.; Li, L. Evaluating some dynamic aspects of TBMs performance in uncertain complex geological structures. Tunn. Undergr. Space Technol. 2020, 96, 103216. [Google Scholar] [CrossRef]
- Yoo, C.; Kim, J. Tunneling performance prediction using an integrated GIS and neural network. Comput. Geotech. 2007, 34, 19–30. [Google Scholar] [CrossRef]
- Khademi Hamidi, J.; Shahriar, K.; Rezai, B.; Rostami, J. Performance prediction of hardrock TBM using Rock Mass Rating (RMR) system. Tunn. Undergr. Space Technol. 2010, 25, 333–345. [Google Scholar] [CrossRef]
- Gao, X.J.; Shi, M.L.; Song, X.G.; Zhang, C.; Zhang, H.W. Recurrent neural networks for real-time prediction of TBM operating parameters. Autom. Constr. 2019, 98, 225–235. [Google Scholar] [CrossRef]
- Li, J.; Li, P.; Guo, D.; Li, X.; Chen, Z. Advanced prediction of tunnel boring machine performance based on big data. Geosci. Front. 2021, 12, 331–338. [Google Scholar] [CrossRef]
- Ouyang, X.Y.; Sun, W.; Huo, J.Z. Prediction of cutterhead crack initiation lifetime for tunnel boring machine under multi-point distribution loads. Mech. Sci. Technol. Aerosp. Eng. 2016, 35, 1484–1488. (In Chinese) [Google Scholar]
- Ling, J.X.; Sun, W.; Huo, J.Z.; Guo, L. Study of TBM cutterhead fatigue crack propagation life based on multi-degree of freedom coupling system dynamics. Comput. Ind. Eng. 2015, 83, 1–14. [Google Scholar] [CrossRef]
- Han, M.D.; Cai, Z.X.; Qu, C.Y.; Jin, L.S. Dynamic numerical simulation of cutterhead loads in TBM tunnelling. Tunn. Undergr. Space Technol. 2017, 70, 286–298. [Google Scholar] [CrossRef]
- Beretta, S.; Patriarca, L.; Rabbolini, S. Stress Intensity Factor calculation from displacement fields. Fract. Struct. Integr. 2017, 11, 269–276. [Google Scholar] [CrossRef]
- Kaushik, V.; Ghosh, A. Fatigue life estimation and crack propagation analysis of orthotropic lamina using XIGA methodology. Mech. Adv. Mater. Struct. 2019, 26, 2062–2077. [Google Scholar] [CrossRef]
- Habibi, N.; Asadi, S.; Moradikhah, R. Evaluation of SIF in FGM Thick-walled Cylindrical Vessel. J. Stress Anal. 2017, 2, 57–68. [Google Scholar]
- Caicedo, J.; Portela, A. Direct computation of stress intensity factors in finite element method. Eur. J. Comput. Mech. 2017, 26, 309–335. [Google Scholar] [CrossRef]
- Giannella, V. Stochastic approach to fatigue crack-growth simulation for a railway axle under input data variability. Int. J. Fatigue 2021, 144, 106044. [Google Scholar] [CrossRef]
- Giannella, V.; Perrella, M.; Citarella, R. Efficient FEM-DBEM coupled approach for crack propagation simulations. Theor. Appl. Fract. Mech. 2017, 91, 76–85. [Google Scholar] [CrossRef]
- Giannella, V.; Fellinger, J.; Perrella, M.; Citarella, R. Fatigue life assessment in lateral support element of a magnet for nuclear fusion experiment “Wendelstein 7-X”. Eng. Fract. Mech. 2017, 178, 243–257. [Google Scholar] [CrossRef]
- Chen, F.Y.; Lu, B.J.; Zhao, S.P.; Cheng, D. Reliability assessment and fatigue life of Jacket Platform based on the theory of crack propagation. Ship Eng. 2019, 41, 53–57. (In Chinese) [Google Scholar]
- Hu, Y.R.; Li, D.Q.; Chen, B.Z. Fatigue Reliability Analysis of the Ship and Ocean Engineering Structures, 4th ed.; Harbin Engineering University Press: Harbin, China, 2010; pp. 163–188. [Google Scholar]
- Rackwitz, R.; Flessler, B. Structural Reliability under combined random load sequences. Comput. Struct. 1978, 9, 489–494. [Google Scholar] [CrossRef]
- Zhao, J.G.; Jia, H.Y.; Zhan, Y.L.; Xiang, Z.Y.; Zheng, S.X.; Bi, Y. Combination of LS-SVM algorithm and JC method for fragility analysis of deep-water high piers subjected to near-field ground motions. Structures 2020, 24, 282–295. [Google Scholar] [CrossRef]
- Xiao, J.Z.; Xie, Q.H.; Hou, Y.Z.; Li, Z.W. Reliability analysis of high-strength concrete columns during a Fire. Key Eng. Mater. 2015, 3529, 273–278. [Google Scholar] [CrossRef]
- Zhou, X.P.; Zhai, S.F. Estimation of the cutterhead torque for earth pressure balance TBM under mixed-face conditions. Tunn. Undergr. Space Technol. 2018, 74, 217–229. [Google Scholar] [CrossRef]
- Ida, N.; Meyendorf, N. Handbook of Advanced Nondestructive Evaluation, 1st ed.; Springer International Publishing: Cham, Switzerland, 2019; pp. 235–251. [Google Scholar]
Publisher’s Note: MDPI stays neutral with regard to jurisdictional claims in published maps and institutional affiliations. |
© 2021 by the authors. Licensee MDPI, Basel, Switzerland. This article is an open access article distributed under the terms and conditions of the Creative Commons Attribution (CC BY) license (http://creativecommons.org/licenses/by/4.0/).










