Estimation Method for Road Link Travel Time Considering the Heterogeneity of Driving Styles
Abstract
:1. Introduction
2. Materials and Methods
2.1. Multi-Dimensional Tensor Model of Road Network Travel Time
- is the travel time of the vehicle between road link .
- is the time when the vehicle passes detector .
- is the time when the vehicle passes detector .
2.2. Driver Classification and Outlier Supplement
- Aimlessly select one of the unprocessed objects for the sample set X. The object is a core point when there are more than MinPts points in the ε-close neighbor of .
- Amass all the objects in the sample set X that are DR to the object and regard them as a cluster.
- Over the process of DC, produce the final cluster.
- For the remaining objects, repeat steps 2 and 3 until all objects have been handled.
3. Case Study
3.1. Data Preprocessing
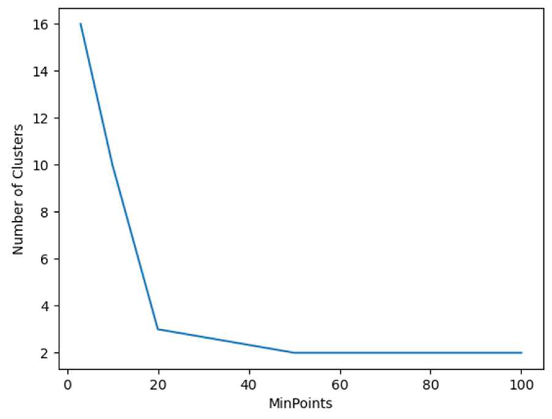
3.2. Cluster Analysis of Drivers
3.3. Supplement of Travel Time Outliers
4. Conclusions
Author Contributions
Funding
Institutional Review Board Statement
Informed Consent Statement
Data Availability Statement
Conflicts of Interest
References
- Afandizadeh Zargari, S.; Memarnejad, A.; Mirzahossein, H. Hourly Origin–Destination Matrix Estimation Using Intelligent Transportation Systems Data and Deep Learning. Sensors 2021, 21, 7080. [Google Scholar] [CrossRef]
- Nejad, S.K.; Seifi, F.; Ahmadi, H.; Seifi, N. Applying Data Mining in Prediction and Classification of Urban Traffic. In Proceedings of the 2009 WRI World Congress on Computer Science and Information Engineering, Los Angeles, CA, USA, 31 March–2 April 2009; pp. 674–678. [Google Scholar]
- Mufti, N.; Shah, S.A.A. Automatic number plate Recognition: A detailed survey of relevant algorithms. Sensors 2021, 21, 3028. [Google Scholar]
- Zhang, H.; Chen, P.; Zheng, J.F.; Zhu, J.Q.; Yu, G.Z.; Wang, Y.P.; Liu, H.X. Missing data detection and imputation for urban ANPR system using an iterative tensor decomposition approach. Transp. Res. Part C Emerg. Technol. 2019, 107, 337–355. [Google Scholar] [CrossRef]
- Chen, L.; Grimstead, I.; Bell, D.; Karanka, J.; Dimond, L.; James, P.; Smith, L.; Edwardes, A. Estimating vehicle and pedestrian activity from town and city traffic cameras. Sensors 2021, 21, 4564. [Google Scholar] [CrossRef]
- He, W.; Lu, T.; Wang, E. A New Method for Traffic Forecasting Based on the Data Mining Technology with Artificial Intelligent Algorithms. Res. J. Appl. Sci. Eng. Technol. 2013, 5, 3417–3422. [Google Scholar] [CrossRef]
- Wan, L.; Tang, J.; Wang, L.; Schooling, J. Understanding non-commuting travel demand of car commuters–Insights from ANPR trip chain data in Cambridge. Transp. Policy 2021, 106, 76–87. [Google Scholar] [CrossRef]
- Ahmed, A.A.; Ahmed, S. A Real-Time Car Towing Management System Using ML-Powered Automatic Number Plate Recognition. Algorithms 2021, 14, 317. [Google Scholar] [CrossRef]
- Liu, J.; Zheng, F.; van Zuylen, H.J.; Li, J. A dynamic OD prediction approach for urban networks based on automatic number plate recognition data. Transp. Res. Procedia 2020, 47, 601–608. [Google Scholar] [CrossRef]
- Mirzahossein, H.; Gholampour, I.; Sedghi, M.; Zhu, L. How realistic is static traffic assignment? Analyzing automatic number-plate recognition data and image processing of real-time traffic maps for investigation. Transp. Res. Interdiscip. Perspect. 2021, 9, 100320. [Google Scholar] [CrossRef]
- Tam, M.L.; Lam, W.H.K. Application of automatic vehicle identification technology for real-time journey time estimation. Inf. Fusion 2011, 12, 11–19. [Google Scholar] [CrossRef]
- Ma, X.; Al Khoury, F.; Jin, J. Prediction of arterial travel time considering delay in vehicle re-identification. Transp. Res. Procedia 2017, 22, 625–634. [Google Scholar] [CrossRef]
- Li, J.; Zuylen, H.V.; Deng, Y.; Zhou, Y. Urban travel time data cleaning and analysis for Automatic Number Plate Recognition. Transp. Res. Procedia 2020, 47, 712–719. [Google Scholar] [CrossRef]
- Zheng, F.; Li, J.; Van Zuylen, H.; Liu, X.; Yang, H. Urban travel time reliability at different traffic conditions. J. Intell. Transp. Syst. 2018, 22, 106–120. [Google Scholar] [CrossRef] [Green Version]
- Sun, T.; Zhao, K.; Zhang, C.; Chen, M.; Yu, X. PR-LTTE: Link travel time estimation based on path recovery from large-scale incomplete trip data. Inf. Sci. 2022, 589, 34–45. [Google Scholar] [CrossRef]
- Jin, G.; Wang, M.; Zhang, J.; Sha, H.; Huang, J. STGNN-TTE: Travel time estimation via spatial-temporal graph neural network. Future Gener. Comput. Syst. 2021, 126, 70–81. [Google Scholar] [CrossRef]
- Jenelius, E.; Koutsopoulos, H.N. Travel time estimation for urban road networks using low frequency probe vehicle data. Transp. Res. Part B Methodol. 2013, 53, 64–81. [Google Scholar] [CrossRef] [Green Version]
- Lv, Z.; Xu, J.; Zheng, K.; Yin, H.; Zhao, P.; Zhou, X. Lc-rnn: A deep learning model for traffic speed prediction. In Proceedings of the Twenty-Seventh International Joint Conference on Artificial Intelligence, Stockholm, Sweden, 13–19 July 2018; p. 27. [Google Scholar]
- Chen, M.; Liu, Y.; Yu, X. Nlpmm: A next location predictor with markov modeling. In Pacific-Asia Conference on Knowledge Discovery and Data Mining; Springer: Cham, Germany, 2014; pp. 186–197. [Google Scholar]
- Yuan, H.; Li, G.; Bao, Z.; Feng, L. Effective travel time estimation: When historical trajectories over road networks matter. In Proceedings of the 2020 ACM Sigmod International Conference on Management of Data, Portland, OR, USA, 14–19 June 2020; pp. 2135–2149. [Google Scholar]
- Chen, M.; Zuo, Y.; Jia, X.; Liu, Y.; Yu, X.; Zheng, K. CEM: A convolutional embedding model for predicting next locations. IEEE Trans. Intell. Transp. Syst. 2020, 22, 3349–3358. [Google Scholar] [CrossRef]
- Zhan, X.; Hasan, S.; Ukkusuri, S.V.; Kamga, C. Urban link travel time estimation using large-scale taxi data with partial information. Transp. Res. Part C Emerg. Technol. 2013, 33, 37–49. [Google Scholar] [CrossRef]
- Zhan, X.; Ukkusuri, S.V.; Yang, C. A Bayesian mixture model for short-term average link travel time estimation using large-scale limited information trip-based data. Autom. Constr. 2016, 72, 237–246. [Google Scholar] [CrossRef] [Green Version]
- Wang, H.; Tang, X.; Kuo, Y.-H.; Kifer, D.; Li, Z. A simple baseline for travel time estimation using large-scale trip data. ACM Trans. Intell. Syst. Technol. (TIST) 2019, 10, 1–22. [Google Scholar] [CrossRef] [Green Version]
- Shi, C.; Chen, B.Y.; Li, Q. Estimation of travel time distributions in urban road networks using low-frequency floating car data. ISPRS Int. J. Geo-Inf. 2017, 6, 253. [Google Scholar] [CrossRef]
- Luo, X.; Wang, D.; Ma, D.; Jin, S. Grouped travel time estimation in signalized arterials using point-to-point detectors. Transp. Res. Part B Methodol. 2019, 130, 130–151. [Google Scholar] [CrossRef]
- Tang, J.; Hu, J.; Hao, W.; Chen, X.; Qi, Y. Markov Chains based route travel time estimation considering link spatio-temporal correlation. Phys. A Stat. Mech. Appl. 2020, 545, 123759. [Google Scholar] [CrossRef]
- Tang, K.; Chen, S.Y.; Liu, Z.Y. Citywide Spatial-Temporal Travel Time Estimation Using Big and Sparse Trajectories. IEEE Trans. Intell. Transp. Syst. 2018, 19, 4023–4034. [Google Scholar] [CrossRef]
- Zhang, K.; Jia, N.; Zheng, L.; Liu, Z. A novel generative adversarial network for estimation of trip travel time distribution with trajectory data. Transp. Res. Part C Emerg. Technol. 2019, 108, 223–244. [Google Scholar] [CrossRef]
- Tang, K.; Chen, S.; Liu, Z.; Khattak, A.J. A tensor-based Bayesian probabilistic model for citywide personalized travel time estimation. Transp. Res. Part C Emerg. Technol. 2018, 90, 260–280. [Google Scholar] [CrossRef]
- Tillmann, W.A.; Hobbs, G. The accident-prone automobile driver: A study of the psychiatric and social background. Am. J. Psychiatry 1949, 106, 321–331. [Google Scholar] [CrossRef]
- Gasser, T.M.; Arzt, C.; Ayoubi, M.; Bartels, A.; Bürkle, L.; Eier, J.; Flemisch, F.; Häcker, D.; Hesse, T.; Huber, W. Legal consequences of an increase in vehicle automation. In Proceedings of the Transportation Research Board 91st Annual Meeting, Washington, DC, USA, 22–26 January 2012. [Google Scholar]
- Hartwich, F.; Beggiato, M.; Krems, J.F. Driving comfort, enjoyment and acceptance of automated driving–effects of drivers’ age and driving style familiarity. Ergonomics 2018, 61, 1017–1032. [Google Scholar] [CrossRef]
- He, Y.B.; Tan, H.Y.; Luo, W.M.; Mao, H.J.; Ma, D.; Feng, S.Z.; Fan, J. Mr-dbscan: An Efficient Parallel Density-based Clustering Algorithm using MapReduce. In Proceedings of the 2011 IEEE 17th International Conference on Parallel and Distributed Systems, Tainan, Taiwan, 7–9 December 2011; pp. 473–480. [Google Scholar]
- Wang, C.X.; Ji, M.; Wang, J.; Wen, W.; Li, T.; Sun, Y. An Improved DBSCAN Method for LiDAR Data Segmentation with Automatic Eps Estimation. Sensors 2019, 19, 172. [Google Scholar] [CrossRef] [Green Version]
- Sander, J.; Ester, M.; Kriegel, H.P.; Xu, X.W. Density-based clustering in spatial databases: The algorithm GDBSCAN and its applications. Data Min. Knowl. Discov. 1998, 2, 169–194. [Google Scholar] [CrossRef]
- Duan, L.; Xu, L.; Guo, F.; Lee, J.; Yan, B. A local-density based spatial clustering algorithm with noise. Inf. Syst. 2007, 32, 978–986. [Google Scholar] [CrossRef]
- McKinney, W. Python for Data Analysis; O’Reilly Media, Inc.: Newton, MA, USA, 2013. [Google Scholar]
- Atangana, A.; Araz, S.İ. 2-Two-steps Lagrange polynomial interpolation: Numerical scheme. In New Numerical Scheme with Newton Polynomial; Academic Press: Cambridge, MA, USA, 2021; pp. 11–112. [Google Scholar]
- Soriguera Martí, F. Accuracy of Travel Time Estimation Methods Based on Punctual Speed Interpolations. In Highway Travel Time Estimation with Data Fusion; Springer: Berlin/Heidelberg, Germany, 2016. [Google Scholar]







| CarID | Travel Time (Second) | Hour | Road Link | Number of Trips |
|---|---|---|---|---|
| 1 | 51 | 12 | 33-22 | 5 |
| 1 | 67 | 12 | 22-75 | 5 |
| 1 | 255 | 12 | 75-98 | 5 |
| 1 | 8558 | 12 | 98-34 | 5 |
| 1 | 32 | 15 | 34-78 | 5 |
Publisher’s Note: MDPI stays neutral with regard to jurisdictional claims in published maps and institutional affiliations. |
© 2022 by the authors. Licensee MDPI, Basel, Switzerland. This article is an open access article distributed under the terms and conditions of the Creative Commons Attribution (CC BY) license (https://creativecommons.org/licenses/by/4.0/).
Share and Cite
Zhang, Y.; Ji, Y.; Yu, J. Estimation Method for Road Link Travel Time Considering the Heterogeneity of Driving Styles. Appl. Sci. 2022, 12, 5017. https://doi.org/10.3390/app12105017
Zhang Y, Ji Y, Yu J. Estimation Method for Road Link Travel Time Considering the Heterogeneity of Driving Styles. Applied Sciences. 2022; 12(10):5017. https://doi.org/10.3390/app12105017
Chicago/Turabian StyleZhang, Yuhui, Yanjie Ji, and Jiajie Yu. 2022. "Estimation Method for Road Link Travel Time Considering the Heterogeneity of Driving Styles" Applied Sciences 12, no. 10: 5017. https://doi.org/10.3390/app12105017
APA StyleZhang, Y., Ji, Y., & Yu, J. (2022). Estimation Method for Road Link Travel Time Considering the Heterogeneity of Driving Styles. Applied Sciences, 12(10), 5017. https://doi.org/10.3390/app12105017
