Photoplethysmography-Based Pulse Rate Variability and Haemodynamic Changes in the Absence of Heart Rate Variability: An In-Vitro Study
Abstract
:1. Introduction
2. Materials and Methods
2.1. In-Vitro Setup
2.1.1. Upper-Body Circulatory Rig
2.1.2. Radial and Deep Palmar Arch Phantoms
2.1.3. Artificial Blood
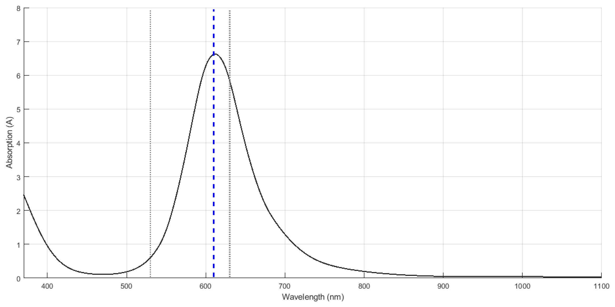
2.1.4. Pressure and Photoplethysmography Measurements
2.1.5. Setup Validation
2.2. Experimental Protocol
2.3. Data Processing
2.4. Statistical Analysis
3. Results
3.1. In-Vitro Setup Validation
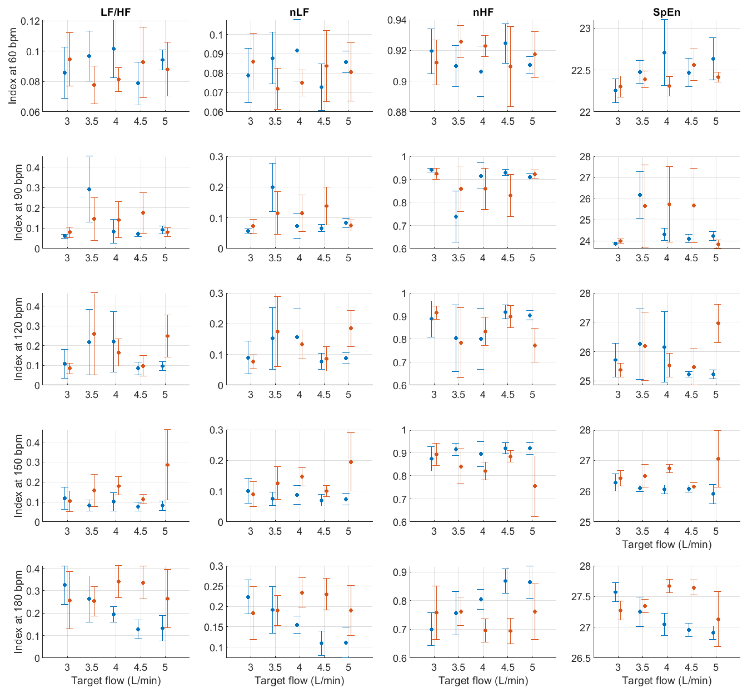
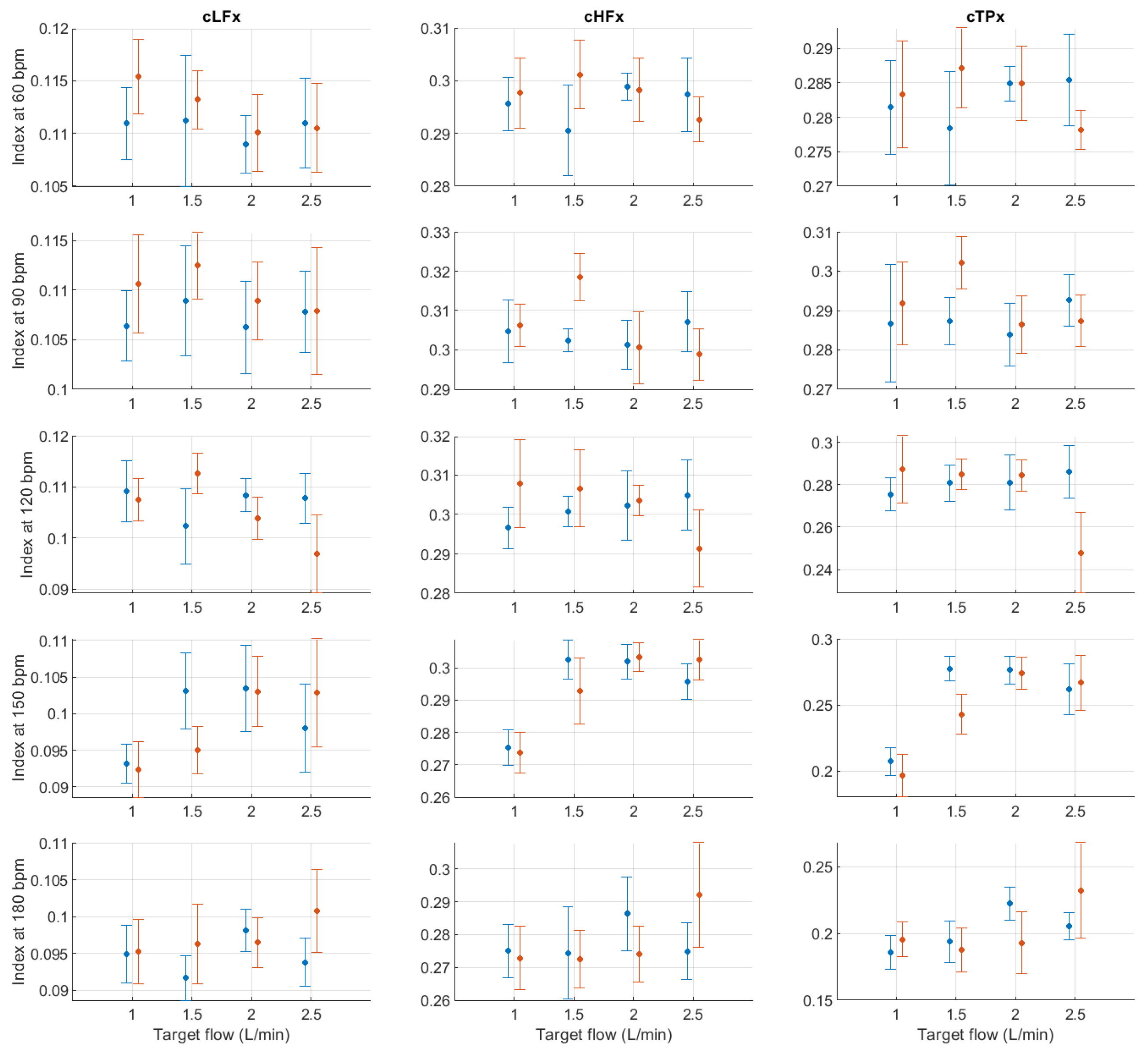
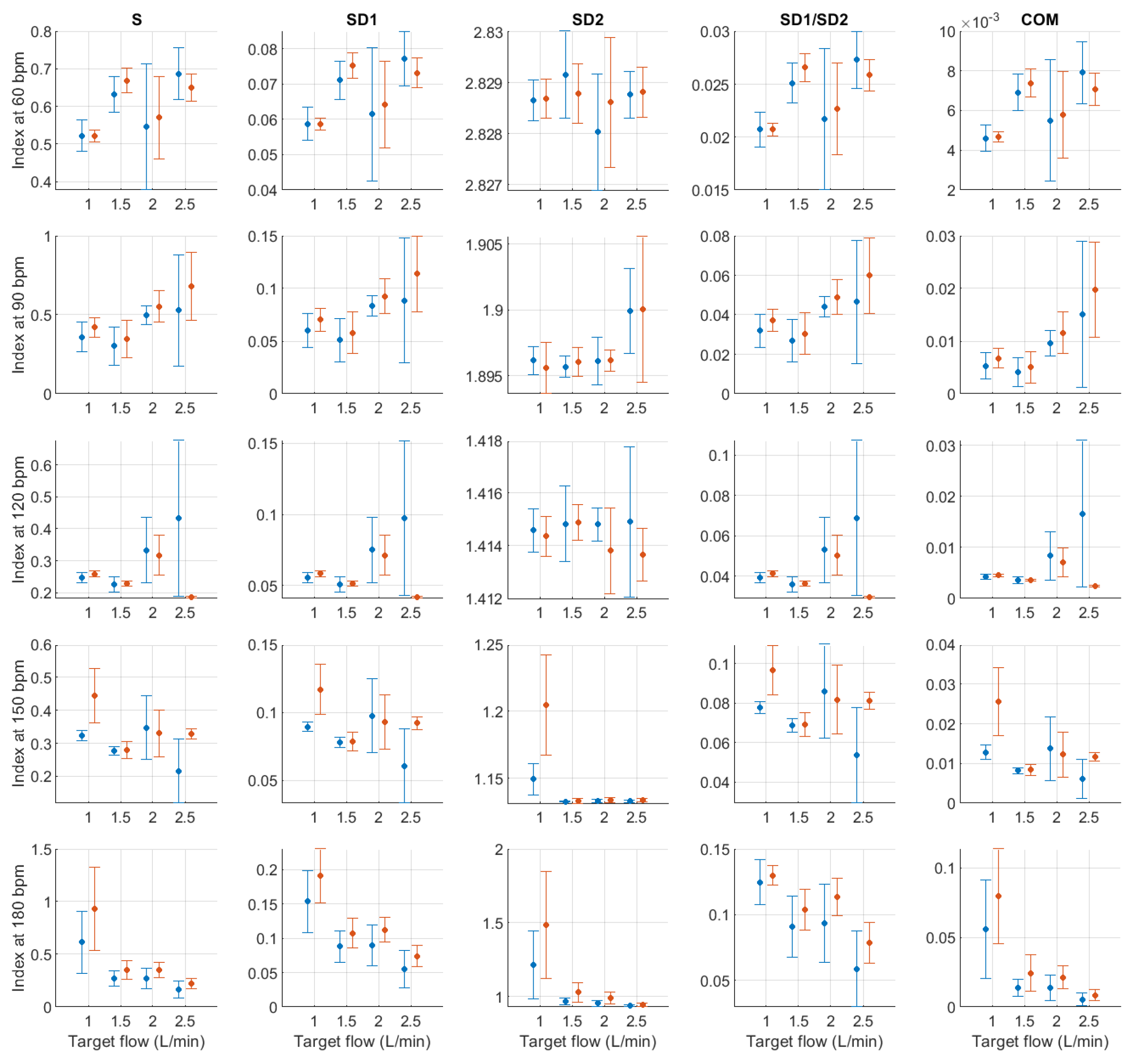
3.2. Photoplethysmography and Pulse Rate Variability Measurements
3.3. Relationship between PRV and Haemodynamic Changes
4. Discussion
4.1. In-Vitro Setup
4.2. Behaviour of PRV Indices with Haemodynamic Changes
4.3. Relationship between PRV and Cardiac Output Changes
4.4. Limitations of the Study
5. Conclusions
Author Contributions
Funding
Institutional Review Board Statement
Informed Consent Statement
Data Availability Statement
Conflicts of Interest
Abbreviations
| PRV | Pulse rate variability |
| PPG | Photoplethysmography |
| HRV | Heart rate variability |
| ECG | Electrocardiography |
| SR | Stroke rate |
| TF | Target flow |
Appendix A. In-Vitro Setup


Appendix B. Factorial Analysis

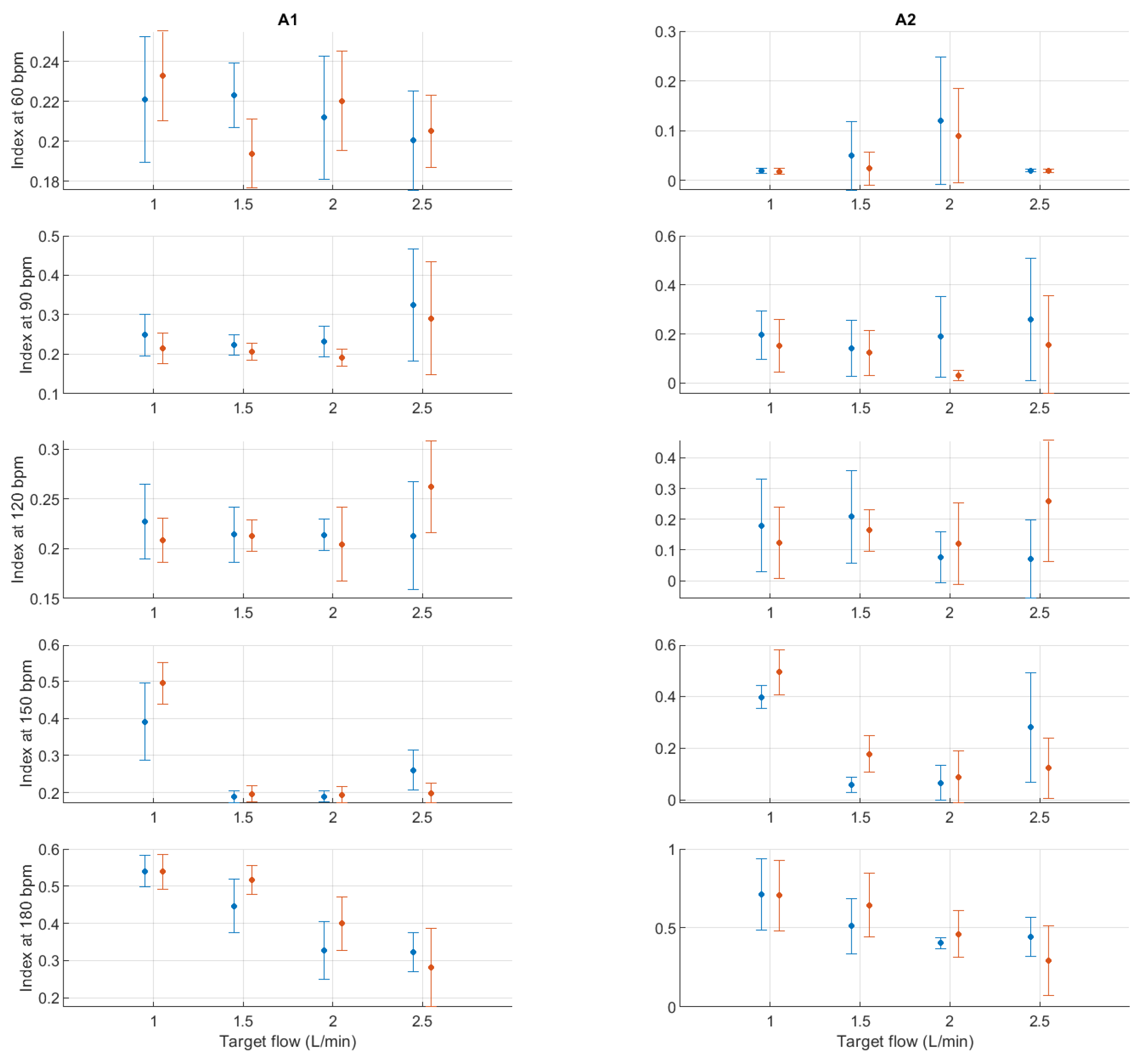
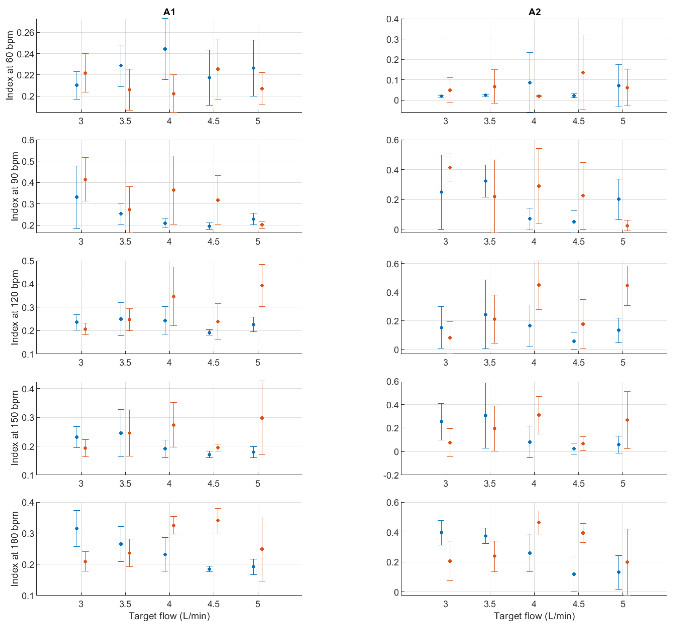
Appendix C. Behaviour of Pulse Rate Variability Indices
















References
- Schäfer, A.; Vagedes, J. How accurate is pulse rate variability as an estimate of heart rate variability? A review on studies comparing photoplethysmographic technology with an electrocardiogram. Int. J. Cardiol. 2013, 166, 15–29. [Google Scholar] [CrossRef] [PubMed]
- Mejía-Mejía, E.; May, J.M.; Torres, R.; Kyriacou, P.A. Pulse rate variability in cardiovascular health: A review on its applications and relationship with heart rate variability. Physiol. Meas. 2020, 41, 07TR01. [Google Scholar] [CrossRef] [PubMed]
- Mejía-Mejía, E.; May, J.M.; Elgendi, M.; Kyriacou, P.A. Classification of blood pressure in critically ill patients using photoplethysmography and machine learning. Comput. Meth. Prog. Biomed. 2021, 208, 106222. [Google Scholar] [CrossRef] [PubMed]
- Yuda, E.; Shibata, M.; Ogata, Y.; Ueda, N.; Yambe, T.; Yoshizawa, M.; Hayano, J. Pulse rate variability: A new biomarker, not a surrogate for heart rate variability. J. Physiol. Anthropol. 2020, 39, 21. [Google Scholar] [CrossRef]
- Mejía-Mejía, E.; Budidha, K.; Abay, T.Y.; May, J.M.; Kyriacou, P.A. Heart Rate Variability (HRV) and Pulse Rate Variability (PRV) for the Assessment of Autonomic Responses. Front. Physiol. 2020, 11, 779. [Google Scholar] [CrossRef] [PubMed]
- Mejía-Mejía, E.; May, J.M.; Elgendi, M.; Kyriacou, P.A. Differential effects of the blood pressure state on pulse rate variability and heart rate variability in critically ill patients. NPJ Digit. Med. 2021, 4, 82. [Google Scholar] [CrossRef] [PubMed]
- Yuda, E.; Yamamoto, K.; Yoshida, Y.; Hayano, J. Differences in pulse rate variability with measurement site. J. Physiol. Anthropol. 2020, 39, 4. [Google Scholar] [CrossRef] [PubMed] [Green Version]
- Constant, I.; Laude, D.; Murat, I.; Elghozi, J.L. Pulse rate variability is not a surrogate for heart rate variability. Clin. Sci. 1999, 4, 391–397. [Google Scholar] [CrossRef]
- Pellegrino, P.R.; Schiller, A.M.; Zucker, I.H. Validation of pulse rate variability as a surrogate for heart rate variability in chronically instrumented rabbits. Am. J. Physiol. Heart Circ. Physiol. 2014, 307, H97–H109. [Google Scholar] [CrossRef] [PubMed] [Green Version]
- May, J.M.; Mejía-Mejía, E.; Nomoni, M.; Budidha, K.; Choi, C.; Kyriacou, P.A. Effects of Contact Pressure in Reflectance Photoplethysmography in an In Vitro Tissue-Vessel Phantom. Sensors 2021, 21, 8421. [Google Scholar] [CrossRef] [PubMed]
- Dotter, C.; Roberts, D.J.; Steinberg, I. Aortic Length: Angiocardiographic Measurements. Circulation 1950, 2, 915–920. [Google Scholar] [CrossRef] [Green Version]
- Poonam, N.J.; Rajan, K.S.; Tripta, S. Anatomical Considerations and Clinical Implications of Subclavian Artery. J. Evol. Med. Dent. Sci. 2013, 2, 5484–5491. [Google Scholar] [CrossRef]
- Chakravarthi, K.K.; Siddaraju, K.S.; Venumadhav, N.; Sharma, A.; Kumar, N. Anatomical Variations of Brachial Artery—Its Morphology, Embryogenesis and Clinical Implications. J. Clin. Diagn. Res. 2014, 8, AC17–AC20. [Google Scholar] [CrossRef] [PubMed]
- Nasr, A.Y. The radial artery and its variations: Anatomical study and clinical implications. Folia Morphol. 2012, 71, 252–262. [Google Scholar]
- Nomoni, M.; May, J.M.; Kyriacou, P.A. Novel Polydimethylsiloxane (PDMS) Pulsatile Vascular Tissue Phantoms for the In-Vitro Investigation of Light Tissue Interaction in Photoplethysmography. Sensors 2020, 20, 4246. [Google Scholar] [CrossRef] [PubMed]
- Nomoni, M.; May, J.M.; Kyriacou, P.A. A Pulsatile Optical Tissue Phantom for the Investigation of Light-Tissue Interaction in Reflectance Photoplethysmography. In Proceedings of the 41st Annual International Conference of the IEEE Engineering in Medicine and Biology Society (EMBC), Berlin, Germany, 23–27 July 2019; pp. 3204–3207. [Google Scholar]
- Akl, T.J.; King, T.J.; Long, R.; Ericson, M.N.; Wilson, M.A.; McShane, M.J.; Coté, G.L. In vitro performance of a perfusion and oxygenation optical sensor using a unique liver phantom. In Proceedings of the SPIE BiOS, San Francisco, CA, USA, 21–26 January 2012; p. 822904. [Google Scholar]
- Rybynok, V.; May, J.M.; Budidha, K.; Njoum, H.; Phillips, J.P.; Kyriacou, P.A. ZenPPG: A modular multi-channel photoplethysmography system. In Proceedings of the International Symposium of Innovations and Applications of Monitoring Perfusion, Oxygenation and Ventilation (IAMPOV), New Haven, CT, USA, 29 June–1 July 2012. [Google Scholar]
- Budidha, K.; Rybynok, V.; Kyriacou, P.A. Design and Development of a Modular, Multichannel Photoplethysmography System. IEEE Trans. Instrum. Meas. 2018, 67, 1954–1965. [Google Scholar] [CrossRef]
- Kumar, K.R.; Kirsch, R.E.; Hornik, C.P. Cardiovascular Physiology for Intensivists. In Critical Heart Disease in Infants and Children; Ungerleider, R.M., Meliones, J.N., McMillan, K.N., Cooper, D.S., Jacobs, J.P., Eds.; Elsevier: Philadelphia, PA, USA, 2019; pp. 111–133.e5. [Google Scholar]
- Elgendi, M.; Norton, I.; Brearley, M.; Abbott, D.; Schuurmans, D. Systolic peak detection in acceleration photoplethysmograms measured from emergency responders in tropical conditions. PLoS ONE 2013, 8, e76858. [Google Scholar] [CrossRef] [Green Version]
- Mejía-Mejía, E.; May, J.M.; Kyriacou, P.A. Effects of using different algorithms and fiducial points for the detection of interbeat intervals, and different sampling rates on the assessment of pulse rate variability from photoplethysmography. Comput. Meth. Prog. Biomed. 2022, 218, 106724. [Google Scholar] [CrossRef] [PubMed]
- Khandoker, A.H.; Karmakar, C.; Brennan, M.; Palaniswami, M.; Voss, A. Poincaré Plot Methods for Heart Rate Variability Analysis; Springer: Boston, MA, USA, 2013. [Google Scholar]














| Vessel Segment | Length (mm) | Inside Diameter (mm) |
|---|---|---|
| Aorta | 120 | 20 |
| Subclavian artery | 80 | 10 |
| Brachial artery | 200 | 4 |
| Radial artery | 220 | 2.3 |
| Deep palmar arch arteries | 250 | 1.6 |
| Venous system | 220 | 2.3 |
Publisher’s Note: MDPI stays neutral with regard to jurisdictional claims in published maps and institutional affiliations. |
© 2022 by the authors. Licensee MDPI, Basel, Switzerland. This article is an open access article distributed under the terms and conditions of the Creative Commons Attribution (CC BY) license (https://creativecommons.org/licenses/by/4.0/).
Share and Cite
Mejía-Mejía, E.; Kyriacou, P.A. Photoplethysmography-Based Pulse Rate Variability and Haemodynamic Changes in the Absence of Heart Rate Variability: An In-Vitro Study. Appl. Sci. 2022, 12, 7238. https://doi.org/10.3390/app12147238
Mejía-Mejía E, Kyriacou PA. Photoplethysmography-Based Pulse Rate Variability and Haemodynamic Changes in the Absence of Heart Rate Variability: An In-Vitro Study. Applied Sciences. 2022; 12(14):7238. https://doi.org/10.3390/app12147238
Chicago/Turabian StyleMejía-Mejía, Elisa, and Panicos A. Kyriacou. 2022. "Photoplethysmography-Based Pulse Rate Variability and Haemodynamic Changes in the Absence of Heart Rate Variability: An In-Vitro Study" Applied Sciences 12, no. 14: 7238. https://doi.org/10.3390/app12147238
APA StyleMejía-Mejía, E., & Kyriacou, P. A. (2022). Photoplethysmography-Based Pulse Rate Variability and Haemodynamic Changes in the Absence of Heart Rate Variability: An In-Vitro Study. Applied Sciences, 12(14), 7238. https://doi.org/10.3390/app12147238

