Abstract
The design of a supersonic-supersonic mixing layer facility was motivated by the need for a benchmark experimental platform to study the physical phenomena underlying supersonic mixing layers. The facility is an intermittent blowdown wind tunnel characterized by a two-stream design separated by a splitter plate in the middle of the nozzle. The splitter plate ends exactly at the start of the mixing layer test section. The Mach number of the primary stream is M1 = 3 for all nozzles and the secondary streams are M2 = 2, 2.5, and 2.9 to generate different convective Mach numbers of Mc = 0.25, 0.10, and 0.01, respectively. The facility was calibrated by pressure measurements to verify the Mach number and the pressure distribution in the streamwise direction. Large-eddy simulation (LES) was performed to illustrate a full view of the turbulent compressible mixing layer flow field and to compare this against the experimental data. Optical diagnosis measurements, i.e., femtosecond laser-induced electronic excitation tagging velocimetry (FLEET) for velocity measurement and focused laser differential interferometer (FLDI) for the density fluctuation, were also performed on the facility.
1. Introduction
The supersonic mixing layer is a common compressible turbulent flow, which exists in supersonic ejectors and combined cycle engines. Taking a rocket-based combined cycle engine (RBCC) as an example, the gas emitted by the rocket engine and the supersonic air compressed by the inlet must be mixed and burned in a very short time [1]. The mixing degree of gas and air in the combustion chamber directly affects the performance of the engine. Therefore, an in-depth study of the supersonic mixing layer is beneficial for improving the performance of the engine, and it is of great significance in understanding the mechanism of supersonic turbulent flow.
Research on the supersonic mixing layer began in the 1970s and 1980s. In 1988, Papamoschou and Roshko [2] studied supersonic-supersonic and subsonic-supersonic laminar mixing flow fields with nitrogen, helium, and argon as working fluids, developing Bogdandoff’s theory [3], and proposed the concept of convective Mach number. Convective Mach number is derived from the relative motion of large-scale structure and free flow in the mixing layer, which is an important parameter in characterizing the compressible effect of the mixing layer. Studies [4] have shown that an increase in the convective Mach number has an inhibitory effect on the growth of the mixing layer. The reason is that the increase of convective the Mach number causes two-dimensional and large-scale structures in the mixing layer to produce spanwise disturbance and transform into an irregular three-dimensional structure [5,6,7], thereby reducing the ability of the mixing layer to entrain and merge the surrounding fluid. However, there is also a critical value in the range of 0.5~1 for the influence of the convective Mach number on the growth rate of the mixing layer [8,9]. When the convective Mach number is greater than the critical value, the growth rate of the mixing layer reaches a minimum and remains unchanged [10].
The development of the supersonic mixing layer can also be affected by pressure, velocity, density, and other factors. The mismatched pressure of the primary and secondary flow can change the transition position of the mixing layer and the development of a large-scale vortex structure, and also make the mixing layer tilt to the low-pressure side, inhibiting the growth of the mixing layer [11]. Muller compared the mixed layer flow with pressure ratios of 1.0, 1.5, and 2.0, and found that a pressure ratio of 2.0 had the most obvious inhibitory effect on the mixed layer [12]. The effect of velocity ratio was similar to that of the convective Mach number, that is, an increase of velocity ratio could inhibit the development of the mixing layer, and the density ratio had no significant effect on the development of the mixing layer [13].
In addition, the geometric size of the mixing layer flow channel and the shape of the separator are important factors affecting the development of the mixed layer. Reasonable adjustment of the contraction and expansion angle and length of the combustion chamber enhance mixing. Special-shaped baffles (Figure 1), such as serrated and lobed baffles, are also used to enhance the mixing of the mixing layer, among which use of a lobed baffle is currently recognized as the most effective method [14].
Figure 1.
Special shaped baffles. (a) Lobed mixer; (b) Rectangular lobed mixer [15].
Measurement techniques for the supersonic mixing layer are also developing. The measurement methods based on a pitot tube and a total static pressure sensor were often used in early studies [1,16]. Goebel et al. [4] measured the velocity distribution of the supersonic mixing layer flow in the range of convective Mach numbers from 0.4–1.97, velocity ratios of 0.16–0.79, and density ratios of 0.57–1.55, with an LDV (Laser Doppler Velocimetry), and developed similarity profiles of normalized velocity at different working conditions and different locations, which have served as reference measurements for verification of many experimental and numerical studies. Rossmann et al. [17] studied the large-scale structure of a supersonic mixing layer with a convective Mach number of 0.86–1.70 using PLIF. Dutton and Elliott [8] studied the large-scale structure of the supersonic mixing layer by a water vapor-meter scattering technique and studied the velocity, Reynolds stress, and turbulent kinetic energy distribution of the supersonic mixing layer by particle image velocimetry (PIV). A nanoparticle-based planar laser scattering technique (NPLS) [18] and ice-cluster-based planar laser scattering technique (IC-PLS) [19] have also been applied to the observation of the structure of the complex flow field in the supersonic mixing layer.
For study of the supersonic mixing layer, the development mechanism of the mixing layer and the interaction of parameters are not yet clear. Precise measurement of parameters, such as velocity and density, has always been a great problem due to the complicated flow field, and many new technologies have been developed and applied to the study of the mixing layer, which needs more direct and comprehensive data for verification. Therefore, it is necessary to build a supersonic mixing layer wind tunnel as the benchmark for measurements. In this paper, we describe the design process of a newly developed supersonic-supersonic mixing layer wind tunnel and utilize optical diagnosis and numerical simulation to validate the mixing layer flow field, including the flow structures, pressure distribution and the velocity profiles. This is the first time that femtosecond laser-induced electronic excitation tagging velocimetry (FLEET) and focused laser differential interferometer (FLDI) have been applied in the measurement of the supersonic-supersonic mixing wind tunnel.
2. Nozzle Design and Numerical Verification
A nozzle was used to accelerate the airflow to achieve the desired Mach number. The supersonic nozzle was designed as a convergent-divergent contour, which ensures good airflow quality in both sections to avoid flow separation. A bicubic curve and the Foelsch method [20] were applied to design the convergent and divergent sections, respectively. Boundary layer correction was carried out on the upper and lower curves to eliminate the influence of the boundary layer and shock waves in the nozzle. The design Mach number of the primary flow was 3, and the design Mach numbers of the secondary flow were 2.0, 2.5, and 2.9, respectively. The convective Mach numbers of the three nozzles were 0.25, 0.1, and 0.01, respectively. The throats of the nozzles were 3.31 3.64, 5.36, and 8.32 mm high for Mach numbers of 3.0, 2.9, 2.5, 2.0, respectively.
Before carrying out the construction of the wind tunnel, it was essential to evaluate the performance of the design contours of the nozzles. Therefore, large eddy simulation was performed based on Ansys Fluent and solved by a density-based implicit method. A subgrid model of the large eddy simulation is the WALE model. The convective term was the Roe vector flux splitting scheme, the pressure term was the three-order MUSCL scheme, the momentum equation and energy equation were discretized by the three-order MUSCL scheme, and the time step was 1 × 10−7 s.
To improve computational efficiency, a two-dimensional model was used. The air was set as an ideal gas and the viscosity was modeled using the three coefficients Sutherland law. The inlet condition was a pressure inlet. The wall was set as non-slip adiabatic. A total of 2.4 million grids was used to solve the flow domain, and the grids were clustered in the region of the mixing layer and boundary layer. The conditions of the simulation are shown in Table 1, where P0, Ps is the total and static pressure, and subscripts 1 and 2 represent the primary and the secondary flow, respectively. The total temperature was set as 293 K according to the local environment.
Table 1.
Design parameters of the wind tunnel.
Figure 2a–d shows the contours of nozzles with Mach numbers of 3.0, 2.9, 2.5, and 2.0, respectively, and Figure 2e,f show the Mach number and velocity profiles at the outlet of the four nozzles. The distribution of the Mach numbers at the exit of the nozzles was uniform and the Mach number of the simulations were within 0.05 compared to the design numbers. In Figure 2f, the core flow velocities of Mach numbers of 3.0, 2.9, 2.5, 2.0 are about 625, 618, 584, and 526 m/s, respectively, which are somewhat larger than those calculated by the isentropic formula. The overall variation of the velocity was less than 5 m/s in the core region of the flow. A decrease in velocity could be seen near the wall due to the existence of the boundary layer, and the boundary layer was about 2.5 mm on a single side. According to the simulation, the designed curves of the nozzles were satisfactory to generate the desired flow.
Figure 2.
Mach number contours of the nozzles and the Mach number and velocity profiles at the nozzle exits: (a) Ma 3.0 contour, (b) Ma 2.9 contour, (c) Ma 2.5 contour, (d) Ma 2.0 contour, (e) Mach number profiles at the nozzle exit, (f) velocity profiles at the nozzle exit.
3. Geometry and Operation of the Wind Tunnel
3.1. Geometry of the Wind Tunnel
Based on the numerical simulation in the previous section, it was determined that the design curve could achieve the desired Mach numbers, and wind tunnel construction was thus carried out. As shown in Figure 3, a down-blowing design was used in the supersonic-supersonic mixing layer wind tunnel, including the gas supply system, the stagnation chamber, the nozzle, the test section, and the diffusion section.
Figure 3.
Structure of the wind tunnel.
The gas source of the wind tunnel was a high-pressure reservoir with a volume of 1 m3, which could provide flow at 4 MPa pressure. The gas supply pipeline was divided into two parts, supplying the primary and secondary flow channel respectively. For all three cases, the primary stream (Ma ≈ 3.0) was supplied with higher pressure flow to accommodate the higher pressure ratio to accelerate the primary stream to a higher velocity (≈610 m/s). Shut-off valves and control valves were installed on the gas supply pipeline to control and stabilize the pressure; thereby, the two flows could be throttled through these valves before entering the stagnation chamber, which made the primary and secondary flow match in static pressure.
The stagnation chamber had a larger constant cross-section section than other parts of the facility, and the main function of the stagnation chamber was to improve the uniformity of airflow and reduce its turbulence intensity. Stagnation was also divided into two parts by a splitter plate. The upper and lower layer had the same dimension, 60 mm (height) × 80 mm (width) × 300 mm (length). Flows that entered the stagnation chamber probably had higher turbulent intensities and a non-uniform velocity profile. To reduce these negative elements of the flows, a porous plate with a permeability of 41% was placed in the stagnation chamber. The porous plate is shown in Figure 4, with a series of 5 mm holes in it, and the pattern of the holes is illustrated in the red circle. Two taps were set to measure the total pressure of the primary and secondary flow behind the porous plate.
Figure 4.
The porous plate.
The nozzles were three-dimensional convergent structures, with the side walls in a bicubic profile to improve the nozzle contraction ratio and ensure better airflow quality. A splitter plate of 4 mm thickness separated the nozzle into two parts. The outlet of all nozzles was 15 mm (height) × 20 mm (width), and the total length of the nozzle was 161 mm. Two pressure taps were set at the nozzle exit to measure the static pressure of the primary and secondary flow. At the tip of the splitter plate, the thickness of the splitter plate decreased from 4 mm to 1 mm to reduce the recirculation zone behind the splitter plate.
The inlet of the test section was 34 mm (height) × 20 mm (width), and the length of the test section was 300 mm. Expansion angles of 0.5° were set to the upper and lower walls to eliminate the influence of the boundary layer. The main purpose in developing the facility was to perform intrusive optical diagnostics on the supersonic mixing layer, and therefore an optical test section is made. As shown in Figure 5a,b, the optical test section consisted of a steel frame and four quartz glasses. To maximize the optical area for measurement, the flow path was combined with only the surfaces of the four glasses, and a steel frame was used to stabilize the quartz glasses. The optical windows started from 29 mm to 271 mm downstream of the nozzle exit, forming a total viewing length of 242 mm. Thus, the optical windows provided enough space to observe the development of the mixing layer, and allowed several kinds of optical measurements to be performed at the same time with four optical windows.
Figure 5.
Test section (a) steel frame and quartz glasses of the optical test section, (b) the flow path combined with the four glasses, (c) test section for pressure measurement.
Another test section was machined to measure the static pressure along the streamwise direction, as shown in Figure 5c. There were two rows of pressure taps for the measurement of the primary and secondary flow, respectively, and the data were compared with the numerical simulation.
The diffusion section had a length of 316 mm and was behind the test section, which was of great importance to the wind tunnel in decelerating the flow from the test section to reduce noise and acoustic fluctuation before the flow is exhausted to the atmosphere. This can also prevent high-pressure air from directly entering the test section because high-speed flow has a much lower pressure than in the atmospheric condition, which guarantees good quality of the flow field.
As shown in Figure 4, the diffusion section was divided into three parts: the convergent being 88 mm with a convergent angle of 2.3 degrees, the straight part being 105 mm, and the divergent part 123 mm with a divergent angle of 2.5 degrees. A normal shock was expected to form in the straight section when the flow was exhausted through the diffusion section, and the flow was expected to become subsonic after passing through the normal shock.
The flow rate G and running time t of the wind tunnel were calculated according to the following formula:
where G is the flow rate in the test section, k is a constant for a given condition and for air, P0 is the total pressure of the flow, T0 is the total temperature of the flow, A is the area of the test section, q(λ) is the flow rate function, QH is the capacity of the reservoir(kg), n is the polytropic index of expansion, P0K is the initial pressure of the reservoir, P0H is the end pressure of the reservoir, t is the operation time of the facility, DH is the density of the high-pressure air, and VH is the volume of the reservoir.
When the initial pressure of the reservoir was set to 2~2.5 Mpa, the flow rate of the wind tunnel was about 0.3 kg/s, and the running time of a single operation was about 15~20 s.
3.2. Operation of the Wind Tunnel
Due to factors such as machining accuracy and installation error, the actual Mach number and operation pressure may deviate from the theoretical calculation and numerical simulation. It was necessary to calibrate the actual operation parameters. Mach number and local sound velocity were calculated using the isentropic formula and sound velocity formula:
where P0 is the total pressure, Ps is the static pressure at the nozzle outlet, γ is the specific heat ratio (for air γ = 1.4), Ma is the Mach number at the nozzle exit, T0 is the total temperature, Ts is the static temperature at the nozzle exit, a is the local sound velocity, and R is the gas constant (R = 287 J/(kg·K)). The total pressure P was measured by the pressure tap in the stagnation chamber, and Ps was measured by the wall static pressure tap at the nozzle exit. By calculating the local sound velocity and the Mach number of the primary and secondary layers, the velocity of airflow was calculated and the convective Mach number was further calculated.
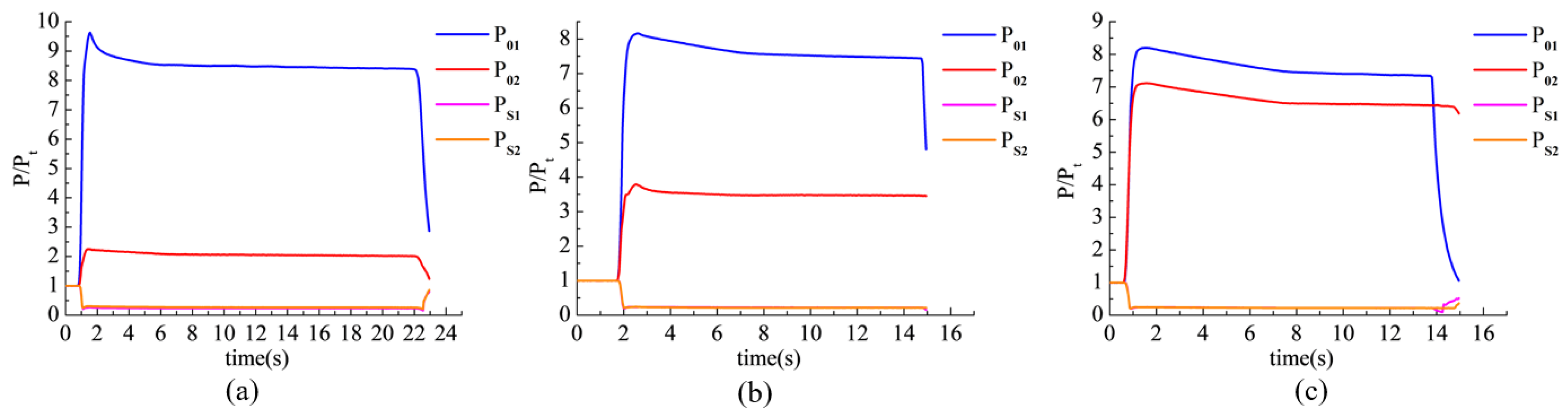
The main purpose of the test was to ensure that the pressure of the primary and secondary airflow was the same in the test section. The total and static pressure of the three cases in operation was determined, which were different from the designed ones. Figure 6 shows the pressure of the primary and the secondary airflow measured by the pressure scanner. Figure 6a–c corresponds to case 1, 2 and 3, respectively. The total operation time of the wind tunnel was about 15–24 s. The pressure of the primary airflow gradually decreased to about 700–800 kPa and then remained constant, and the pressure of the secondary airflow was finally stabilized at about 200, 300, and 600 kPa, respectively. The Mach numbers of the three cases were calculated according to the isentropic formula, as shown in Figure 7. It can be seen that although the total pressure changed gradually, the Mach numbers remained stable throughout the operations and were close to the design value. In the stable stage of the total pressure, the actual Mach numbers of the primary airflow of the three cases were 2.99, 2.95, and 2.95, and the Mach numbers of the secondary airflow were 1.99, 2.46, and 2.85, respectively. The parameters are shown in Table 2. The experimental Mach number of the supersonic mixing layer wind tunnel were close to the designed Mach numbers, and the error was about 1.5–1.7%. The actual convective Mach numbers of the three cases were 0.23, 0.10, and 0.02, respectively.
Figure 6.
Total and static pressure in operation (normalized by local atmospheric pressure pt) (a) case 1, (b) case 2, (c) case 3.
Figure 7.
Mach number of the nozzles of the three cases (a) case 1, (b) case 2, (c) case 3.
Table 2.
Operation conditions of the wind tunnel.
The Mach numbers of the simulations were within 0.10 of the experimental results, and the convective Mach number was within 0.01. Therefore, the facility was able to generate the desired Mach number and the large eddy simulation had good accuracy.
4. Full-Flow Field Simulation
By processing the numerical simulation for the mixing layer, it was easy to obtain various data that could be used to verify the conditions of the facility, including flow structures, pressure velocity profiles and density fluctuations. Apart from verification of the nozzles in the design conditions in Section 2, we performed a full flow field simulation of the wind tunnel from the stagnation chamber to the diffusion section, according to the operating conditions. The numerical method and inlet conditions are described in Section 2. For simplification, the porous plate is not included in the flow domain. The solution for the three cases is shown in Figure 8. It seems that although the flow was decelerated in the diffusion section, it did not meet our expectations because the normal shock was not seen and the flow was still supersonic at the outlet of the diffusion section. Actually, we ran 2D RANS and LES simulations in the meantime and showed that the LES was more reasonable, especially the pattern and location of the shock compared to the experimental results in Figure 9. Therefore, we adopted the results of the LES.
Figure 8.
Mach number contours of the full flow field.

Figure 9.
Ma number contours of the numerical simulation and schlieren graphs ((a,b), case1; (c,d), case2; (e,f), case3; (a,c,e), LES; (g,h,i), RANS).
4.1. Flow Structures
To analyze the stream in the test section, schlieren photography was used, except for in the simulation. The light of the schlieren device passed through the sidewalls of the test section to provide side views of the flow field. The exposure time of the camera was about 2.5 us and the photographs obtained with a framing rate of 7000 fps. The schlieren photographs and the numerical contours of Mach numbers of the three cases are presented in Figure 9. The optical view of the schlieren ranged from 32 mm to 110 mm downstream of the nozzle exit, which is labeled with the blue dotted lines. The structures in the flow field, i.e., shock waves, mixing layers, boundary layers, were observed, and patterns and locations of these structures showed good agreement in the numerical contours and the schlieren graphs.
Before the flow entered the test section, a pair of expansion waves were generated due to expansion of the flow path. A little recirculation zone appeared at the tip of the splitter plate after the primary and secondary flow met in the test section, and a pair of shock waves appeared. The expansion waves and shock waves reflected at the walls and were transmitted downstream, forming a series of diamond regions in the test section.
As is labeled in Figure 9a, the mixing layer experienced a laminar mode, a transitional mode, and finally developed into a complete turbulent mode. The schlieren view was mainly in the transitional region. After a short distance of the laminar mode, it began to wriggle and generated a series of regular small-scale vortex structures due to K-H instability. As the mixing layer developed, the vortex structures wiggled, entraining fluid, and became twisted and stretched, finally evolving into large-scale structures. The larger convective Mach number made the K-H vortex structures larger, which resulted in stronger K-H instability.
Interactions between the shock waves and the mixing layer are shown in Figure 9. The vortexes of the mixing layer became irregular after they intersected with the shock waves. However, it seems that the shock waves only disturbed the mixing layer locally because the fluctuation of the vortexes disappeared quickly after the intersection of the shock waves and the mixing layer, which is consistent with the research of Ma [21]. The influences of the interactions to the shock waves and the mixing layer differed in the three cases. In case 1, the shock waves caused the mixing layer to deflect downwards, which can be seen in Figure 9a,b, although the deflection location of the numerical simulation seemed a little behind the schlieren, and the shock waves bent when crossing the mixing layer, which was not observed in the other two cases shown in Figure 9c–f.
Interactions between shock waves and the boundary layer can also be seen in Figure 9. Recirculation zones formed at the reflection point of the shock waves on the wall due to the inverse pressure gradient before and after the oblique shock waves, which is consistent with the results of NPLS [22] and IC-PLS [19]. The pattern of the recirculation zone also affected the reflection of the shock waves. Two parallel shock waves close to each other can be observed at the back of the first recirculation in both the numerical contour and the schlieren photograph in Figure 9a,b of case 1 because the recirculation zones were smaller compared to that of case 2 and 3 in Figure 9c–f, in which there was a larger distance between the shock waves at the first recirculation zone in the boundary layer.
4.2. Pressure Distribution
To illustrate pressure distribution of the flow field evaluated by pressure difference across the test section, streamwise pressure measurement were performed using static taps set on the sidewall. Two rows of nine pressure taps were set: one centered along with the primary flow, and another centered along with the secondary flow. Results of pressure measurements are shown in Figure 10 and compared with those of the large eddy simulation. The numerical data shows the same trend as the experimental results, which is a slight decrease in the pressure along the streamwise direction.
Figure 10.
Comparisons of experiments and LES simulation on the streamwise pressure distribution (a) case 1, (b) case 2, (c) case 3.
As seen in Figure 10, the pressure of the primary and secondary flow varied greatly along the streamwise direction due to the existence of shock waves, and the location of the shock waves was predicted well by the numerical simulation compared with the experimental measurement. Pressure mismatch occurred along the streamwise direction from both the experimental and numerical results, as shown in Figure 10, even though the pressure of the primary and secondary flow matched well at the start of the test section. The larger convective Mach number caused the larger pressure mismatch. This is probably due to the differences in transmission angles and intensity of the oblique shock waves, as shown in Figure 9.
Deviation of the experimental and simulation data can be seen in Figure 10. The experimental data seems to be larger than the simulation data and the smaller convective Mach number makes the deviation more significant. Although the inlet condition of the simulation was modified according to the experiment, it could not be eliminated. From Figure 10, the experimental pressure seemed to go up, which was due to the limited detecting points. When the flow passes the shock, the pressure should decrease abruptly. However, we set only nine pressure tabs on the test section, so some trough values of the pressure were not obtained and we could see the abrupt decrease of the pressure. If the trough values were included, the pressure would fluctuate around 22, 17, and 18 Kpa in the three experiments, respectively. As for the simulation, although the peak pressure values decreased, the trough value of the pressure stayed almost constant all the time, which is consistent with reference [14]. This means that the pressure decreased slightly in the test section and the pressures fluctuated around 18, 14, and 14 Kpa in the simulations, respectively. Hence, in both the simulations and experiments, the trends were almost the same.
4.3. Velocity Profiles
Figure 11 shows the development of mean velocity profiles (the solid lines) for the mixing layer of case 1, which is averaged by data of 200-time internals of 10 μs. Sixteen profiles from 0 mm to 290 mm are shown as the mixing layer developed in the streamwise direction of the test section. The profiles were plotted against y where y = 0 is the centerline of the test section. In Figure 11, the development of the velocity is clearly shown; however, it should be noted that the absolute value of the velocity was not easy to label on the plot, and therefore only the primary and secondary velocity of the sixth profile at x = 100 mm are labeled as U1 and U2, where U1 is about 636 m/s and U2 is about 568 m/s. The velocity deficit of the first three profiles at x = 0, 20, 40 mm shows the influence of the recirculation zone at the tip of the splitter plate, which quickly disappears at x = 60 mm. Mixing layer deflection can be seen from x = 100 mm to 140 mm, as the centerline of the two profiles is lower than that of the rest profiles, which is consistent with the contour of Figure 9a,b. As the mixing layer developed, the velocity gradient of the mixing layer gradually decreased and the velocity profile became smoother.
Figure 11.
Velocity profiles of simulation in the streamwise direction of case 1.
5. Optical Diagnosis of the Flow
We performed optical diagnosis analyses, i.e., FLEET and FLDI, on the facility and compared the results with numerical simulations. FLEET is a non-intrusive and non-particle optical technique for velocity measurements conducted by recording the trajectory of the fluorescent filaments generated by N2 molecules [23].The detection area was at about x = 100 mm in the test section. According to the principle of FLEET, the measurement accuracy of speed is mainly determined by the displacement measurement accuracy and timing control accuracy. The timing control accuracy of the system was within 0.25 ns, which can be ignored. The displacement accuracy was measured in the static air. We generated the FLEET filament in the static air, captured 50 photographs, calculated the displacement error and obtained the velocity error. It was determined that the velocity error was within 5 m/s with a time delay of 5 μs, and within 2.5 m/s with a time delay of 10 μs. Graphs of the fluorescent filaments with 5 us and 10 us time delay are shown in Figure 12. The mean velocity profiles calculated with 5 us and 10 us time delay are plotted as red dash-dots and blue dots, respectively, in Figure 13, where the sixth velocity profile of the simulation at the same location is also plotted for comparison. The primary velocity was about 610 m/s and the secondary velocity was about 516 m/s, which were lower than the simulation with errors of about 4% and 9%. This result is reasonable and consistent with the pressure distribution in Figure 10 because the static pressure of the experiments was higher than that of the simulation, which corresponds to a slower speed than the simulation. This is attributed to a systematic error, probably caused by the setting of boundary conditions and machine error. Despite the velocity deviation, the region of the mixing layer of FLEET and simulation was the same, both from about 2.5 mm to −2.5 mm, as shown in Figure 13. A focused laser differential interferometer (FLDI) was utilized to measure the density fluctuation of the flow field. The optical layout is shown in Figure 14. The principle of the device is detecting the density fluctuation in the area between the two focuses of the laser beams in the flow, as only in this area are the two beams separated, and sensing an optical difference due to the density fluctuation [24]. In the FLDI experiment, the fluctuation was recorded by the a photodetector and transformed into an electronic signal. The detection location is labeled as a red dot in Figure 15c, where we also extract the density fluctuation during the process of the simulation. Fourier transformation was performed to obtain the power spectrum of the density fluctuation. The density power spectrum of the simulation and the experiment is shown in Figure 15. Both the FLDI and the simulation show a peak frequency of 85 KHz, which verifies the practical application of FLDI on the supersonic mixing layer. Other peaks at 1, 2.5, 4 and 10 kHz represent noise from the laser we used in the experiments.
Figure 12.
Fluorescent filaments of FLEET.
Figure 13.
Velocity profiles of the simulation and FLEET at x = 100 mm in the test section (simulation, solid line; FLEET, red dash-dot, 5 us delay and blue dot, 10 us delay).
Figure 14.
Layout of the FLDI device. (P1, P2, polarizer; H, half-wave plate; PH, pinhole; W1, W2, Wollaston prism; L1, L2, convex lens; D, fast photodetector).
Figure 15.
Power spectrum of the density at the measuring point. (a) Simulation, (b) FLDI, (c) the detection point.
6. Conclusions
This paper describes the design process of a supersonic-supersonic mixing layer wind tunnel for the research into mixing layers and the application of newly developed optical measurement techniques. Large eddy simulation played an important role in evaluating the design, illustrating the flow field of the supersonic-supersonic mixing layer and analyzing the performance of FLEET and FLDI.
Mach numbers were calibrated by pressure measurement, and it was determined that the wind tunnel was able to generate the desired flow, with a deviation of Mach numbers of less than 0.1 compared to the design numbers. The pressure distribution in the streamwise direction of the simulation was compared to the experimental data, and showed a slightly decreasing trend. The pressure drop was about 15%. However, probably due to the assumption of a perfect gas and the non-slip wall, the pressure of the simulation was slightly larger than the experiment, requiring further in-depth research. The velocity of the simulation was lower than FLEET, perhaps for the same reason, and needs further study and modification. FLDI and the simulation showed good agreement in the power spectrum of the density fluctuation, which verified the practical application of the technique. As far as we know, this is the first time that numerical simulation results have been compared with FLEET and FLDI in a supersonic-supersonic mixing wind tunnel.
Author Contributions
Conceptualization, S.C.; methodology, Y.L., L.C., H.L.; validation, Y.L., L.C., H.L.; writing—original draft preparation, Y.L.; writing—review and editing, S.C., H.L.; visualization, L.C., H.L., Y.W.; funding acquisition, S.C. All authors have read and agreed to the published version of the manuscript.
Funding
This study was supported by National key research and development program of China. (No. 2020YFA0405700).
Institutional Review Board Statement
Not applicable.
Informed Consent Statement
Not applicable.
Data Availability Statement
Not applicable.
Conflicts of Interest
The authors declare no conflict of interest. The funders had no role in the design of the study; in the collection, analyses, or interpretation of data; in the writing of the manuscript, or in the decision to publish the results.
References
- Feng, J. Study on Growth Characteristics and Mixing Enhancement Mechanisms of Supersonic Mixing Layers. Ph.D. Thesis, National University of Defense Technology, Changsha, China, 2016. (In Chinese). [Google Scholar]
- Papamoschou, D.; Roshko, A. The compressible turbulent shear layer: An experimental study. J. Fluid Mech. 1988, 197, 453–477. [Google Scholar] [CrossRef] [Green Version]
- Bogdanoff, D.W. Compressibility Effects in Turbulent Shear Layers. AIAA J. 1982, 21, 926–927. [Google Scholar] [CrossRef]
- Goebel, S.G.; Dutton, J.C. Experimental study of compressible turbulent mixing layers. AIAA J. 1991, 29, 538–546. [Google Scholar] [CrossRef]
- Mungal, M.G.; Clemens, N.T. Two- and Three-Dimensional Effects in the Supersonic Mixing Layer. AIAA J. 1992, 30, 1073–1075. [Google Scholar]
- Clemens, N.T.; Mungal, M.G. Large-scale Structure and Entrainment in the Supersonic Mixing Layer. J. Fluid Mech. 1995, 284, 171–216. [Google Scholar] [CrossRef]
- Kim, K.U.; Elliott, G.S.; Dutton, J.C. Three-Dimensional Experimental Study of Compressibility Effects on Turbulent Free Shear Layers. AIAA J. 2020, 58, 133–147. [Google Scholar] [CrossRef]
- Dutton, J.C.; Elliott, G.S.; Kim, K.U. Compressible mixing layer experiments for CFD validation. In Proceedings of the AIAA Aviation 2019 Forum, Dallas, TX, USA, 17–21 June 2019. [Google Scholar]
- Barre, S.; Bonnet, J.P. Detailed experimental study of a highly compressible supersonic turbulent plane mixing layer and comparison with most recent DNS results: Towards an accurate description of compressibility effects in supersonic free shear flows. Int. J. Heat Fluid Flow. 2015, 51, 324–334. [Google Scholar] [CrossRef]
- Lee, G.S.; Kim, K.U.; Johnson, B.E.; Elliott, G.S.; Dutton, J.C. A compressible mixing layer facility for CFD validation measurements. In Proceedings of the 32nd AIAA Aerodynamic Measurement Technology and Ground Testing Conference, Washington, DC, USA, 13–17 June 2016. [Google Scholar]
- Zhao, Y.X.; Tian, L.F.; Yi, S.H.; He, L.; Cheng, Z.Y. Experimental study of flow structure in pressure unmatched mixing layer. J. Exp. Fluid Mech. 2007, 21, 14–17. (In Chinese) [Google Scholar]
- Muller, S.; Hawk, C.W.; Bakker, P.G.; Parkinson, D.; Turner, M. Mixing of Supersonic Jets in an RBCC Strutjet Propulsion. In Proceedings of the 35th AIAA/ASM E/SAE/ASEE Joint Propulsion Conference and Exhibit, Los Angeles, CA, USA, 20–23 June 1999. [Google Scholar]
- Zhang, D.; Tan, J.; Lv, L.; Li, F. Characterization of flow mixing and structural topology in supersonic planar mixing layer. Acta Astronaut. 2018, 156, 33–43. [Google Scholar] [CrossRef]
- Dong, Z.; Sun, M.; Wang, Z.; Cai, Z.; Yao, Y.; Gu, R. Numerical investigation on flow and mixing characteristics inside a converging-diverging mixing duct of rocket-based combined-cycle engine in ejector mode. Aerosp. Sci. Technol. 2020, 106, 106102. [Google Scholar] [CrossRef]
- Fang, X.X.; Shen, C.B.; Sun, M.B.; Wang, H.B.; Wang, P. Turbulent structures and mixing enhancement with lobed mixers in a supersonic mixing layer. Phys. Fluids 2020, 32, 041701. [Google Scholar]
- Hall, J.L. An Experimental Investigation of Structure, Mixing and Combustion in Compressible Turbulent Shear Layers. Ph.D. Thesis, California Institute of Technology, Pasadena, CA, USA, 1991. [Google Scholar]
- Rossmann, T.; Mungal, M.G.; Hanson, R.K. Evolution and growth of large-scale structures in high compressibility mixing layers. J. Turbul. 2002, 3, 9. [Google Scholar] [CrossRef]
- Yang, W.; Zhuang, F.; Shen, Q.; Guan, F.; Wang, Q.; Yi, S.; Tian, L. Experimental and numerical study on instability structure of the supersonic mixing layer (Mc = 0.5). Sci. China Ser. G Phys. Mech. Astron. 2009, 52, 1624–1631. [Google Scholar] [CrossRef]
- Ma, K.; Li, J.; Li, Q.; Liu, Y.; Li, X.; Ma, D.; Ao, W. Evolution characteristics of subsonic-supersonic mixing layer impinged by shock waves. Aerosp. Sci. Technol. 2020, 106, 106150. [Google Scholar] [CrossRef]
- Yi, S.H.; Zhao, Y.X.; He, L.; Zhang, M.L. Supersonic and Hypersonic Nozzle Design; National Defense Industry Press: Beijing, China, 2013; pp. 55–58. [Google Scholar]
- Ma, K.; Li, J.; Li, Q.; Liu, Y.; Ao, W.; Liu, P. Numerical and experimental investigation of the geometrical scale effect on a confined subsonic-supersonic shear layer. Acta Astronaut. 2020, 173, 212–220. [Google Scholar] [CrossRef]
- Zhang, D.D.; Tan, J.G.; Lv, L. Experimental Investigation on Shock Waves and Flow Structures in Pressure Unmatched Mixing Layer. J. Proj. Rocket. Missiles Guid. 2016, 36, 65–68. (In Chines) [Google Scholar]
- Michael, J.B.; Edwards, M.R.; Dogariu, A.; Miles, R.B. Femtosecond laser electronic excitation tagging for quantitative velocity imaging in air. Appl. Optics. 2011, 50, 5158–5162. [Google Scholar] [CrossRef] [PubMed]
- Yu, T.; Zhang, W.; Zhang, Y.F. Focused laser differential interferometry measurement of instability wave in a hypersonic boundary-layer. J. Exp. Fluid Mech. 2019, 33, 70–75. (In Chinese) [Google Scholar]
Publisher’s Note: MDPI stays neutral with regard to jurisdictional claims in published maps and institutional affiliations. |
© 2022 by the authors. Licensee MDPI, Basel, Switzerland. This article is an open access article distributed under the terms and conditions of the Creative Commons Attribution (CC BY) license (https://creativecommons.org/licenses/by/4.0/).















