On-Board Road Friction Estimation Technique for Autonomous Driving Vehicle-Following Maneuvers
Abstract
1. Introduction
2. Related Work
3. Problem Statement and Control Architecture
4. In-Vehicle Road-Grip Estimation
4.1. From Vehicle Sensors to Tires’ State
- The road is modelled completely flat with eventual banking and local geometrical effects (i.e., potholes, kerbs, micro- and macro- roughness) absent.
- The tire is modelled only in terms of its kinematic-dynamic transfer function without taking into account its eventual transient dynamics. Furthermore, the multi-physical effects, as thermal or wear abrasive and degradation influences, have not been taken into account at the current stage.
- Since the vehicle is involved in analyses concerning only the longitudinal dynamic maneuvers and considering the vehicle body symmetry hypotheses, the steering angle signal is assumed to be always zero and, therefore, it is not employed within the modelling and the estimation of the vehicle state.
- The vehicle is described only in terms of its intrinsic global geometric and mass-inertia parameters. The longitudinal load transfer is considered taking into account the position of the vehicle body centre of gravity.
- The vertical load distribution on each axle is evaluated starting from the static load data, load transfers due to the geometric position of the vehicle body centre of gravity within the xz plane and the aerodynamic force. The estimation of the tangential interaction forces, due an intrinsic non-linearity of each tire system, need an additional convergence algorithm for a correct partition of the global longitudinal force, located at the centre of gravity, into its two contributes based on the front and on the rear axles. Indeed, starting from the vertical loads calculated at each axle the convergence algorithm evaluates the above longitudinal forces, consistent with the vertical loads applied, the kinematics evaluated and the intrinsic dynamic characteristics of a pre-calibrated tire (neglecting the tires’ transient behavior at the current stage).
- The suspensions and steering system kinematics and compliances have been taking into account by acquiring the invariable KC curves by means of physical bench testor as an output of simulations performed by means of a multibody model.
- Wheels’ angular velocity (rad/s).
- Longitudinal velocity evaluated at the vehicle’s centre of gravity (m/s).
- Longitudinal acceleration evaluated at the vehicle’s centre of gravity (m/s2).
- Throttle position (%).
- Braking position (%).
- Axles’ slip ratio (-).
- Axles’ vertical interaction force (N).
- Axles’ longitudinal interaction force (N).
- Axles’ actual friction coefficient (-).
4.2. On-Board Estimation of Actual and Potential Friction
- Once the actual friction coefficient (point 1) has been calculated (17), the equivalent grip for the reference tire-road (point 2) can be evaluated:
- Furthermore, starting from the tire model parameters calibrated on a reference road surface, the model is able to provide a valuable output in terms of the maximum longitudinal force, achievable for the same conditions of vertical load, wheel alignment and vehicle longitudinal speed, at the optimal value of the slip ratio (point 3 in Figure 4):
- The potential friction coefficient (point 4) is obtainable, using the proportionality criterion already adopted for the point 2, assuming the linearity of the tire behavior within the working conditions of the vehicle, as follows:
5. Design of the Road-Grip Aware Control Modules
5.1. Predictive ACC Design
5.2. Autonomous Emergency Brake
5.3. Anti-Lock Braking System
6. Co-Simulation Platform
- MATLAB/Simulink platform, a widely used framework to model dynamical systems and to design control architectures. Indeed, through an easy to use of its graphical interface, it is possible to develop controllers according to the well-known Model-based Control Design approach. The vehicle dynamics model, implemented in the MATLAB/Simulink environment and employed for the evaluation of the control logic performance in vehicle-following maneuvers, is an efficient 15 degrees of freedom lumped-parameter full vehicle model (LPFVM), described in [60] with a MF-based tire model [54]. The LPFVM is based on a set of Ordinary Differential Equations (ODEs) governing the dynamic equilibrium of the vehicle chassis, including three translational and three rotational equilibrium conditions, and of each wheel, comprising a translational equilibrium along the vertical direction and a rotational equilibrium around the spindle axis. Furthermore, the braking actuation is achieved through a standard hydraulic system made of a master cylinder, a reservoir, a pump and two valves for each wheels which are used to build braking pressure. Details on its model, and the related parameters, can be found in [61] and references therein.
- SUMO (Simulation of Urban MObility), an open-source road traffic simulation package, enabling the user to model entities such as vehicles, traffic lights, road networks, vehicle routing. Each entity is simulated microscopically, meaning that it is possible to control each of them singularly, while the whole scenario is emulated by its internal engine built upon realistic driving models.
- Friction estimator module, allowing the on-board estimation of the current tire-road interaction state and the potential friction value.
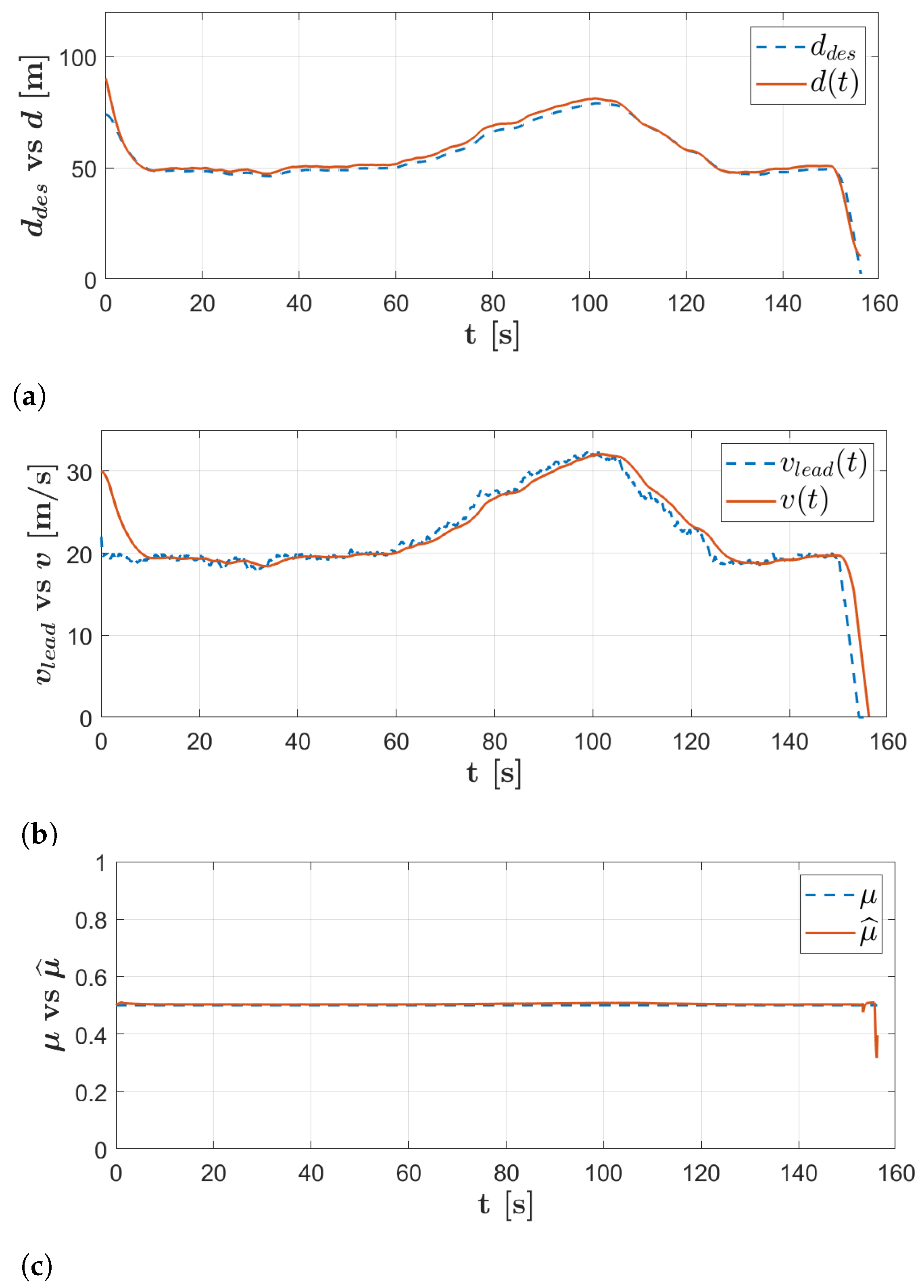
7. Performance Analysis
8. Conclusions
Author Contributions
Funding
Institutional Review Board Statement
Informed Consent Statement
Data Availability Statement
Conflicts of Interest
Abbreviations
| Advanced Driver Assistance System | |
| Model Predictive Control | |
| Adaprive Cruise Control | |
| Autonomous Emergency Braking | |
| Linear Quadratic Regulator | |
| Time To Collision | |
| Proportional-Integral-Derivative | |
| Society of Automotive Engineers | |
| Anti-lock Braking System | |
| Tire Road Interaction Characterization and Knowledge | |
| Magic Formula | |
| Electronic Control Units | |
| Controller Area Network | |
| Global Positioning System | |
| Sliding Mode Control | |
| Model In the Loop | |
| Simulation of Urban MObility | |
| Lumped-Parameter Full Vehicle Model | |
| Finite element Methods | |
| Center of Gravity | |
| v | longitudinal velocity evaluated at the c.o.g. |
| a | longitudinal acceleration |
| wheel speed | |
| inclination angle | |
| longitudinal velocity evaluated at the contact point | |
| spindle velocity | |
| m | vehicle mass |
| g | acceleration of gravity |
| distance c.o.g. - front axle | |
| distance c.o.g. - rear axle | |
| L | wheelbase |
| air density | |
| h | height c.o.g. |
| longitudinal drag coefficient | |
| lift coefficient | |
| moment of inertia about the wheel axis of rotation | |
| wheel moment of inertia | |
| rolling radius | |
| master section | |
| static load - front axle | |
| static load - rear axle | |
| load transfer | |
| aerodynamic down force | |
| inertial force | |
| longitudinal force | |
| longitudinal force evaluated on a reference road surface | |
| normal force | |
| actual friction coefficient estimated | |
| actual friction coefficient estimated on a reference road surface | |
| potential friction coefficient estimated | |
| slip ratio | |
| e | distance error to the desired |
| braking torque | |
| d | distance lead to ego vehicle |
| ACC desired distance | |
| minimum spacing | |
| headway time | |
| leading vehicle acceleration | |
| leading vehicle velocity | |
| driveline time constant | |
| u | control input |
| J | ACC cost function |
| Q | ACC output weight |
| r | ACC incremental control effort weight |
| ACC control horizon | |
| ACC prediction horizon | |
| ACC sampling time | |
| AEB deceleration command | |
| sliding surface | |
| switching control gain | |
| warning critical distance | |
| braking critical distance | |
| safety index |
References
- Urmson, C.; Anhalt, J.; Bagnell, D.; Baker, C.; Bittner, R.; Clark, M.; Dolan, J.; Duggins, D.; Galatali, T.; Geyer, C.; et al. Autonomous driving in urban environments: Boss and the urban challenge. J. Field Robot. 2008, 25, 425–466. [Google Scholar] [CrossRef]
- INRIX. Congestion Costs Each American 97 h, $ 1,348 A Year. Available online: https://inrix.com/press-releases/scorecard-2018-us/#:~:text=Americans%20lost%20an%20average%20of,the%20top%2060%20urban%20areas (accessed on 7 June 2018).
- USDOT. Early Estimate of Motor Vehicle Traffic Fatalities for the First 9 Months of 2019. Available online: https://crashstats.nhtsa.dot.gov/Api/Public/ViewPublication/812874#:~:text=A%20statistical%20projection%20of%20traffic,as%20shown%20in%20Table%201. (accessed on 3 September 2019).
- WHO. Global Status Report on Road Safety; WHO: Geneva, Switzerland, 2018. [Google Scholar]
- Matthaios, V.N.; Kramer, L.J.; Crilley, L.R.; Sommariva, R.; Pope, F.D.; Bloss, W.J. Quantification of within-vehicle exposure to NOx and particles: Variation with outside air quality, route choice and ventilation options. Atmos. Environ. 2020, 240, 117810. [Google Scholar] [CrossRef]
- Wallington, T.J.; Sullivan, J.L.; Hurley, M.D. Emissions of CO2, CO, NOx, HC, PM, HFC-134a, N2O and CH4 from the global light duty vehicle fleet. Meteorol. Z. 2008, 17, 109–116. [Google Scholar] [CrossRef]
- Walta, L.; Marchau, V.; Brookhuis, K. Stakeholder preferences of advanced driver assistance systems (ADAS)—A literature review. In Proceedings of the 13th World Congress and Exhibition on Intelligent Transport Systems and Service, London, UK, 8–12 October 2006. [Google Scholar]
- Tsourveloudis, N.C.; Valavanis, K.P.; Hebert, T. Autonomous vehicle navigation utilizing electrostatic potential fields and fuzzy logic. IEEE Transact. Robot. Automat. 2001, 17, 490–497. [Google Scholar] [CrossRef]
- Levinson, J.; Askeland, J.; Becker, J.; Dolson, J.; Held, D.; Kammel, S.; Kolter, J.Z.; Langer, D.; Pink, O.; Pratt, V.; et al. Towards fully autonomous driving: Systems and algorithms. In Proceedings of the 2011 IEEE Intelligent Vehicles Symposium (IV), Baden-Baden, Germany, 5–9 June 2011; pp. 163–168. [Google Scholar]
- Minguez, J.; Lamiraux, F.; Laumond, J.P. Motion planning and obstacle avoidance. In Springer Handbook of Robotics; Springer: Berlin, Germany, 2016; pp. 1177–1202. [Google Scholar]
- Paden, B.; Čáp, M.; Yong, S.Z.; Yershov, D.; Frazzoli, E. A survey of motion planning and control techniques for self-driving urban vehicles. IEEE Transact. Intell. Veh. 2016, 1, 33–55. [Google Scholar] [CrossRef]
- Antonov, S.; Fehn, A.; Kugi, A. Unscented Kalman filter for vehicle state estimation. Veh. Syst. Dynam. 2011, 49, 1497–1520. [Google Scholar] [CrossRef]
- Wenzel, T.A.; Burnham, K.; Blundell, M.; Williams, R. Dual extended Kalman filter for vehicle state and parameter estimation. Veh. Syst. Dynam. 2006, 44, 153–171. [Google Scholar] [CrossRef]
- Liu, W.; He, H.; Sun, F. Vehicle state estimation based on minimum model error criterion combining with extended Kalman filter. J. Franklin Inst. 2016, 353, 834–856. [Google Scholar] [CrossRef]
- Collado, J.M.; Hilario, C.; De la Escalera, A.; Armingol, J.M. Model based vehicle detection for intelligent vehicles. In Proceedings of the IEEE Intelligent Vehicles Symposium, Parma, Italy, 14–17 June 2004; pp. 572–577. [Google Scholar]
- Hojjati-Emami, K.; Dhillon, B.; Jenab, K. Reliability prediction for the vehicles equipped with advanced driver assistance systems (ADAS) and passive safety systems (PSS). Int. J. Ind. Eng. Comput. 2012, 3, 731–742. [Google Scholar] [CrossRef]
- Cafiso, S.; Di Graziano, A. Evaluation of the effectiveness of ADAS in reducing multi-vehicle collisions. Int. J. Heavy Veh. Syst. 2012, 19, 188–206. [Google Scholar] [CrossRef]
- Park, S.J.; Kim, T.Y.; Kang, S.M.; Koo, K.H. A novel signal processing technique for vehicle detection radar. In Proceedings of the IEEE MTT-S International Microwave Symposium Digest, Philadelphia, PA, USA, 8–13 June 2003; Volume 1, pp. 607–610. [Google Scholar]
- Varghese, J.Z.; Boone, R.G. Overview of autonomous vehicle sensors and systems. In Proceedings of the International Conference on Operations Excellence and Service Engineering, Orlnado, FL, USA, 10–11 September 2015; pp. 178–191. [Google Scholar]
- Dickson, M.A.; Noguchi, N.; Zhang, Q.; Reid, J.F.; Will, J.D. Sensor-Fusion Navigator for Automated Guidance of Off-Road Vehicles. U.S. Patent 6,445,983, 3 September 2002. [Google Scholar]
- Kocić, J.; Jovičić, N.; Drndarević, V. Sensors and sensor fusion in autonomous vehicles. In Proceedings of the 2018 26th Telecommunications Forum (TELFOR), Belgrade, Serbia, 20–21 November 2018; pp. 420–425. [Google Scholar]
- Ndoye, M.; Totten, V.F.; Krogmeier, J.V.; Bullock, D.M. Sensing and signal processing for vehicle reidentification and travel time estimation. IEEE Transact. Intell. Transport. Syst. 2010, 12, 119–131. [Google Scholar] [CrossRef]
- Farroni, F. T.R.I.C.K.-Tire/Road Interaction Characterization & Knowledge—A tool for the evaluation of tire and vehicle performances in outdoor test sessions. Mech. Syst. Signal Proces. 2016, 72, 808–831. [Google Scholar] [CrossRef]
- Weißmann, A.; Görges, D.; Lin, X. Energy-optimal adaptive cruise control combining model predictive control and dynamic programming. Control Eng. Pract. 2018, 72, 125–137. [Google Scholar] [CrossRef]
- Weißmann, A.; Görges, D.; Lin, X. Energy-optimal adaptive cruise control based on model predictive control. IFAC-Papers OnLine 2017, 50, 12563–12568. [Google Scholar] [CrossRef]
- Sun, C.; Chu, L.; Guo, J.; Shi, D.; Li, T.; Jiang, Y. Research on adaptive cruise control strategy of pure electric vehicle with braking energy recovery. Adv. Mech. Eng. 2017, 9, 1687814017734994. [Google Scholar] [CrossRef]
- Zhang, S.; Luo, Y.; Li, K.; Li, V. Real-Time Energy-Efficient Control for Fully Electric Vehicles Based on an Explicit Model Predictive Control Method. IEEE Transact. Veh. Technol. 2018, 67, 4693–4701. [Google Scholar] [CrossRef]
- Zhang, S.; Zhuan, X. Model-Predictive Optimization for Pure Electric Vehicle during a Vehicle-Following Process. Math. Probl. Eng. 2019, 2019, 5219867. [Google Scholar] [CrossRef]
- Lee, D.; Kim, S.; Kim, C.; Huh, K. Development of an autonomous braking system using the predicted stopping distance. Int. J. Automot. Technol. 2014, 15, 341–346. [Google Scholar] [CrossRef]
- Xiong, H.; Ling, Z.; Yue, R.; Yinong, L.; Zhenfei, Z.; Yusheng, L.; Qiang, Z.; Zhoubing, X. Research on control strategy of automatic emergency brake system based on Prescan. In Proceedings of the IET International Conference on Intelligent and Connected Vehicles (ICV 2016), Chongqing, China, 22–23 September 2016; pp. 1–6. [Google Scholar]
- Naseralavi, S.; Nadimi, N.; Saffarzadeh, M.; Mamdoohi, A.R. A general formulation for time-to-collision safety indicator. Proc. ICE Transp. 2013, 166, 294–304. [Google Scholar] [CrossRef]
- Abdul Hamid, U.Z.; Ahmad Zakuan, F.R.; Zulkepli, K.; Azmi, M.Z.; Zamzuri, H.; Abdul Rahman, M.A.; Zakaria, M. Autonomous emergency braking system with potential field risk assessment for frontal collision mitigation. In Proceedings of the 2017 IEEE Conference on Systems, Process and Control (ICSPC), Malacca, Malaysia, 15–17 December 2017; pp. 71–76. [Google Scholar]
- Lee, I.H.; Luan, B.C. Design of Autonomous Emergency Braking System Based on Impedance Control for 3-Car Driving Scenario; SAE Technical Paper; SAE International: Warrendale, PE, USA, 2016. [Google Scholar] [CrossRef]
- Moon, S.; Moon, I.; Yi, K. Design, tuning, and evaluation of a full-range adaptive cruise control system with collision avoidance. Control Eng. Pract. 2009, 17, 442–455. [Google Scholar] [CrossRef]
- Mullakkal, B.; Wang, M.; Arem, B.; Happee, R. Design and Analysis of Full Range Adaptive Cruise Control with Integrated Collision Avoidance Strategy. In Proceedings of the 2016 IEEE 19th International Conference on Intelligent Transportation Systems (ITSC), Rio de Janeiro, Brazil, 1–4 November 2016. [Google Scholar] [CrossRef]
- Shakouri, P.; Ordys, A.; Askari, M. Adaptive cruise control with stop&go function using the state-dependent nonlinear model predictive control approach. ISA Transact. 2012, 51, 622–631. [Google Scholar] [CrossRef]
- Zhao, D.; Hu, Z.; Xia, Z.; Alippi, C.; Zhu, Y.; Wang, D. Full-range adaptive cruise control based on supervised adaptive dynamic programming. Neurocomputing 2014, 125, 57–67. [Google Scholar] [CrossRef]
- Khaleghian, S.; Emami, A.; Taheri, S. A technical survey on tire-road friction estimation. Friction 2017, 5, 123–146. [Google Scholar] [CrossRef]
- Leng, B.; Jin, D.; Xiong, L.; Yang, X.; Yu, Z. Estimation of tire-road peak adhesion coefficient for intelligent electric vehicles based on camera and tire dynamics information fusion. Mech. Syst. Signal Proces. 2021, 150, 107275. [Google Scholar] [CrossRef]
- Berntorp, K.; Quirynen, R.; Di Cairano, S. Friction Adaptive Vehicle Control. U.S. Patent App. 16/299,285, 17 September 2020. [Google Scholar]
- Hu, J.; Rakheja, S.; Zhang, Y. Tire-Road Friction Coefficient Estimation under Constant Vehicle Speed Control. IFAC-Papers OnLine 2019, 52, 136–141. [Google Scholar] [CrossRef]
- Chen, Y.; Wang, J. Adaptive vehicle speed control with input injections for longitudinal motion independent road frictional condition estimation. IEEE Transact. Vech. Technol. 2011, 60, 839–848. [Google Scholar] [CrossRef]
- Rajamani, R.; Piyabongkarn, N.; Lew, J.; Yi, K.; Phanomchoeng, G. Tire-road friction-coefficient estimation. IEEE Control Syst. Mag. 2010, 30, 54–69. [Google Scholar]
- Ilas, C. Electronic sensing technologies for autonomous ground vehicles: A review. In Proceedings of the 2013 8th International Symposium on Advanced Topics in Electrical Engineering (ATEE), Bucharest, Romania, 23–25 May 2013; pp. 1–6. [Google Scholar]
- Winsum, W.V.; Heino, A. Choice of time-headway in car-following and the role of time-to-collision information in braking. Ergonomics 1996, 39, 579–592. [Google Scholar] [CrossRef]
- Hayward, J.C. Near Miss Determination through Use of a Scale of Danger; Sponsored by Committee on Effectiveness of Operational Measures: Basel, Switzerland, 1972. [Google Scholar]
- Zhenhai, G.; Jun, W.; Hongyu, H.; Wei, Y.; Dazhi, W.; Lin, W. Multi-argument control mode switching strategy for adaptive cruise control system. Procedia Eng. 2016, 137, 581–589. [Google Scholar] [CrossRef]
- De Martino, M.; Farroni, F.; Pasquino, N.; Sakhnevych, A.; Timpone, F. Real-time estimation of the vehicle sideslip angle through regression based on principal component analysis and neural networks. In Proceedings of the 2017 IEEE International Systems Engineering Symposium (ISSE), Vienna, Austria, 11–13 October 2017; pp. 1–6. [Google Scholar]
- Guiggiani, M. The Science of Vehicle Dynamics: Handling, Braking, and Ride of Road and Race Cars; Springer Science & Business Media: Berlin, Germany, 2014. [Google Scholar]
- Dell’Annunziata, G.N.; Lenzo, B.; Farroni, F.; Sakhnevych, A.; Timpone, F. A New Approach for Estimating Tire-Road Longitudinal Forces for a Race Car. In IFToMM World Congress on Mechanism and Machine Science; Springer: Berlin, Germany, 2019; pp. 3601–3610. [Google Scholar]
- Romano, L.; Sakhnevych, A.; Strano, S.; Timpone, F. A hybrid tyre model for in-plane dynamics. Vehic. Syst. Dynam. 2020, 58, 1123–1145. [Google Scholar] [CrossRef]
- Gipser, M. Ftire: A physically based application-oriented tyre model for use with detailed mbs and finite-element suspension models. Vehic. Syst. Dynam. 2005, 43, 76–91. [Google Scholar] [CrossRef]
- Gallrein, A.; Bäcker, M. Cdtire: A tire model for comfort and durability applications. Vehic. Syst. Dynam. 2007, 45, 69–77. [Google Scholar] [CrossRef]
- Pacejka, H. Tire and Vehicle Dynamics; Elsevier: Amsterdam, The Netherlands, 2005. [Google Scholar]
- Rajamani, R. Vehicle Dynamics and Control; Springer Science & Business Media: New York, NY, USA, 2011. [Google Scholar]
- Eben Li, S.; Li, K.; Wang, J. Economy-oriented vehicle adaptive cruise control with coordinating multiple objectives function. Vehic. Syst. Dynam. 2013, 51, 1–17. [Google Scholar] [CrossRef]
- Edwards, J.B. The Relationship Between Road Accident Severity and Recorded Weather. J. Safety Res. 1998, 29, 249–262. [Google Scholar] [CrossRef]
- Utkin, V.; Guldner, J.; Shijun, M. Sliding Mode Control in Electro-Mechanical Systems; CRC Press: Boca Raton, FL, USA, 1999; Volume 34. [Google Scholar]
- Pasillas-Lépine, W.; Loría, A.; Gerard, M. Design and experimental validation of a nonlinear wheel slip control algorithm. Automatica 2012, 48, 1852–1859. [Google Scholar] [CrossRef]
- Perrelli, M.; Farroni, F.; Timpone, F.; Mundo, D. Analysis of Tire Temperature Influence on Vehicle Dynamic Behaviour Using a 15 DOF Lumped-Parameter Full-Car Model. In International Conference on Robotics in Alpe-Adria Danube Region; Springer: Berlin, Germany, 2020; pp. 266–274. [Google Scholar]
- Vázquez, I.; Galicia, M.I.; Sánchez, J.D.; Loukianov, A.G.; Kruchinin, P.A. Integral Nested Sliding Mode Control for Antilock Brake System*. IFAC Proc. Vol. 2010, 43, 49–54. [Google Scholar] [CrossRef]
- Song, J.; Wu, Y.; Xu, Z.; Lin, X. Research on car-following model based on SUMO. In Proceedings of the 7th IEEE/International Conference on Advanced Infocomm Technology, 1, Fuzhou, China, 4–16 November 2014; pp. 47–55. [Google Scholar]
- Pomponi, C.; Scalzi, S.; Pasquale, L.; Verrelli, C.; Marino, R. Automatic motor speed reference generators for cruise and lateral control of electric vehicles with in-wheel motors. Control Eng. Practice 2018, 79, 126–143. [Google Scholar] [CrossRef]
- Zhang, H.; Zhang, X.; Wang, J. Robust gain-scheduling energy-to-peak control of vehicle lateral dynamics stabilisation. Vehic. Syst. Dynam. 2014, 52, 309–340. [Google Scholar] [CrossRef]
- Fergani, S.; Menhour, L.; Sename, O.; Dugard, L.; D’Andréa-Novel, B. Integrated vehicle control through the coordination of longitudinal/lateral and vertical dynamics controllers: Flatness and LPV/-based design. Int. J. Robust Nonlinear Control 2017, 27, 4992–5007. [Google Scholar] [CrossRef]
- Farroni, F.; Russo, M.; Sakhnevych, A.; Timpone, F. TRT EVO: Advances in real-time thermodynamic tire modeling for vehicle dynamics simulations. Proc. Inst. Mech. Eng. Part D J. Automob. Eng. 2019, 233, 121–135. [Google Scholar] [CrossRef]
- Farroni, F.; Sakhnevych, A.; Timpone, F. Physical modelling of tire wear for the analysis of the influence of thermal and frictional effects on vehicle performance. Proc. Inst. Mech. Eng. Part L: J. Mater. Design Appl. 2017, 231, 151–161. [Google Scholar] [CrossRef]











| Parameter | Description | Value |
|---|---|---|
| m | vehicle mass | 1521 [kg] |
| chassis moment of inertia | 2875 [kg · m] | |
| distance c.o.g.-front axle | 1.2 [m] | |
| distance c.o.g.-rear axle | 1.6 [m] | |
| longitudinal drag coefficient | 0.28 | |
| wheel moment of inertia | 1 [kg · m] | |
| wheel radius | 0.315 [m] | |
| h | height c.o.g. | 0.54 [m] |
| driveline constant | 0.05 [s] | |
| headway time | 1.1 [s] | |
| minimum spacing | 2 [m] | |
| ACC sampling time | 0.1 [s] | |
| ACC prediction horizon | 15 | |
| ACC control horizon | 15 | |
| ACC minimum control | −0.1 [m/s] | |
| ACC maximum control | 0.1 [m/s] | |
| ACC spacing tracking weight | 2 | |
| ACC velocity tracking weight | 5 | |
| ACC acceleration weight | 20 | |
| ACC control effort weight | 20 | |
| r | ACC incremental control effort weight | 20 |
| Scenario | min TTC | min | min d(t) |
|---|---|---|---|
| Vehicle following with estimation | 2.02 | −0.15 | 10.30 |
| Vehicle following w/o estimation | 0 | −1.08 | 0 |
| Stop&Go with estimation | 2.73 | 1.22 | 3.20 |
| Stop&Go w/o estimation | 2.13 | 0.48 | 2.70 |
Publisher’s Note: MDPI stays neutral with regard to jurisdictional claims in published maps and institutional affiliations. |
© 2021 by the authors. Licensee MDPI, Basel, Switzerland. This article is an open access article distributed under the terms and conditions of the Creative Commons Attribution (CC BY) license (http://creativecommons.org/licenses/by/4.0/).
Share and Cite
Santini, S.; Albarella, N.; Arricale, V.M.; Brancati, R.; Sakhnevych, A. On-Board Road Friction Estimation Technique for Autonomous Driving Vehicle-Following Maneuvers. Appl. Sci. 2021, 11, 2197. https://doi.org/10.3390/app11052197
Santini S, Albarella N, Arricale VM, Brancati R, Sakhnevych A. On-Board Road Friction Estimation Technique for Autonomous Driving Vehicle-Following Maneuvers. Applied Sciences. 2021; 11(5):2197. https://doi.org/10.3390/app11052197
Chicago/Turabian StyleSantini, Stefania, Nicola Albarella, Vincenzo Maria Arricale, Renato Brancati, and Aleksandr Sakhnevych. 2021. "On-Board Road Friction Estimation Technique for Autonomous Driving Vehicle-Following Maneuvers" Applied Sciences 11, no. 5: 2197. https://doi.org/10.3390/app11052197
APA StyleSantini, S., Albarella, N., Arricale, V. M., Brancati, R., & Sakhnevych, A. (2021). On-Board Road Friction Estimation Technique for Autonomous Driving Vehicle-Following Maneuvers. Applied Sciences, 11(5), 2197. https://doi.org/10.3390/app11052197

