Simulation Study of Thermal–Mechanical Coupling Fretting Wear of Ti-6Al-4V Alloy
Abstract
:1. Introduction
2. Numerical Calculation Method
2.1. Energy Dissipation Wear Model
2.2. Modified Energy Wear Model
2.3. Model Solving Process
- (1)
- In ABAQUS software, the finite element model of temperature–displacement coupling is established, and related parameters are set. The parameters include the friction coefficient and material parameters that vary with temperature, as well as the load, the number of fretting cycles, and the ambient temperature, etc. An INP file containing the model information is generated.
- (2)
- Solving the INP file to obtain information about the nodes in the contact area, including node temperature, node coordinates, contact stress, and relative slip distance.
- (3)
- Writing the UMESHMOTION wear subroutine based on the modified energy wear model; first calculate or update the energy wear coefficient KE(T) at the corresponding node using Equation (9) and the obtained node temperature T, and then calculate the wear amount according to Equation (4).
- (4)
- Calling the wear subroutine at the end of the current fretting cycle to calculate the amount of wear for that fretting cycle.
- (5)
- Updating the node coordinates according to the wear amount of that cycle combined with the adaptive mesh technique (ALE) to generate the surface profile after wear and update the INP file.
- (6)
- Information such as temperature and stress of the node is recalculated based on the new surface profile, and then the energy wear coefficient KE(T) is updated.
- (7)
- Counting the number of fretting cycles n, accumulate the total wear for n cycles and record.
- (8)
- Determine whether the number of fretting cycles n reaches the target number of cycles N. If it does not, the judgment result is yes, and the cycle proceeds to steps (2)–(6). If it does, the judgment result is no, and the simulation ends.
3. Finite Element Model
3.1. Material Properties
3.2. Loading History
3.3. Validation of the Model
4. Results and Discussion
4.1. Effect of Plastic Deformation of Materials on Wear and Temperature Rise
4.2. Effect of Temperature on Wear
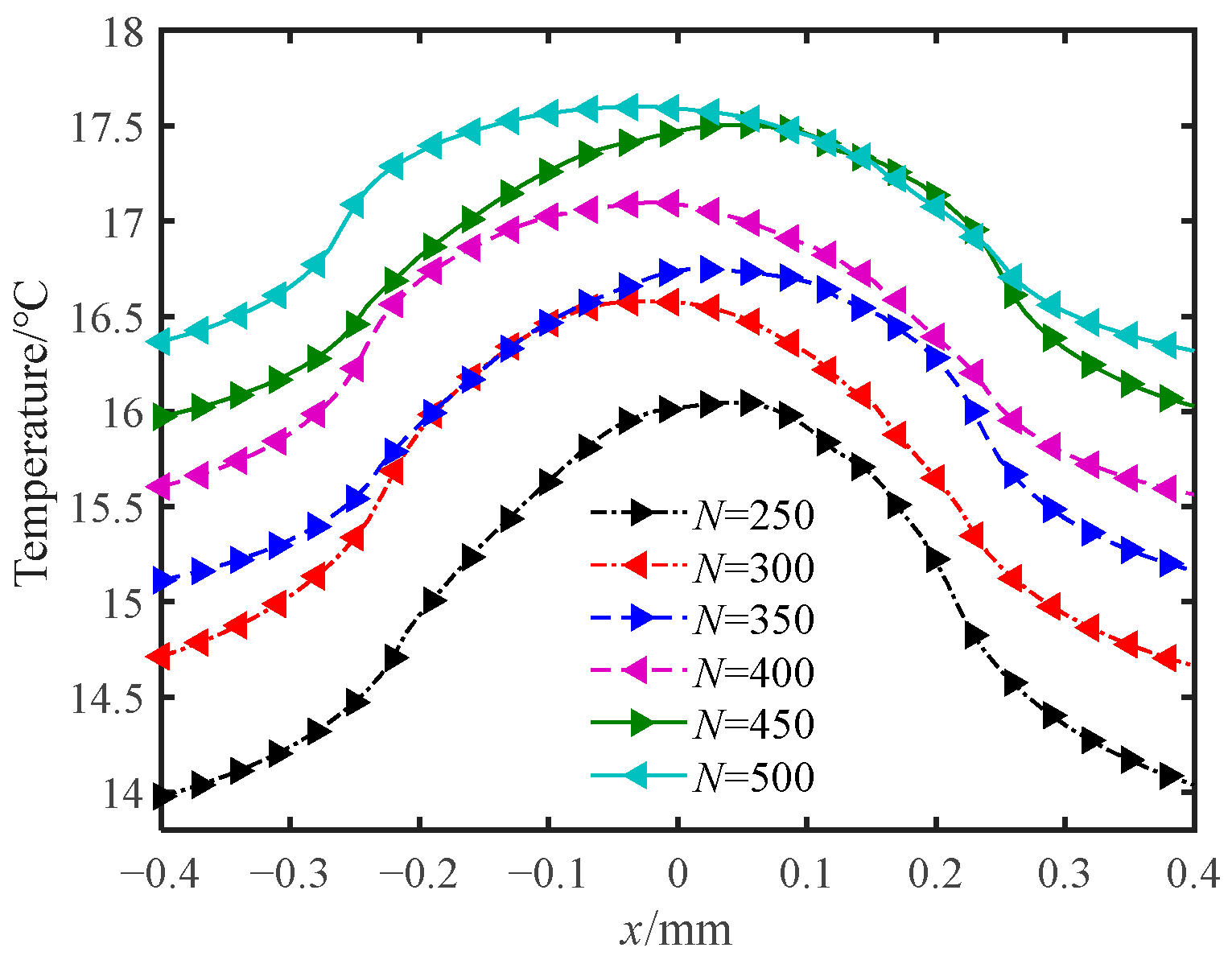
4.3. Effect of Number of Cycles on Wear and Temperature Rise
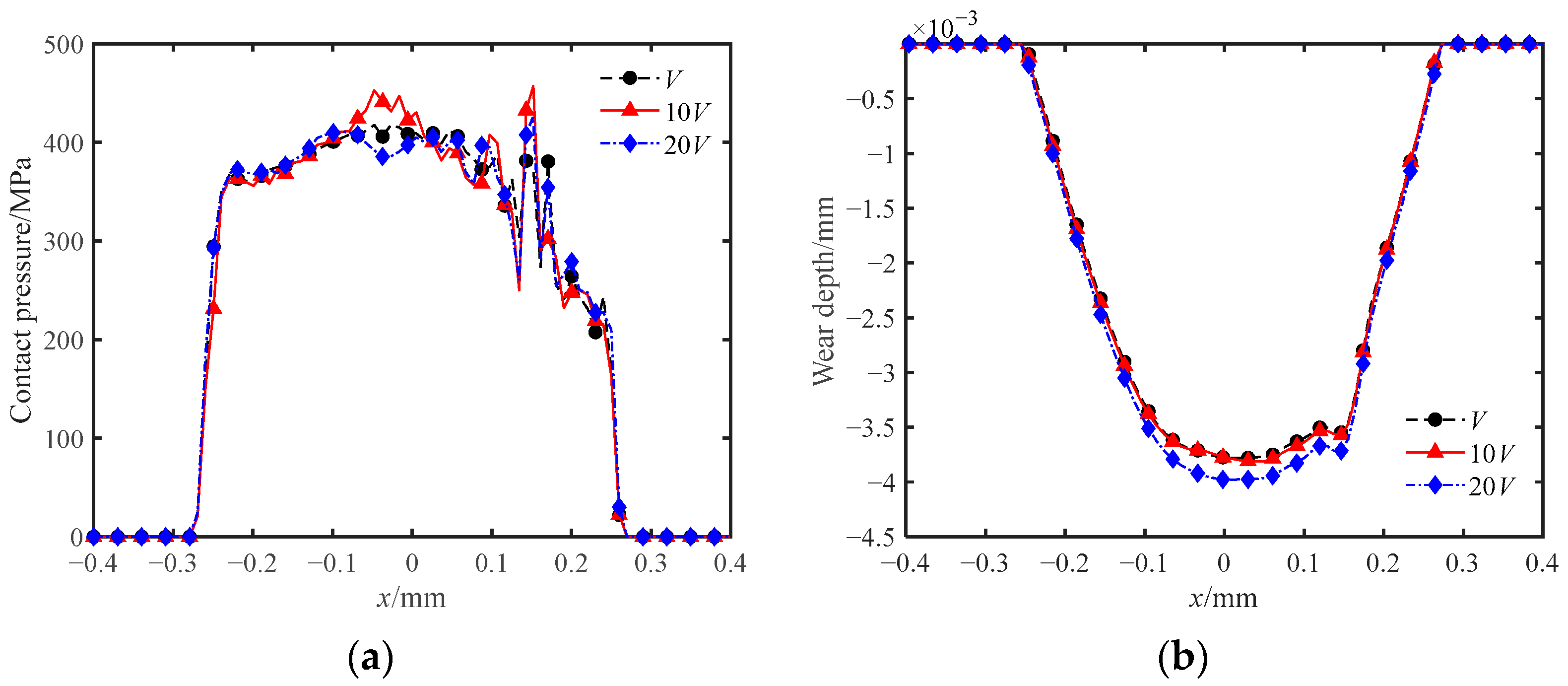
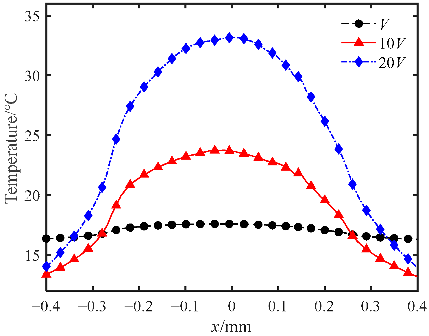
4.4. Effect of Fretting Speed on Wear and Temperature Rise
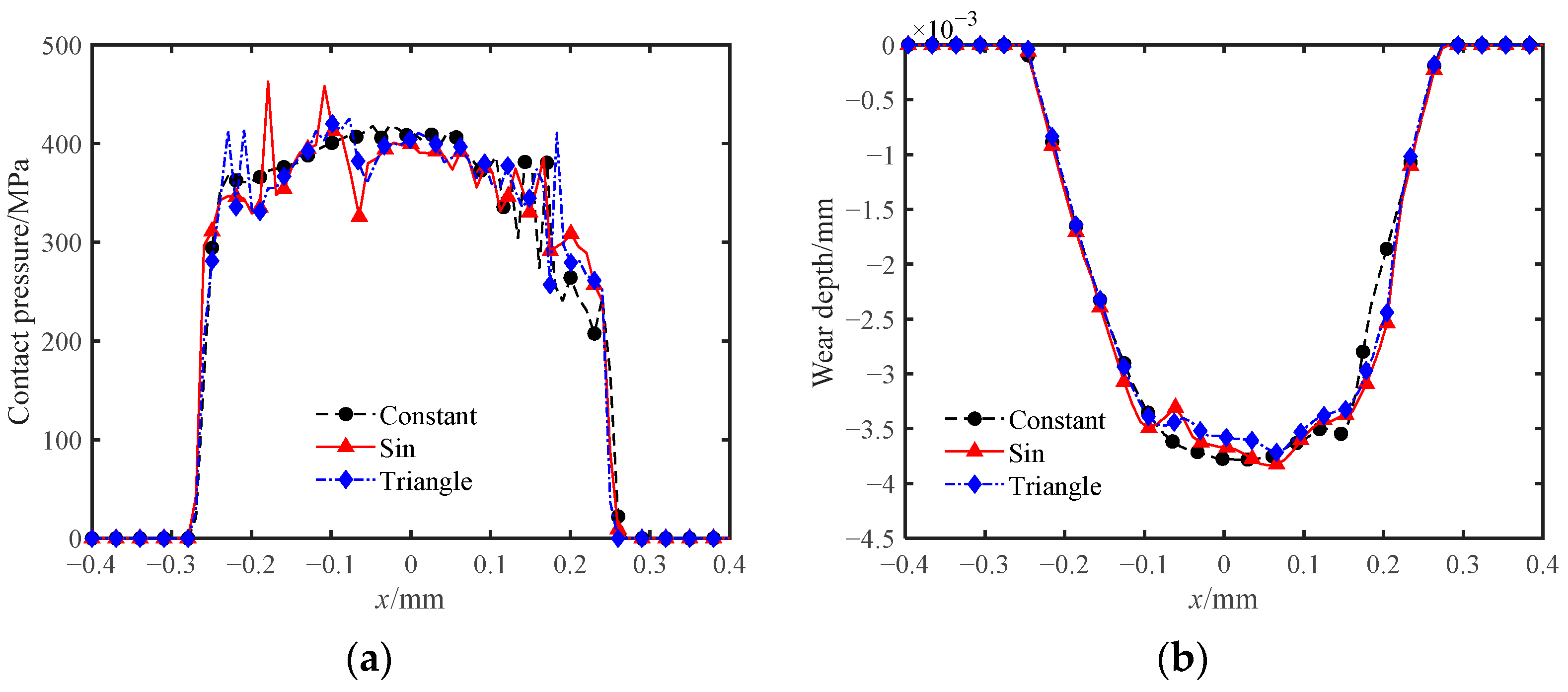
4.5. Effect of Cyclic Normal Load on Wear and Temperature Rise
5. Conclusions
- (1)
- Utilizing the UMESHMOTION subroutine, a conventional energy dissipation model was modified to account for the interaction between temperature and wear. The plastic deformation of Ti-6Al-4V alloy materials is considered in the development of numerical simulation methods and finite element models of thermal–mechanical–wear coupling. It is possible to obtain the evolution of the contact surface’s temperature rise, contact pressure, and wear volume.
- (2)
- Wear is reduced when the temperature and plastic deformation of materials are not considered. When the plastic deformation of materials is considered, the temperature of the contact surface is lower and the wear profile is no longer a smooth Hertzian shape.
- (3)
- The amount of wear increases with an increase in fretting speed. The temperature in the contact area and near the contact area increases with increasing fretting speed. The temperature of the surface near the non-contact area is the highest at a fretting speed of V.
- (4)
- The amount of wear increases with the number of cycles, whereas the rate of increase in wear decreases. The peak contact pressure decreases with the increase in the number of cycles. The peak temperature rise on the contact surface increases with the number of cycles, and its horizontal position moves with the cylindrical specimen.
- (5)
- The normal load has an influence on the temperature rise, the contact pressure, and the amount of wear. The wear profile is much less smooth under variable normal loading. Two variable normal loads with the same phase have similar wear profiles and temperature rise distributions.
Author Contributions
Funding
Institutional Review Board Statement
Informed Consent Statement
Data Availability Statement
Conflicts of Interest
References
- Waterhouse, R. Fretting wear. Wear 1984, 100, 107–118. [Google Scholar] [CrossRef]
- Hills, D.A.; Nowell, D. Mechanics of fretting fatigue—Oxford’s contribution. Tribol. Int. 2014, 76, 1–5. [Google Scholar] [CrossRef]
- Pinto, A.L.; Araújo, J.A.; Talemi, R. Effects of fretting wear process on fatigue crack propagation and life assessment. Tribol. Int. 2021, 156, 106787. [Google Scholar] [CrossRef]
- Jin, X.; Shipway, P.H.; Sun, W. The role of frictional power dissipation (as a function of frequency) and test temperature on contact temperature and the subsequent wear behaviour in a stainless steel contact in fretting. Wear 2015, 330, 103–111. [Google Scholar] [CrossRef]
- Jin, X.; Sun, W.; Shipway, P.H. The role of geometry changes and debris formation associated with wear on the temperature field in fretting contacts. Tribol. Int. 2016, 102, 392–406. [Google Scholar] [CrossRef]
- Wang, Y.; Liang, G.; Liu, S.; Cui, Y. Coupling Fractal Model for Fretting Wear on Rough Contact Surfaces. J. Tribol. 2020, 143, 1–32. [Google Scholar] [CrossRef]
- Archard, J.F. Contact and Rubbing of Flat Surfaces. J. Appl. Phys. 1953, 24, 981–988. [Google Scholar] [CrossRef]
- Fouvry, S.; Kapsa, P.; Vincent, L. Quantification of fretting damage. Wear 1996, 200, 186–205. [Google Scholar] [CrossRef]
- Mccoll, I.R.; Ding, J.; Leen, S.B. Finite element simulation and experimental validation of fretting wear. Wear 2004, 256, 1114–1127. [Google Scholar] [CrossRef]
- Madge, J.J.; Leen, S.B.; Mccoll, I.R.; Shipway, P.H. Contact-evolution based prediction of fretting fatigue life: Effect of slip amplitude. Wear 2007, 262, 1159–1170. [Google Scholar] [CrossRef]
- Ahmadi, A.; Sadeghi, F. A Novel Three-Dimensional Finite Element Model to Simulate Third Body Effects on Fretting Wear of Hertzian Point Contact in Partial Slip. J. Tribol. 2021, 143, 041502. [Google Scholar] [CrossRef]
- Gong, W.; Chen, Y.; Li, M.; Kang, R. Coupling fractal model for adhesive and three-body abrasive wear of AISI 1045 carbon steel spool valves. Wear 2019, 418–419, 75–85. [Google Scholar] [CrossRef]
- Arnaud, P.; Fouvry, S. A dynamical FEA fretting wear modeling taking into account the evolution of debris layer. Wear 2018, 412–413, 92–108. [Google Scholar] [CrossRef]
- Ning, P.; Li, Y.; Feng, Z.Q. A Newton-like algorithm to solve contact and wear problems with pressure-dependent friction coefficients. Commun. Nonlinear Sci. Numer. Simul. 2020, 85, 105216. [Google Scholar] [CrossRef]
- Jiang, X.; Pan, F.; Shao, G.; Huang, J.; Hong, J.; Zhou, A. Prediction of electrical contact endurance subject to micro-slip wear using friction energy dissipation approach. Friction 2019, 7, 537–550. [Google Scholar] [CrossRef] [Green Version]
- Li, L.; Wei, Z.; Ma, S.; Li, L.; Xie, M. Numerical analysis of fretting wear in lateral contact of sphere/sphere. Proc. Inst. Mech. Eng. Part J J. Eng. Tribol. 2021, 235, 2073–2085. [Google Scholar] [CrossRef]
- Pearson, S.R.; Shipway, P.H.; Abere, J.O.; Hewitt, R.A.A. The effect of temperature on wear and friction of a high strength steel in fretting. Wear 2013, 303, 622–631. [Google Scholar] [CrossRef]
- Qin, W.; Jin, X.; Kirk, A.; Shipway, P.; Sun, W. Effects of surface roughness on local friction and temperature distributions in a steel-on-steel fretting contact. Tribol. Int. 2018, 120, 350–357. [Google Scholar] [CrossRef]
- Shen, F.; Zhou, K. Investigation on thermal response in fretting sliding with the consideration of plastic dissipation, surface roughness and wear. Int. J. Mech. Sci. 2018, 148, 94–102. [Google Scholar] [CrossRef]
- Jr, C.; Sanders, J.; Sharma, S.; Voevodin, A.; Segall, A. The effect of temperature on gross slip fretting wear of cold-sprayed nickel coatings on Ti6Al4V interfaces. Tribol. Int. 2009, 42, 491–502. [Google Scholar]
- Hager, C.H.; Sanders, J.H.; Sharma, S. Unlubricated gross slip fretting wear of metallic plasma-sprayed coatings for Ti6Al4V surfaces. Wear 2008, 265, 439–451. [Google Scholar] [CrossRef]
- Fouvry, S.; Arnaud, P.; Mignot, A.; Neubauer, P. Contact size, frequency and cyclic normal force effects on Ti-6Al-4V fretting wear processes: An approach combining friction power and contact oxygenation. Tribol. Int. 2017, 113, 460–473. [Google Scholar] [CrossRef]
- Majzoobi, G.H.; Abbasi, F. On the effect of shot-peening on fretting fatigue of Al7075-T6 under cyclic normal contact loading. Surf. Coat. Technol. 2017, 238, 292–303. [Google Scholar] [CrossRef]
- Abbasi, F.; Majzoobi, G.H. An investigation into the effect of elevated temperatures on fretting fatigue response under cyclic normal contact loading. Theor. Appl. Fract. Mech. 2018, 93, 144–154. [Google Scholar] [CrossRef]
- Bhatti, N.A.; Wahab, M.A. Fretting fatigue damage nucleation under out of phase loading using a continuum damage model for non-proportional loading. Tribol. Int. 2018, 121, 204–213. [Google Scholar] [CrossRef]
- Li, L.; Tian, H.; Yun, Q.; Chu, W. Study on temperature rise distribution of contact surface under cyclic load. Proc. Inst. Mech. Eng. Part J J. Eng. Tribol. 2020, 235, 135065012091987. [Google Scholar] [CrossRef]
- Cam, G.; Flower, H.M.; West, D.R.F. Constitution of Ti-Al-C alloys in temperature range 1250–750 °C. Mater. Sci. Technol. 1991, 7, 505–511. [Google Scholar] [CrossRef]
- Nguyen, H.D.; Pramanik, A.; Basak, A.K.; Dong, Y.; Prakash, C.; Debnath, S.; Shankar, S.; Jawahir, I.S.; Dixit, S.; Buddhi, D. A critical review on additive manufacturing of Ti-6Al-4V alloy: Microstructure and mechanical properties. J. Mater. Res. Technol. 2022, 18, 4641–4661. [Google Scholar] [CrossRef]
- Çam, G.; Koçak, M.; Dos Santos, J.F. Developments in laser welding of metallic materials and characterization of the joints. Weld. World 1999, 43, 13–26. [Google Scholar]
- Wang, L.; Zhang, Q.Y.; Li, X.X.; Cui, X.; Wang, S. Severe-to-Mild Wear Transition of Titanium Alloys as a Function of Temperature. Tribol. Lett. 2014, 53, 511–520. [Google Scholar] [CrossRef]
- Pereira, K.; Yue, T.; Wahab, M.A. Multiscale analysis of the effect of roughness on fretting wear. Tribol. Int. 2017, 110, 222–231. [Google Scholar] [CrossRef] [Green Version]
- Yue, T.; Wahab, M.A. Finite element analysis of fretting wear under variable coefficient of friction and different contact regimes. Tribol. Int. 2017, 107, 274–282. [Google Scholar] [CrossRef]
- Basseville, S.; Missoum-Benziane, D.; Cailletaud, G. 3D finite element study of the fatigue damage of Ti-6Al-4V in presence of fretting wear. Comput. Mech. 2019, 64, 663–683. [Google Scholar] [CrossRef]
- Holman, J.P. Heat Transfer; Mechanical Industry Press: Beijing, China, 2005. [Google Scholar]
- Handbook, M. MIL-HDBK-5H: Metallic Materials and Elements for Aerospace Vehicle Structures; US Department of Defense: Fort Lee, VA, USA, 1998. [Google Scholar]
- Yang, J.; Sun, S.; Brandt, M.; Yan, W. Experimental investigation and 3D finite element prediction of the heat affected zone during laser assisted machining of Ti6Al4V alloy. J. Mater. Process. Technol. 2010, 210, 2215–2222. [Google Scholar] [CrossRef]
- Shen, F.; Hu, W.; Meng, Q. A damage mechanics approach to fretting fatigue life prediction with consideration of elastic–plastic damage model and wear. Tribol. Int. 2015, 82, 176–190. [Google Scholar] [CrossRef]














| Parameter | Value |
|---|---|
| E0 (MPa) | 114,582 |
| Es (MPa/°C) | −97.6 |
| σy0 (MPa) | 927.3 |
| σys (MPa/°C) | −0.908 |
| v | 0.34 |
| Coefficient of thermal expansion αT | 8.7 × 10−6 |
| T0 | 25 |
| Temperature (°C) | Thermal Conductivity (W/(m °C)) | Specific Heat (J/kg °C) | Density (kg/m3) |
|---|---|---|---|
| 25 | 7 | 546 | 4420 |
| 100 | 7.45 | 562 | 4406 |
| 200 | 8.75 | 584 | 4395 |
| 300 | 10.15 | 606 | 4381 |
Publisher’s Note: MDPI stays neutral with regard to jurisdictional claims in published maps and institutional affiliations. |
© 2022 by the authors. Licensee MDPI, Basel, Switzerland. This article is an open access article distributed under the terms and conditions of the Creative Commons Attribution (CC BY) license (https://creativecommons.org/licenses/by/4.0/).
Share and Cite
Li, L.; Zhang, W.; Li, G.; Wang, J.; Li, L.; Xie, M. Simulation Study of Thermal–Mechanical Coupling Fretting Wear of Ti-6Al-4V Alloy. Appl. Sci. 2022, 12, 7400. https://doi.org/10.3390/app12157400
Li L, Zhang W, Li G, Wang J, Li L, Xie M. Simulation Study of Thermal–Mechanical Coupling Fretting Wear of Ti-6Al-4V Alloy. Applied Sciences. 2022; 12(15):7400. https://doi.org/10.3390/app12157400
Chicago/Turabian StyleLi, Ling, Wang Zhang, Ganghua Li, Jingjing Wang, Lixia Li, and Miaoxia Xie. 2022. "Simulation Study of Thermal–Mechanical Coupling Fretting Wear of Ti-6Al-4V Alloy" Applied Sciences 12, no. 15: 7400. https://doi.org/10.3390/app12157400
APA StyleLi, L., Zhang, W., Li, G., Wang, J., Li, L., & Xie, M. (2022). Simulation Study of Thermal–Mechanical Coupling Fretting Wear of Ti-6Al-4V Alloy. Applied Sciences, 12(15), 7400. https://doi.org/10.3390/app12157400
