Undrained Elastoplastic Solution for Cylindrical Cavity Expansion in Structured Cam Clay Soil Considering the Destructuration Effects
Abstract
:1. Introduction
2. Structured Cam Clay Model
3. Cylindrical Cavity Expansion in the SCC Soil
3.1. Problem Description
3.2. Elastic Analysis
3.3. Elastoplastic Analysis
3.4. Initial Values at the Elastoplastic Boundary
3.5. Determination of the Radial Position and Excess Pore Pressure
4. Results and Discussion
4.1. Comparisons between the Present Solution and Previous Solution
4.2. Internal Cavity Pressure and Excess Pore Pressure at the Cavity Wall
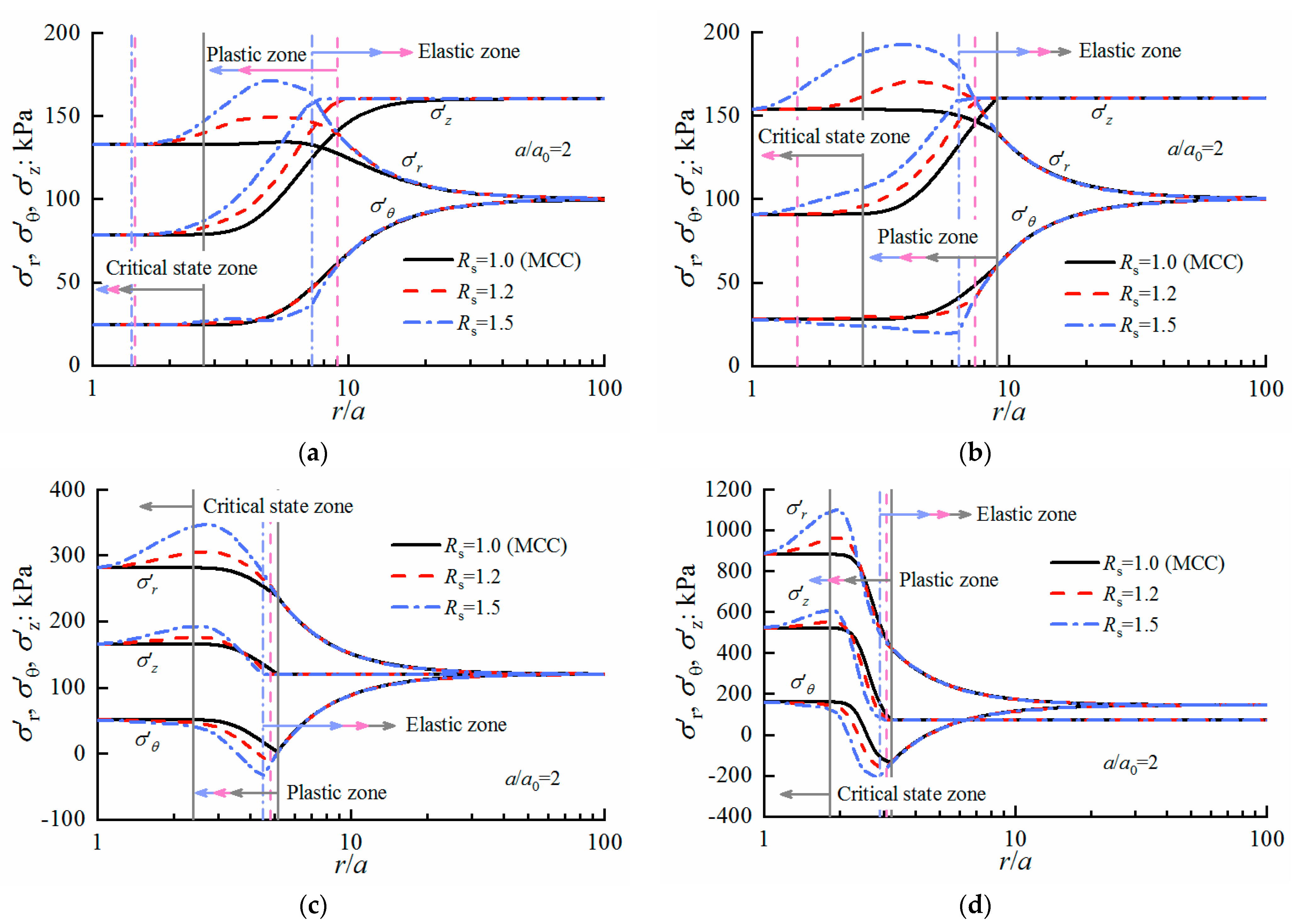
4.3. Distributions of Stress and Excess Pore Pressure around the Cavity
4.4. Stress Path for a Soil Element around the Cavity
4.5. Influences of Structural Parameters
5. Applications of Proposed Solution in Geotechnical Problems
5.1. Estimation of Stress Variations Caused by the Casing Installation
5.2. Interpretation of Pressuremeter Tests
6. Conclusions
- (1)
- Because the initial structure and destructuration effects are sufficiently considered, the present solution is capable of capturing the typical mechanical responses of naturally structured soils around the cavity. With the increase of the initial structure, the yielding stress increases and the ‘false’ over-consolidated behavior is strengthened. Moreover, as a result of the destructuration, the soils with different initial structures will reach the same critical state when the structure is completely destroyed;
- (2)
- The soil structure has significant influences on the cavity responses. As the cavity expands, the effective internal cavity pressure and the deviatoric stress decreases rapidly once the peak values are reached, which can be attributed to the release of accumulated stress due to the degradation and crushing of the structure;
- (3)
- The present solution can evolve to the existing solution in reconstituted soils when the structural parameters are sufficiently small. Therefore, the present solution can be regarded as a unified solution for cavity expansion in structured and reconstituted soils;
- (4)
- Compared with the previous solutions, the present solution takes the destructuration into account and captures the softening behavior of natural soils well;
- (5)
- The simulations of the casing installation and in situ self-boring pressuremeter tests indicate that the present solution provides an effective theoretical tool for the analyses of practical geotechnical problems involving cylindrical cavity expansion.
Author Contributions
Funding
Institutional Review Board Statement
Informed Consent Statement
Data Availability Statement
Conflicts of Interest
Abbreviations
| Abbreviation | Meaning |
| CASM | clay and soil model |
| CSL | critical state line |
| ESP | effective stress path |
| SBPM | self-boring pressuremeter |
| SCC | structured cam clay |
| MCC | modified cam clay |
References
- Yu, H.S. Cavity Expansion Methods in Geomechanics; Kluwer Academic Publishers: Dordrecht, The Netherlands, 2000. [Google Scholar] [CrossRef]
- Vesic, A.S. Expansion of cavities in infinite soil mass. J. Soil Mech. Found. Div. Am. Soc. Civ. Eng. 1972, 98, 265–290. [Google Scholar] [CrossRef]
- Chang, M.F.; Teh, C.I.; Cao, L.F. Undrained cavity expansion in modified Cam clay II: Application to the interpretation of the piezocone test. Geotechnique 2001, 51, 335–350. [Google Scholar] [CrossRef]
- Cudmani, R.; Osinov, V.A. The cavity expansion problem for the interpretation of cone penetration and pressuremeter tests. Can. Geotech. J. 2001, 38, 622–638. [Google Scholar] [CrossRef]
- Carter, J.P.; Randolph, M.F.; Wroth, C.P. Stress and pore pressure changes in clay during and after the expansion of a cylindrical cavity. Int. J. Numer. Anal. Methods Geomech. 1979, 3, 305–322. [Google Scholar] [CrossRef]
- Randolph, M.F.; Carter, J.P.; Wroth, C.P. Driven piles in clay-the effects of installation and subsequent consolidation. Geotechnique 1979, 29, 361–393. [Google Scholar] [CrossRef] [Green Version]
- Lee, F.H.; Juneja, A.; Tan, T.S. Stress and pore pressure changes due to sand compaction pile installation in soft clay. Geotechnique 2004, 54, 1–16. [Google Scholar] [CrossRef]
- Yu, H.S.; Rowe, R.K. Plasticity solutions for soil behavior around contracting cavities and tunnels. Int. J. Numer. Anal. Methods Geomech. 1999, 23, 1245–1279. [Google Scholar] [CrossRef]
- Chen, S.L.; Abousleiman, Y.N. Drained and undrained analyses of cylindrical cavity contractions by bounding surface plasticity. Can. Geotech. J. 2016, 53, 1398–1411. [Google Scholar] [CrossRef] [Green Version]
- Mo, P.Q.; Yu, H.S. Undrained cavity contraction analysis for prediction of soil behavior around tunnels. Int. J. Geomech. 2017, 17, 04016121. [Google Scholar] [CrossRef] [Green Version]
- Liu, K.; Chen, S.L.; Gu, X.Q. Analytical and numerical analyses of tunnel excavation problem using an extended drucker-prager model. Rock Mech. Rock Eng. 2020, 53, 1777–1790. [Google Scholar] [CrossRef]
- Chen, S.L.; Liu, K. Undrained cylindrical cavity expansion in anisotropic critical state soils. Geotechnique 2018, 69, 189–202. [Google Scholar] [CrossRef]
- Carter, J.P.; Booker, J.R.; Yeung, S.K. Cavity expansion in cohesive frictional soils. Geotechnique 1986, 36, 349–358. [Google Scholar] [CrossRef]
- Yu, H.S.; Houlsby, G.T. Finite cavity expansion in dilatants soils: Loading analysis. Geotechnique 1991, 41, 173–183. [Google Scholar] [CrossRef]
- Durban, D.; Fleck, N.A. Spherical cavity expansion in a Drucker-Prager solid. J. Appl. Mech. 1997, 64, 743–750. [Google Scholar] [CrossRef]
- Cao, L.F.; Teh, C.I.; Chang, M.F. Undrained cavity expansion in modified Cam clay I: Theoretical analysis. Geotechnique 2001, 51, 323–334. [Google Scholar] [CrossRef]
- Collins, I.F.; Stimpson, J.R. Similarity solutions for drained and undrained cavity expansions in soils. Geotechnique 1994, 44, 21–34. [Google Scholar] [CrossRef]
- Russell, A.R.; Khalili, N. On the problem of cavity expansion in unsaturated soils. Comput. Mech. 2006, 37, 311–330. [Google Scholar] [CrossRef]
- Yang, H.W.; Russell, A.R. Cavity expansion in unsaturated soils exhibiting hydraulic hysteresis considering three drainage conditions. Int. J. Numer. Anal. Methods Geomech. 2015, 39, 1975–2016. [Google Scholar] [CrossRef]
- Mo, P.Q.; Yu, H.S. Undrained cavity expansion analysis with a unifed state parameter model for clay and sand. Geotechnique 2016, 67, 503–515. [Google Scholar] [CrossRef]
- Zhou, H.; Kong, G.Q.; Liu, H.L.; Laloui, L. Similarity solution for cavity expansion in thermoplastic soil. Int. J. Numer. Anal. Meth. Geomech. 2018, 42, 274–294. [Google Scholar] [CrossRef]
- Chen, S.L.; Abousleiman, Y.N. Exact undrained elasto-plastic solution for cylindrical cavity expansion in modified Cam Clay soil. Geotechnique 2012, 62, 447–456. [Google Scholar] [CrossRef]
- Chen, S.L.; Abousleiman, Y.N. Exact drained solution for cylindrical cavity expansion in modified Cam Clay soil. Geotechnique 2013, 63, 510–517. [Google Scholar] [CrossRef]
- Li, L.; Li, J.P.; Sun, D.A. Anisotropically elasto-plastic solution to undrained cylindrical cavity expansion in K0-consolidated clay. Comput. Geotech. 2016, 73, 83–90. [Google Scholar] [CrossRef]
- Sivasithamparam, N.; Castro, J. Undrained expansion of a cylindrical cavity in clays with fabric anisotropy: Theoretical solution. Acta Geotech. 2018, 13, 729–746. [Google Scholar] [CrossRef]
- Yang, C.Y.; Li, J.P.; Li, L.; Sun, D.A. Expansion responses of a cylindrical cavity in overconsolidated unsaturated soils: A semi-analytical elastoplastic solution. Comput. Geotech. 2020, 130, 103922. [Google Scholar] [CrossRef]
- Chen, H.H.; Li, L.; Li, J.P.; Sun, D.A. Elastoplastic solutions for cylindrical cavity expansion in unsaturated soils. Comput. Geotech. 2020, 123, 103569. [Google Scholar] [CrossRef]
- Taiebat, M.; Dafalias, Y.F.; Peek, R. A destructuration theory and its application to SANICLAY model. Int. J. Numer. Anal. Meth. Geomech. 2009, 34, 1009–1040. [Google Scholar] [CrossRef] [Green Version]
- Mantaras, F.M.; Schnaid, F. Cylindrical cavity expansion in dilatant cohesivefrictional materials. Geotechnique 2002, 52, 337–348. [Google Scholar] [CrossRef]
- Schnaid, F.; Mantaras, F.M. Cavity expansion in cemented materials: Structure degradation effects. Geotechnique 2003, 53, 797–807. [Google Scholar] [CrossRef]
- Sivasithamparam, N.; Castro, J. Undrained cylindrical cavity expansion in clays with fabric anisotropy and structure: Theoretical solution. Comput. Geotech. 2020, 120, 103386. [Google Scholar] [CrossRef]
- Wheeler, S.J.; Naatanen, A.; Karstunen, M.; Lojander, M. An anisotropic elastoplastic model for soft clays. Can. Geotech. J. 2003, 40, 403–418. [Google Scholar] [CrossRef]
- Karstunen, M.; Krenn, H.; Wheeler, S.J.; Koskinen, M.; Zentar, R. Effect of anisotropy and destructuration on the behaviour of Murro test embankment. Int. J. Geomech. 2005, 9, 87–97. [Google Scholar] [CrossRef]
- Li, J.P.; Zhou, P.; Li, L.; Xie, F. Elastoplastic solution of drained expansion of a cylindrical cavity in structured soils considering structure degradation. Comput. Geotech. 2021, 133, 104051. [Google Scholar] [CrossRef]
- Liu, M.D.; Carter, J.P. A structured Cam Clay model. Can. Geotech. J. 2002, 39, 1313–1332. [Google Scholar] [CrossRef] [Green Version]
- Li, J.P.; Zhou, P.; Li, L.; Xie, F.; Cui, J.F. Elastic-plastic solution for undrained expansion of cylindrical cavity in saturated structured loess. J. Tongji Univ. (Nat. Sci.) 2021, 49, 163–172. (In Chinese) [Google Scholar] [CrossRef]
- Carter, J.P.; Liu, M.D. Review of the Structured Cam Clay Model. In Soil Constitutive Model: Evaluation, Selection and Calibration; ASCE, Geotechnical Special Publication: Reston, VA, USA, 2005; pp. 99–132. [Google Scholar] [CrossRef]
- Horpibulsuk, S.; Liu, M.D.; Liyanapathirana, D.S.; Suebsuk, J. Behaviour of cemented clay simulated via the theoretical framework of the Structured Cam Clay model. Comput. Geotech. 2010, 37, 1–9. [Google Scholar] [CrossRef]
- Burland, J.B. On the compressibility and shear strength of natural clays. Geotechnique 1990, 40, 329–378. [Google Scholar] [CrossRef]
- Cotecchia, F.; Chandler, R.J. The influence of structure on the pre-failure behavior of a natural clay. Geotechnique 1997, 47, 523–544. [Google Scholar] [CrossRef]
- Wood, D.M. Soil Behavior and Critical State Soil Mechanics; Cambridge University Press: Cambridge, UK, 1990. [Google Scholar]
- Adachi, T.; Oka, F.; Hirata, T.; Hashimoto, T.; Nagaya, J.; Mimura, M.; Pradhan, T.B.S. Stress-strain behaviour and yielding characteristics of Eastern Osaka clay. Soils Found. 1995, 35, 1–13. [Google Scholar] [CrossRef] [Green Version]
- Yi, J.T.; Goh, S.H.; Lee, F.H. Effect of sand compaction pile installation on strength of soft clay. Geotechnique 2013, 63, 1029–1041. [Google Scholar] [CrossRef]
- Purwana, O.A.; Leung, C.F.; Chow, Y.K.; Foo, K.S. Influence of base suction on extraction of jack-up spudcans. Géotechnique 2005, 55, 741–753. [Google Scholar] [CrossRef]
- Rouainia, M.; Panayides, S.; Arroyo, M.; Gens, A. A pressuremeter-based evaluation of structure in London Clay using a kinematic hardening constitutive model. Acta Geotech. 2020, 15, 2089–2101. [Google Scholar] [CrossRef] [Green Version]
- Gasparre, A.; Coop, M.R. Quantification of the effects of structure on the compression of a stiff clay. Can. Geotech. J. 2008, 45, 1324–1334. [Google Scholar] [CrossRef]
- Chang, M.F.; Teh, C.I.; Cao, L.F. Critical state strength parameters of saturated clays from the modified Cam clay model. Rev. Can. Géotechnique 1999, 36, 876–890. [Google Scholar] [CrossRef]
- Avgerinos, V.; Potts, D.M.; Standing, J.R. The use of kinematic hardening models for predicting tunnelling-induced ground movements in London Clay. Geotechnique 2016, 66, 106–120. [Google Scholar] [CrossRef] [Green Version]


















| Basic Cam Clay Parameters | Structural Parameters | ||||||
|---|---|---|---|---|---|---|---|
| M | λ | κ | v | b | c | ω | γ |
| 1.2 | 0.15 | 0.03 | 0.278 | 1 | 0 | 1 | 0.5 |
| R | σh (kPa) | σv (kPa) | e0 | G0 (kPa) | u0 (kPa) |
|---|---|---|---|---|---|
| 1 | 100 | 160 | 1.09 | 4348 | 100 |
| 1.2 | 100 | 160 | 1.06 | 4302 | 100 |
| 3 | 120 | 120 | 0.97 | 4113 | 100 |
| 10 | 144 | 72 | 0.80 | 3756 | 100 |
Publisher’s Note: MDPI stays neutral with regard to jurisdictional claims in published maps and institutional affiliations. |
© 2022 by the authors. Licensee MDPI, Basel, Switzerland. This article is an open access article distributed under the terms and conditions of the Creative Commons Attribution (CC BY) license (https://creativecommons.org/licenses/by/4.0/).
Share and Cite
Zhai, Z.; Zhang, Y.; Xiao, S.; Li, T. Undrained Elastoplastic Solution for Cylindrical Cavity Expansion in Structured Cam Clay Soil Considering the Destructuration Effects. Appl. Sci. 2022, 12, 440. https://doi.org/10.3390/app12010440
Zhai Z, Zhang Y, Xiao S, Li T. Undrained Elastoplastic Solution for Cylindrical Cavity Expansion in Structured Cam Clay Soil Considering the Destructuration Effects. Applied Sciences. 2022; 12(1):440. https://doi.org/10.3390/app12010440
Chicago/Turabian StyleZhai, Zhanghui, Yaguo Zhang, Shuxiong Xiao, and Tonglu Li. 2022. "Undrained Elastoplastic Solution for Cylindrical Cavity Expansion in Structured Cam Clay Soil Considering the Destructuration Effects" Applied Sciences 12, no. 1: 440. https://doi.org/10.3390/app12010440
APA StyleZhai, Z., Zhang, Y., Xiao, S., & Li, T. (2022). Undrained Elastoplastic Solution for Cylindrical Cavity Expansion in Structured Cam Clay Soil Considering the Destructuration Effects. Applied Sciences, 12(1), 440. https://doi.org/10.3390/app12010440
