Abstract
Considerable attention has been directed to understanding the influence of heterointerfaces between Ruddlesden–Popper (RP) phases and ABO3 perovskites on the kinetics of oxygen electrocatalysis at elevated temperatures. Here, we report the effect of heterointerfaces on the oxygen surface exchange kinetics by employing heteroepitaxial oxide thin films formed by decorating LaNiO3 (LNO) on La1.85Sr0.15CuO4 (LSCO) thin films. Regardless of LNO decoration, tensile in-plane strain on LSCO films does not change. The oxygen surface exchange coefficients (kchem) of LSCO films extracted from electrical conductivity relaxation curves significantly increase with partial decorations of LNO, whereas full LNO coverage leads to the reduction in the kchem of LSCO films. The activation energy for oxygen exchange in LSCO films significantly decreases with partial LNO decorations in contrast with the full coverage of LNO. Optical spectroscopy reveals the increased oxygen vacancies in the partially covered LSCO films relative to the undecorated LSCO film. We attribute the enhanced oxygen surface exchange kinetics of LSCO to the increased oxygen vacancies by creating the heterointerface between LSCO and LNO.
1. Introduction
The kinetically sluggish oxygen reduction reaction (ORR) at the cathode primarily limits the efficiency of intermediate temperature solid oxide fuel cells (SOFCs) [1,2,3], where mixed ionic and electronic conductors (MIECs) such as La1−xSrxCo1−yFeO3−δ (LSCF) perovskites are widely used as the cathode [4,5,6]. Among various approaches to achieve faster ORR activity on the cathode surface, recent studies have focused on forming heterointerfaces between two dissimilar MIECs [7,8,9,10,11,12]. In particular, oxide heterostructures formed by decorating Ruddlesden–Popper (RP) oxides on ABO3 perovskites have enabled the enhancement of the ORR kinetics on ABO3 oxides [13,14,15,16,17]. For example, highly enhanced oxygen surface exchange kinetics of La0.8Sr0.2CoO3−δ were obtained by synthesizing (001)-oriented multilayer thin films consisting of La0.8Sr0.2CoO3−δ and LaSrCoO4±δ [17]. Surface decoration on LSCF also effectively increased the ORR kinetics of LSCF [14]. Most of such efforts have been dedicated to improving the ORR kinetics on ABO3 by surface modifications with RP oxides. Whereas the mechanism of the enhanced ORR kinetics by the formation of heterointerfaces is not fully understood, the increased interfacial oxygen vacancies are thought to be responsible.
RP oxides are interesting alternative cathode materials to ABO3 perovskites due to their controllable stoichiometry (from oxygen excess to oxygen deficiency) and highly anisotropic oxygen ion migration [6,18,19,20,21]. In addition, RP oxides show no discernible cation segregation, which is the major degradation mechanism of ABO3 oxides [22,23]. Recently, La2−xSrxCuO4±δ has attracted attentions not only because of its comparable oxygen surface exchange kinetics to that of LSCF at intermediate temperatures [24], but also because of its multifunctionality including high Tc superconductivity [25,26,27]. In the case of Sr-doped La2CuO4, oxygen vacancies are the majority oxygen defects controlling the ORR kinetics; thus, the larger the oxygen vacancies, the faster the ORR kinetics. In this regard, the heterointerface formed by La2−xSrxCuO4±δ decorated with ABO3 lead to the enhancement in the ORR kinetics of La2−xSrxCuO4±δ, as oxygen vacancies can increase at the interface between RP phases and ABO3 [28,29]. Therefore, in order to increase oxygen vacancies at the heterointerface in this system, ABO3 oxides are required to readily form oxygen vacancies. LaNiO3 (LNO) can be a suitable candidate within the ABO3 perovskites since LNO possesses a relatively low formation energy for oxygen vacancies [30]. In particular, the (001) surface of LNO is known to more easily form oxygen vacancies compared with the LNO lattice [31]. Accordingly, LNO has been intensively used in composite oxides for SOFC cathodes. For instance, the cathode performance was significantly enhanced by mixing LNO with La2NiO4+δ (LNO214) as a composite cathode [32]. Furthermore, time-resolved X-ray diffraction showed no substantial barrier to ionic transport at the interface, which might contribute to the enhanced ORR activity of LNO–LNO214 composites [33]. Even though oxygen interstitials are the major defects in LNO214 [34], the contribution of LNO to the enhanced ORR kinetics in LNO–LNO214 composites is not very well understood.
Here, by growing heteroepitaxial oxide thin films formed by La1.85Sr0.15CuO4 (LSCO) decorated with LNO as a model system, we show that the oxygen surface exchange kinetics of LSCO can be significantly influenced by LNO decorations that enable an increase in the vacancy content in the LSCO films. We demonstrate that partial LNO decorations can increase the oxygen surface exchange coefficients (kchem) of the LSCO film, whereas full LNO coverage reduces the kchem values.
2. Materials and Methods
2.1. Thin Film Deposition
Epitaxial LSCO thin films of ~60 nm thickness with LNO surface decoration of different thicknesses, from partial to full coverage (~1.5, ~3, and ~15 nm), were grown by pulsed laser deposition (PLD) on single-crystal (001) yttria-stabilized zirconia (YSZ) substrates. A Gd-doped ceria (GDC) buffer layer (~20 nm) was introduced between LSCO and YSZ to prevent the formation of La2Zr2O7 [35]. The YSZ substrate was attached to the PLD substrate holder using a small amount of silver paint for thermal contact. PLD was performed using a KrF excimer laser at λ = 248 nm, 10 Hz pulse rate, and 40 mJ pulse energy under an oxygen partial pressure, p(O2), of 1.3 × 10−4 atm (100 mTorr) with GDC at 550 °C, followed by LSCO and LNO at 700 °C. After completing the deposition, the samples were cooled to room temperature in the PLD chamber for 1 h under a p(O2) of 1.3 × 10−4 atm (100 mTorr).
2.2. Thin Film Characteristics
Oxide phase purity and crystallography of the films were investigated via high-resolution X-ray diffraction (HRXRD) using a four-circle diffractometer. Measurements were performed in the in-plane and out-of-plane configurations. The thickness of the films was characterized by X-ray reflectivity (XRR) measurements.
2.3. Oxygen Surface Exchange Kinetics
Electrical conductivity relaxation (ECR) was performed with a source meter (Keithley 2450) via a van der Pauw configuration. Four silver electrodes were painted on the edge of the sample with a separation of 5 mm. The measurements were carried out in the temperature range from 350 to 650 °C. The relaxations were triggered by switching oxygen partial pressure from 0.5 to 0.01 with different N2-O2 mixtures. The relaxations during oxygen partial pressure changes were fitted to an exponential equation, from which the time constant τ was extracted to calculate the oxygen surface exchange coefficient.
2.4. Optical Conductivity
The ellipsometry technique was employed to obtain the optical constants of the films. Two ellipsometric parameters, ψ (tanψ corresponds to the amplitude ratio between p- and s-polarization light) and Δ (phase difference between p- and s- polarization light), for the films and the bare substrate were obtained at room temperature. The incident angle of light was 70 degrees. The ellipsometric parameters of the bare substrate were directly transformed to the real and imaginary parts of optical conductivity. Then, a two-layer model composed of the substrate and the film was constructed to determine the optical conductivity of the films. The thickness of the films was obtained from separate XRR measurements and fixed during fitting. The only variables in this two-layer model were therefore the real and imaginary parts of the optical constants of the film. The Kramers−Kronig condition was forced during the procedure.
3. Results
3.1. Thin Film Characteristics
Figure 1a shows the XRD data of the reference LSCO film and LNO-decorated LSCO films. The films clearly show the presence of the (00l)tetra. peaks of LSCO and (00l)cubic peaks of GDC and YSZ, indicating that the LSCO films grew epitaxially. With the LNO coverage of 3 nm thickness, the (00l)pc peaks of LNO become visible. The subscripts tetra. and pc denote the tetragonal [20,21] and pseudo-cubic [36] notation, respectively. The ϕ scans of the LNO-decorated LSCO films showed that LNO (202)pc, LSCO (103)tetra., GDC (202)cubic, and YSZ (202)cubic have strong peaks with four-fold cubic symmetry (Figure 1b), which reveals the in-plane crystallographic relationships between GDC and YSZ (cube-on-cube alignment), LSCO and GDC (in-plane 45° rotation), and LSCO and LNO (no rotation). The measured in-plane lattice parameters of the LSCO films were found to be a = 3.801 Å for the undecorated LSCO film, a = 3.792 Å for ~3 nm LNO-decorated LSCO film, and a = 3.804 for ~15 nm LNO-decorated LSCO film, which are slightly larger compared with the literature data (a = 3.777 Å, c = 13.226 Å for bulk LSCO [26]). Considering the lattice mismatch between LSCO and GDC, the LSCO films were tensile-strained, which was further confirmed by XRD reciprocal space maps (RSMs) shown in Figure 1c–e. Therefore, the effect of strain on the oxygen surface exchange kinetics was ruled out in this study.
Figure 1.
(a) XRD θ–2θ patterns of the epitaxial reference LSCO and LNO-decorated LSCO films; (b) XRD ϕ scans of the 202 reflection of a YSZ substrate, a GDC buffer layer (~20 nm), and a LNO film (~15 nm), and of the 103 reflection of a LSCO film (~60 nm). GDC and YSZ substrate peaks are indicated with # and *, respectively. RSMs around the 2 2-4 Bragg peak from YSZ of (c) reference LSCO, (d) ~3nm LNO-decorated LSCO, and (e) ~15 nm LNO-decorated LSCO film.
3.2. Oxygen Surface Exchange Kinetics
Figure 2 shows an ECR normalized curve corresponding to the 0.5 to 0.1 atm of the reduction step measured with the LSCO film decorated with ~3 nm thick LNO at 450 °C. ECR measures the electrical conductivity of the thin film as a function of time during a change in the oxygen partial pressure, p(O2) [37,38]. The electrical conductivity is very sensitive to the changes in oxygen chemical potential depending on the defect chemistry of the thin film, which can enable the evaluation of oxygen transport properties [39,40]. The raw data of the relaxations were fitted by a solution to Fick’s second law [41,42]. A simple exponential function
with
where τ, , and kchem are the time constant, film thickness, and oxygen surface exchange coefficient, respectively, was used to fit the experimental results. As shown in Figure 2, the fitted data with the simple model was found to well-match the experimental data, and thus this simple model was used in this work.
Figure 2.
Experimental and fitted ECR data obtained from the ~3 nm LNO-decorated LSCO film under a gas switch from 0.5 to 0.1 atm at 450 °C.
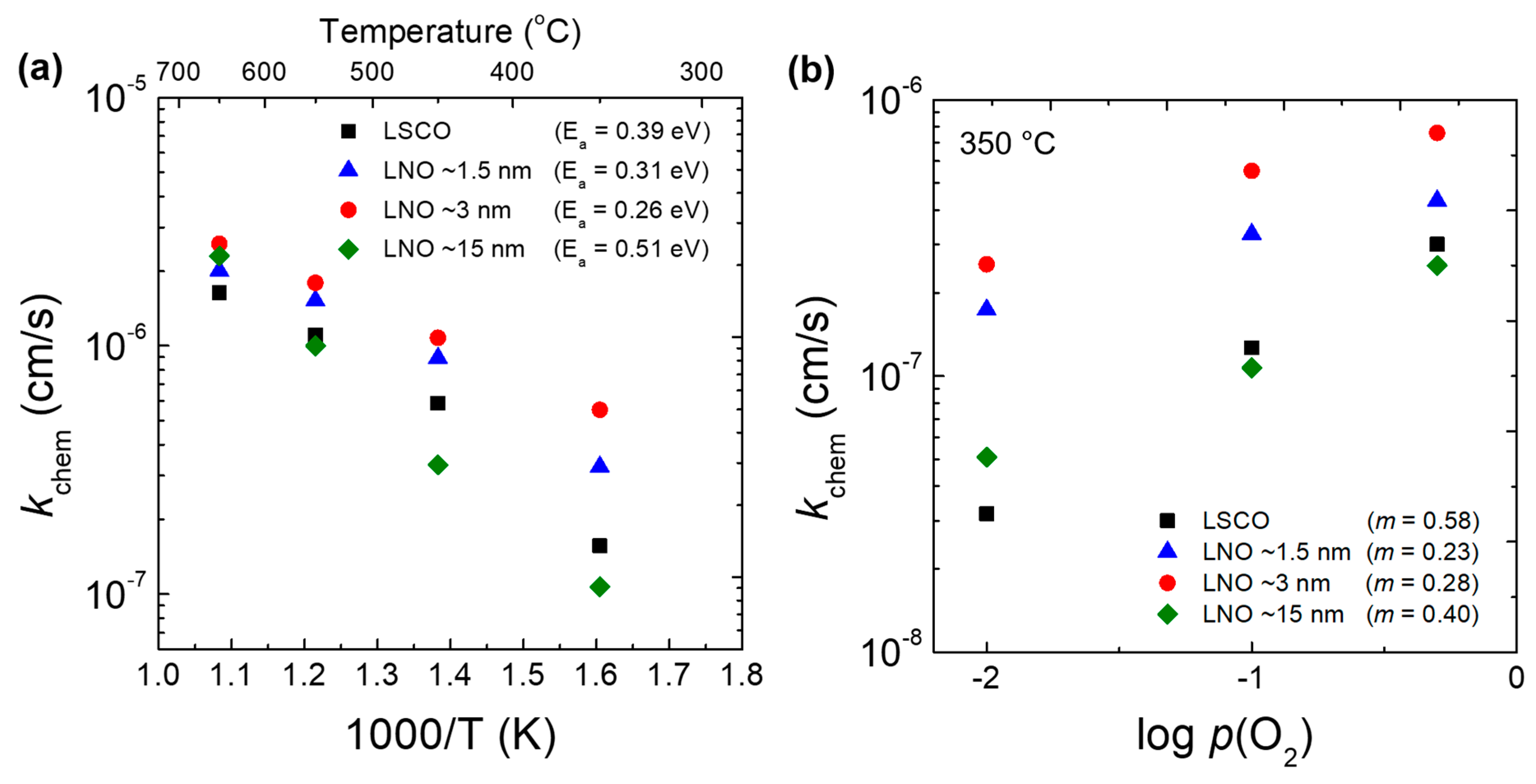
Figure 3 shows the kchem values of the undecorated LSCO and LNO-decorated LSCO films collected from ECR measurements. Considering the film thicknesses were much smaller than the critical thickness (estimated to be 3 μm for bulk La2CuO4 [43]), the p(O2)-dependent kchem values (Figure 3b) suggest that the oxygen surface exchange kinetics govern the ORR activity on the film surface. As shown in Figure 3, the formation of heterointerfaces has a strong influence on the oxygen surface exchange kinetics of the LSCO film. Interestingly, the kchem values of the LSCO films were enhanced with LNO coverage less than or equal to ~3 nm in thickness, whereas those were reduced with ~15 nm LNO coverage (Figure 3a). Figure 3b shows the p(O2)-dependent kchem values of the undecorated LSCO and LNO-decorated LSCO films at 350 °C. At a p(O2) of 10−2 atm, the LSCO films with partial LNO coverages showed increased kchem values by up to approximately one order of magnitude compared with the undecorated LSCO film. The p(O2) dependency of kchem () can be indicative of the rate-limiting step of oxygen surface exchange [44,45]. The undecorated LSCO film exhibited an m value close to 0.5, which indicates that the dissociation of molecular oxygen to atomic oxygen is likely to be the rate-limiting step (O2, ads ↔ 2Oads). With partial LNO coverages (~1.5 and ~3 nm), however, the dependence of kchem on p(O2) exhibited noticeable changes. The m values for the LSCO films with partial LNO coverages were found to be close to 0.25, which implies that the charge transfer process (O2,ads + 4e− + 2VO∙∙ ↔ 2OOx) can be the rate-limiting step. The difference in the rate-limiting step resulting from decorating LNO on LSCO suggests the different amounts of oxygen vacancies in LSCO, since the creation of more oxygen vacancies can provide more active sites for the dissociative adsorption of oxygen. It is therefore hypothesized that the partial LNO surface modifications can increase the concentration of oxygen vacancies on the surface of LSCO film, which may be responsible for the increased oxygen surface exchange rate [46,47,48]. It is worth noting that the surface oxygen exchange steps proposed in this study may include several elemental steps that might interfere with determining the exact rate-limiting step. However, the different m values suggest that LNO surface modifications strongly influence the mechanism and kinetics of ORR on the LSCO film. Furthermore, the activation energies for oxygen exchange in the LSCO films with partial LNO decorations were found to be much lower (0.26~0.31 eV) than those in the undecorated LSCO (0.39 eV) and LSCO film with full LNO coverage (0.51 eV). This result clearly shows that the energy barrier for the surface exchange processes of the LSCO film decreased with partial LNO coverages.
Figure 3.
(a) Temperature and (b) p(O2)-dependent kchem values for undecorated LSCO and LNO-decorated LSCO films.
3.3. Optical Conductivity
Since the change in oxygen vacancies can be sensitively examined by optical spectroscopy [49,50], the optical conductivities of the undecorated LSCO and LNO-decorated LSCO films were evaluated by spectroscopic ellipsometry. As shown in Figure 4, a single peak was observed at 1.5 eV for the undecorated LSCO film. The peak position shifted toward lower photon energy with decorating LNO on LSCO. Previous studies also demonstrated a similar trend in the peak shift toward lower photon energy with increasing vacancy contents in La2−xSrxCuO4 [51,52]. Therefore, our optical conductivity results verify the aforementioned hypothesis of the increased oxygen vacancies by forming the heterointerface between LSCO and LNO. The increase in the concentration of oxygen vacancies by decorating LNO on LSCO can also be supported by the theoretical formation energies (Evac) for oxygen vacancies. The formation energy (Evac) for oxygen vacancies in LNO (1.23 eV) is known to be much lower than that in LSCO (2 eV) [24,31]. Accordingly, the LNO-decorated LSCO films have a higher concentration of oxygen vacancies on the surface compared with the undecorated LSCO film. Given the experimental and theoretical results, the increased oxygen vacancies obtained by constructing the heterointerface between LSCO and LNO facilitate oxygen dissociation and incorporation at the LSCO surface, resulting in the enhancement in ORR activity for the LSCO film.
Figure 4.
Optical conductivity (σ1) of the undecorated LSCO and LNO-decorated LSCO films.
4. Discussion
Whereas the LNO surface modification led to an increase in oxygen vacancies in the LSCO films, a fully dense surface layer of LNO was not beneficial for enhancing the oxygen surface exchange kinetics of the LSCO film. As shown in Figure 3, the surface decoration of full LNO coverage was found to be detrimental to the kchem values of the LSCO film, which cannot be explained by the results from optical spectroscopy. It was reported that the oxygen surface exchange kinetics of oxide thin film heterostructures becomes mainly dependent on decorated materials with increasing thickness of decorated materials [12,13]. Therefore, the decorated LNO becomes more dominant in determining the oxygen surface exchange kinetics of LNO-decorated LSCO films with increasing the LNO thickness. Furthermore, LNO has poor ORR activity at high temperatures due to the decomposition of LNO to Lan+1NinO3n+1 and NiO [53] and/or the distorted structure of LNO due to the presence of oxygen vacancies [54,55]. Hence, interfacial LNO/LSCO regions or LNO thin layers of a few nanometers in thickness on LSCO are responsible for the observed ORR kinetics, which is further supported by the m value of full LNO coverage (~15 nm) being larger than that of the partially covered LSCO films and comparable to a single-layer LNO film (m = 0.36, not shown in this paper). Consequently, the LSCO films with partial LNO coverages have the charge transfer as the rate-limiting step, whereas the rate-limiting step in the LSCO with full LNO decoration is the same as that in the undecorated LSCO film. Moreover, the activation energy for oxygen exchange in the LSCO with full LNO coverage (0.51 eV) was larger than that in the undecorated LSCO film, which suggests that the thick LNO decoration increased the activation energy barrier for the oxygen exchange of the LSCO film. Therefore, only partial LNO decorations enable the enhancement in the surface exchange kinetics on the LSCO film (Figure 5).
Figure 5.
Schematic of the surface exchange kinetics of LSCO films with (a) partial LNO coverage and (b) full LNO coverage. The active oxygen vacancies in LSCO with partial LNO coverage lead to fast oxygen incorporation into the LSCO film while full LNO coverage hinders the oxygen incorporation into LSCO.
5. Conclusions
In summary, we successfully demonstrated that LNO surface modification can significantly influence the ORR activity of epitaxial LSCO thin films. We showed that the partial LNO decoration (~3 nm) led to enhancement of the kchem values of the LSCO films compared with the undecorated LSCO and LSCO with the LNO decoration of full coverage (~15 nm). We also found a change in the rate-limiting step to charge transfer from dissociative adsorption with partial LNO decorations on LSCO. In addition, the activation energies for oxygen exchange in the LSCO films with partial LNO coverages were smaller than those of the undecorated LSCO and LSCO with full LNO coverage. These changes resulted from the increased oxygen vacancies by decorating LNO on LSCO, as confirmed by the optical spectroscopy results. Therefore, the increased oxygen vacancies in the LSCO film promoted the oxygen absorption at the surface, greatly improving the ORR activity. Our results demonstrate the key role of heterointerfaces on the oxygen surface exchange process in RP phases, and a new strategy to design highly active RP oxides for SOFC cathodes.
Author Contributions
D.L. and G.Y. designed the idea in this paper. G.Y. performed the experiments and analyzed the data. S.Y.K. and C.S. performed the optical conductivity experiments. D.L. and G.Y. prepared the first draft. J.K.K. consulted the relevant studies and references. D.L. supervised the paper preparation and finalization. All authors have read and agreed to the published version of the manuscript.
Funding
This research was funded by the U.S. Department of Energy (DOE), Office of Science (OS), Basic Energy Sciences (BES), grant number DE-SC0021363. Support for C.S. was provided by Creative Materials Discovery Program through the National Research Foundation of Korea (NRF) funded by Ministry of Science and ICT (NRF-2017M3D1A1040828).
Institutional Review Board Statement
Not applicable.
Informed Consent Statement
Not applicable.
Data Availability Statement
All data are already provided in the manuscript.
Acknowledgments
Sample synthesis and structural characterization were performed at the Center for Nanophase Materials Sciences (CNMS), which is sponsored at Oak Ridge National Laboratory (ORNL) by the Scientific User Facilities Division, BES, DOE. Optical spectroscopic studies were conducted at the IBS Center for Correlated Electron Systems, Seoul National University.
Conflicts of Interest
The authors declare no conflict of interest.
References
- Shao, Z.P.; Haile, S.M. A high-performance cathode for the next generation of solid-oxide fuel cells. Nature 2004, 431, 170–173. [Google Scholar] [CrossRef] [PubMed]
- Steele, B.C.H.; Heinzel, A. Materials for fuel-cell technologies. Nature 2001, 414, 345–352. [Google Scholar] [CrossRef] [PubMed]
- Shao, M.; Chang, Q.; Dodelet, J.P.; Chenitz, R. Recent advances in electrocatalysts for oxygen reduction reaction. Chem. Rev. 2016, 116, 3594–3657. [Google Scholar] [CrossRef] [PubMed]
- Bae, J.M.; Steele, B.C.H. Properties of La0.6Sr0.4Co0.2Fe0.8O3−δ (LSCF) double layer cathodes on gadolinium-doped cerium oxide (CGO) electrolytes: I. Role of SiO2. Solid State Ion. 1998, 106, 247–253. [Google Scholar] [CrossRef]
- Esquirol, A.; Brandon, N.P.; Kilner, J.A.; Mogensen, M. Electrochemical characterization of La 0.6Sr0.4Co0.2Fe0.8O3 cathodes for intermediate-temperature SOFCs. J. Electrochem. Soc. 2004, 151, A1847. [Google Scholar] [CrossRef]
- Yang, G.; Jung, W.; Ahn, S.J.; Lee, D. Controlling the oxygen electrocatalysis on perovskite and layered oxide thin films for solid oxide fuel cell cathodes. Appl. Sci. 2019, 9, 1030. [Google Scholar] [CrossRef]
- Chen, J.; Liang, F.L.; Chi, B.; Pu, J.; Jiang, S.P.; Jian, L. Palladium and ceria infiltrated La0.8Sr0.2Co0.5Fe0.5O3−δ cathodes of solid oxide fuel cells. J. Power Sources 2009, 194, 275–280. [Google Scholar] [CrossRef]
- Crumlin, E.J.; Ahn, S.J.; Lee, D.; Mutoro, E.; Biegalski, M.D.; Christen, H.M.; Shao-Horn, Y. Oxygen electrocatalysis on epitaxial La0.6Sr0.4CoO3−δ perovskite thin films for solid oxide fuel cells. J. Electrochem. Soc. 2012, 159, F219–F225. [Google Scholar] [CrossRef]
- Liu, M.F.; Ding, D.; Blinn, K.; Li, X.X.; Nie, L.F.; Liu, M. Enhanced performance of LSCF cathode through surface modification. Int. J. Hydrogen Energy 2012, 37, 8613–8620. [Google Scholar] [CrossRef]
- Lou, X.; Wang, S.; Liu, Z.; Yang, L.; Liu, M. Improving La0.6Sr0.4Co0.2Fe0.8O3−δ cathode performance by infiltration of a Sm0.5Sr0.5CoO3−δ coating. Solid State Ion. 2009, 180, 1285–1289. [Google Scholar] [CrossRef]
- Mutoro, E.; Crumlin, E.J.; Biegalski, M.D.; Christen, H.M.; Shao-Horn, Y. Enhanced oxygen reduction activity on surface-decorated perovskite thin films for solid oxide fuel cells. Energy Environ. Sci. 2011, 4, 3689–3696. [Google Scholar] [CrossRef]
- Lee, D.; Lee, Y.L.; Grimaud, A.; Hong, W.T.; Biegalski, M.D.; Morgan, D.; Shao-Horn, Y. Enhanced oxygen surface exchange kinetics and stability on epitaxial La0.8Sr0.2CoO3−δ Thin Films by La0.8Sr0.2MnO3−δ Decoration. J. Phys. Chem. C 2014, 118, 14326–14334. [Google Scholar] [CrossRef]
- Lee, D.; Lee, Y.L.; Hong, W.T.; Biegalski, M.D.; Morgan, D.; Shao-Horn, Y. Oxygen surface exchange kinetics and stability of (La,Sr)2CoO4±δ/La1−xSrxMO3−δ (M = Co and Fe) hetero-interfaces at intermediate temperatures. J. Mater. Chem. A 2015, 3, 2144–2157. [Google Scholar] [CrossRef]
- Lee, D.; Lee, Y.L.; Wang, X.R.; Morgan, D.; Shao-Horn, Y. Enhancement of oxygen surface exchange on epitaxial La0.6Sr0.4Co0.2Fe0.8O3−δ thin films using advanced heterostructured oxide interface engineering. MRS Commun. 2016, 6, 204–209. [Google Scholar] [CrossRef]
- Sase, M.; Hermes, F.; Yashiro, K.; Sato, K.; Mizusaki, J.; Kawada, T.; Sakai, N.; Yokokawa, H. Enhancement of oxygen surface exchange at the hetero-interface of (La,Sr)CoO3/(La,Sr)2CoO4 with PLD-layered films. J. Electrochem. Soc. 2008, 155, B793–B797. [Google Scholar] [CrossRef]
- Yashiro, K.; Nakamura, T.; Sase, M.; Hermes, F.; Sato, K.; Kawada, T.; Mizusaki, J. Composite cathode of perovskite-related oxides, (La,Sr)CoO3−δ/(La,Sr)2CoO4−δ, for solid oxide fuel cells. Electrochem. Solid State Lett. 2009, 12, B135–B137. [Google Scholar] [CrossRef]
- Crumlin, E.J.; Mutoro, E.; Ahn, S.J.; la O’, G.J.; Leonard, D.N.; Borisevich, A.; Biegalski, M.D.; Christen, H.M.; Shao-Horn, Y. Oxygen reduction kinetics enhancement on a heterostructured oxide surface for solid oxide fuel cells. J. Phys. Chem. Lett. 2010, 1, 3149–3155. [Google Scholar] [CrossRef]
- Amow, G.; Skinner, S.J. Recent developments in Ruddlesden-Popper nickelate systems for solid oxide fuel cell cathodes. J. Solid State Electrochem. 2006, 10, 538–546. [Google Scholar] [CrossRef]
- Burriel, M.; Garcia, G.; Santiso, J.; Kilner, J.A.; Chater, R.J.; Skinner, S.J. Anisotropic oxygen diffusion properties in epitaxial thin films of La2NiO4+δ. J. Mater. Chem. A 2008, 18, 416–422. [Google Scholar] [CrossRef]
- Lee, D.; Lee, Y.L.; Grimaud, A.; Hong, W.T.; Biegalski, M.D.; Morgan, D.; Shao-Horn, Y. Strontium influence on the oxygen electrocatalysis of La2−xSrxNiO4±δ (0.0 ≤ xSr ≤ 1.0) thin films. J. Mater. Chem. A 2014, 2, 6480–6487. [Google Scholar] [CrossRef]
- Lee, D.; Grimaud, A.; Crumlin, E.J.; Mezghani, K.; Habib, M.A.; Feng, Z.; Hong, W.T.; Biegalski, M.D.; Christen, H.M.; Shao-Horn, Y. Strain influence on the oxygen electrocatalysis of the (100)-oriented epitaxial La2NiO4+δ thin films at elevated temperatures. J. Phys. Chem. C 2013, 117, 18789–18795. [Google Scholar] [CrossRef]
- Oh, D.; Gostovic, D.; Wachsman, E.D. Mechanism of La0.6Sr0.4Co0.2Fe0.8O3 cathode degradation. J. Mater. Res. 2012, 27, 1992–1999. [Google Scholar] [CrossRef]
- Simner, S.P.; Anderson, M.D.; Engelhard, M.H.; Stevenson, J.W. Degradation mechanisms of La–Sr–Co–Fe–O3 SOFC Cathodes. Electrochem. Solid-State Lett. 2006, 9, A478–A481. [Google Scholar] [CrossRef]
- Lee, Y.L.; Lee, D.; Wang, X.R.; Lee, H.N.; Morgan, D.; Shao-Horn, Y. Kinetics of oxygen surface exchange on epitaxial Ruddlesden–Popper phases and correlations to first-principles descriptors. J. Phys. Chem. Lett. 2016, 7, 244–249. [Google Scholar] [CrossRef]
- Meyer, T.L.; Jacobs, R.; Lee, D.; Jiang, L.; Freeland, J.W.; Sohn, C.; Egami, T.; Morgan, D.; Lee, H.N. Strain control of oxygen kinetics in the Ruddlesden-Popper oxide La1.85Sr0.15CuO4. Nat. Commun. 2018, 9, 92. [Google Scholar] [CrossRef]
- Tarascon, J.M.; Greene, L.H.; Mckinnon, W.R.; Hull, G.W.; Geballe, T.H. Superconductivity at 40 K in the oxygen-defect perovskites La2−xSrxCuO4−y. Science 1987, 235, 1373–1376. [Google Scholar] [CrossRef] [PubMed]
- Sato, H. Thickness dependence of superconductivity and resistivity in La1.85Sr0.15CuO4 films. Phys. C Supercond. 2008, 468, 991–995. [Google Scholar] [CrossRef]
- Chen, Y.; Chen, Y.; Ding, D.; Ding, Y.; Choi, Y.; Zhang, L.; Yoo, S.; Chen, D.; deGlee, B.; Xu, H.; et al. A robust and active hybrid catalyst for facile oxygen reduction in solid oxide fuel cells. Energy Environ. Sci. 2017, 10, 964–971. [Google Scholar] [CrossRef]
- Chen, Y.; Yoo, S.; Pei, K.; Chen, D.; Zhang, L.; deGlee, B.; Murphy, R.; Zhao, B.; Zhang, Y.; Chen, Y.; et al. An in situ formed, dual-phase cathode with a highly active catalyst coating for protonic ceramic fuel cells. Adv. Funct. Mater. 2018, 28, 1704907. [Google Scholar] [CrossRef]
- Lee, Y.L.; Morgan, D.; Kleis, J.; Rossmeisl, J. Ab initio defect energetics in LaBO3 perovskite solid oxide fuel cell materials. ECS Trans. 2019, 25, 2761–2767. [Google Scholar] [CrossRef]
- Pan, C.C.; Chen, Y.H.; Wu, N.; Zhang, M.L.; Yuan, L.H.; Zhang, C.R. First-principle study of O vacancy on LaNiO3 (001) surface. Int. J. Hydrogen Energy 2016, 41, 15756–15763. [Google Scholar] [CrossRef]
- Lu, L.; Guo, Y.; Zhang, H.; Jin, J. Electrochemical performance of La2NiO4+δ–La0.6Sr0.4Co0.2Fe0.8O3−δ composite cathodes for intermediate temperature solid oxide fuel cells. Mater. Res. Bull. 2010, 45, 1135–1140. [Google Scholar] [CrossRef]
- Moreno, R.; García, P.; Zapata, J.; Roqueta, J.; Chaigneau, J.; Santiso, J. Chemical strain kinetics induced by oxygen surface exchange in epitaxial films explored by time-resolved X-ray diffraction. Chem. Mater. 2013, 25, 3640–3647. [Google Scholar] [CrossRef]
- Lee, D.; Lee, H.N. Controlling oxygen mobility in Ruddlesden-Popper oxides. Materials 2017, 10, 368. [Google Scholar] [CrossRef]
- Mitterdorfer, A.; Gauckler, L.J. La2Zr2O7 formation and oxygen reduction kinetics of the La0.85Sr0.15MnyO3, O2(g)|YSZ system. Solid State Ion. 1998, 111, 185–218. [Google Scholar] [CrossRef]
- la O’, G.J.; Ahn, S.J.; Crumlin, E.; Orikasa, Y.; Biegalski, M.D.; Christen, H.M.; Shao-Horn, Y. Catalytic activity enhancement for oxygen reduction on epitaxial perovskite thin films for solid-oxide fuel cells. Angew. Chem. Int. Ed. 2010, 49, 5344–5347. [Google Scholar] [CrossRef]
- Ma, B.; Balachandran, U.; Park, J.H.; Segre, C.U. Determination of chemical diffusion coefficient of SrFeCo0.5Ox by the conductivity relaxation method. Solid State Ion. 1996, 83, 65–71. [Google Scholar] [CrossRef]
- Murugaraj, R.; Govindaraj, G.; Suganthi, R.; George, D. Electrical conductivity studies of sodium borate system based on diffusion controlled relaxation model. J. Mater. Sci. 2003, 38, 107–112. [Google Scholar] [CrossRef]
- Chen, X.J.; Soltan, S.; Zhang, H.; Habermeier, H.U. Strain effect on electronic transport and ferromagnetic transition temperature in La0.9Sr0.1MnO3 thin films. Phys. Rev. B 2002, 65, 174402. [Google Scholar] [CrossRef]
- Mosleh, M.; Søgaard, M.; Hendriksen, P.V. Kinetics and mechanisms of oxygen surface exchange on La0.6Sr0.4FeO3−δ thin films. J. Electrochem. Soc. 2009, 156, B441–B457. [Google Scholar] [CrossRef]
- Crank, J. The Mathematics of Diffusion; Clarendon Press: Oxford, UK, 1975. [Google Scholar]
- Garcia, G.; Burriel, M.; Bonanos, N.; Santiso, J. Electrical conductivity and oxygen exchange kinetics of La2NiO4+δ thin films grown by chemical vapor deposition. J. Electrochem. Soc. 2008, 155, P28–P32. [Google Scholar] [CrossRef]
- Boehm, E.; Bassat, J.M.; Steil, M.C.; Dordor, P.; Mauvy, F.; Grenier, J.C. Oxygen transport properties of La2Ni1−xCuxO4+δ mixed conducting oxides. Solid State Sci. 2003, 5, 973–981. [Google Scholar] [CrossRef]
- De Souza, R.A. A universal empirical expression for the isotope surface exchange coefficients (k*) of acceptor-doped perovskite and fluorite oxides. Phys. Chem. Chem. Phys. 2006, 8, 890–897. [Google Scholar] [CrossRef] [PubMed]
- Adler, S.B.; Chen, X.Y.; Wilson, J.R. Mechanisms and rate laws for oxygen exchange on mixed-conducting oxide surfaces. J. Catal. 2007, 245, 91–109. [Google Scholar] [CrossRef]
- Adler, S.B. Factors governing oxygen reduction in solid oxide fuel cell cathodes. Chem. Rev. 2004, 104, 4791–4844. [Google Scholar] [CrossRef] [PubMed]
- Choi, Y.; Lynch, M.E.; Lin, M.C.; Liu, M. Prediction of O2 dissociation kinetics on LaMnO3-based cathode materials for solid oxide fuel cells. J. Phys. Chem. C 2009, 113, 7290–7297. [Google Scholar] [CrossRef]
- Zhao, C.; Liu, X.; Zhang, W.; Zheng, Y.; Li, Y.; Yu, B.; Wang, J.; Chen, J. Measurement of oxygen reduction/evolution kinetics enhanced (La,Sr)CoO3/(La,Sr)2CoO4 hetero-structure oxygen electrode in operating temperature for SOCs. Int. J. Hydrogen Energy 2018, 44, 19102–19112. [Google Scholar] [CrossRef]
- Choi, W.S.; Kwon, J.H.; Jeen, H.; Hamann-Borrero, J.E.; Radi, A.; Macke, S.; Sutarto, R.; He, F.; Sawatzky, G.A.; Hinkov, V.; et al. Strain-induced spin states in atomically ordered cobaltites. Nano Lett. 2012, 12, 4966–4970. [Google Scholar] [CrossRef] [PubMed]
- Lee, D.; Jacobs, R.; Jee, Y.; Seo, A.; Sohn, C.; Ievlev, A.V.; Ovchinnikova, O.S.; Huang, K.; Morgan, D.; Lee, H.N. Stretching epitaxial La0.6Sr0.4CoO3−δ for fast oxygen reduction. J. Phys. Chem. C 2017, 121, 25651–25658. [Google Scholar] [CrossRef]
- Uchida, S.; Ido, T.; Takagi, H.; Arima, T.; Tokura, Y.; Tajima, S. Optical spectra of La2−xSrxCuO4: Effect of carrier doping on the electronic structure of the CuO2 plane. Phys. Rev. B 1991, 43, 7942–7954. [Google Scholar] [CrossRef]
- Comanac, A.; de’ Medici, L.; Capone, M.; Millis, A.J. Optical conductivity and the correlation strength of high-temperature copper-oxide superconductors. Nat. Phys. 2008, 4, 287–290. [Google Scholar] [CrossRef]
- Höfer, H.E.; Kock, W.F. Crystal chemistry and thermal behavior in the La(Cr, Ni)O3 perovskite system. J. Electrochem. Soc. 1993, 140, 2889–2894. [Google Scholar] [CrossRef]
- Fierro, J.L.G.; Tascón, J.M.D.; Tejuca, L.G. Surface properties of LaNiO3: Kinetic studies of reduction and of oxygen adsorption. J. Catal. 1985, 93, 83–91. [Google Scholar] [CrossRef]
- Retuerto, M.; Pereira, A.G.; Pérez-Alonso, F.J.; Peña, M.A.; Fierro, J.L.G.; Alonso, J.A.; Fernández-Díaz, M.T.; Pascual, L.; Rojas, S. Structural effects of LaNiO3 as electrocatalyst for the oxygen reduction reaction. Appl. Catal. B 2017, 203, 363–371. [Google Scholar] [CrossRef]
Publisher’s Note: MDPI stays neutral with regard to jurisdictional claims in published maps and institutional affiliations. |
© 2021 by the authors. Licensee MDPI, Basel, Switzerland. This article is an open access article distributed under the terms and conditions of the Creative Commons Attribution (CC BY) license (https://creativecommons.org/licenses/by/4.0/).




