Analysis of Tire Acoustic Cavity Resonance Energy Transmission Characteristics in Wheels Based on Power Flow Method
Abstract
1. Introduction
2. Simulation Method
2.1. Sound Pressure Load Modeling and Verification
2.2. Wheel Modeling and Verification
2.3. Vibration Energy Transmission Characteristics
3. Influence Factors Discussion
3.1. Structure Damping
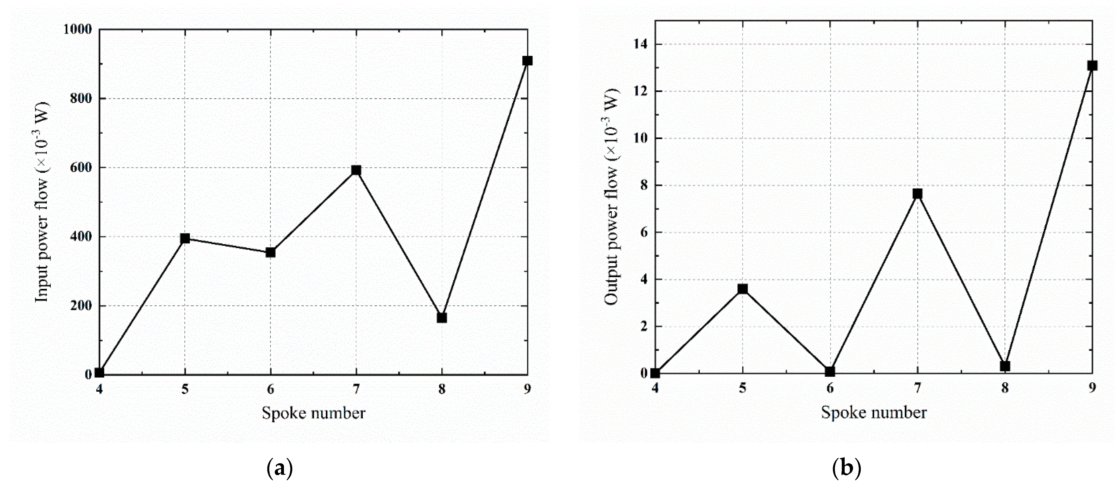
3.2. Spoke Number
4. Conclusions
- The sound pressure distribution in the acoustic load model generated by TACR was put forward first and proven to be feasible. The power flow method, when first used in the investigation of energy transmission characteristics in wheels, is helpful to the quantitative description of energy propagation;
- The distribution of TACR energy during propagation was different for different structures of wheels, and the values of the input and output power flows varied greatly. Therefore, it is feasible to reduce the resonance energy to propagate into the suspension system and further influence passengers through improving the design of the wheel;
- When the number of spokes was odd, both the input and output of power flows under the same excitation were larger than for wheels with even-numbered spokes. Among the wheels with 4–9 spokes, wheels with four or eight spokes should be chosen to reduce the TACR energy propagation.
Author Contributions
Funding
Institutional Review Board Statement
Informed Consent Statement
Data Availability Statement
Acknowledgments
Conflicts of Interest
References
- Sakata, T.; Morimura, H.; Ide, H. Effects of tire cavity resonance on vehicle road noise. Tire Sci. Technol. 1990, 18, 68–79. [Google Scholar] [CrossRef]
- Mohamed, Z.; Wang, X.; Jazar, R. Structural-acoustic coupling study of tyre-cavity resonance. J. Vib. Control 2014, 22, 513–529. [Google Scholar] [CrossRef]
- Gunda, R.; Gau, S.; Dohrmann, C. Analytical model of tire cavity resonance and coupled tire/cavity modal model. Tire Sci. Technol. 2000, 28, 33–49. [Google Scholar] [CrossRef]
- Cao, R.; Bolton, J.S. Finite element study of acoustic mode force transmission in a loaded, structural-acoustical tire model. In Proceedings of the 25th International Congress on Sound and Vibration, Hiroshima, Japan, 8–12 July 2018. [Google Scholar]
- Pinay, J.; Unrau, H.J.; Gauterin, F. Prediction of close-proximity tire-road noise from tire cavity noise measurements using a statistical approach. Appl. Acoust. 2018, 141, 293–300. [Google Scholar] [CrossRef]
- Cao, R.; Bolton, J.S. Point excitation of a coupled structural-acoustical tire model with experimental verification: Higher order cavity modes. Appl. Acoust. 2018, 136, 48–60. [Google Scholar] [CrossRef]
- Tanaka, Y.; Horikawa, S.; Murata, S. An evaluation method for measuring SPL and mode shape of tire cavity resonance by using multi-microphone system. Appl. Acoust. 2016, 105, 171–178. [Google Scholar] [CrossRef]
- Mohamed, Z. Tire cavity resonance mitigation using acoustic absorbent materials. J. Vib. Control 2017, 23, 1607–1622. [Google Scholar] [CrossRef]
- Koners, G.; Lehmann, R. Investigation of tire-road noise with respect to road induced wheel forces and radiated air-borne noise. SAE Int. J. Passeng. Cars Mech. Syst. 2014, 7, 1194–1197. [Google Scholar] [CrossRef]
- Molisani, L.R.; Burdisso, R.A.; Tsihlas, D. A coupled tire structure/acoustic cavity model. Int. J. Solids Struct. 2003, 40, 5125–5138. [Google Scholar] [CrossRef]
- Haverkamp, M. Solving Vehicle Noise Problems by Analysis of the Transmitted Sound Energy. In Proceedings of the 2000 International Conference on Noise and Vibration Engineering ISMA25, Leuven, Belgium, 13–15 September 2000; pp. 1339–1346. [Google Scholar]
- Fernandez, E.T. The Influence of Tyre Air Cavities on Vehicle Acoustics. Ph.D. Thesis, KTH University, Stockholm, Sweden, 2006. [Google Scholar]
- Kamiyama, Y. Development of twin-chamber on-wheel resonator for tire cavity noise. Int. J. Automot. Technol. 2018, 19, 37–43. [Google Scholar] [CrossRef]
- Ni, E.J.; Snyder, D.S.; Walton, G.F.; Mallard, N.E.; Barron, G.E.; Browell, J.T.; Aljundi, B.N. Radiated noise from tire/wheel vibration. Tire Sci. Technol. 1997, 25, 29–42. [Google Scholar] [CrossRef]
- Yang, Y.B.; Wei, Y.T. Influence of fiber-reinforced composite wheel resonance on tire cavity noise. In Proceedings of the Euronoise 2015 Conference, Maastricht, The Netherlands, 31 May–3 June 2015; pp. 1019–1024. [Google Scholar]
- Mohamed, Z.; Wang, X. A study of tyre cavity resonance and noise reduction using inner trim. Mech. Syst. Signal Process. 2015, 50, 498–509. [Google Scholar] [CrossRef]
- Weisser, T.; Foltête, E.; Bouhaddi, N.; Gonidou, L.O. A power flow mode approach dedicated to structural interface dynamic characterization. J. Sound Vib. 2018, 334, 202–218. [Google Scholar] [CrossRef]
- Wu, W.W.; Yin, X.W.; Li, H.; Zhong, K.K. Power flow analysis of built-up plate structures using the dynamic stiffness method. J. Vib. Control 2018, 24, 2815–2831. [Google Scholar] [CrossRef]
- Chen, Y.H.; Jin, G.Y.; Liu, Z.G. Vibrational energy flow analysis of coupled cylindrical shell-plate structure with general boundary and coupling conditions. J. Mech. Eng. Sci. 2014, 229, 207–218. [Google Scholar] [CrossRef]
- Bolognani, S.; Zampieri, S.; Jazar, R. On the existence and linear approximation of the power flow solution in power distribution networks. IEEE Trans. Power Syst. 2016, 31, 163–172. [Google Scholar] [CrossRef]
- Goyder, H.G.D.; White, R.G. Vibrational power flow from machines into built-up structures, part II: Wave propagation and power flow in beam-stiffened plates. J. Sound Vib. 2018, 68, 77–96. [Google Scholar] [CrossRef]
- Eminoglu, U.; Hocaoglu, M.H. A new power flow method for radial distribution systems including voltage dependent load models. Electr. Power Syst. Res. 2005, 76, 106–114. [Google Scholar] [CrossRef]
- Al Ba’ba’a, H.B.; Nouh, M. Mechanics of longitudinal and flexural locally resonant elastic metamaterials using a structural power flow approach. Int. J. Mech. Sci. 2017, 122, 341–354. [Google Scholar] [CrossRef]
- Yi, J.J.; Liu, X.D.; Shan, Y.C.; Dong, H. Characteristics of sound pressure in the tire cavity arising from tire acoustic cavity resonance excited by road roughness. Appl. Acoust. 2019, 146, 218–226. [Google Scholar] [CrossRef]
- Hu, X.J.; Liu, X.D.; Wan, X.F.; Shan, Y.C.; Yi, J.J. Experimental analysis of sound field in the tire cavity arising from the acoustic cavity resonance. Appl. Acoust. 2020, 161, 107172. [Google Scholar] [CrossRef]
- Wei, Y.; Yang, J.; Rong, Y.M. A design to make the damp coefficient of a vehicle’s absorber suit the damp ratio of a suspension system. J. Wuhan Automot. Polytech. Univ. 2000, 22, 22–25. [Google Scholar]
- Hambric, S.A.; Szwerc, R.P. Predictions of structural intensity fields using solid finite elements. Noise Control Eng. J. 1999, 47, 209–217. [Google Scholar] [CrossRef]
- Pešek, L.; Půst, L.; Šulc, P.; Šnábl, P.; Bula, V. Stiffening Effect and Dry-Friction Damping of Bladed Wheel Model with “Tie-Boss” Couplings-Numerical and Experimental Investigation. In International Conference on Rotor Dynamics; Springer: Cham, Switzerland, 2018; pp. 148–162. [Google Scholar]
- Jungnam, C.; Lim, S.D. Wheel Mounting Member Having Damping Structure and Stamping Frame Including the Same. U.S. Patent Application No. 10308310B2, 4 June 2019. [Google Scholar]























| Name | Instructions |
|---|---|
| Tire | 185/60 R15 88H |
| Wireless telemetry system | JM3870 |
| The customized sound pressure sensor | CHZ-212 |
| Tire-testing machine | C-YLSN-1112 |
| Wheel | 5.5 J × 15 |
| Battery | 12 V 1. 3 AH |
| Modal Shapes and Natural Frequencies | Experiment Test | Finite Element Simulation |
|---|---|---|
| 1st mode | ![]() 474 Hz | ![]() 476 Hz (+0.4%) |
| 2nd mode | ![]() 1070 Hz | ![]() 1062 Hz (−0.7%) |
| 3rd mode | ![]() 1731 Hz | ![]() 1704 Hz (−1.6%) |
| Type | Title 2 | Title 3 | ||
|---|---|---|---|---|
| Input | Output | Input | Output | |
| (10−3 W/mm2) | 48.26 | 3.94 | 145.4 | 0.58 |
| N | 14,580 | 480 | 18,868 | 600 |
| S (mm2) | 58,273 | 1214 | 64,004 | 1649 |
| (10−3 W) | 192.9 | 9.967 | 493.2 | 1.586 |
| 5.2% | 0.3% | |||
| Structure Damping | Power Flow (10−3 W) | |||
|---|---|---|---|---|
| 14-Inch Wheel | 15-Inch Wheel | |||
| Input | Output | Input | Output | |
| 0.01 | 192.87 (100%) | 9.9672 (100%) | 493.16 (100%) | 1.5855 (100%) |
| 0.015 | 130.01 (−32.6%) | 6.8411 (−31.7%) | 309.23 (−37.3%) | 1.1138 (−29.8%) |
| 0.02 | 99.444 (−48.4%) | 5.2128 (−47.7%) | 229.95 (−53.4%) | 0.8527 (46.2%) |
Publisher’s Note: MDPI stays neutral with regard to jurisdictional claims in published maps and institutional affiliations. |
© 2021 by the authors. Licensee MDPI, Basel, Switzerland. This article is an open access article distributed under the terms and conditions of the Creative Commons Attribution (CC BY) license (https://creativecommons.org/licenses/by/4.0/).
Share and Cite
Zhao, W.; Liu, Y.; Liu, X.; Shan, Y.; Hu, X. Analysis of Tire Acoustic Cavity Resonance Energy Transmission Characteristics in Wheels Based on Power Flow Method. Appl. Sci. 2021, 11, 3979. https://doi.org/10.3390/app11093979
Zhao W, Liu Y, Liu X, Shan Y, Hu X. Analysis of Tire Acoustic Cavity Resonance Energy Transmission Characteristics in Wheels Based on Power Flow Method. Applied Sciences. 2021; 11(9):3979. https://doi.org/10.3390/app11093979
Chicago/Turabian StyleZhao, Wei, Yuting Liu, Xiandong Liu, Yingchun Shan, and Xiaojun Hu. 2021. "Analysis of Tire Acoustic Cavity Resonance Energy Transmission Characteristics in Wheels Based on Power Flow Method" Applied Sciences 11, no. 9: 3979. https://doi.org/10.3390/app11093979
APA StyleZhao, W., Liu, Y., Liu, X., Shan, Y., & Hu, X. (2021). Analysis of Tire Acoustic Cavity Resonance Energy Transmission Characteristics in Wheels Based on Power Flow Method. Applied Sciences, 11(9), 3979. https://doi.org/10.3390/app11093979







