Abstract
This paper presents a mathematical continuum model to investigate the static stability buckling of cross-ply single-walled (SW) carbon nanotube reinforced composite (CNTRC) curved sandwich nanobeams in thermal environment, based on a novel quasi-3D higher-order shear deformation theory. The study considers possible nano-scale size effects in agreement with a nonlocal strain gradient theory, including a higher-order nonlocal parameter (material scale) and gradient length scale (size scale), to account for size-dependent properties. Several types of reinforcement material distributions are assumed, namely a uniform distribution (UD) as well as X- and O- functionally graded (FG) distributions. The material properties are also assumed to be temperature-dependent in agreement with the Touloukian principle. The problem is solved in closed form by applying the Galerkin method, where a numerical study is performed systematically to validate the proposed model, and check for the effects of several factors on the buckling response of CNTRC curved sandwich nanobeams, including the reinforcement material distributions, boundary conditions, length scale and nonlocal parameters, together with some geometry properties, such as the opening angle and slenderness ratio. The proposed model is verified to be an effective theoretical tool to treat the thermal buckling response of curved CNTRC sandwich nanobeams, ranging from macroscale to nanoscale, whose examples could be of great interest for the design of many nanostructural components in different engineering applications.
1. Introduction
Multilayered composites are widely used in various engineering structures, ranging from macroscale (i.e., aircraft, submarines, space-station structures, etc.) to nanoscale (nano-sensors, nano-actuators, nano-gears, and micro/nano-electro-mechanical systems (MEMS/NEMS), due to the high stiffness and strength-to-weight ratios caused by fiber reinforcements. In the recent literature, reinforcements based on carbon nanotubes (CNTs) have been largely applied in lieu of conventional fibers due to their excellent properties in order to improve the mechanical, electrical, and thermal properties of composite structures. In [1,2], for example, different molecular dynamic simulations have been successfully applied by the authors to exploit the elastic moduli of polymer–CNT composites embedded in polymeric matrices. Fidelus et al. [3] examined the thermo-mechanical properties of different epoxy-based nanocomposites with randomly oriented single-walled (SW) and multi-walled (MW) CNTs. Moreover, Shen [4] investigated the nonlinear bending behavior of FG nanocomposite plates reinforced by SWCNTs subjected to a transverse uniform or sinusoidal load in a thermal environment using two different distribution functions. A nonlocal strain gradient theory was also proposed by Lim et al. [5] to study a wave propagation in macro and nanobeam structures for the first time. Wu and Kitipornchai [6] investigated the free vibration and elastic buckling of sandwich beams with a stiff core and functionally graded (FG)-CNTRC face sheets in a Timoshenko beam theoretical framework. Among coupled thermo-mechanical problems, Eltaher et al. [7] investigated the influence of a thermal loading and shear force on the nonlocal buckling response of nanobeams via higher-order shear deformation Eringen beam theories. Similarly, Ebrahimi and Farazmandnia [8] investigated the thermo-mechanical vibration of sandwich FG-CNTRC beams within a Timoshenko-based beam approach; Sobhy and Zenkour [9] illustrated the influence of a magnetic field on the thermo-mechanical buckling and vibration response of FG-CNTRC nanobeams with a viscoelastic substrate. In line with the previous works, Daikh and Megueni [10] studied the thermal buckling of FG sandwich higher-order plates with material temperature-dependent properties under a nonlinear temperature rise; Arefi and Arani [11] combined a third-order shear deformation approach together with the nonlocal elasticity to study the static deflection of FG nanobeams under a coupled thermo-electro-magneto-mechanical environment. A novel refined shear theory was recently proposed by Bekhadda et al. [12] for the study of a gradation influence on the vibration and buckling behavior of FG beams with a power-law function by means of Fourier series. Medani et al. [13], instead, applied the first order shear deformation and energy principle to study the static and dynamic behavior of FG-CNT-reinforced porous sandwich plates. Arani et al. [14] later performed a thermo-electro-mechanical buckling study of FG-CNTRC sandwich nanobeams based on a nonlocal strain gradient elasticity theory and differential quadrature numerical procedure. More complicated double-curved sandwich panels were accounted by Nejati et al. [15], who analyzed the thermal vibration in presence of pre-strained shape memory alloy wires. Chaht et al. [16] analyzed the size-dependent static behavior of FG nanobeams, including the thickness stretching effect; whereas a nonlocal trigonometric shear deformation theory and nonlocal quasi-3D theory were proposed in [17,18], respectively, to treat FG nanobeams. An efficient alternative tool to handle nonlocalities within nanostructures is represented by the strain gradient theory, as successfully applied in [19,20] for the thermal snap-buckling and bending analysis of FG curved porous and non-porous nanobeams and in [21,22] for the buckling study of porous FG sandwich nanoplates resting on a Kerr foundation due to a heat conduction. A theoretical formulation based on a Reddy shear deformation theory, has been also proposed in the recent work by Daikh et al. [23] to study the buckling and vibration of FG-CNTRC-laminated nanoplates in thermal environment, with promising results for engineering applications. Furthermore, Daikh et al. [24] investigated the thermal buckling response of FG sandwich beams under a power-law (P-FGM) or sigmoid (SFGM) variation. Further attempts of combining higher order theories and nonlocal approaches in a unified context, can be found in [25,26,27,28] to predict the influence of an axial in-plane load function on the critical buckling load and mode shape of composite beam members, also in presence of porosities. During fabrication, structural members can exhibit an initial curved shape as possible imperfection related to iterative heating and cooling processes. Many MEMS devices employ curved structures as well [29]. The initial curvature of a beam structure can be a source of difficulty in developing the constitutive relations, as verified by Emam et al. [30], who illustrated the possible effects of curvatures and imperfections on the post-buckling and free vibration response of multilayer nonlocal prestressed nanobeams. Shi et al. [31] also studied the effect of nanotube waviness and agglomeration on the elastic property of CNT-reinforced composites. A further systematic study was performed by Khater et al. [32], who investigated the impact of the surface energy and thermal loading on the static stability of curved nanowires, modeled as curved Euler-Bernoulli beams, accounting for both the von Karman and axial strain field. Among more sophisticated shell models, a valuable comparison between different higher-order formulations was proposed in [33,34,35] for the static analysis of multilayered composite and sandwich plates and shells, both from a theoretical and computational perspective. Mohamed et al. [36] later proposed a differential quadrature method to study the nonlinear free and forced vibrations of buckled curved beams resting on nonlinear elastic foundations. A further attempt of combining the nonlocal strain gradient and higher-order shell theories was conducted by Karami et al. [37] for a wave dispersion study in anisotropic doubly-curved nanoshells, as well as in [38,39,40,41] for FG-CNTRC curved nanobeams also in coupled piezoelectric conditions. In another work, Arefi et al. [42] predicted the static deflection and stress field of curved FG-CNTRC nonlocal Timoshenko nanobeams resting on an elastic foundation under four different distribution patterns of CNTs throughout the thickness direction. Eltaher et al. [43] also presented the influence of periodic and/or nonperiodic imperfections on the buckling, post-buckling and dynamic response of curved beams resting on nonlinear elastic foundations by means of high-performing numerical differential-integral quadrature methods (DIQMs). Malikan et al. [44] developed a theoretical model to study the dynamics of non-cylindrical curved viscoelastic SWCNTs by applying a second gradient theory of stress-strain, whereas Mohamed et al. [45] used an energy equivalent model to study the post-buckling response of imperfect CNTs resting on a nonlinear elastic foundation, including mid-plane stretching and nanoscale effects. Among the most recent works on the topic, Van Tham et al. [46] developed a novel four-variable refined shell theory to study the free vibration of multi-layered FG-CNTRC doubly curved shallow shell panels; Dindarloo et al. [47] exploited the strain-driven nonlocal integral theory to study the bending response of isotropic doubly curved high-order shear deformation nanoshells under a combined assumption of exponential and trigonometric shape functions. Furthermore, Eltaher and Mohamed [48] exploited the nonlinear stability and vibration of imperfect CNTs modeled as Euler-Bernoulli beams with a mid-plane stretching, while in [49,50,51], the authors studied the free and forced vibration and the dispersion behavior of elastic waves of doubly-curved nonlocal strain gradient theory nanoshells in conjunction with a higher-order shear deformation shell theory. Based on the available literature, however, the influence of a material scale, size scale, and graduation distribution functions on the thermal static stability of curved sandwich nanobeams with temperature-dependent material seems to be generally lacking. To this end, the present paper aims at providing a closed-form solution to the problem, for different boundary conditions, that could be useful as theoretical benchmark for different computational studies and engineering design applications. The paper is organized as follows. In Section 2, the theoretical formulation of curved sandwich CNTRC nanobeams is reviewed, including the kinematic field, relations and constitutive equations. Section 3 illustrates the governing equilibrium equation of curved sandwich beams in a classical and nonclassical domain, while discussing about different thermal field distributions and temperature-dependent properties of materials. Section 4 presents the analytical solutions of the problem for different boundary conditions, whose comparative study is performed systematically and discussed in Section 5. Finally, in Section 6, conclusions are drawn together with possible future research directions.
2. Theoretical Formulation
2.1. Geometric and Mechanical Properties
A symmetric cross-ply single-walled carbon nanotube reinforced composite (CNTRC) curved sandwich beam of length L, thickness h, and radius of curvature R is considered, as shown in Figure 1. Different volume fraction distributions of CNTs are here assumed throughout the thickness (see Figure 2), in agreement with the following relations [22]:
Figure 1.
Geometry of a carbon nanotube reinforced composite (CNTRC) curved sandwich beam: (a) geometric parameters of the curved beam, (b) cross-section of the curved beam.
Figure 2.
Cross-sections of various (CNTRC) carbon nanotube reinforced composite sandwich beams.
- UD (Uniformly-Distributed) CNTRC multilayered nanobeam:
- FG-O CNTRC multilayered nanobeam:
- FG-X CNTRC multilayered nanobeam:
More specifically, UD CNTRC refers to a uniform distribution of CNTs, whereas FG-V CNTRC, FG-O CNTRC and FG-X CNTRC account for different non-uniform FG distributions. Moreover, and refer to the thickness coordinates at the bottom and top sides of the kth layer within the laminated nanobeam; is the total volume fraction of CNTs, defined as
where is the CNTs mass fraction; , refer to the CNTs and polymer mass density, respectively.
The Mori–Tanaka scheme [31] is here applied together with the rule of mixtures and molecular dynamics, as suggested in [1,2]. Thus, the effective Young’s modulus and shear modulus for each CNTRC sheet is described as
where and are the elasticity modulus along the in-plane directions () for the kth layer and is its shear modulus. The subscripts and refer to the polymer and SWCNT properties, respectively, assuming the CNT efficiency parameters as proposed in [6] and summarized in Table 1.
Table 1.
CNT efficiency parameters.
The Poisson’s ratio , the density , and the thermal expansion coefficients in the longitudinal and transverse directions , , for each sheet are given as follows:
2.2. Kinematic Field
In the present work, a quasi-3D higher-order-shear deformation theory (HSDT) is used to define the governing equations for the buckling problem of CNTRC curved sandwich beams, whose displacements components are expressed in terms of the midline displacements and cross-section rotations as
A novel hyperbolic shape function is proposed herein to determine the distribution of the transverse shear strain and stress field along the thickness direction, namely
Based on a quasi-3D theory, the strain fields of the curved sandwich beam have the following form:
2.3. Constitutive Equations
The stress field is governed by the following constitutive relations:
with being the transformed material constants, defined by means of the lamination angle for the kth layer, as follows:
and
3. Equilibrium Governing Equations
3.1. Classical Formulation of Curved Sandwich Beams
Based on a classical formulation, the equilibrium equations of the problem are determined by means of the potential energy principle. In detail, the strain energy variation is defined as
in agreement with a quasi-3D theory, where and are the linear Winkler stiffness and the shear layer stiffness, respectively, and refers to the non-linear stiffness. The strain energy variation can be rewritten in terms of stress resultants as
where
and
Integrating by parts and setting the coefficients of , , , and equal to zero, the equilibrium equations of the problem are as follows:
3.2. Nonlocal Strain Gradient Approach
We account for possible effects related to the strain gradient stress and nonlocal elastic stress fields, in line with [5], as follows:
where refers to the classical stress components corresponding to the strain field and the higher-order stress corresponds to strain gradient . The classical and higher-order stress components are described as
where is an elastic constant and is the material length scale parameter, here introduced to account for the strain gradient stress field; and are the nonlocal parameters defining the nonlocal elastic stress field.
The nonlocal kernel functions and satisfy the conditions developed by Eringen [52], whereby the general constitutive relations can be defined as
where and .
In addition, the constitutive relations for a nonlocal shear deformable CNTRC curved sandwich nanobeam can be written as
Based on a nonlocal strain gradient theory, the following equilibrium equations are obtained in terms of the displacement components by substitution of Equation (19) into Equation (21).
3.3. Temperature Field
In the present work we assume a uniform temperature field distribution on the CNTRC surfaces, labeled as and , on the bottom and top sandwich surfaces, respectively. A (10,10) SWCNT-based reinforcement is selected within the numerical investigation, with the same mechanical properties as assumed by Shen [4] and summarized in Table 2.
Table 2.
Thermo-mechanical properties of SWCNTs.
To analyze the thermal effect on the buckling response of CNTRC curved sandwich nanobeams, we assume the following temperature-dependent material properties, in line with [53].
where , is the ambient temperature , is the temperature difference, and , , , and are thermal coefficients listed in Table 3.
Table 3.
Temperature-dependent coefficients of CNT material properties [22].
The polymeric matrix (PmPV) features temperature-dependent elastic properties, as follows:
where the Poisson’s ratio and mass density are set as and , respectively.
4. Analytical Solution
In this section, the equilibrium equations are solved analytically using the Galerkin method for simply-supported (SS), clamped-clamped (CC) and clamped-hinged (CS) boundary conditions. The following displacement functions are thus assumed:
with , , and being arbitrary parameters. The functions that satisfy the selected boundary conditions are defined as
- For SS beam
- For CC beam
- For CS beam
By substituting Equation (32) in Equation (28), we get
where
The accuracy of the proposed theoretical solution is explored in the next section, within a large systematic investigation aimed at determining the sensitivity of the buckling response. The proposed model is limited to uniform cross-sectional curved FG-CNTRC nanobeams with SS, SC, and CC boundary conditions and linear variation of temperature across the beam thickness; a further expansion should include more complicated cross-sectional geometries and thermal variations.
5. Results and Discussion
In this section, various numerical applications are presented to determine the accuracy of a quasi-3D HSDT, to solve the buckling problem of FG-CNTRC straight sandwich beams, compared to some existing solutions from the literature. Then, we investigate the effect of curvature on the structural response of CNTRC sandwich beams, which could be of great interest for design purposes, among different engineering applications. In what follows, the critical buckling load and elastic foundation parameters are presented in dimensionless form, as follows:
where the coefficient refers to a beam made of pure matrix material at room temperature T = 300 K. The length of the curved sandwich beam is kept equal to L = 20 for all the numerical examples.
5.1. Comparison Study
We start the numerical analysis by a comparative evaluation of our results with predictions from the open literature, while including possible thickness stretching effects. In Table 4, we summarize the results in terms of dimensionless critical buckling load for SS- and CC-CNTRC sandwich beams with and without thickness stretching effects and compare their accuracy against the numerical predictions by Wu et al. [6], based on a differential quadrature method (DQM). The face sheets are made of poly methyl methacrylate (PMMA) as matrix, with and , and armchair (10, 10) SWCNTs as reinforcement phase, with , , and (in ). Titanium alloy (Ti-6Al-4V) is used as core, with and . It is worth noticing the good correlation between our results (see Table 4) and the findings of [6] when the thickness stretching effect is neglected.
Table 4.
Comparisons of dimensionless critical buckling loads for FG-CNTRC straight beams hc/hf, .
5.2. Parametric Study
The parametric study in this section assumes a PmPV as core material and as matrix phase for the face sheets of the sandwich structure, with mechanical properties as specified in Equations (30) and (31); (10,10) SWCNTs are considered as the reinforcement phase (Table 3). The mechanical properties of materials depend on the temperature. Table 5 presents the effect of the dimensionless thickness ratio on the buckling load of a single layer CNTRC curved beam with various CNT volume fractions in the presence (or absence) of a thickness stretching effect , while keeping the opening angle equal to . Note that increased values of result in lower values of the buckling load, under the same assumptions for the reinforcement distribution, volume fraction and possible stretching effects. In any case, the worst buckling response is observed for an FG-O reinforcement distribution within the material, whereas a FG-X distribution seems to yield the highest buckling loads for fixed values of , , . The stability of the curved beam increases significantly for higher values of , with a small variation in the buckling load, depending on whether is assumed (or not) equal to zero.
Table 5.
Effect of thickness ratio on the buckling load of a single layer CNTRC curved beam , T = 300 K.
In Table 6, we account for the influence of opening angles , boundary conditions, and CNT reinforcement patterns on the dimensionless critical buckling load of sandwich beams. Note that the critical buckling load increases significantly for a decreased opening angle and increased CNT volume fraction. As summarized in Table 7, the dimensionless critical buckling load of curved sandwich nanobeams could be affected by nonlocal and length scale parameters as well as by the core-to-face sheet thickness ratio, , and thermal condition. A meaningful reduction of the critical buckling load is observed for higher temperatures for a fixed geometry and nonlocal parameters , . An increased value of and a reduced value of reduce the critical buckling load of the nanostructure under the same thermal and geometric assumptions. Moreover, Table 8 summarizes the sensitivity of the buckling response of CNTRC sandwich beams to different elastic foundation parameters and boundary conditions, with an increased stability of the structure for more rigid boundary conditions and foundation.
Table 6.
Effect of opening angle on the dimensionless buckling load of curved sandwich beam (hc/hf = 4, h = L/10, T = 300 K.
Table 7.
Effect of nonlocal and length scale parameter on the dimensionless buckling load of simply supported UD-CNTRC curved sandwich nanobeam (α = π/3, h = L/10, .
Table 8.
Effect of hardening nonlinear parameters on the dimensionless buckling load of CNTRC curved sandwich beams (0°/c/0°) (α = π/3, h = L/10, hc/hf = 4, , T = 300 K.
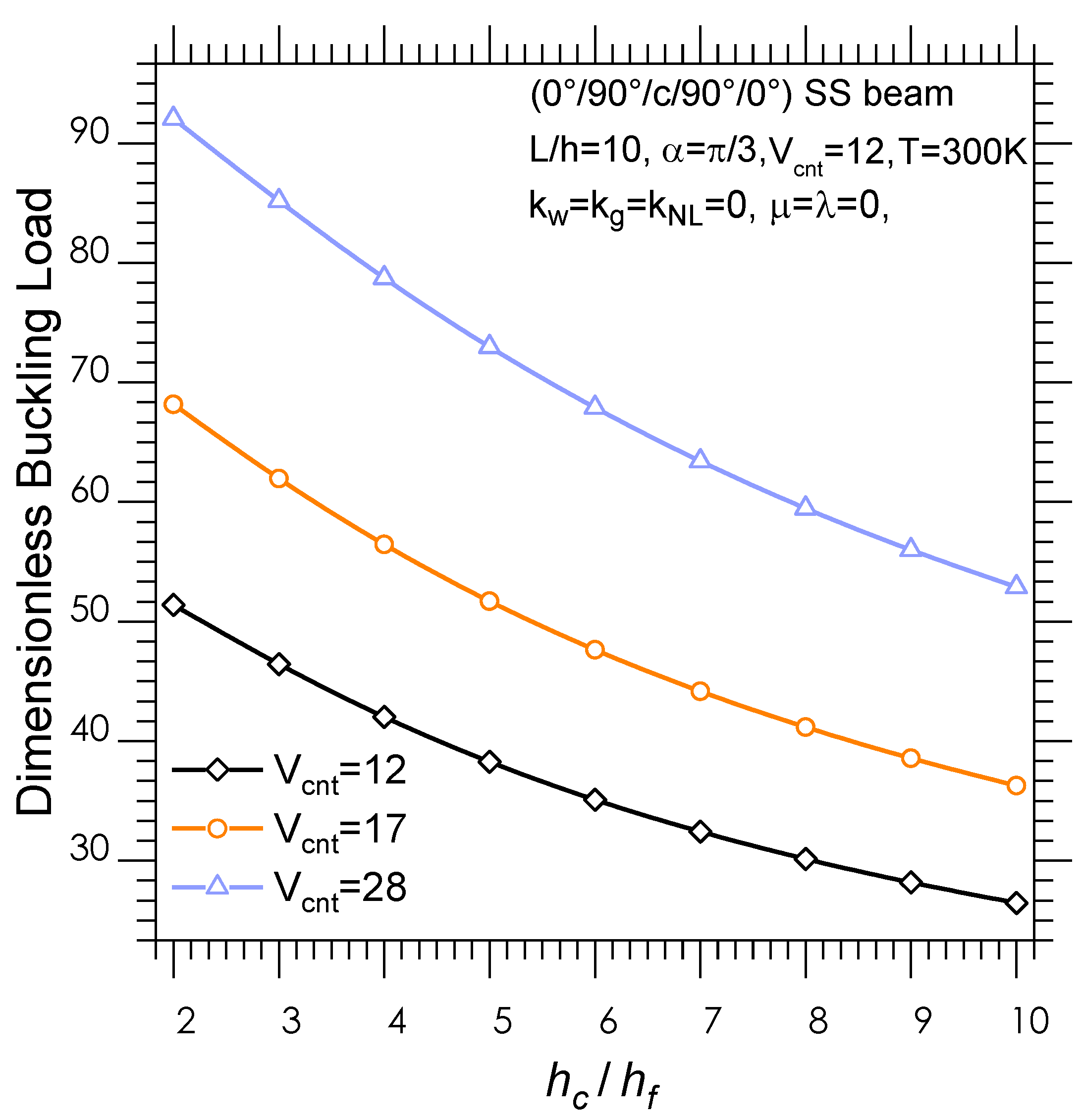
Figure 3 also depicts the buckling response for a SS beam versus the thickness ratio, , while varying the opening angles. All the plots in Figure 3 feature a monotone decreasing behavior for increasing values of , reaching a plateau for . Note also that an increased opening angle value decreases significantly the buckling load of the structure for each fixed value of
Figure 3.
Dimensionless buckling load versus thickness ratio.
In Figure 4 the critical buckling load versus the opening angle is illustrated, taking into account the core-to-face sheet thickness ratio variation. A clear reduction of the beam stiffness with an increased core layer can be observed for each fixed opening angle, which is even more pronounced for lower values of the opening angles.
Figure 4.
Dimensionless buckling load versus opening angle.
Figure 5 also shows the double effect of the core-to-face sheet thickness ratio and CNT volume fraction on the dimensionless buckling load, with a clear shift of the curve upwards for increasing values of . The highest critical buckling load is reached for a volume fraction , where the lowest stability is observed for . The impact of the thermal environment on critical buckling load is visible in Figure 6, where an increased temperature value leads to a clear reduction in the buckling load for all the selected boundary conditions because of the thermal dependence of the mechanical properties of the materials. As also expected, the highest stability is reached by CC sandwich beams, independently of the thermal environment. The further effect of nonlocal and length scale parameters on the critical buckling load is also plotted in Figure 7 and Figure 8, respectively. One can easily note that the buckling load increases by decreasing the nonlocal parameter and by increasing the length scale parameter, in line with the information in Table 7. Unlike the length scale parameter , an increased nonlocal parameter leads to a stiffness reduction of CNTRC laminated nanobeams. The critical buckling load versus the thickness ratio is finally illustrated in Figure 9 by assuming different elastic foundation parameters. An increased thickness ratio leads to a monotone reduction of the buckling load, with a meaningful effect of the shear foundation parameter on the buckling results.
Figure 5.
Dimensionless buckling load versus the core-to-face sheet thickness ratio.
Figure 6.
Dimensionless buckling load versus temperature.
Figure 7.
Dimensionless buckling load versus the nonlocal parameter.
Figure 8.
Dimensionless buckling load versus the length scale parameter.
Figure 9.
Effect of thickness ratio and elastic foundation on the dimensionless buckling load.
6. Conclusions
A novel quasi-3D higher-order shear deformation theory was proposed in this work to study the buckling response of CNTRC curved sandwich nanobeams for the first time. The problem was tackled theoretically, based on a Galerkin procedure, accounting for different boundary conditions and size-dependent effects. The material properties of CNTRC sheets were here assumed to be temperature-dependent, in agreement with the Touloukian principle.
A parametric study was performed systematically, to check for the influence of some significant parameters on the buckling response of CNTRC curved sandwich nanobeams, namely the CNTs reinforcement patterns and the nonlocal and length scale parameter, together with the geometric parameters. Based on the parametric investigation, it seems that the critical buckling load decreases for an increased temperature because of a global reduction in the stiffness of CNTRC curved sandwich nanobeams. Possible size effects can reduce the overall stiffness of CNTRC curved sandwich nanobeams, whereby the dimensionless critical buckling load decreases for an increased nonlocal parameter . Unlike the nonlocality effect, an increased length scale parameter leads to an increased buckling stability. More flexible elastic foundations and boundary conditions can reduce significantly the overall structural stability, which is also largely affected by a varying core-to-face sheet thickness ratio , opening angle , and CNT volume fractions. The results obtained by neglecting the effect of thickness stretching are perfectly in line with predictions from the literature, thus confirming the good accuracy of the proposed method to handle similar problems. The results obtained in this work, could represent valid benchmarks for engineers and researchers to validate different numerical methods as well as for practical design purposes of nanostructures.
Author Contributions
Conceptualization, A.A.D., M.S.A.H., B.K., R.D. and F.T.; Data curation, A.A.D. and B.K.; Formal analysis, M.S.A.H., B.K., R.D. and F.T.; Investigation, A.A.D., R.D. and F.T.; Methodology, M.S.A.H., M.A.E., R.D. and F.T.; Supervision, R.D. and F.T.; Validation, A.A.D., B.K., M.A.E., R.D. and F.T.; Writing—original draft, A.A.D., M.S.A.H., B.K. and M.A.E.; Writing—review & editing, R.D. and F.T. All authors have read and agreed to the published version of the manuscript.
Funding
This research receive no funding.
Conflicts of Interest
The authors declare no conflict of interest.
References
- Griebel, M.; Hamaekers, J. Molecular dynamics simulations of the elastic moduli of polymer–carbon nanotube composites. Comput. Methods Appl. Mech. Eng. 2004, 193, 1773–1788. [Google Scholar] [CrossRef]
- Han, Y.; Elliott, J. Molecular dynamics simulations of the elastic properties of polymer/carbon nanotube composites. Comput. Mater. Sci. 2007, 39, 315–323. [Google Scholar] [CrossRef]
- Fidelus, J.; Wiesel, E.; Gojny, F.; Schulte, K.; Wagner, H. Thermo-mechanical properties of randomly oriented carbon/epoxy nanocomposites. Compos. Part A Appl. Sci. Manuf. 2005, 36, 1555–1561. [Google Scholar] [CrossRef]
- Shen, H.-S. Nonlinear bending of functionally graded carbon nanotube-reinforced composite plates in thermal environments. Compos. Struct. 2009, 91, 9–19. [Google Scholar] [CrossRef]
- Lim, C.; Zhang, G.; Reddy, J. A higher-order nonlocal elasticity and strain gradient theory and its applications in wave propagation. J. Mech. Phys. Solids 2015, 78, 298–313. [Google Scholar] [CrossRef]
- Wu, H.; Kitipornchai, S.; Yang, J. Free Vibration and Buckling Analysis of Sandwich Beams with Functionally Graded Carbon Nanotube-Reinforced Composite Face Sheets. Int. J. Struct. Stab. Dyn. 2015, 15, 1540011. [Google Scholar] [CrossRef]
- Eltaher, M.; Khater, M.; Park, S.; Abdel-Rahman, E.; Yavuz, M. On the static stability of nonlocal nanobeams using higher-order beam theories. Adv. Nano Res. 2016, 4, 51–64. [Google Scholar] [CrossRef]
- Ebrahimi, F.; Farazmandnia, N. Vibration analysis of functionally graded carbon nanotube-reinforced composite sandwich beams in thermal environment. Adv. Aircr. Spacecr. Sci. 2018, 5, 107. [Google Scholar] [CrossRef]
- Sobhy, M.; Zenkour, A.M. Magnetic field effect on thermomechanical buckling and vibration of viscoelastic sandwich nanobeams with CNT reinforced face sheets on a viscoelastic substrate. Compos. Part B Eng. 2018, 154, 492–506. [Google Scholar] [CrossRef]
- Daikh, A.A.; Megueni, A. Thermal buckling analysis of functionally graded sandwich plates. J. Therm. Stress. 2018, 41, 139–159. [Google Scholar] [CrossRef]
- Arefi, M.; Arani, A.H.S. Higher order shear deformation bending results of a magnetoelectrothermoelastic functionally graded nanobeam in thermal, mechanical, electrical, and magnetic environments. Mech. Based Des. Struct. Mach. 2018, 46, 669–692. [Google Scholar] [CrossRef]
- Bekhadda, A.; Cheikh, A.; Bensaid, I.; Hadjoui, A.; Daikh, A.A. A novel first order refined shear-deformation beam theory for vibration and buckling analysis of continuously graded beams. Adv. Aircr. Spacecr. Sci. 2019, 6, 189–206. [Google Scholar] [CrossRef]
- Medani, M.; Benahmed, A.; Zidour, M.; Heireche, H.; Tounsi, A.; Bousahla, A.A.; Tounsi, A.; Mahmoud, S.R. Static and dynamic behavior of (FG-CNT) reinforced porous sandwich plate using energy principle. Steel Compos. Struct. 2019, 32, 595–610. [Google Scholar] [CrossRef]
- Arani, A.G.; Pourjamshidian, M.; Arefi, M.; Arani, M.R. Thermal, electrical and mechanical buckling loads of sandwich nano-beams made of FG-CNTRC resting on Pasternak’s foundation based on higher order shear deformation theory. Struct. Eng. Mech. 2019, 69, 439–455. [Google Scholar] [CrossRef]
- Nejati, M.; Ghasemi-Ghalebahman, A.; Soltanimaleki, A.; Dimitri, R.; Tornabene, F. Thermal vibration analysis of SMA hybrid composite double curved sandwich panels. Compos. Struct. 2019, 224, 111035. [Google Scholar] [CrossRef]
- Chaht, F.L.; Kaci, A.; Houari, M.S.A.; Tounsi, A.; Beg, O.A.; Mahmoud, S. Bending and buckling analyses of functionally graded material (FGM) size-dependent nanoscale beams including the thickness stretching effect. Steel Compos. Struct. 2015, 18, 425–442. [Google Scholar] [CrossRef]
- Ahouel, M.; Houari, M.S.A.; Bedia, E.A.; Tounsi, A. Size-dependent mechanical behavior of functionally graded trigonometric shear deformable nanobeams including neutral surface position concept. Steel Compos. Struct. 2016, 20, 963–981. [Google Scholar] [CrossRef]
- Bouafia, K.; Kaci, A.; Houari, M.S.A.; Benzair, A.; Tounsi, A. A nonlocal quasi-3D theory for bending and free flexural vibration behaviors of functionally graded nanobeams. Smart Struct. Syst. 2017, 19, 115–126. [Google Scholar] [CrossRef]
- She, G.-L.; Jiang, X.Y.; Karami, B. On thermal snap-buckling of FG curved nanobeams. Mater. Res. Express 2019, 6, 115008. [Google Scholar] [CrossRef]
- She, G.-L.; Yuan, F.-G.; Karami, B.; Ren, Y.-R.; Xiao, W.-S. On nonlinear bending behavior of FG porous curved nanotubes. Int. J. Eng. Sci. 2019, 135, 58–74. [Google Scholar] [CrossRef]
- Daikh, A.A.; Houari, M.S.A.; Tounsi, A. Buckling analysis of porous FGM sandwich nanoplates due to heat conduction via nonlocal strain gradient theory. Eng. Res. Express 2019, 1, 015022. [Google Scholar] [CrossRef]
- Daikh, A.A.; Bachiri, A.; Houari, M.S.A.; Tounsi, A. Size dependent free vibration and buckling of multilayered carbon nanotubes reinforced composite nanoplates in thermal environment. Mech. Based Des. Struct. Mach. 2020, 1–29, in press. [Google Scholar] [CrossRef]
- Daikh, A.A.; Drai, A.; Bensaid, I.; Houari, M.S.A.; Tounsi, A. On vibration of functionally graded sandwich nanoplates in the thermal environment. J. Sandw. Struct. Mater. 2020, 1–28, in press. [Google Scholar] [CrossRef]
- Daikh, A.A.; Guerroudj, M.; El Adjrami, M.; Megueni, A. Thermal Buckling of Functionally Graded Sandwich Beams. Adv. Mater. Res. 2019, 1156, 43–59. [Google Scholar] [CrossRef]
- Eltaher, M.; Mohamed, S.; Melaibari, A. Static stability of a unified composite beams under varying axial loads. Thin-Walled Struct. 2020, 147, 106488. [Google Scholar] [CrossRef]
- Hamed, M.A.; Abo-Bakr, R.M.; Mohamed, S.A.; Eltaher, M.A. Influence of axial load function and optimization on static stability of sandwich functionally graded beams with porous core. Eng. Comput. 2020, 36, 1929–1946. [Google Scholar] [CrossRef]
- Melaibari, A.; Abo-Bakr, R.M.; Mohamed, S.; Eltaher, M. Static stability of higher order functionally graded beam under variable axial load. Alex. Eng. J. 2020, 59, 1661–1675. [Google Scholar] [CrossRef]
- Zenkour, A.M.; Daikh, A.A. Bending of functionally graded sandwich nanoplates resting on Pasternak foundation under different boundary conditions. J. Appl. Comput. Mech. 2020, 6, 1245–1259. [Google Scholar] [CrossRef]
- Senturia, S.D. Microsystem Design; Springer Science & Business Media: Berlin, Germany, 2007. [Google Scholar]
- Emam, S.A.; Eltaher, M.A.; Khater, M.E.; Abdalla, W.S. Postbuckling and Free Vibration of Multilayer Imperfect Nanobeams under a Pre-Stress Load. Appl. Sci. 2018, 8, 2238. [Google Scholar] [CrossRef]
- Shi, D.-L.; Feng, X.-Q.; Huang, Y.Y.; Hwang, K.-C.; Gao, H. The Effect of Nanotube Waviness and Agglomeration on the Elastic Property of Carbon Nanotube-Reinforced Composites. J. Eng. Mater. Technol. 2004, 126, 250–257. [Google Scholar] [CrossRef]
- Khater, M.; Eltaher, M.; Abdel-Rahman, E.; Yavuz, M. Surface and thermal load effects on the buckling of curved nanowires. Eng. Sci. Technol. Int. J. 2014, 17, 279–283. [Google Scholar] [CrossRef][Green Version]
- Brischetto, S.; Tornabene, F. Advanced GDQ models and 3D stress recovery in multilayered plates, spherical and double-curved panels subjected to transverse shear loads. Compos. Part B Eng. 2018, 146, 244–269. [Google Scholar] [CrossRef]
- Tornabene, F.; Bacciocchi, M. Dynamic stability of doubly-curved multilayered shells subjected to arbitrarily oriented angular velocities: Numerical evaluation of the critical speed. Compos. Struct. 2018, 201, 1031–1055. [Google Scholar] [CrossRef]
- Tornabene, F. On the critical speed evaluation of arbitrarily oriented rotating doubly-curved shells made of functionally graded materials. Thin-Walled Struct. 2019, 140, 85–98. [Google Scholar] [CrossRef]
- Mohamed, N.; Eltaher, M.; Mohamed, S.; Seddek, L. Numerical analysis of nonlinear free and forced vibrations of buckled curved beams resting on nonlinear elastic foundations. Int. J. Non-Linear Mech. 2018, 101, 157–173. [Google Scholar] [CrossRef]
- Karami, B.; Janghorban, M.; Tounsi, A. Variational approach for wave dispersion in anisotropic doubly-curved nanoshells based on a new nonlocal strain gradient higher order shell theory. Thin-Walled Struct. 2018, 129, 251–264. [Google Scholar] [CrossRef]
- Arefi, M.; Pourjamshidian, M.; Arani, A.G. Free vibration analysis of a piezoelectric curved sandwich nano-beam with FG-CNTRCs face-sheets based on various high-order shear deformation and nonlocal elasticity theories. Eur. Phys. J. Plus 2018, 133, 193. [Google Scholar] [CrossRef]
- Arefi, M.; Bidgoli, E.M.-R.; Dimitri, R.; Tornabene, F.; Reddy, J.N. Size-Dependent Free Vibrations of FG Polymer Composite Curved Nanobeams Reinforced with Graphene Nanoplatelets Resting on Pasternak Foundations. Appl. Sci. 2019, 9, 1580. [Google Scholar] [CrossRef]
- Karami, B.; Janghorban, M.; Shahsavari, D.; Dimitri, R.; Tornabene, F. Nonlocal Buckling Analysis of Composite Curved Beams Reinforced with Functionally Graded Carbon Nanotubes. Molecules 2019, 24, 2750. [Google Scholar] [CrossRef]
- Karami, B.; Shahsavari, D.; Janghorban, M.; Li, L. Influence of homogenization schemes on vibration of functionally graded curved microbeams. Compos. Struct. 2019, 216, 67–79. [Google Scholar] [CrossRef]
- Arefi, M.; Bidgoli, E.M.-R.; Dimitri, R.; Bacciocchi, M.; Tornabene, F. Nonlocal bending analysis of curved nanobeams reinforced by graphene nanoplatelets. Compos. Part B Eng. 2019, 166, 1–12. [Google Scholar] [CrossRef]
- Eltaher, M.; Mohamed, N.; Mohamed, S.; Seddek, L. Periodic and nonperiodic modes of postbuckling and nonlinear vibration of beams attached to nonlinear foundations. Appl. Math. Model. 2019, 75, 414–445. [Google Scholar] [CrossRef]
- Malikan, M.; Nguyen, V.B.; Dimitri, R.; Tornabene, F. Dynamic modeling of non-cylindrical curved viscoelastic single-walled carbon nanotubes based on the second gradient theory. Mater. Res. Express 2019, 6, 075041. [Google Scholar] [CrossRef]
- Mohamed, N.; Eltaher, M.A.; Mohamed, S.A.; Seddek, L.F. Energy equivalent model in analysis of postbuckling of imperfect carbon nanotubes resting on nonlinear elastic foundation. Struct. Eng. Mech. 2019, 70, 737–750. [Google Scholar] [CrossRef]
- Van Tham, V.; Quoc, T.H.; Tu, T.M. Free Vibration Analysis of Laminated Functionally Graded Carbon Nanotube-Reinforced Composite Doubly Curved Shallow Shell Panels Using a New Four-Variable Refined Theory. J. Compos. Sci. 2019, 3, 104. [Google Scholar] [CrossRef]
- Dindarloo, M.H.; Li, L.; Dimitri, R.; Tornabene, F. Nonlocal Elasticity Response of Doubly-Curved Nanoshells. Symmetry 2020, 12, 466. [Google Scholar] [CrossRef]
- Eltaher, M.A.; Mohamed, N. Nonlinear stability and vibration of imperfect CNTs by Doublet mechanics. Appl. Math. Comput. 2020, 382, 125311. [Google Scholar] [CrossRef]
- Karami, B.; Shahsavari, D. On the forced resonant vibration analysis of functionally graded polymer composite doubly-curved nanoshells reinforced with graphene-nanoplatelets. Comput. Methods Appl. Mech. Eng. 2020, 359, 112767. [Google Scholar] [CrossRef]
- Karami, B.; Janghorban, M.; Tounsi, A. Novel study on functionally graded anisotropic doubly curved nanoshells. Eur. Phys. J. Plus 2020, 135, 103. [Google Scholar] [CrossRef]
- Mohamed, N.; Mohamed, S.A.; Eltaher, M.A. Buckling and post-buckling behaviors of higher order carbon nanotubes using energy-equivalent model. Eng. Comput. 2020, 1–14, in press. [Google Scholar] [CrossRef]
- Eringen, A.C. On differential equations of nonlocal elasticity and solutions of screw dislocation and surface waves. J. Appl. Phys. 1983, 54, 4703–4710. [Google Scholar] [CrossRef]
- Touloukian, Y.S. Thermophysical Properties of High Temperature Solid Materials; MacMillan: New York, NY, USA, 1967. [Google Scholar]
Publisher’s Note: MDPI stays neutral with regard to jurisdictional claims in published maps and institutional affiliations. |
© 2021 by the authors. Licensee MDPI, Basel, Switzerland. This article is an open access article distributed under the terms and conditions of the Creative Commons Attribution (CC BY) license (https://creativecommons.org/licenses/by/4.0/).








